Project Gutenberg's Sewerage and Sewage Treatment, by Harold Eaton Babbitt This eBook is for the use of anyone anywhere in the United States and most other parts of the world at no cost and with almost no restrictions whatsoever. You may copy it, give it away or re-use it under the terms of the Project Gutenberg License included with this eBook or online at www.gutenberg.org. If you are not located in the United States, you'll have to check the laws of the country where you are located before using this ebook. Title: Sewerage and Sewage Treatment Author: Harold Eaton Babbitt Release Date: April 7, 2020 [EBook #61773] Language: English Character set encoding: UTF-8 *** START OF THIS PROJECT GUTENBERG EBOOK SEWERAGE AND SEWAGE TREATMENT *** Produced by Richard Tonsing and the Online Distributed Proofreading Team at https://www.pgdp.net (This file was produced from images generously made available by The Internet Archive)
Transcriber’s Note:
The cover image was created by the transcriber and is placed in the public domain.
Fig. 1.—Construction of Peck’s Run Sewer, Baltimore, Maryland.
Frontispiece.
This book is a development of class-room and lecture notes prepared by the author for use in his classes at the University of Illinois. He has found such notes necessary, since among the many books dealing with sewerage and sewage treatment he has found none suitable as a text-book designed to cover the entire subject. The need for a single book of the character described has been expressed by engineers in practice, and by students and teachers for use in the class-room. This book has been prepared to meet both these needs. It is hoped that the searching questions propounded by students in using the original notes, and the suggestions and criticisms of engineers and teachers who have read the manuscript, have resulted in a text which can be readily understood.
The ground covered includes an exposition of the principles and methods for the designing, construction and maintenance of sewerage works, and also of the treatment of sewage. In covering so wide a field the author has deemed it necessary to include some chapters which might equally well appear in works on other branches of engineering, such as the chapter on Pumps and Pumping Stations. Special stress has been laid on the fundamentals of the subject rather than the details of practice, although illustrations have been drawn freely from practical work. The quotation of expert opinions which may be in controversy, or the citation of examples of different methods of accomplishing the same thing, has been avoided when possible in order to simplify explanations and to avoid confusing the beginner.
The work is to some extent a compilation of notes and quotations which have been collected by the author during years of study and teaching the subject. Credit has been given wherever due, and at the same time references have pointed out the original sources whenever possible. These references, which vihave been supplemented by brief bibliographies at the end of certain chapters, will be useful to the student and engineer interested in further study. Occasionally the original reference has been lost or the phraseology of a quotation has been so altered by class-room use, as to make it impossible to trace the original source, so that in some few instances full credit may be lacking.
The author is indebted to many of his friends for their criticisms and suggestions in the preparation of the manuscript; but he desires particularly to acknowledge the assistance of Professor A. N. Talbot, Professor of Municipal and Sanitary Engineering at the University of Illinois, and of Professor M. L. Enger, Professor of Mechanics and Hydraulics at the University of Illinois, in the entire work; also that of Mr. T. D. Pitts, Principal Assistant Engineer of the Baltimore Sewerage Commission during the construction of the Baltimore sewers, for his suggestions on the first half of the book; and to Mr. Paul Hansen, consulting engineer, of Chicago, and to Mr. Langdon Pearse, Sanitary Engineer of the Sanitary District of Chicago, for their help on the section covering the treatment of sewage; and to Professor Edward Bartow, Professor of Chemistry at the University of Iowa, for his review of the chapter on Activated Sludge; in general his thanks are due to all others who have furnished suggestions, illustrations, or quotations, acknowledgments of which have been included in the text.
| CHAPTER I | |
| Introduction | |
| PAGES | |
|---|---|
| 1. Sewerage and the Sanitary Engineer. 2. Historical. 3. Methods of Collection. 4. Methods of Disposal. 5. Methods of Treatment. 6. Definitions. | 1–8 |
| CHAPTER II | |
| Work Preliminary to Design | |
| 7. Division of Work. 8. Preliminary. 9. Estimate of cost. Methods of Financing. 10. Bond Issues. 11. Special Assessment. 12. General Taxation. 13. Private Capital. Preliminary Work. 14. Preparing for Design. 15. Underground Surveys. 16. Borings. | 9–23 |
| CHAPTER III | |
| Quantity of Sewage | |
| 17. Dry Weather Flow. 18. Methods for Predicting Population. 19. Extent of Prediction. 20. Sources of Information on Population. 21. Density of Population. 22. Changes in Area. 23. Relation between Population and Sewage Flow. 24. Character of District. 25. Fluctuations in Rate of Sewage Flow. 26. Effect of Ground Water. 27. Résumé of Method for Determination of Quantity of Dry weather Sewage. Quantity of Storm Water. 28. The Rational Method. 29. Rate of Rainfall. 30. Time of Concentration. 31. Character of Surface. 32. Empirical Formulas. 33. Extent and Intensity of Storms. | 24–50 |
| viiiCHAPTER IV | |
| Hydraulics of Sewers | |
| 34. Principles. 35. Formulas. 36. Solution of Formulas. 37. Use of Diagrams. 38. Flow in Circular Pipes Partly Full. 39. Sections Other than Circular. 40. Non-Uniform Flow. | 51–77 |
| CHAPTER V | |
| Design of Sewerage Systems | |
| 41. The Plan. 42. Preliminary Map. 43. Layout of the Separate System. 44. Location and Numbering of Manholes. 45. Drainage Areas. 46. Quantity of Sewage. 47. Surface Profile. 48. Slope and Diameter of Sewers. 49. The Sewer Profile. Design of a Storm-water Sewer System. 50. Planning the System. 51. Location of Street Inlets. 52. Drainage Areas. 53. Computation of Flood Flow by McMath Formula. 54. Computation of Flood Flow by Rational Method. | 78–98 |
| CHAPTER VI | |
| Appurtenances | |
| 55. General. 56. Manholes. 57. Lampholes. 58. Street Inlets. 59. Catch-basins. 60. Grease Traps. 61. Flush-tanks. 62. Siphons. 63. Regulators. 64. Junctions. 65. Outlets. 66. Foundations. 67. Underdrains. | 99–126 |
| CHAPTER VII | |
| Pumps and Pumping Stations | |
| ix68. Need. 69. Reliability. 70. Equipment. 71. The Building. 72. Capacity of Pumps. 73. Capacity of Receiving Well. 74. Types of Pumping Machinery. 75. Sizes and Descriptions of Pumps. 76. Definitions of Duties and Efficiency. 77. Details of Centrifugal Pumps. 78. Centrifugal Pump Characteristics. 79. Setting of Centrifugal Pumps. 80. Steam Pumps and Pumping Engines. 81. Steam Turbines. 82. Steam Boilers. 83. Air Ejectors. 84. Electric Motors. 85. Internal Combustion Engines. 86. Selection of Pumping Machinery. 87. Costs of Pumping Machinery. 88. Cost Comparisons of Different Designs. 89. Number and Capacity of Pumping Units. | 127–163 |
| CHAPTER VIII | |
| Materials for Sewers | |
| 90. Materials. 91. Vitrified Clay Pipe. 92. Cement and Concrete Pipe. 93. Proportioning of Concrete. 94. Waterproofing of Concrete. 95. Mixing and Placing Concrete. 96. Sewer Brick. 97. Vitrified Clay Sewer Block. 98. Cast Iron, Steel, and Wood. | 164–193 |
| CHAPTER IX | |
| Design of the Sewer Ring | |
| 99. Stresses in Buried Pipe. 100. Design of Steel Pipe. 101. Design of Wood Stave Pipe. 102. External Loads on Buried Pipe. 103. Stresses in Circular Ring. 104. Analysis of Sewer Arches. 105. Reinforced Concrete Sewer Design. | 194–210 |
| CHAPTER X | |
| Contracts and Specifications | |
| 106. Importance of the Subject. 107. Scope of the Subject. 108. Types of Contracts. 109. The Agreement. 110. The Advertisement. 111. Information and Instructions for Bidders. 112. Proposal. 113. General Specifications. 114. Technical Specifications. 115. Special Specifications. 116. The Contract. 117. The Bond. | 211–232 |
| CHAPTER XI | |
| Construction | |
| x118. Elements. Work of the Engineer. 119. Duties. 120. Inspection. 121. Interpretation of Contract. 122. Unexpected Situations. 123. Cost Data and Estimates. 124. Progress Reports. 125. Records. Excavation. 126. Specifications. 127. Hand Excavation. 128. Machine Excavation. 129. Types of Machines. 130. Continuous Bucket Excavators. 131. Cableway and Trestle Excavators. 132. Tower Cableways. 133. Steam Shovels. 134. Drag Line and Bucket Excavators. 135. Excavation in Quicksand. 136. Pumping and Drainage. 137. Trench Pump. 138. Diaphragm Pump. 139. Jet Pump. 140. Steam Vacuum Pumps. 141. Centrifugal and Reciprocating Pumps. 142. Well Points. 143. Rock Excavation. 144. Power Drilling. 145. Steam or Air for Power. 146. Depth of Drill Hole. 147. Diameter of Drill Hole. 148. Spacing of Drill Holes. Sheeting and Bracing. 149. Purposes and Types. 150. Stay Bracing. 151. Skeleton Sheeting. 152. Poling Boards. 153. Box Sheeting. 154. Vertical Sheeting. 155. Pulling Wood Sheeting. 156. Earth Pressures. 157. Design of Sheeting and Bracing. 158. Steel Sheet Piling. Line and Grade. 159. Locating the Trench. 160. Final Line and Grade. 161. Transferring Grade and Line to the Pipe. 162. Line and Grade in Tunnel. Tunnelling. 163. Depth. 164. Shafts. 165. Timbering. 166. Shields. 167. Tunnel Machines. 168. Rock Tunnels. 169. Ventilation. 170. Compressed Air. Explosives and Blasting. 171. Requirements. 172. Types of Explosives. 173. Permissible Explosives. 174. Strength. 175. Fuses and Detonators. 176. Care in Handling. 177. Priming, Loading, and Firing. 178. Quantity of Explosive. Pipe Sewers. 179. The Trench Bottom. 180. Laying Pipe. 181. Joints. 182. Labor and Progress. Brick and Block Sewers. 183. The Invert. 184. The Arch. 185. Block Sewers. 186. Organization. 187. Rate of Progress. Concrete Sewers. 188. Construction in Open Cut. 189. Construction in Tunnels. 190. Materials for Forms. 191. Design of Forms. 192. Wooden Forms. 193. Steel-lined Wooden Forms. 194. Steel Forms. 195. Reinforcement. 196. Cost of Concrete Sewers. Backfilling. 197. Method. | 233–331 |
| CHAPTER XII | |
| Maintenance of Sewers | |
| 198. Work Involved. 199. Causes of Troubles. 200. Inspection. 201. Repairs. 202. Cleaning of Sewers. 203. Flushing Sewers. 204. Cleaning Catch-basins. 205. Protection of Sewers. 206. Explosions in Sewers. 207. Valuation of Sewers. | 332–351 |
| CHAPTER XIII | |
| Composition and Properties of Sewage | |
| xi208. Physical Characteristics. 209. Chemical Composition. 210. Significance of Chemical Constituents. 211. Sewage Bacteria. 212. Organic Life in Sewage. 213. Decomposition of Sewage. 214. The Nitrogen Cycle. 215. Plankton and Macroscopic Organisms. 216. Variations in the Quality of Sewage. 217. Sewage Disposal. 218. Methods of Sewage Treatment. | 352–371 |
| CHAPTER XIV | |
| Disposal by Dilution | |
| 219. Definition. 220. Conditions Required for Success. 221. Self-purification of Running Streams. 222. Self-purification of Lakes. 223. Dilution in Salt Water. 224. Quantity of Diluting Water Needed. 225. Governmental Control. 226. Preliminary Treatment. 227. Preliminary Investigations. | 372–382 |
| CHAPTER XV | |
| Screening and Sedimentation | |
| 228. Purpose. 229. Types of Screens. 230. Sizes of Openings. 231. Design of Fixed and Movable Screens. Plain Sedimentation. 232. Theory of Sedimentation. 233. Types of Sedimentation Basins. 234. Limiting Velocities. 235. Quantity and Character of Grit. 236. Dimensions of Grit Chambers. 237. Existing Grit Chambers. 238. Number of Grit Chambers. 239. Quantity and Characteristics of Sludge from Plain Sedimentation. 240. Dimensions of Sedimentation Basins. Chemical Precipitation. 241. The Process. 242. Chemicals. 243. Preparation and Addition of Chemicals. 244. Results. | 383–409 |
| CHAPTER XVI | |
| Septicization | |
| 245. The Process. 246. The Septic Tank. 247. Results of Septic Action. 248. Design of Septic Tanks. 249. Imhoff Tanks. 250. Design of Imhoff Tanks. 251. Imhoff Tank Results. 252. Status of Imhoff Tanks. 253. Operation of Imhoff Tanks. 254. Other Tanks. | 410–430 |
| CHAPTER XVII | |
| Filtration and Irrigation | |
| xii255. Theory. 256. The Contact Bed. 257. The Trickling Filter. 258. Intermittent Sand Filter. 259. Cost of Filtration. Irrigation. 260. The Process. 261. Status. 262. Preparation and Operation. 263. Sanitary Aspects. 264. The Crop. | 431–464 |
| CHAPTER XVIII | |
| Activated Sludge | |
| 265. The Process. 266. Composition. 267. Advantages and Disadvantages. 268. Historical. 269. Aëration Tank. 270. Sedimentation Tank. 271. Reaëration Tank. 272. Air Distribution. 273. Obtaining Activated Sludge. 274. Cost. | 465–479 |
| CHAPTER XIX | |
| Acid Precipitation, Lime and Electricity, and Disinfection | |
| 275. The Miles Acid Process. Electrolytic Treatment. 276. The Process. Disinfection. 277. Disinfection of Sewage. | 482–493 |
| CHAPTER XX | |
| Sludge | |
| 278. Methods of Disposal. 279. Lagooning. 280. Dilution. 281. Burial. 282. Drying. | 495–505 |
| CHAPTER XXI | |
| Automatic Dosing Devices | |
| 283. Types. 284. Operation. 285. Three Alternating Siphons. 286. Four or More Alternating Siphons. 287. Timed Siphons. 288. Multiple Alternating and Timed Siphons. | 506–512 |
1. Sewerage and the Sanitary Engineer.—Present day conceptions of sanitation are based on the scientific discoveries which have resulted so much in the increased comfort and safety of human life during the past century, in the increase of our material possessions, and the extent of our knowledge. The danger to health in the accumulation of filth, the spreading of disease by various agents, the germ theory of disease, and other important principles of sanitation can be counted among the more recent scientific discoveries and pronouncements. Experience has shown, and continues to show, that the increase of population may be inhibited by accumulations of human waste in populous districts. The removal of these wastes is therefore essential to the existence of our modern cities.
The greatest need of a modern city is its water supply. Without it city life would be impossible. The next most important need is the removal of waste matters, particularly wastes containing human excreta or the germs of disease. To exist without street lights, pavements, street cars, telephones, and the many other attributes of modern city life might be possible, although uncomfortable. To exist in a large city without either water or sewerage would be impossible. The service rendered by the sanitary engineer to the large municipality is indispensable. In addition to the service necessary to the maintenance of life in large cities, the sanitary engineer serves the smaller city, the rural community, the isolated institution, and the private estate with sanitary conveniences which make possible comfortable 2existence in them, and which are frequently considered as of paramount necessity. Training for service in municipal sanitation is training for a service which has a more direct beneficial effect on humanity than any other engineering work, or any other profession. W. P. Gerhard states:
A Sanitary Engineer is an engineer who carries out those works of civil engineering which have for their object:
(a) The promotion of the public and individual health;
(b) The remedying of insanitary conditions;
(c) The prevention of epidemic diseases.
A well-educated sanitary engineer should have a thorough knowledge of general civil engineering, of architecture, and of sanitary science. The practice of the sanitary engineer embraces water supply, sewerage, and sewage and garbage disposal for cities and for single buildings; the prevention of river pollution, the improvement of polluted water supplies; street paving and street cleaning, municipal sanitation, city improvement plans, the laying out of cities, the preparation of sanitary surveys, the regulation of noxious trades, disinfection, cremation, and the sanitation of buildings.
The need of the work of the sanitary engineer in the provision of sewers and drains is thrust upon us in our daily experience by the clogging of sewers, the flooding of streets by heavy rains, filthy conditions in unsewered districts, increased values of property and improved conditions of living in sewered districts, and in many other ways. The increasing demand for sewerage and the amount of money expended on sewer construction is indicated by the information given in Table I.
2. Historical.—An ordinance passed by the Roman Senate in the name of the Emperor about A.D. 80, states:
I desire that nobody shall conduct away any excess water without having received my permission or that of my representatives; for it is necessary that a part of the supply flowing from the delivery tanks shall be utilized not only for cleaning our city, but also for flushing the sewers.[1]
Neither the sewers mentioned nor the distributing pipes of the public water supply were connected to individual residences. The contributions to the sewers came from the ground and the street surface. The streets were the receptacles of liquid and 3solid wastes and were often little more than open sewers. A promenade after dark in an ancient, medieval, or early modern city was accompanied not only by the underfoot dangers of an uneven pavement or an encounter with a footpad, but with the overhead danger from the emptying of slops into the streets from the upper windows. Sewers were used for the collection of surface water; the discharge of fecal matter into them was prohibited. The problem of the collection of sewage remained unsolved until the Nineteenth Century.
| TABLE 1 | |||
|---|---|---|---|
| Population Tributary to Sewerage Systems | |||
| 1905[2] | 1915[3] | 1920[4] | |
| Population discharging raw sewage into the sea or tidal estuaries | 6,500,000 | 8,500,000 | |
| Population discharging raw sewage into inland streams or lakes | 20,400,000 | 26,400,000 | |
| Population connected to systems where sewage is treated in some way | 1,100,000 | 6,900,000 | |
| Population connected with sewerage systems | 28,000,000 | 41,800,000 | 46,300,000 |
The development of the London sewers was commenced early in the Nineteenth Century. The sewerage system of Hamburg, Germany, was laid out in 1842 by Lindley, an English engineer who with other English engineers performed similar work in other German cities because of their earlier experience in English communities. Berlin’s present system dates from 1860. The construction of storm-water drains in Paris dates from 1663.[5] They were intended only as street drains but are now included in the comprehensive system of the city. The first comprehensive sewerage system in the United States was designed by E. S. Chesbrough for the City of Chicago in 1855. Previous to this 4time sewers had been installed in an indifferent manner and without definite plan. The installation of a comprehensive sewerage system in Baltimore in 1915 marks the completion of installation of sewerage systems in all large American cities.
In the early days of sewerage design it was considered unsafe to discharge domestic wastes into the sewers as the concentration of so much sewage was expected to create great nuisances and dangers to health. That the fear that the concentration of large quantities of sewage would create a nuisance was not ill founded is proven by the conditions on the Thames at London in 1858–59. Dr. Budd states:[6]
For the first time in the history of man, the sewage of nearly three millions of people had been brought to seethe and ferment under a burning sun in one vast open cloaca lying in their midst.
The result we all know. Stench so foul we may well believe had never before ascended to pollute this lower air. Never before at least had a stink risen to the height of an historic event.... For months together the topic almost monopolized the public prints.... ‘India is in revolt and the Thames stinks’ were the two great facts coupled together by a distinguished foreign writer, to mark the climax of a national humiliation.[7]
The problem of sewage disposal followed the more or less successful solutions of the problem of sewage collection. In England the British Royal Commission on Sewage Disposal was appointed in 1857 and issued its first report in 1865. The first studies in the United States were started in 1887 by the establishment of an experiment station at Lawrence, Massachusetts, where valuable work has been done. The station is under the State Board of Health, which issued its first report containing the results of the work at the station, in 1890.
Various methods of sewage treatment preparatory to disposal have been devised from time to time. Some have fallen into disuse, such as the A. B. C. (alum, blood and clay) process, and others have taken a permanent place, such as the septic tank. The unsolved problems of sewage collection, and the number of 5persons still unserved by sewerage and sewage disposal opens a wide field to the study and construction of sewerage works.
3. Methods of Collection.—The method of collection which involves the removal of night soil from a privy vault, the pail system which involves the collection of buckets of human excreta from closets and homes, indoor chemical closets, and other makeshift methods of collection are of extreme importance where no sewers exist, but they are not properly considered as sewerage systems or sewerage works. These methods of collection are generally confined to rural districts and to outlying parts of urban communities. They require constant attention for their proper conduct and little skill for their installation, the principal requirements being to make the receptacles fly-proof.
The pneumatic system was introduced by Liernur, a Dutch engineer.[8] It is used in parts of a few cities in Europe, but it is not capable of use on a large scale. It consists of a system of air-tight pipes, connecting water closets, kitchen sinks, etc., with a central pumping station at which an air-tight tank is provided from which the air is partly exhausted. As little water as possible is allowed to mix with the fecal matter and other wastes in order not to overtax the system. Solid and liquid wastes are drawn to the central station when the waste valve on the plumbing fixture is opened.
The collection of sewage in a system of pipes through which it is conducted by the buoyant effect and scouring velocity of water is known as the water-carriage system. This is the only method of sewage collection in general use in urban communities. In this system solid and liquid wastes are so highly diluted with water as either to float or to be suspended therein. The mixture resulting from this high dilution follows the laws of hydraulics as applied to pure water, or water containing suspended matter. It will flow freely through properly designed conduits and will concentrate the sewage wastes at the point of ultimate disposal.
4. Methods of Disposal.—Sewage is disposed of by dilution in water, by treatment on land, or occasionally by discharging it into channels that contain no diluting water. Some form of treatment to prepare sewage for ultimate disposal is frequently necessary and will undoubtedly be required in a comparatively short time for all sewage discharged into watercourses. The solid 6matters removed by treatment may be buried, burned, dumped into water, or used as a fertilizer.
If the volume of diluting water, or the area and character of land used for disposal are not as they should be, a nuisance will be created. The aim of all methods of sewage treatment has so far been to produce an effluent which could be disposed of without nuisance and in certain exceptional cases to protect public water supplies from pollution. Financial returns have been sought only as a secondary consideration. A few sewage farms and irrigation projects might be considered as exceptions to this as the value of the water in the sewage as an irrigant has been the primary incentive to the promotion of the farm.
It is to be remembered that since the aim of all sewage treatment is to produce an effluent that can be disposed of without causing a nuisance, the simplest process by which this result can be attained under the conditions presented is the process to be adopted. No attempt is made to purify sewage completely, or on a practical scale to make drinking water.
5. Methods of Treatment.—Screening and sedimentation are the primary methods for the treatment of sewage. By these methods a portion of the floating and settleable solids are removed, preventing the formation of unsightly scum and putrefying sludge banks. Chemicals are sometimes added to the sewage to form a heavy flocculent precipitate which hastens sedimentation of the solid matters in the sewage. The process in these methods is mechanical and the solid matters removed from the sewage must be disposed of by other methods than dilution with the sewage effluent. More complete methods of treatment are dependent on biologic action. Under these methods of treatment complete stabilization of the effluent is approached, and in the most complete treatment an effluent is produced which is clear, sparkling, non-odorous, non-putrescible, and sterile. Sterilization of sewage, usually with chlorine or some of its compounds, has been used, not to reduce the amount of diluting water necessary, but to reduce the number of pathogenic germs and to minimize the danger of the transmission of disease.
6. Definitions.—Sewage and sewerage are not synonymous terms although frequently confused. Sewage is the spent water supply of a community containing the waste from domestic, industrial or commercial use, and such surface and ground water 7as may enter the sewer.[9] Sewerage is the name of the system of conduits and appurtenances designed to carry off the sewage. It is also used to indicate anything pertaining to sewers.
A difference is made between sanitary sewage, storm sewage, and industrial wastes. Sanitary sewage, sometimes called domestic sewage, is the liquid wastes discharged from residences or institutions, and contains water closet, laundry and kitchen wastes. Storm sewage is the surface run-off which reaches the sewers during and immediately after a storm. Industrial wastes are the liquid waste products discharged from industrial plants.
A sewer is a conduit used for conveying sewage.
The names of the conduits through which sewage may flow are:
Soil Stack.—A vertical pipe in a building through which waste water containing fecal matter or urine is allowed to flow.
Waste Pipe.—A vertical pipe in a building through which waste water containing no fecal matter is allowed to flow.
House Drain.—The approximately horizontal portion of a house drainage system which conveys the drainage from the soil stack or waste pipe to the point of discharge from the building.
House Sewer.—The pipe which leads from the outside wall of the building to the sewer in the street.
Lateral Sewer.—The smallest branch in a sewerage system, exclusive of the house sewers.
Sub-main or Branch Sewer.—A sewer from which the sewage from two or more laterals is discharged.[10]
Main or Trunk Sewer.—A sewer into which the sewage from two or more sub-main or branch sewers is discharged.[11]
Intercepting Sewer.—A sewer generally laid transversely to a sewerage system to intercept some portion or all of the sewage collected by the system.
Relief Sewer.—A sewer intended to carry a portion of the flow from a district already provided with sewers of insufficient capacity and thus preventing overtaxing the latter.[12]
8Outfall Sewer.—That portion of a main or trunk sewer below all branches.
Flushing Sewer.—A conduit through which water is conveyed for flushing portions of a sewerage system.
Force Main.—A conduit through which sewage is pumped under pressure.
7. Division of Work.—Engineering work on sewerage can be divided into four parts, namely: preliminary, design, construction and maintenance. An engineer may be engaged during any one or all of these periods on the same sewerage system, and should therefore be acquainted with his duties during each period.
8. Preliminary.—The demand for sewerage normally follows the installation or extension of the public water supply. It may be caused by: a lack of drainage on some otherwise desirable tract of real estate; from a public realization of unpleasant or unhealthful conditions in a built-up district; or through the realization by the municipal administration of the necessity for caring for the future. In whatever way the demand may be created the engineer should take an active part in the promotion of the work.
The engineer’s duties during the preliminary period are: to make a study of the possible methods by which the demand for sewerage can be satisfied; to present the results of this study in the form of a report to the committee or organization responsible for the promotion of the work; and so to familiarize himself with the conditions affecting the installation of the proposed plans as to be able to answer all inquiries concerning them. This work will require the general qualities of character, judgment, efficiency and the understanding of men in addressing interested persons individually and collectively on the features of the proposed plans, and the exercise of engineering technique in the survey and the drawing of the plans. The engineer should assure himself that all legal requirements in the drawing of petitions, advertising, permits, etc., have been complied with. This requires some knowledge of national, state, and local laws. Although none the less essential their description is not within the scope of this book.
10The engineer’s preliminary report should contain a section devoted to the feasibility of one or more plans which may be explained in more or less detail with a statement of the cost and advantages of each. A conclusion should be reached as to the most desirable plan and a recommendation made that this plan be installed. Other sections of the report may be devoted to a history of the growing demand, a description of the conditions necessitating sewerage, possible methods of financing, and such other subjects as may be pertinent. The making of the preliminary plan and the design of sewerage works are described in subsequent chapters.
9. Estimate of Cost.—In making an estimate of cost the information should be presented in a readable and easily comprehended manner. It is necessary that the items be clearly defined and that all items be included. The method of determining the costs of doubtful items such as depreciation, interest charges, labor, etc., and the probability of the fluctuation of the costs of certain items should be explained.
The engineer’s estimate may be divided somewhat as follows:
Labor.
Material.
Overhead. This may include construction plant, office expense, supervision, bond, interest on borrowed capital, insurance, transportation, etc. The amount of the item is seldom less than 15 per cent and is usually over 20 per cent of the contract price.
Contingencies. This allowance is usually 10 to 15 per cent of the contract price.
Profit. This should be from 5 to 10 per cent of the sum of the four preceding items.
The contract price is the sum of these items. To this may be added:
Engineering. 2 to 5 per cent of the contract price.
Extra Work. Zero to 15 per cent of the contract price; dependent on the character of the work, the completeness of the preliminary information, the completeness of the plans, etc.
Legal expense.
Purchase of land, rights of way, etc., etc.
The cost of the sewer may be stated as so much per linear foot for different sizes of pipe, including all appurtenances 11such as manholes, catch-basins, etc., or the items may be separated in great detail somewhat as follows:
These methods represent the two extremes of presenting cost estimates. Each method, or modification thereof, may have its use, dependent on circumstances.
Reliable cost data are difficult to obtain. Lists of prices of materials and labor are published in certain engineering and trade periodicals. The Handbook of Cost Data by H. P. Gillette contains lists of the amount of material and labor used on certain specific jobs and types of construction. The price of labor and materials on the local market can be obtained from the local Chamber of Commerce, contractors and other employers of labor, and dealers in the desired commodities. Contract prices for sewerage work published in the construction news sections of engineering periodicals may be a guide to the judgment of the probable cost of proposed work, but are generally dangerous to rely upon as full details are lacking in the description of the work. A wide experience in the collection and use of cost data is the desirable qualification for making estimates of cost. It is possessed by few and is not an infallible aid to the judgment.
Having completed the design and summary of the bills of material and labor necessary for each structure or portion of the sewerage system, the product of the unit cost and the amount of each item plus an allowance for overhead will equal the cost of the item. The total cost will be the sum of the costs of each item. The items should be so grouped that the cost of the different portions of the system are separated in order that the effect on the total cost resulting from different combinations of items or the omission of any one item may be readily computed.
12A method for estimating the approximate cost of sewers, devised by W. G. Kirchoffer[13] depends upon the use of the diagram shown in Fig. 2. The factors for local conditions are shown in Table 2. For example, let it be required to find the cost of a 15–inch vitrified pipe sewer at a depth of 9 feet, if the unit costs of labor and material and the conditions are the same as shown in Table 3.
Fig. 2.—Diagram for Estimating the Cost of Sewers.
Eng. News, Vol. 76, p. 781.
First: To find the factor depending on local conditions, enter the diagram at the 10–inch diameter and continue down until the intersection with the depth of trench at 8.2 feet is found. Now go diagonally parallel to lines running from left to right upwards to the intersection 13with the vertical line through a cost of 45 cents per foot. The diagonal line running from left to right downwards through this intersection corresponds to a factor of about 11.
| TABLE 2 | |
|---|---|
| Factors for Costs of Sewers to be Used with Figure 2 | |
| Character of Material | Factor |
| Clay, gravel and boulders, Medford | 22–26 |
| Mostly sand, deep trenches sheeted. Wages medium. Richland Center. | 21–22 |
| Sandy clay. Wages medium. Labor conditions good at Kiel. | 15–20 |
| Sand. Sandy clay, some water. Labor conditions good. Pipe prices medium at Manston. | 14–20 |
| Gravelly clay, ⅒th laid in concrete at Burlington. | 13–22 |
| Sandy clay, some water, sheeting at La Farge. | 17–23 |
| Sand with water. | 20 |
| Gravel and boulders. High wages. | 26 |
| Clay soil. Good digging. | 17 |
| Sandy clay. Some water. | 23 |
| Clay 2 miles inland. Laborers boarded at sanitarium, Wales | 35 |
| Clay, gravel and boulders at Plymouth. | 20–27 |
| Sand, clay and good digging at Lake Mills. | 16–19 |
| Red clay. Machine work at North Milwaukee. | 20–24 |
| Good digging. Wages medium at West Salem. | 17–19 |
| Sandy soil, bracing only required. No water. Wages and pipe medium. | 14 |
| Red sticky clay. | 24 |
| Good digging in any soil. Work scarce. | 15 |
| Red clay. No bracing. | 20 |
| Work inland from railroad. Boarding laborers and other expenses. | 35 |
Second: To find the cost of 15–inch pipe at a depth of 9.0 feet, enter the diagram at a diameter of 15 inches and continue down until the intersection with a depth of trench at 9 feet is found. Now go diagonally parallel to lines running from left to right upwards to the intersection with the diagonal line running from left to right downwards corresponding to the factor of 11 found above. The vertical line passing through this point shows the cost to be 67 cents per foot.
| 14 | ||
| TABLE 3 | ||
|---|---|---|
| Cost of Sewer Construction at Atlantic, Iowa | ||
| (From Gillette’s Handbook of Cost Data) | ||
| Material: Clay, not difficult to spade and requiring little or no bracing and practically no pumping. All hand work except backfill which was done by team and scraper. Depth of trench averaged 8.2 feet; width 30 inches. Diameter of pipe 10 inches. | ||
| Item | Wage, Cents per Hour | Cost, Cents per Foot. |
| Pipe. | 0.20 | |
| Hauling team and driver. | 30 | .003 |
| Hauling. Man helping. | 17 | .001 |
| Cement and sand. | .006 | |
| Pipe layers. | 22 | .014 |
| Pipe layer’s helper. | 17 | .014 |
| Trenching. Top men. | 17 | .027 |
| Trenching. Bottom men. | 17 | .130 |
| Trenching. Scaffold men. | 17 | .002 |
| Trenching. Bracing men. | 17 | .002 |
| Backfilling. Shovel. | 17 | .010 |
| Backfilling. Team and scraper. | 30 | .008 |
| Backfilling. Man and scraper. | 17 | .005 |
| Water boy. | 10 | .006 |
| Foreman. | 30 | .022 |
| Total. | .450 | |
The construction of sewerage works may be paid for by the issue of municipal bonds, by special assessment, by funds available from the general taxes, or by private enterprise.
10. Bond Issues.—A municipal bond is a promise by the municipality to pay the face value of the bond to the holder at a certain specified time, with interest at a stipulated rate during the interim. The security on the bond is the taxable property in the municipality. The legal restrictions thrown around municipal bond issues, the value of the taxable property in the municipality, all of which may be used as security for municipal bonds, and the fact that a municipality can be sued in case of default, make municipal bonds desirable and provide a good market for 15their sale. The funds available from a municipal bond issue are limited by the amount that the legal limit is in excess of the outstanding issues. The legal limit varies in different states from about 5 to 15 per cent of the assessed value of the property in the municipality. In some cases the amount available from municipal bonds has been increased by forming a municipality within a municipality such as a sanitary district, a park district, a drainage district, etc., which comprises a large portion or all of an existing municipal corporation. This case is well illustrated in some parts of the City of Chicago where the municipal taxing powers are shared by the City government, the Sanitary District, and Park Commissioners. The right to create a new municipal corporation must be granted by the state legislature. Knowledge of fixed bonds, serial bonds, life of bonds, sinking funds, etc. is an important part of an engineer’s education.[14]
Bond issues must usually be presented to the voters for approval at an election. If approved, and other legal procedure has been followed, the bonds may be bought by some of the many bonding houses, or by private individuals, and the money is immediately available for construction. The bonds are redeemed by general taxation spread over the period of the issue.
11. Special Assessment.—A special assessment is levied against property benefited directly by the structure being paid for. Special assessments are used for the payment for the construction of lateral sewers which are a direct benefit to separate districts but are without general benefit to the city. In case the construction of an outfall sewer or the erection of a treatment plant, which may be of some general benefit, is necessary to care for a separate district, a part of the expense may be borne by funds available from general taxation. The legal procedure for the raising of funds by special assessment and the purpose to which the funds so raised may be applied are stipulated in great detail in different states and their directions must be followed implicitly. Illinois procedure, which is similar to that in some other states, is as follows: a meeting of the interested property owners is called by a committee or board of the municipal government, as the result of a petition by interested persons or through the independent action of the Board. At this preliminary meeting or 16public hearing arguments for and against the proposed improvement are heard. The engineer is present at this meeting to answer questions and to advise concerning the engineering features of the plan. If approval is given by the Board the plan and specifications are prepared complete in every detail and incorporated in an ordinance which is presented to the legislative branch of the city government for passage. If the project is adopted it is taken to the county court. An assessment roll is prepared by a commissioner appointed by the court. This roll shows the amount to be assessed against each piece of property benefited. A hearing is then held in the county court at which the owner of any assessed property may voice objections to the continuation of the project. The project may be thrown out of court for many different reasons, such as the misspelling of a street name, an error in an elevation, an error in the description of a pavement, but most important of all is definite proof that the benefit is not equal to the assessment. The many minor irregularities which may nullify the procedure in a special assessment differ in different states and in different courts in the same state, but in general no court can approve an assessment greater than the benefits given. After the project has passed through the county court and the assessment roll has been approved, bonds may be issued for the payment of the contractor. Special assessment bonds are liens against the property assessed and have not the same security as a general municipal bond. For this reason a city which has reached its legal limit of municipal bond issues can still pay for work by special assessment.
The funds available from special assessments are limited only by the benefit to the property assessed. The amount of the benefit is difficult to fix and may lead to much controversy. It should not exceed the amount demanded for similar work in other localities, unless unusual and well-understood reasons can be given.
12. General Taxation.—In paying for public improvements by general taxation the money is taken from the general municipal funds which have been apportioned for that purpose by the legislative department of the municipal government. This method of raising funds for sewerage construction is seldom used unless the political situation is unfavorable to the success of a bond issue or special assessment and the need for the improvement 17is great. It is usually difficult to appropriate sufficient funds for new construction as the general tax is apportioned to support only the operating expenses of the city, and statutory provisions limit the amount of tax which can be levied.
13. Private Capital.—Private capital has been used for financing sewerage works in some cases because of the aversion of the public in some cities to the payment of a tax for the negative service performed by a sewer. Sewers are buried, unseen, and frequently forgotten, but knowledge of their necessity has spread and the number of privately owned sewerage works is diminishing because of the better service which can be provided by the municipality.
Franchises are granted to private companies for the construction of sewers only after the city has exhausted other methods for the raising of capital. The return on the private capital invested is received from a rental paid by the city, or paid directly by the users of the system, an initial payment usually being demanded for connection to the system. To be successful the enterprise must be popular and must fill a great need. This method of financing sewerage works is seldom employed as favorable conditions are not common.
14. Preparing for Design.—Methods for the design of sewerage systems are given in Chapter V. Before the design is made certain information is essential. A survey must be made from which the preliminary map can be prepared as described in Art. 42. Other necessary information which is the basis of subsequent estimates of the quantity of sewage to be cared for must be obtained by a study of rates of water consumption and the density and growth of population, the measurement of the discharge from existing sewers, and the compilation of rainfall and run-off data. If no rainfall data are available estimates must be made from the nearest available data. Observations of rainfall or run-off for periods of less than 10 to 20 years are likely to be misleading. Methods for gathering and using this information are explained in subsequent chapters.
Underground surveys are desirable along the lines of the proposed sewers to learn of obstructions, difficult excavation 18and other conditions which may be met. All such data are seldom gathered except for sewerage systems involving the expenditure of a large amount of money. For construction in small towns or small extensions to an existing system the funds are usually insufficient for extensive preliminary investigation. The saving in this respect is paid unknowingly to the contractor as compensation for the risk in bidding without complete information.
15. Underground Surveys.—These may be more or less extensive dependent on the character of the district in which construction is to take place. In built-up districts the survey should be more thorough than in sparsely settled districts where only the character of the excavated material is of interest and no obstructions are to be met.
Underground surveys furnish to the engineer and to prospective bidders on contract work information on which the design and estimate of cost and the contractor’s bid may be based and without which no intelligent work can be done. By removing much of the uncertainty of the conditions to be met in the construction of the sewer, the design can be made more economical and the contractor’s bid should be markedly lower, sufficiently so to repay more than the expense of the survey. The information to be obtained consists of the location of the ground-water level, and the location and sizes of water, gas, and sewer pipes, telephone and electric conduits, street-car tracks, steam pipes, and all other structures which may in any way interfere with subsurface construction. These structures should be located by reference to some permanent point on the surface. The elevation of the top of the pipes, except sewers, rather than the depth of cover should be recorded, as the depth of cover is subject to change. The elevation of sewers should be given to the invert rather than to the top of the pipe.
A portion of the map of the subsurface conditions at Washington, D. C., is shown in Fig. 3. Many of the dimensions and notations are not shown to avoid confusion on this small reproduction.[15] Colors are generally used instead of different forms of cross hatching to show the different classes of pipe and structures. In addition to a record of the underground structures the character of the ground and the pavement should be recorded. A comprehensive underground survey is seldom available nor does time usually permit its being made preliminary to the design of a sewerage system. The character of the material through which the sewer is to pass should be determined in all cases.
Fig. 3.—Record Map of Underground Structures, Washington, D. C.
Eng. Record, Vol. 74, p. 263.
The various subsurface lines are differentiated by colors as follows: A—Sewers, vermilion. B—Water mains, blue. C—Potomac Electric Power Co., carmine. D—Washington Railway and Electric Co., carmine. E—Capital Traction Co., violet. F—Chesapeake and Potomac Telephone Co., green. G—Washington Gas Light Co., green. H—Western Union Telegraph Co., orange. I—Postal Telegraph Co., orange. K—Private vaults, black. L—City Electric Co., yellow.
Fig. 4.
Punch Drill.
Underground pipes and structures are located by excavations, which may be quite extensive in some cases. Their position is fixed by measurements referred to manholes and other underground structures which are somewhat permanent in position. A city engineer should grasp every opportunity to record underground structures when excavations are made in the streets. The character of the material through which the sewer is to pass is determined by borings.
16. Borings.—Methods used for the investigation of subsurface conditions preliminary to sewer construction are: punch drilling, boring with earth auger, jet boring, wash boring, percussion drilling, abrasive drilling, and hydraulic drilling. The last three methods named are used only for unusually deep borings or in rock.
Punch drills are of two sorts. The simplest punch drill consists of an iron rod ⅞ of an inch to 1 inch in diameter, in sections about 4 feet long. One section is sharpened at one end and threaded at the other so that the next section can be screwed into it without increasing the diameter of the rod, as shown in Fig. 4. The drill is driven by a sledge striking upon a piece of wood held at the top of the drill to prevent injury to the threads. The drill should be turned as it is driven to prevent sticking. It is pulled out by a hook and lever as shown in Fig. 5. It is useful in soft ground for soundings up to 8 to 12 feet in depth. Another form of punch drill described by A. C. Veatch[16] consists of a cylinder of steel or iron, one to two feet long split along one side and slightly spread. The lower portion is very slightly expanded and tempered into a cutting edge. In use it is attached to a rope or wooden poles and lifted and dropped in the hole by means of a rope given a few turns about a windlass or drum. By this process the material is forced up into the bit, slightly springs it, and so is held. When the bit is filled it is raised to the surface and emptied. Much 21deeper holes can be made with this than with the sharpened solid rod.
Fig. 5.—Lever for Pulling Punch Drill.
Fig. 6.—Earth Augers.
Types of earth augers about 1½-inches in diameter are shown in Fig. 6. They are screwed on to the end of a section of the pipe or rod and as the hole is deepened successive lengths of pipe or rod are added. The device is operated by two men. It is pulled by straight lifting or with the assistance of a link and lever similar to that shown in Fig. 5. The device is suitable for soft earth or sand free from stones, and can be used for holes 15 to 25 feet in depth. For deeper holes a block and tackle should be used for lifting the auger from the hole. It is not suitable for holes deeper than about 35 feet.
In the jetting method water is led into the hole through a ¾-inch or 1–inch pipe, and forced downward through the drill bit or nozzle against the bottom of the hole. The complete equipment is shown in Fig. 7.[17] It is not always necessary to case the hole as shown in the figure as the muddy water and the vibration of the pipe puddle the sides so that they will stand alone. The jet pipe may be churned in the hole by a rope passing over a block and a revolving drum. In suitable soft materials such as clay, sand, or gravel, holes can be bored to a depth of 100 feet and samples collected of the material removed. An objection to the method is the difficulty of obtaining sufficient water.
Fig. 7.—Jetting Outfit.
U. S. Geological Survey, Water Supply Paper, No. 257
1. Simple Jetting Outfit. 2. Jetting Process. 3. Common Jetting Drill. 4a and 4b. Expansion Bit or Paddy. 5. Drive Shoe.
23Methods of drilling in rock up to depths of 20 feet are described in Chapter XI under Rock Drilling. For deeper holes percussion, abrasive, or hydraulic methods as used for deep well drilling must be employed.
17. Dry weather Flow.—Estimates of the quantity of sewage flow to be expected are ordinarily based on the population, the character of the district, the rate of water consumption, and the probable ground-water flow. Future conditions are estimated and provided for, as the sewers should have sufficient capacity to care for the sewage delivered to them during their period of usefulness.
18. Methods for Predicting Population.—Methods for the prediction of future population are given in the following paragraphs.
The method of graphical extension. This is the quickest and most simple of all. In this method a curve is plotted on rectangular coordinates to any convenient scale, with population as ordinates and years as abscissas. The curve is extended into the future by judgment of its general tendency. An example is given of the determination of the population of Urbana, Illinois, in 1950. Table 4 contains the population statistics which have been plotted on line A in Fig. 8 and extended to 1950. The probable population in 1950 is shown by this line to be about 21,000.
The method of geometrical progression. In this method the rate of increase during the past few years or decades is assumed to be constant and this rate is applied to the present population to forecast the population in the future. For example the rate of increase of population in Urbana for the past 7 decades has varied widely, but indications are that for the next few decades it will be about 20 per cent. Applying this rate from 1920 to 1950 the population in 1950 is shown to be about 17,800. It is evident that this method may lead to serious error as insufficient information is given in the table to make possible the selection of the proper rate of increase.
| TABLE 4 | ||||||||||
|---|---|---|---|---|---|---|---|---|---|---|
| Population Studies | ||||||||||
| Year | Urbana, Illinois | Population of | ||||||||
| Population | Absolute Increase for Each Decade | Per Cent Increase for Each Decade | Decatur | Danville | Champaign | Kankakee | Peoria | Bloomington | Ann, Arbor Michigan | |
| 1850 | 210 | 736 | 5,095 | 1,594 | ||||||
| 1860 | 2,038 | 1828 | 85.6 | 3,839 | 1,632 | 1,727 | 2,984 | 14,045 | 7,075 | 5,097 |
| 1870 | 2,277 | 239 | 10.5 | 7,161 | 4,751 | 4,625 | 5,189 | 22,849 | 14,590 | 7,368 |
| 1880 | 2,942 | 665 | 22.6 | 9,547 | 7,733 | 5,103 | 5,651 | 29,259 | 17,180 | 8,061 |
| 1890 | 3,511 | 569 | 16.2 | 16,841 | 11,491 | 5,839 | 9,025 | 41,024 | 20,484 | 9,431 |
| 1900 | 5,728 | 2217 | 38.7 | 20,754 | 16,354 | 9,098 | 13,595 | 56,100 | 23,286 | 14,509 |
| 1910 | 8,245 | 2517 | 30.5 | 31,140 | 27,871 | 12,421 | 13,986 | 66,950 | 25,786 | 14,817 |
| 1920 | 10,230 | 1985 | 19.4 | 43,818 | 33,750 | 15,873 | 16,721 | 76,121 | 28,638 | 19,516 |
Fig. 8.—Diagram Showing Methods for Estimating Future Population.
26The method of utilizing a decreasing rate of increase. This method attempts to correct the error in the assumption of a constant rate of increase. After a certain period of growth, as the age of a city increases its rate of increase diminishes. In applying this knowledge to a prediction of the future population of a city the population curve is plotted, as in the graphical method and a straight line representing a constant rate or increase is drawn tangent to the curve at its end. The curve is then extended at a flatter rate in accordance with the rate of change of a similar nearby larger city. This method has not been applied to any of the cities included in Table 4, as none has reached that limiting period where the rate of increase has begun to diminish.
The method of utilizing an arithmetical rate of increase. This method allows for the error of the geometrical progression which tends to give too large results for old and slow-growing cities. This method generally gives results that are too low. The absolute increase in the population during the past decade or other period is assumed to continue throughout the period of prediction. Applying this method to the same case, the increase in the population during the past decade was 2,000. Adding three times this amount to the population in 1920, the population of Urbana in 1950 will be about 16,000.
The method involving the graphical comparison with other cities with similar characteristics. In this method population curves of a number of cities larger than Urbana but having similar characteristics, are plotted with years as abscissas and population as ordinates, with the present population of Urbana as the origin of coordinates. The population curve for Urbana is first plotted. It will lie entirely in the third quadrant as shown by the heavy full line in Fig. 8. The population curves of some larger cities are then plotted in such a manner that each curve passes through the origin at the time their population was the same as that of the present population of Urbana. These curves lie in the first and third quadrants. The population curve of the city in question is then extended to conform with the curves of older cities in the most probable manner as dictated by judgment. Such a series of plots has been made in Fig. 8. The results indicate that the population of Urbana in 1950 will be about 25,500.
The last method described will give the most probable result as it is the most rational. For quick approximations the geometrical 27progression is used. The arithmetical progression is useful only as an approximate estimate for old cities.
19. Extent of Prediction.—The period for which a sewerage system should be designed is such that each generation bears its share of the cost of the system. It is unfair to the present generation to build and pay for an extensive system that will not be utilized for 25 years. It is likewise unfair to the next generation to construct a system sufficient to comply with present needs only, and to postpone the payment for it by a long term bond issue. An ideal solution would be to plan a system which would satisfy present and future needs and to construct only those portions which would be useful during the period of the bond issue. Unfortunately this solution is not practical, because, 1st, it is less expensive to construct portions of the system such as the outfall, the treatment plant, etc., to care for conditions in advance of present needs, and 2nd, the life of practically all portions of a sewerage system is greater than the legal or customary time limit on bond issues.
A compromise between the practical and the ideal is reached by the design of a complete system to fulfill all probable demands, and the construction of such portions as are needed now in accordance with this plan. The payment should be made by bond issues with as long life as is financially or legally practical, but which should not exceed the life of the improvement.
The prediction of the population should therefore be made such that a comprehensive system can be designed with intelligence. Practice has seldom called for predictions more than 50 years in the future.
20. Sources of Information on Population.—The United States decennial census furnishes the most complete information on population. Unfortunately it becomes somewhat old towards the end of a decade. More recent information can be obtained from local sources. Practically every community takes an annual school census the accuracy of which is fairly reliable. The general tendencies of the population to change can be learned by a study of the post office records showing the amount of mail matter handled at various periods. Local chambers of commerce and newspapers attempt to keep records of population, but they are often inaccurate. Another source of information is the gross receipts of public service companies, such as street railways, water, 28gas, electricity, telephone, etc. The population can be assumed to have increased almost directly as their receipts, with proper allowance for change in rates, character of management, and other factors.
21. Density of Population.—So far the study of population has been confined to the entire city. It is frequently necessary to predict the population of a district or small section of a city. A direct census may be taken, or more frequently its population is determined by estimating its density based on a comparison with similar districts of known density, and multiplying this density by the area of the district. In determining the density, statistics of the population of the entire city will be helpful but are insufficient for such a problem. A special census of the area involved would be conclusive but is generally considered too expensive. A count of the number of buildings in the district can be made quickly, and the density determined by approximating the number of persons per building. Statistics of the population of various districts together with a description of the character of the district are given in Table 5.
Fig. 9.—Density, Area, and Population, Cincinnati, Ohio. 1850 to 1950.
| 29 | |||
| TABLE 5 | |||
|---|---|---|---|
| Densities of Population | |||
| City | Character of District | Area, Acres | Density per Acre |
| Philadelphia | Thomas Run. Residential. Mostly pairs of two and three-story houses. 1204 acres settled. | 1,840 | 59 |
| Pine Street. Residential. Mostly solid four to six-story houses. 156 acres settled. | 160 | 97 | |
| Shunk Street. Residential. Mostly pairs of two and three-story houses. 539 acres settled. | 539 | 119 | |
| Lombard Street. Tenements and hotels, 145 acres settled. | 147 | 113 | |
| York Street. Residential and manufacturing. 354 acres settled. | 358 | 94 | |
| New York City | Residential. Three-story dwellings with 18–foot frontage, and four-story flats with 20–foot frontage. | 100 | |
| Residential. Five-story flats. | 520–670 | ||
| Residential. Six-story flats. | 800–1000 | ||
| Residential. Six-story apartments. High class. | 300 | ||
| Chicago | 1st Ward. Retail and commercial. The “Loop”. | 1,440 | 20.5 |
| 2d Ward. Commercial and low-class residential solidly built up. | 800 | 53.5 | |
| 3d Ward. Low-class residential. | 960 | 48.1 | |
| 5th Ward. Industrial. Some low-class residences. Not solidly built up. | 2,240 | 25.51 | |
| 6th Ward. Residential. Four and five-story apartments. A few detached residences. | 1,600 | 47.0 | |
| 7th Ward. Same as Ward 6. Not solidly built up. Contains a large park. | 4,160 | 21.7 | |
| 8th Ward. Industrial. Sparsely settled. | 13,624 | 4.8 | |
| 9th Ward. Industrial and low-class residential. Solidly built up. | 640 | 70.0 | |
| 10th Ward. Same as Ward 9. | 640 | 80.8 | |
| 13th Ward. Low-class residential. Solidly built with three and four-story flats. | 6,100 | 36.7 | |
| 30 | 16th Ward. Middle-class residential. Some industries. Well built up. | 800 | 81.5 |
| 19th Ward. Industrial and commercial. Some low-class residences. | 640 | 90.7 | |
| 20th Ward. Low-class residential. Some industries. Entirely built up. | 800 | 77.1 | |
| 21st Ward. Industrial. Entirely built up. | 960 | 49.9 | |
| 23d Ward. Industrial and residential. | 800 | 55.4 | |
| 24th Ward. Residential apartment houses and middle-class residences. | 1,120 | 46.8 | |
| 25th Ward. Residential. High-class apartments. Wealthy homes. Contains a large park. | 4,160 | 24.0 | |
| 26th Ward. Residential. Middle-class homes and apartments. Fairly well built up. | 4,640 | 16.1 | |
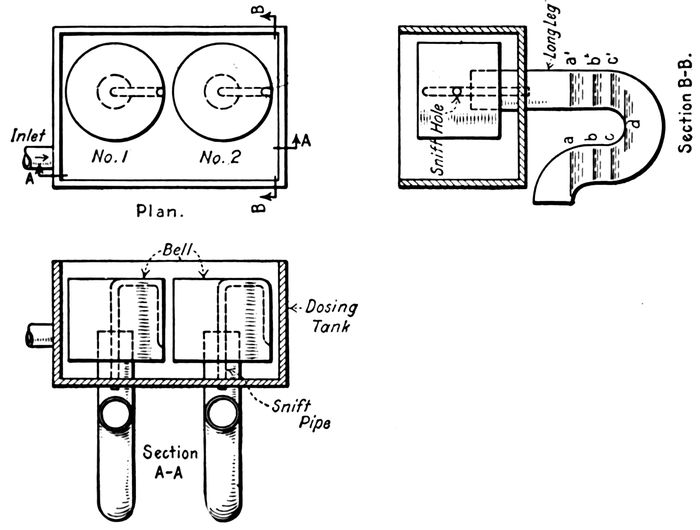
| 27th Ward. Residential. Sparsely settled. | 20,480 | 5.5 | |
| 29th Ward. Low-class residential. Two-story frame houses. “Back of the Yards”. | 6,400 | 12.8 | |
| 30th Ward. The Stock Yards. | 1,280 | 40.1 | |
| 32d Ward. Scattered residences. | 8,480 | 8.3 | |
| 33d Ward. Scattered residences. | 12,944 | 5.5 | |
| 35th Ward. Scattered residences. | 4,960 | 12.0 | |
| General average | The most crowded conditions with five-story and higher, contiguous buildings in poor class districts. | 750–1000 | |
| Five and six-story contiguous flat buildings. | 500–750 | ||
| Six-story high-class apartments. | 300–500 | ||
| Three and four-story dwellings, business blocks and industrial establishments. Closely built up. | 100–300 | ||
| Separate residences, 50 to 75–foot fronts, commercial districts, moderately well built up. | 50–100 | ||
| Sparsely settled districts and scattered frame dwellings for individual families. | 0–50 | ||
31The density of population in Cincinnati from 1850 to 1913 with predictions to 1950 is given in Fig. 9.[18] This shows the densities for the entire city and is illustrative of the manner in which future conditions were predicted for the design of an intercepting sewer. The data given in Table 5 are of value in estimating the densities of population in various districts. The Committee on City Plan of the Board of Estimate and Apportionment of New York City obtained some valuable information on this point, especially in Manhattan. Three-story dwellings with 18–foot frontage, or four-story flats with 20–foot frontage, presumably contiguous, were found to hold 100 persons to the acre. Five-story flats held 520 to 670 persons per acre. Six-story flats held 800 to 1,000 persons per acre, and high-class six-story apartments held less than 300 per acre.
22. Changes in Area.—In order to determine the probable extent of a proposed sewerage system it is important to estimate the changes in the area of a city as well as the changes in the population. With the same population and an increased area the quantity of sewage will be increased because of the larger amount of ground water which will enter the sewers. Predictions of the area of a city are less accurate than predictions of population because the factors affecting changes cannot be so easily predicted. An area curve plotted against time would be helpful in guiding the judgment, but its extension into the future based on past occurrences would be futile. A knowledge of the city, its political tendencies, possibilities of extension, and other factors must be weighed and judged. The engineer, if he is ignorant of the city for which he is making provision, is dependent upon the testimony of real estate men, business men and others acquainted with the local situation.
23. Relation between Population and Sewage Flow.—The amount of sewage discharged into a sewerage system is generally equal to the amount of water supplied to a community, exclusive of ground water. The entire public water supply does not reach the sewers, but the losses due to leakage, lawn sprinkling, manufacturing processes, etc., are made up by additions from private water supplies, surface drainage, etc. The estimated quantity of water used but which did not reach the sewers in Cincinnati is shown in Table 6. The amount shown represents 38 per cent of the total consumption. Unless direct observations have been made on existing sewers or other factors are known which will affect the relation between water supply and sewage, the average sewage flow exclusive of ground water, should be taken as the 32average rate of water consumption. Experience has shown that water consumption increases after the installation of sewers.
| TABLE 6 | |
|---|---|
| Estimated Quantity of Water Used but not Discharged into the Sewers in Cincinnati | |
| Expressed in gallons per capita per day, and based on a total consumption of 125 to 150 gallons per capita per day. | |
| Steam railroads. | 6 to 7 |
| Street sprinklers. | 6 to 7 |
| Consumers not sewered. | 9 to 10½ |
| Manufacturing and mechanical. | 6 to 7 |
| Lawn sprinklers. | 3 to 3½ |
| Leakage. | 18 to 21 |
The public water supply is generally installed before the sewerage system. By collecting statistics on the rate of supply of water a fair prediction can be made of the quantity of sewage which must be cared for. The rate of water supply varies widely in different cities. It is controlled by many factors such as meters, cost and availability of water, quality of water, climate, population, etc. In American cities a rough average of consumption is 100 gallons per capita per day. Other factors being equal the rate of consumption after meters have been installed will be about one-half the rate before the meters were installed. Low cost, good quantity and good quality will increase the rate of consumption, and the rate will increase slowly with increasing population. Statistics of rates of water consumption are given in Table 7.
24. Character of District.—The various sections of a city are classified as commercial, industrial, or residential. The residential districts can be subdivided into sparsely populated, moderately populated, crowded, wealthy, poor, etc. Commercial districts may be either retail stores, office buildings, or wholesale houses. Industrial districts may be either large factories, foundries, etc., or they may be made up of small industries housed in loft buildings.
In cities of less than 30,000 population the refinement of such subdivisions is generally unnecessary in the study of sewage flow, all districts being considered the same. The data given in Tables 8 and 9 indicate the difference to be found in different districts of 33large cities. The Milwaukee data are presented in a form available for estimates on different bases. These data are shown in Table 10.
| TABLE 7 | |||
|---|---|---|---|
| Rates of Water Consumption | |||
| From Journals of American and New England Water Works Associations | |||
| City | Population in Thousands | Per Cent Metered | Consumption, Gal. per Capita per Day |
| Tacoma, Wash. | 100 | 11.6 | 460 |
| Buffalo, N. Y. | 450 | 4.9 | 310 |
| Cheyenne, Wyo. | 13 | 270 | |
| Erie, Pa. | 72 | 3.0 | 198 |
| Philadelphia, Pa. | 1611 | 4.6 | 180 |
| St. Catherines, Ont. | 17 | 3.2 | 160 |
| Port Arthur, Ont. | 18 | 14.7 | 145 |
| Ogdensburg, N. Y. | 18 | 0.2 | 140 |
| Los Angeles, Cal. | 516 | 77.9 | 140 |
| Wilmington, Del. | 92 | 43.7 | 125 |
| Lancaster Pa. | 60 | 34.6 | 120 |
| Richmond, Va. | 120 | 75.2 | 115 |
| St. Louis, Mo. | 730 | 6.7 | 110 |
| Springfield, Mass. | 100 | 94.4 | 110 |
| Keokuk, Ia. | 14 | 64.5 | 105 |
| Jefferson City, Mo. | 13.5 | 34.4 | 100 |
| Muncie, Ind. | 30 | 23.8 | 95 |
| Burlington, Ia. | 24 | 4.5 | 90 |
| Council Bluffs, Ia. | 32 | 75.5 | 80 |
| San Diego, Cal. | 85 | 100 | 80 |
| Monroe, Wis. | 3 | 100 | 80 |
| Yazoo City, Miss. | 7 | 84.1 | 75 |
| Oak Park, Illinois. | 26 | 100 | 70 |
| Portsmouth, Va. | 75 | 8.1 | 65 |
| New Orleans, La. | 360 | 99.7 | 60 |
| Rockford, Ill. | 53 | 93.0 | 55 |
| Fort Dodge, Ia. | 20 | 96.0 | 50 |
| Manchester, Vt. | 1.5 | 69.0 | 45 |
| Woonsocket, R. I. | 47.5 | 95.6 | 35 |
Attempts have been made to express the rate of sewage flow in different units other than in gallons per capita per day. A unit in terms of gallons per square foot of floor area tributary has been suggested for commercial and industrial districts. It has not been generally adopted. The rates of flow in New York City as reported in this unit by W. S. McGrane are given in Table 11.
The most successful way to predict the flow from commercial or industrial districts is to study the character of the district’s activities and to base the prediction on the quantity of water demanded by the commerce and industry of the district affected.
25. Fluctuations in Rate of Sewage Flow.—The rate of flow of sewage from any district varies with the season of the year, the day of the week, and the hour of the day. The maximum and minimum rates of sewage flow are the controlling factors in the design of sewers. The sewers must be of sufficient capacity 34to carry the maximum load which may be put upon them, and they must be on such a grade that deposits will not occur during periods of minimum flow. The maximum and minimum rates of flow are usually expressed as percentages of the average rate of flow.
| TABLE 8 | |||
|---|---|---|---|
| Sewage Flow from Different Classes of Districts | |||
| Arranged from data by Kenneth Allen in Municipal Engineer’s Journal, Feb., 1918. | |||
| District | Gallons per Capita per Day | Gallons per Acre per Day | |
| Buffalo, N. Y. From Report of International Joint Commission on the Pollution of Boundary Waters: | |||
| Industrial: Metal and automobile plants. Maximum. | 13,000 | ||
| Industrial: Meat packing, chemical and soap. | 16,000 | ||
| Commercial: Hotels, stores and office buildings. | 60,000 | ||
| Domestic: Average. | 80 | ||
| Domestic: Apartment houses. | 147 | ||
| Domestic: First-class dwellings. | 129 | ||
| Domestic: Middle-class dwellings. | 81 | ||
| Domestic: Lowest-class dwellings. | 35.5 | ||
| Cincinnati, Ohio. 1913 Report on Sewerage Plan: | |||
| Industrial, in addition to residential and ground water. | 9,000 | ||
| Commercial, in addition to residential and ground water. | 40,000 | ||
| Domestic. | 135 | ||
| Detroit, Mich.: | |||
| Domestic. | 228 | ||
| Industrial, in addition to residential and ground water. | 12,000 | ||
| Commercial, in addition to residential and ground water. | 50,000 | ||
| Milwaukee, Wis. 1915 Report of Sewerage Commission: | |||
| Industrial, maximum. | 81 | 16,600 | |
| Industrial, average. | 31 | 8,300 | |
| Commercial, maximum. | 60,500 | ||
| Commercial, average. | 37,400 | ||
| Wholesale commercial, maximum. | 20,000 | ||
| Wholesale commercial, average. | 9,650 | ||
| 35 | ||||||||
| TABLE 9 | ||||||||
|---|---|---|---|---|---|---|---|---|
| Observed Water Consumption in Different Classes of Districts in New York City | ||||||||
| From data by Kenneth Allen in Municipal Engineers Journal, for 1918 | ||||||||
| Hotels | Daily Cons. Gals. per 1000 Sq. Ft. Floor Area | Tenements | Daily Cons. Gals. per 1000 Sq. Ft. Floor Area | Office and Loft Buildings | Daily Cons. Gals. per 1000 Sq. Ft. Floor Area | |||
| Building | Max.[19] | Avg. | Location | Max.[19] | Avg. | Building | Max.[19] | Avg. |
| Hotel Biltmore. | 470 | 368 | 78th–79th St. and B’way. | 256 | 192 | McGraw Bldg. | 309 | 206 |
| Hotel McAlpin. | 753 | 694 | 410 E. 65th St. | 350 | 295 | N. Y. Telephone Bldg. | 194 | |
| Hotel Plaza. | 630 | 578 | 30th St. and Madison Ave | 306 | 188 | Met. Life Bldg. | 256 | |
| Hotel Waldorf Astoria. | 618 | 482 | 27 Lewis St. | 307 | 250 | 42d St. Bldg | 271 | |
| Hotel Astor. | 732 | 492 | 258 Delancey St. | 267 | 226 | Municipal Bldg. | 118 | |
| Hotel Vanderbilt. | 604 | 545 | Equitable Bldg. | 366 | 268 | |||
| Average | 634 | 526 | Average | 297 | 230 | Average | 338 | 219 |
| TABLE 10 | |||
|---|---|---|---|
| Sewage Flow from Different Classes of Districts Based on 1915 Report of Milwaukee Sewerage Commission | |||
| Ratio of maximum to average rate for department store district. | 1.755 | ||
| Ratio of maximum to average rate for hotel district. | 1.65 | ||
| Ratio of maximum to average rate for office building district. | 1.51 | ||
| Ratio of maximum to average rate for wholesale commercial district. | 2.1 | ||
| Average and maximum gallons per thousand square feet of floor area: | Avg. | Max. | |
| For department store district. | 232 | 407 | |
| For office building district. | 541 | 891 | |
| For wholesale commercial district. | 164 | 344 | |
| For all districts except wholesale commercial. | 381 | 618 | |
| Average and maximum gallons per day: | |||
| For all districts except wholesale commercial. | 17,700 | 29,800 | |
| For wholesale commercial district. | 9,650 | 20,000 | |
| TABLE 11 | ||||||||||
|---|---|---|---|---|---|---|---|---|---|---|
| Rates of Consumption Predicted for Different Districts in New York City | ||||||||||
| District | Net Bldg. Area in Sq. Ft. per Acre for Ultimate Consumption | Avg. Number of Floors | Observed Cons. in g.p.d. per 1000 Sq. Ft. Max. | Observed Cons. in g.p.d. per 1000 Sq. Ft. Avg. | Predicted Mean Cons. | Predicted Mean in Million Gals. per Acre per Day | Predicted Dry Weather Flow, c.f.s. per Acre | Predicted Max. Dry Weather Flow, c.f.s. per Acre | Measured Avg. Dry Weather Flow, c.f.s. per Acre | Measured Max. Dry Weather Flow, c.f.s. per Acre |
| Hotel and midtown. | 24,800 | 15 | 634 | 526 | 500 | .20 | .29 | .34 | 1.04 | .146 |
| Midtown and financial. | 24,800 | 15 | 338 | 219 | 300 | .12 | .18 | .23 | .078 | .110 |
| East and West of midtown. | 24,800 | 10 | 297 | 230 | 300 | .074 | .12 | .15 | .057 | .097 |
| Apartment, 59th to 155th Sts. | 20,400 | 7 | 230 | 300 | .043 | .06 | .09 | |||
| Manhattan north of 155th St. | 20,400 | 5 | 230 | 300 | .031 | .05 | .08 | |||
| Midtown district consists of department stores, large railroad terminals, industrial and loft buildings, and sky-scraper office building. | ||||||||||
It is difficult to set any definite figure for the percentage which the maximum rate of flow is of the average. Fluctuations above and below the average are greater the smaller the tributary population. This relation can be expressed empirically as
in which M represents the per cent which the maximum flow is of the average, and P represents the tributary population in thousands. The expression should not be used for populations below 1,000 nor above 1,000,000. Having determined the expected average flow of sewage by a study of the population, water consumption, etc., the maximum quantity of sewage is determined by multiplying the average flow by the per cent which the maximum is of the average. In this connection W. G. Harmon[20] offers the relation
which was used in the design of the Ten Mile Creek intercepting sewer at Toledo, Ohio. For rough estimates and for comparative purposes the ratio of the average to the minimum flow can be 37taken the same as the ratio of the maximum to the average flow, unless direct gaugings or other information show it to be otherwise.
Fig. 10.—Daily and Hourly Variations of Sewage Flow.
The fluctuations of flow in commercial and industrial districts are so different from those in residential districts that the formulas given should not be used in the design of sewers other than those draining residential areas. It is reasonable to suppose that fluctuations in rates of flow from industrial districts are dependent 38upon the character of the tributary industries. A study of these industries will give valuable light on the maximum and minimum rates at which sewage will be delivered to the sewers.
Hourly, daily, and seasonal fluctuations in rates of sewage flow are of interest in the design of pumping stations to give knowledge of the rates at which the pumps must operate at various periods. The fluctuations in rates of sewage flow during various hours and days in different cities and districts are shown in Fig. 10. Fluctuations in rate of flow of sewage lag behind fluctuations in rate of water consumption, the time being dependent on the distance through which the wave of change must travel in the sewer.
26. Effect of Ground Water.—Sewers are seldom laid with water-tight joints. Since they usually lie below the ground water level it is inevitable that a certain amount of ground water will enter. Various units have been suggested for the expression of the inflow of ground water in an attempt to include all of the many factors. Some of these units are: gallons per acre drained by the sewer per day, gallons per mile of pipe per day, gallons per inch diameter per mile of pipe per day, etc. Since the ground water enters pipe sewers at the joints, the longer the joints the greater the probability of the entrance of ground water. The last unit is therefore the most logical but the accuracy of the result is scarcely worthy of such refinement and the unit usually adopted is gallons per mile of pipe per day.
No definite figure can be given for the amount of ground water to be expected in sewers since the character of the soil and the ground water pressure must be considered. Relatively normal infiltration may be found from 5,000 to 80,000 gallons per mile of pipe per day. The minimum is seldom reached in wet ground and the maximum is frequently exceeded. Table 12 shows the amount of ground water measured in various sewers as given by Brooks.[21]
27. Résumé of Method for Determination of Quantity of Dry weather Sewage.—The steps in the determination of the quantity of sewage are: determine the period in the future for which the sewers are to be designed; estimate the population and tributary area at the end of this period; estimate the rate of water consumption and assume the sewage flow to equal the water consumption; determine the maximum and minimum rates of sewage flow; and finally, estimate the maximum rate of ground water seepage and add it to the maximum rate of sewage flow to give the total quantity of sewage to be carried by the proposed sewers.
| TABLE 12 | |||||||||
|---|---|---|---|---|---|---|---|---|---|
| Data on the Infiltration of Ground Water into Sewers | |||||||||
| Abstracted from paper by J. N. Brooks in Transactions Am. Society of Civil Engineers, Vol. 76, p. 1909. | |||||||||
| Place | Shape | Diameter or Dimensions in Inches | Material | Wet Trench, Per Cent of Total Length | Avg. Head of Ground Water, Fee | Character of Subgrade | Gallons per 24 Hours | ||
| Per Foot of Joint | Per Inch Diameter Per Mile of Pipe | Per Mile of Pipe | |||||||
| Boston, Mass. | Circ. | 8 to 36 | V.P. | 2.6 | 1,818 | 40,000 | |||
| East Orange, N. J. | 10 | Q. | 22,400 | ||||||
| East Orange, N. J. | 8 to 24 | V.P. | 0.8 | 540 | 8,650 | ||||
| Joint trunk sewer, New Jersey | G. & Q. | 25,000 | |||||||
| Rogers Park, Ill. | 6 | 0.3 | 207 | 1,240 | |||||
| Altoona, Pa. | 30 | 5.0 | 2,890 | 86,592 | |||||
| Concord, Mass. | 18 | 8 | 43,000 | ||||||
| Malden, Mass. | Circ. | V.P. | 60 | 50,000 | |||||
| Westboro, Mass. | 15 | V.P. | 100 | 88,100 | 1,320,300 | ||||
| Fond du Lac, Wis. | Circ. | 24 | V.P. | 100 | 5 | C. | 1.5 | 1,010 | 24,370 |
| East Orange, N. J. | Circ. | 10 to 24 | V.P. | 100 | 4.7 | 2,540 | 43,250 | ||
| Ocean Grove, N. J. | Circ. | 4 to 12 | V.P. | 100 | 3 | S.C. | 2.7 | 1,890 | 15,126 |
| Ocean Grove, N. J. | Circ. | 4 to 12 | V.P. | 100 | 4 | S.C. | 7.9 | 5,480 | 43,764 |
| East Orange, N. J. | Rect. | 24 × 36 | Brick | 100 | 570,000 | ||||
| Westboro, Mass. | Brick | 415,850 | |||||||
| Altoona, Pa. | Rect. | 33 × 44 | B. & C. | 5,390 | 264,000 | ||||
| Columbus, Ohio. | H.S. | 42 × 42 | Concrete | 120 | 6,340 | ||||
| Bronx Valley, N. Y. | Circ. | 44 to 72 | Concrete | G. | 123 | 7,266 | |||
| Cincinnati, Ohio. | Estimated in design. Data not from Brooks | 67,500 | |||||||
| Milwaukee, Wis. | Residential districts, gals. per acre per day. Not taken from Brooks | 1460 to 2200 | |||||||
| Abbreviations: H.S. = horseshoe shaped; B. & C = Brick and concrete; V.P. = vitrified pipe; G. = gravel; Q. = quicksand; S. C. = sand clay; C. = clay. | |||||||||
28. The Rational Method.—The water which falls during a storm must be removed rapidly in order to prevent the flooding of streets and basements, and other damages. The quantity of water to be cared for is dependent upon: the rate of rainfall, the character and slope of the surface, and the area to be drained. All methods for the determination of storm-water run-off, whether rational or empirical, depend upon these factors.
The so-called Rational Method can be expressed algebraically, as,
The area to be drained is determined by a survey. A discussion of R and I follows in the next two sections. An example of the use of the Rational Method is given on page 95.
29. Rate of Rainfall.—Rainfall observations have been made over a long period of time by United States Weather Bureau observers and others. Continuous records are available in a few places in this country showing rainfall observations covering more than a century. Such records have been the bases for a number of empirical formulas for expressing the probable maximum rate of rainfall in inches per hour, having given the duration of the storm. Table 13 is a collection of these formulas with a statement as to the conditions under which each formula is applicable. The formula most suitable to the problem in hand should be selected for its solution.[22]
| 41 | ||
| TABLE 13 | ||
|---|---|---|
| Rainfall Formulas | ||
| Name of Originator | Conditions for which Formula is Suitable | Formula |
| E. S. Dorr | i = 150 t + 30 |
|
| A. N. Talbot | Maximum storms in Eastern United States | i = 360 t + 30 |
| A. N. Talbot | Ordinary storms in Eastern United States | i = 105 t + 15 |
| Emil Kuichling | Heavy rainfall near New York City | i = 120 t + 20, etc. |
| L. J. Le Conte | For San Francisco. See T. A. S. C. E. v. 54, p. 198 | i = 7 t½ |
| Sherman | Maximum for Boston, Mass. | i = 25.12 t.687 |
| Sherman | Extraordinary for Boston, Mass. | i = 18 t ½ |
| Webster | Ordinary for Philadelphia, Pa. | i = 12 t0.6 |
| Hendrick | Ordinary storms for Baltimore. Eng. & Cont., Aug. 9. 1911 | i = 105 t + 10 |
| J. de Bruyn-Kops | Ordinary storms for Savannah, Ga. | i = 163 t + 27 |
| C. D. Hill | For Chicago, Ill. | i = 120 t + 15 |
| Metcalf and Eddy | Louisville, Ky. Am. Sew. Prac., Vol I. | i = 14 t½ |
| W. W. Horner | St. Louis, Mo. Eng. News, Sept. 29, 1910 | i = 56 (t + 5).85 |
| R. A. Brackenbuy | For Spokane, Wash. Eng. Record, Aug. 10, 1912 | i = 23.92 t + 2.15 + 0.154 |
| Metcalf and Eddy | New Orleans | i = 19 t½ |
| Metcalf and Eddy | For Denver, Colo. | i = 84 t + 4 |
| Kenneth Allen | Central Park, N. Y. 51–Year Record. Eng. News-Record, April 7, 1921, p. 588 | i = 400 2t + 40[23] |
30. Time of Concentration.—By the time of concentration is meant the longest time without unreasonable delay that will be required for a drop of water[24] to flow from the upper limit of a drainage area to the outlet. Assuming a rainfall to start suddenly 42and to continue at a constant rate and to be evenly distributed over a drainage area of 100 per cent imperviousness and even slope towards one point, the rate of run-off would increase constantly until the drop of water from the upper limit of the area reached the outlet, after which the rate of run-off would remain constant. In nature the rate of rainfall is not constant. The shorter the duration of a storm the greater the intensity of rainfall. Therefore the maximum run-off during a storm will occur at the moment when the upper limit of the area has commenced to contribute. From that time on the rate of run-off will decrease.
The time of concentration can be measured fairly well by observing the moment of the commencement of a rainfall, and the time of maximum run-off from an area on which the rain is falling. A prediction of the time of concentration is more or less guess work. As the result of measurements some engineers assume the time of concentration on a city block built up with impervious roofs and walks, and on a moderate slope, is about 5 to 10 minutes. This is used as a basis for the judgment of the time of concentration on other areas. For relatively large drainage areas such a method cannot be used. The procedure is to measure the length of flow through the drainage channels of the area, to assume the velocity of the flood crest through these channels and thus to determine the time of concentration. Table 14 shows the flood crest velocities in various streams of the Ohio River Basin under flood conditions. The velocity over the surface of the ground may be approximated by the use of the formula[25]
For areas up to 100 acres where natural drainage channels are not existent this formula will give more satisfactory results than guesses based on the time of concentration of certain known areas.
Having determined the time of concentration, the rate of rainfall R to be used in the Rational Method is found by substitution in some one of the rainfall formulas given in Table 13.
| 43 | |||||||
| TABLE 14 | |||||||
|---|---|---|---|---|---|---|---|
| Flood Crest Velocities in Ohio River Basin in March, 1913 | |||||||
| From Table 12. U. S. G. S., Water Supply Paper. No. 334 | |||||||
| River | Stations | Distance between Stations in Miles | Distance to Mouth of River, Miles | Distance of Lower Station below Starting-point, Miles | Velocity between Stations, Miles per Hour | Velocity from Pittsburgh, Miles per Hour | Time between Stations in Hours |
| Ohio | Pittsburgh, Pa., to Wheeling, W. Va. | 90 | 967 | 90 | 9.0 | 9.0 | 10.0 |
| Ohio | Wheeling, W. Va., to Marietta, Ohio | 82 | 877 | 172 | 5.9 | 7.2 | 14 |
| Ohio | Marietta, Ohio, to Parkersburg, W. Va. | 12 | 795 | 184 | 0.9 | 4.8 | 14 |
| Ohio | Parkersburg to Point Pleasant, W. Va. | 80 | 783 | 264 | 6.7 | 5.3 | 12 |
| Ohio | Point Pleasant to Huntington, W. Va. | 44 | 703 | 308 | 11.0 | 5.7 | 4 |
| Ohio | Huntington to Catlettsburg, W. Va. | 9 | 659 | 317 | 0.8 | 4.1 | 11 |
| Ohio | Catlettsburg, W. Va., to Portsmouth, Ohio | 38 | 650 | 355 | 5.0 | ||
| Ohio | Portsmouth Ohio, to Maysville, Ky. | 52 | 612 | 407 | 5.2 | 5.0 | 10 |
| Ohio | Maysville, Ky., to Cincinnati, Ohio | 61 | 560 | 468 | 6.8 | 5.2 | 9 |
| Ohio | Cincinnati, Ohio, to Louisville, Ky. | 136 | 499 | 604 | 11.4 | 5.9 | 12 |
| Ohio | Louisville, Ky., to Evansville, Ind. | 183 | 363 | 787 | 1.9 | 5.3 | 96 |
| Ohio | Evansville, Ind., to Mt. Vernon Ind. | 36 | 180 | 823 | 9.0 | 5.3 | 4 |
| Ohio | Mt. Vernon, Ind., to Paducah, Ky. | 101 | 144 | 924 | 2.1 | 4.6 | 48 |
| Ohio | Paducah, Ky. to Cairo, Ill. | 43 | 43 | 967 | 2.9 | 4.2 | 15 |
| Monongahela | Fairmont, W. Va., to Lock No. 2 Pa. (Upper) | 107 | 119 | 107 | 6.7 | 16 | |
| Little Kanawha | Creston, W. Va., to Dam. No. 4 W. Va. (Upper) | 16 | 48 | 16 | 16.0 | 1 | |
| New | Radford, W. Va., to Hinton, W. Va. | 78 | 139 | 78 | 3.0 | 26 | |
| Kanawha | Kanawha Falls, W. Va. to Charleston, W. Va. | 37 | 95 | 37 | 2.6 | 14 | |
| Scioto | Columbus, Ohio, to Chillicothe, Ohio | 52 | 110 | 52 | 4.7 | 11 | |
| Miami | Dayton, Ohio, to Hamilton, Ohio | 44 | 77 | 44 | 14.7 | 3 | |
| Kentucky | Highbridge, Ky., to Frankfort, Ky. | 52 | 117 | 52 | 5.2 | 10 | |
| Cumberland | Celina, Tenn. to Nashville, Tenn. | 190 | 383 | 190 | 2.9 | 64.5 | |
| Tennessee | Knoxville to Chattanooga, Tenn. | 183 | 635 | 183 | 3.2 | 57 | |
| Note.—The velocities shown are the velocities of the crest of the flood wave and are not the average velocity of the flow of the river. The velocity of the crest of the flood wave should be used in determining the time of concentration. The flood crest velocity is slower then that of the river because of the storage in the river basin. | |||||||
4431. Character of Surface.—The proportion of total rainfall which will reach the sewers depends on the relative porosity, or imperviousness, and the slope of the surface. Absolutely impervious surfaces such as asphalt pavements or roofs of buildings will give nearly 100 per cent run-off regardless of the slope, after the surfaces have become thoroughly wet. For unpaved streets, lawns, and gardens the steeper the slope the greater the per cent of run-off. When the ground is already water soaked or is frozen the per cent of run-off is high, and in the event of a warm rain on snow covered or frozen ground, the run-off may be greater than the rainfall. The run-off during the flood of March, 1913, at Columbus, Ohio, was over 100 per cent of the rainfall. Table 15[26] shows the relative imperviousness of various types of surfaces when dry and on low slopes. The estimates for relative imperviousness used in the design of the Cincinnati intercepter are given in Table 16.
| TABLE 15 | ||
|---|---|---|
| Values of Relative Imperviousness | ||
| Roof surfaces assumed to be water-tight | 0.70– | 0.95 |
| Asphalt pavements in good order | .85– | .90 |
| Stone, brick, and wood-block pavements with tightly cemented joints | .75– | .85 |
| The same with open or uncemented joints | .50– | .70 |
| Inferior block pavements with open joints | .40– | .50 |
| Macadamized roadways | .25– | .60 |
| Gravel roadways and walks | .15– | .30 |
| Unpaved surfaces, railroad yards, and vacant lots | .10– | .30 |
| Parks, gardens, lawns, and meadows, depending on surface slope and character of subsoil | .05– | .25 |
| Wooded areas or forest land, depending on surface slope and character of subsoil | .01– | .20 |
| Most densely populated or built up portion of a city | .70– | .90 |
| TABLE 16 | ||||||||||
|---|---|---|---|---|---|---|---|---|---|---|
| Coefficients of Imperviousness Used in the Design of the Cincinnati Sewers | ||||||||||
| Character of Improvement | Typical Commercial Area, 30.4 A. None Undeveloped. Sand and Gravel | Combined Tenement and Industrial. 35.6 A., 55 per Acre. Clay, Sand and Gravel | Residential, 291.1 A. 20 per Acre, Middle Class, Detached Dwellings, Yellow and Blue Clay Overlying Beds of Shale and Sandstone | |||||||
| Area in 1000’s Square Feet | Per Cent Total Area | I, Estimated | Equivalent Imp. Area, 1000’s Square Feet | Area in 1000’s Square Feet | Per Cent Total Area | I, Estimated | Per Cent of Total Area | I, Estimated | ||
| Roofs: | ||||||||||
| Public and commercial | 881.2 | 66.5 | 0.90 | 793.0 | 66.8 | 4.3 | 0.40 | 4.8 | 0.40 | |
| Residences | 289.2 | 18.6 | .90 | 13.1 | .90 | |||||
| Barns and sheds | 79.2 | 5.1 | .75 | 1.4 | .75 | |||||
| Interior Walks: | ||||||||||
| Brick | 7.5 | 0.6 | .40 | 3.0 | 35.6 | 2.3 | .40 | 0.6 | .40 | |
| Cement | 10.0 | 0.7 | .75 | 7.5 | 22.6 | 1.5 | .75 | 2.6 | .75 | |
| Street Walks: | ||||||||||
| Brick | 6.1 | 0.5 | .40 | 2.4 | 48.2 | 3.1 | .40 | 1.0 | .40 | |
| Cement | 139.3 | 10.5 | .75 | 104.5 | 78.1 | 5.0 | .75 | 3.4 | .75 | |
| Street Pavements: | ||||||||||
| Asphalt, brick, wood block | 145.5 | 11.0 | .85 | 123.7 | 5.0 | .85 | ||||
| Granite block | 111.4 | 8.4 | .75 | 83.6 | 1.0 | .75 | ||||
| Macadam and cobble | 23.2 | 1.8 | .40 | 9.3 | 238.6 | 15.4 | .40 | 4.8 | .40 | |
| Granite and poor macadam | 0.4 | .20 | ||||||||
| Unimproved yards and lawns: | 692.4 | 44.7 | .15 | |||||||
| Tributary to paved gutters | 57.1 | .15 | ||||||||
| Not tributary to paved gutters | 7.9 | .10 | ||||||||
| Total | 1324.2 | 100.0 | 1127.0 | 1550.7 | 100.0 | 100.0 | ||||
| Impervious coefficient for the district | 85.1 | 44.4 | 35.9 | |||||||
46C. E. Gregory[27] states that I, in the expression Q = AIR is a function of the time of concentration or the duration of the storm. If t represents the time of concentration and T represents the duration of the storm, then when T is less than t
but when T is greater than t,
Gregory condenses Kuichling’s rules with regard to the per cent run-off, as follows:
1. The per cent of rainfall discharged from any given drainage area is nearly constant for heavy rains lasting equal periods of time.
2. This per cent varies directly with the area of impervious surface.
3. This per cent increases rapidly and directly or uniformly with the duration of the maximum intensity of the rainfall until a period is reached which is equal to the time required for the concentration of the drainage waters from the entire area at the point of observation, but if the rainfall continues at the same intensity for a longer period this per cent will continue to increase at a much smaller rate.
4. This per cent becomes larger when a moderate rain has immediately preceded a heavy shower on a partially permeable territory.
Gregory’s formulas have not been generally accepted and are not widely used in practice. Marston stated:[28]
All that engineers are at present, warranted in doing is to make some deduction from 100 per cent run-off ... the deduction ... being at present left to the engineer in view of his general knowledge and his familiarity with local conditions.
Burger states[29] in the same connection:
In its application there will usually be as many results (differing widely from each other) as the number of men using it.
In spite of these objections the Rational Method is in more favor with engineers than any other method.
32. Empirical Formulas.—The difficulty of determining run-off with accuracy has led to the production by engineers of many empirical formulas for their own use. Some of these formulas have attracted wide attention and have been used extensively, 47in some cases under conditions to which they are not applicable. In general these formulas are expressions for the run-off in terms of the area drained, the relative imperviousness, the slope of the land, and the rate of rainfall.
The Burkli-Ziegler formula, devised by a Swiss engineer for Swiss conditions and introduced into the United States by Rudolph Hering, was one of the earliest of the empirical formulas to attract attention in this country. It has been used extensively in the form

The McMath formula was developed for St. Louis conditions and was first published in Transactions of the American Society of Civil Engineers, Vol. 16, 1887, p. 183. Using the same notation as above, the formula is,

McMath recommended the use of C equal to 0.75, i as 2.75 inches per hour, and S equal to 15. The formula has been extended for use with all values of C, i, S, and A ordinarily met in sewerage practice. Fig. 11 is presented as an aid to the rapid solution of the formula.
Fig. 11.—Diagram for the Solution of McMath’s Formula,

49Other formulas have been devised which are more applicable to drainage areas of more than 1,000 acres.[30] Such areas are met in the design of sewers to enclose existing stream channels draining large areas. Kuichling’s formulas, published in 1901 in the report of the New York State Barge Canal, were devised for areas greater than 100 square miles. The following modification of these formulas for ordinary storms on smaller areas was published for the first time in American Sewerage Practice, Volume I, by Metcalf and Eddy:
Fig. 12.—Comparison of Empirical Run-off Formulas.
It is to be noted that the only factor taken into consideration is the area of the watershed. It is obvious that other factors such as the rate of rainfall, slope, imperviousness, etc., will have a marked effect on the run-off.
There are other run-off formulas devised for particular conditions, some of which are of as general applicability as those quoted. Two formulas which are frequently quoted are: Fanning’s, Q = 200M⅝ and Talbot’s Q = 500M¼, in which M is the area of the watershed in square miles. A comprehensive treatment of the subject is given in American Sewerage Practice, Vol. I, by Metcalf and Eddy.
A comparison of the results obtained by the application of a few formulas to the same conditions is shown graphically in Fig. 12. It is to be noted that the divergence between the smallest 50and largest results is over 100 per cent. As these formulas are not all applicable to the same conditions, the differences shown are due partially to an extension of some of them beyond the limits for which they were prepared.
33. Extent and Intensity of Storms.—In the design of storm sewers it is necessary to decide how heavy a storm must be provided for. The very heaviest storms occur infrequently. To build a sewer capable of caring for all storms would involve a prohibitive expense over the investment necessary to care for the ordinary heavy storms encountered annually or once in a decade. This extra investment would lie idle for a long period entailing a considerable interest charge for which no return is easily seen. The alternative is to construct only for such heavy storms as are of ordinary occurrence and to allow the sewers to overflow on exceptional occasions. The result will be a more frequent use of the sewerage system to its capacity, a saving in the cost of the system, and an occasional flooding of the district in excessive storms. The amount of damage caused by inundations must be balanced against the extra cost of a sewerage system to avoid the damage. A municipality which does not provide adequate storm drainage is liable, under certain circumstances, for damages occasioned by this neglect. It is not liable if no drainage exists, nor is it liable if the storm is of such unusual character as to be classed legally as an act of God.
Kuichling’s studies of the probabilities of the occurrence of heavy storms are published in Transactions of the American Society of Civil Engineers, Vol. 54, 1905, p. 192. Information on the extent of rain storms is given by Francis in Vol. 7, 1878, p. 224, of the same publication. Kuichling expresses the intensity of storms which will occur,
in which i is the intensity of rainfall in inches per hour and t is the duration of the storm in minutes.
34. Principles.—The hydraulics of sewers deals with the application of the laws of hydraulics to the flow of water through conduits and open channels. In so far as its hydraulic properties are concerned the characteristics of sewage are so similar to those of water that the same physical laws are applicable to both. In general it is assumed that the energy lost due to friction between the liquid and the sides of the channel varies as some function of the velocity, usually the square, and that the total energy passing any section of the stream differs from the energy passing any other section only by the loss of energy due to friction.
The general expression for the flow of sewage would then be,
in which h is the head or energy lost between any two sections, and V is the average velocity of flow between these sections. It is to be noted in this general expression that the quantity and rate of flow past all sections is assumed to be constant. This condition is known as steady flow. Problems are encountered in sewerage design which involve conditions of unsteady flow, and methods of solution of them have been developed based on modifications of this general expression. The average velocity of flow is computed by dividing the rate (quantity) of flow past any section by the cross-sectional area of the stream at that section. This does not represent the true velocity at any particular point in the stream, as the velocity near the center is faster than that near the sides of the channel. The distribution of velocities in a closed circular channel is somewhat in the form of a paraboloid superimposed on a cylinder.
The laws of flow are expressed as formulas the constants of which have been determined by experiment. It has been found that these constants depend on the character of the material 52forming the channel and the hydraulic radius. The hydraulic radius is defined as the ratio of the cross-sectional area of the stream to the length of the wetted perimeter, or line of contact between the liquid and the channel, exclusive of the horizontal line between the air and the liquid.
35. Formulas.—The loss of head due to friction caused by flow through circular pipes flowing full as expressed by Darcy is,
in which h is the head lost due to friction in the distance l, V is the velocity of flow, g is the acceleration due to gravity, and f is a factor dependent on d and the material of which the pipe is made. A formula for f expressed by Darcy as the result of experiments on cast-iron pipe is,
in which d is the diameter in feet. In using the formula with this factor the units used must be feet and seconds.
Another form of the same expression is known as the Chezy formula. It is an algebraic transformation of the Darcy formula, but in the form shown here, by the use of the hydraulic radius, it is made applicable to any shape of conduit either full or partly full. The Chezy formula is,
in which R is the hydraulic radius, S the slope ratio of the hydraulic gradient, and C a factor similar to f in the Darcy formula.
Kutter’s formula was derived by the Swiss engineers, Ganguillet and Kutter, as the result of a series of experimental observations. It was introduced into the United States by Rudolph Hering and its derivation is given in Hering and Trautwine’s translation of “The Flow of Water in Open Channels by Ganguillet and Kutter.” In English units it is,

53in which n is a factor expressing the character of the surface of the conduit and the other notation is as in the Chezy formula. V is the velocity in feet per second, S is the slope ratio, and R the hydraulic radius in feet. The values of n to be used in all cases are not agreed upon, but in general the values shown below are used in practice.
| Values of n in Kutter’s Formula | ||
|---|---|---|
| n | Character of the Materials | |
| 0.009 | Well-planed timber. | |
| 0.010 | Neat cement or very smooth pipe. | |
| 0.012 | Unplaned timber. Best concrete. | |
| 0.013 | Smooth masonry or brickwork, or concrete sewers under ordinary conditions. | |
| 0.015 | Vitrified pipe or ordinary brickwork. | |
| 0.017 | Rubble masonry or rough brickwork. | |
| 0.020 0.035 |
} | Smooth earth. |
| 0.030 0.050 |
} | Rough channels overgrown with grass. |
Kutter’s formula is of general application to all classes of material and to all shapes of conduits. It is the most generally used formula in sewerage design.
The cumbersomeness of Kutter’s formula is caused somewhat
by the attempt to allow for the effect of the low slopes of the
Mississippi River experiments on the coefficients. The correctness
of these experiments has not been well established and the
slopes are so flat that the omission of the term 0.0028
S will have
no appreciable effect on the value of V ordinarily used in sewer
design. The difference between the value of V determined by
the omission of this term and the value of V found by including
it is less than 1 per cent for all slopes greater than 1 in 1,000
for 8 inch pipe (R = 0.167 feet). As the diameter of the pipe or
the hydraulic radius of the channel increases up to a diameter of
13.02 feet (R = 3.28 feet), the difference becomes less and at this
value of R there is no difference whether the slope is included or
not. For larger pipes the difference increases slowly. For a
16 foot pipe (R = 4 feet) on a slope of 1 in 1,000 the difference is
less than 0.2 per cent, and on a slope of 1 in 10,000 the difference
is approximately 1 per cent. Flatter slopes than these are
54seldom used in sewer design, except for very large sewers where
careful determinations of the hydraulic slope are necessary. It
is therefore safe in sewer design to use Kutter’s formula in the
modified form shown below in which the term .0028
S has been
omitted.

Bazin’s formula is

in which α and β are constants for different classes of material. For cast-iron pipe α is 0.00007726 and β is 0.00000647. This formula is seldom used in sewerage design.
Exponential formulas have been developed as the result of experiments which have demonstrated that V does not vary as the one-half power of R and S but that the relation should be expressed as,
in which p and q are constants and C is a factor dependent on the character of the material. The various formulas coming under this classification have been given the names of the experimenters proposing them. Examples of these formulas are: Flamant’s, in English units, for new cast-iron pipe, which is,
and Lampé’s for the same material which is,
These formulas are useful only for the material to which they apply, but they can be used for conduits of any shape. A. V. Saph and E. W. Schoder have shown[31] that the general formula for all materials lies between the limits,
55Hazen and Williams’ formula is in the form,
in which C is a factor dependent on the character of the material of the conduit. The values of C as given by Hazen and Williams are,
| C | Character of Material |
|---|---|
| 95 | Steel pipe under future conditions. (Riveted steel.) |
| 100 | Cast iron under ordinary future conditions and brick sewers in good condition. |
| 110 | New riveted steel, and cement pipe. |
| 120 | Smooth wood or masonry conduits under ordinary conditions. |
| 130 | Masonry conduits after some time and for very smooth pipes such as glass, brass, lead, etc., when old, and for new cast-iron pipe under ordinary conditions. |
This formula is of as general application as Kutter’s formula and is easier of solution, but being more recently in the field and because of the ease of the solution of Kutter’s formula by diagrams it is not in such general use. Exponential formulas are used more in waterworks than in sewerage practice.
Manning’s formula is in the form,
in which n is the same as for Kutter’s formula. Charts for the solution of Manning’s formula are given in Eng. News-Record, Vol. 85, 1920, p. 837.
36. Solution of Formulas.—The solution of even the simplest of these formulas, such as Flamant’s, is laborious because of the exponents involved. Darcy’s and Kutter’s formulas are even more cumbersome because of the character of the coefficient. The labor involved in the solution of these formulas has resulted in the development of a number of diagrams and other short cuts. Since each formula involves three or more variables it cannot be represented by a single straight line on rectangular coordinate paper. The simplest form of diagram for the solution of three or more variables is the nomograph, an example of which is shown 56in Fig. 13 for the solution of Flamant’s formula. A straight-edge placed on any two points of the scales of two different vertical lines will cross the other line at a point on the scale corresponding to its correct value in the formula. Such a diagram is in common use for the solution of problems for the flow of water in cast-iron pipe.
Fig. 13.—Diagram for the Solution of Flamant’s Formula for the Flow of Water in Cast-iron Pipe.
Fig. 14 has been prepared to simplify the solution of Hazen and Williams’ formula. The scales of slope for different classes of material are shown on vertical lines to the left of the slope line. For use these scales must be projected horizontally on the slope line. The scales for other factors are shown on independent reference lines.
For example let it be required to find the loss of head in a 12 inch pipe carrying 1 cubic foot per second when the coefficient of roughness is 100. A straight-edge placed at 1.0 cubic feet per second on the quantity scale, and 12 inches on the diameter scale crosses the slope line at .00092 opposite the slope scale for c = 100. It crosses the velocity line at 1.31 feet per second.
Kutter’s formula is the most commonly used for sewer design and has been generally accepted as a standard in spite of its cumbersomeness. Fig. 15 is a graphical solution of Kutter’s formula for small pipes, and Fig. 16 for larger pipes. The diagrams are drawn on the nomographic principle and give solutions for a wide range of materials, but they are specially prepared for the solution of problems in which n = .015. In their preparation the effect of the slope on the coefficient has been neglected. Fig. 17 is drawn on ordinary rectangular coordinate paper and can be used only for the solution of problems in which n = .015. Both diagrams are given for practice in the use of the different types.
Fig. 14.—Diagram for the Solution of Hazen and Williams’ Formula.
Fig. 15.—Diagram for the Solution of Kutter’s Formula.
For values of n between 0.010 and 0.020. Specially arranged for n = 0.015. Values of Q from 0.1 to 10 second-feet.
Fig. 16.—Diagram for the Solution of Kutter’s Formula.
For values of n between 0.010 and 0.020. Specially arranged for n = 0.015. Values of Q from 10 to 1,000 second-feet.
Fig. 17.—Diagram for the Solution of Kutter’s Formula.
Fig. 18.—Conversion Factors for Kutter’s Formula.
In Figs. 15 and 16 the diameter scales are varied for different values of the roughness coefficient n. The velocity scale is shown only for a value of n = .015. The velocity for other values of n can be determined by the method given in the following paragraphs.
37. Use of Diagrams.—There are five factors in Kutter’s formula: n, Q, V, d (or R), and S. If any three of these are given the other two can be determined, except when the three given are Q, V, and d. These three are related in the form Q = AV, which is independent of slope or the character of the material. There are only nine different combinations possible with these five factors, which will be met in the solution of Kutter’s formula. The solution of the problems by means of the diagrams is simple when the data given include n = .015. For other given values of n the solution is more complicated. Results of the solution of types of each of the nine problems are given in Table 17 and the explanatory text below.
If n is given and is equal to .015, the solution is simple.
For example in Table 17 case 1, example 1; to be solved on Fig. 15. Place a straight-edge at 1.0 on the Q line and at 6 inches on the diameter line for n = .015. The slope and the velocity will be found at the intersection of the straight-edge with these respective scales.
All problems in which n is given as .015 and the solution for which falls within the limits of Fig. 15 or 16 should be solved by placing a straight-edge on the two known scales and reading the two unknown results at the intersection of the straight-edge and the remaining scales.
For example in case 1, example 2 find the intersection of the horizontal line representing Q = 100 with the sloping 62diameter line representing d = 48 inches. The vertical slope line passing through this point represents S = .0065 and the sloping velocity line passing through this point represents 8.5 feet per second.
In general problems in which n = .015, can be solved on Fig. 17 by finding the intersection of the two lines representing the given data, and reading the values of the remaining variables represented by the other two lines passing through this point.
| TABLE 17 | |||||||||||
|---|---|---|---|---|---|---|---|---|---|---|---|
| Solutions of Problems by Kutter’s Formula | |||||||||||
| Case | Example | Given | Found | ||||||||
| n | Q | V | d | S | n | Q | V | d | S | ||
| 1 | 1 | 0.015 | 1.0 | 2.5 | 6 | 5.0 | 0.0575 | ||||
| 1 | 2 | .015 | 100.0 | 8.5 | .0065 | ||||||
| 1 | 3 | .020 | 1.0 | 6 | 5.0 | .13 | |||||
| 1 | 4 | .020 | 100.0 | 48 | 8.5 | .0125 | |||||
| 2 | 1 | .015 | 5.0 | 0.0003 | 1.2 | 28 | |||||
| 2 | 2 | .010 | 5.0 | .0003 | 1.7 | 23.5 | |||||
| 3 | 1 | .015 | 18 | .002 | 4.0 | 2.25 | |||||
| 3 | 2 | .018 | 18 | .0008 | 2.0 | 1.1 | |||||
| 4 | 1 | .015 | 2.0 | 2.5 | 12 | .00475 | |||||
| 4 | 2 | .011 | 2.0 | 2.5 | 12 | .0022 | |||||
| 5 | 1 | .015 | 5.0 | 36 | 35.0 | .0038 | |||||
| 6 | 1 | .018 | 5.0 | .001 | 185.0 | 80 | |||||
| 7 | 1 | 3.0 | 18 | .002 | 0.019 | 1.7 | |||||
| 7 | 2 | 50.0 | 36 | .005 | .012 | 7.0 | |||||
| 8 | 1 | 6.0 | 2.5 | .003 | .018 | 21 | |||||
| 9 | 1 | 4.2 | 66 | .00059 | .011 | 100.0 | |||||
If n is given and is not equal to .015 the solution is not so simple. In Fig. 15 and 16 the diagram is so drawn that the position of the diameter scales for all values of n is fixed on the vertical “diameter” line. The scales of diameter change for each value of n. These scales of diameter are shown for each value of n from .010 to .020 on vertical lines to the left of the “diameter” line. For use, the proper diameter scale for any given value of n must be projected horizontally upon the vertical “diameter” line. The velocity can be determined on Fig. 15 and 16, only 63when the diameter has been determined and then only when the diameter scale for n equal .015 is used, since the only scale shown for velocity is for n = .015.
For example, in Case 1, Example 3 there are given n = .020, Q, and d. Find the intersection of the vertical line for n = .020 with the sloping diameter line for d = 6 inches. Project the intersection horizontally to the right to the vertical “diameter” line. Place a straight-edge at this point and at Q = 1.0 on the quantity scale. The required value of S is read at the intersection of the straight-edge and the slope scale and is equal to 0.13. The intersection of the straight-edge in this position with the velocity scale is not the required value of the velocity since the velocity scale is made out for n = .015 and not .020. It is necessary to change the position of the straight-edge so that it may lie on Q equal 1.0 and on d equal 6 inches for n equal .015. The value of V is shown in this position as 5 feet per second.
The reverse process for Fig. 15 and 16 is illustrated by Case 4, Example 2 in which n = .011 and Q and V are also given. When Q and V are given the value of d is fixed independent of all other factors. Therefore the value of d can be read from the scale with n = .015 and is found to be 12 inches. Now find the value of d = 12 inches on the scale for n = .011 and project on to the “diameter” line. Place the straight-edge at this point and at Q = 2. The required slope is read as .0022.
Fig. 17 is prepared for the solution of problems in which n = .015 only. For problems in which n has some other value it is necessary to transform the data to equivalent conditions in which n = .015. This is done by means of the conversion factors shown in Fig. 18. The given slope or velocity is multiplied by the proper factor to convert from or to the value of n = .015.
For example in Case 1, Example 4 there are given n = .020, Q, and d. With Q and d given the value of V can be read from Fig. 17 without conversion. The corresponding value of S for n = .015 is .0065. It is now necessary to use the transformation diagram Fig. 18. The hydraulic radius of the given pipe is one foot. On Fig. 18 at the intersection of the slope line for R = 1.0 foot and n = .020 the value of the factor is read as 1.92. Since the given n is for rougher material than that represented by n = .015 the required slope must be greater than for n = .015 to give the 64same velocity. It is therefore necessary to multiply .0065 × 1.92 and the required slope is .0125.
In Case 6, Example 1 there are given n = .018, d, and S.
The remaining factors are to be solved by Fig. 17. Solve
first as though n = .015 in order to find an approximate
value of d or R. In this case it is evident that d is greater
than 57 inches. The value of R is therefore about 1.25.
Referring to Fig. 18 the conversion factor for the slope for
n = .018 is about 1.52. Since the given slope for n = .018
is .001, for an equal velocity and for n = .015 the slope
should be less. Therefore in reading Fig. 17 it is necessary
to use a slope of .001
1.52 = .00066. The diameter is found to
be about 80 inches. Since this is nearer to the correct
diameter the value of the conversion factor must be corrected
for this approximation. The hydraulic radius for an
80 inch pipe is 1.67 feet, and the conversion factor from
Fig. 18 is about 1.48. The slope for n = .015 should be
therefore .001
1.48 = .000675 and from Fig. 17 the required
diameter and quantity are read as 80 inches and 185 second-feet, respectively.
If n is not given but must be solved for, the solution on Fig. 15 and 16 is relatively simple. The desired value of n is read at the intersection of the sloping diameter line representing the known diameter and the horizontal projection of the intersection of the straight-edge with the vertical “diameter” line.
For example in Case 7, Example 1 there are given Q, d, and S. Lay the straight-edge on the given values of Q = 3 and S = .002. At the point where the straight-edge crosses the vertical “diameter” line project a horizontal line to the sloping diameter line for d = 18 inches. The vertical line passing through this point represents a value of n = .019. In order to find the value of V lay the straight-edge on Q = 3 and d = 18 inches for n = .015. The value of V is read as 1.7.
A slightly different condition is illustrated in the solution of Case 8, Example 1 in which Q, V and S are given. Determine first the value of d as though n = .015. Then proceed to determine n as in the preceding examples.
The solution for an unknown value of n on Fig. 17 is not so simple. It must be determined by working backwards from the conversion factor.
65For example in Case 7, Example 2 there are given Q,
d, and S. The value of V is read directly as though n = .015
as 7 feet per second. The value of S read for n = .015
is .0075. But the given slope is .005. Since the given
slope is flatter than that for n = .015 the conversion factor
is less than unity and is therefore .005
.0075 = 0.67. With this
value of the conversion factor and the value of R given as
0.75 the value of n is read from Fig. 18 as slightly greater
than .012.
38. Flow in Circular Pipes Partly Full.—The preceding examples have involved the flow in circular pipes completely filled. The same methods of solution can be used for pipes flowing partly full except that the hydraulic radius of the wetted section is used instead of the diameter of the pipe. Diagrams are used to save labor in finding the hydraulic radius and the other hydraulic elements of conduits flowing partly full.
The hydraulic elements of a conduit for any depth of flow are: (a) The hydraulic radius, (b) the area, (c) the velocity of flow, and (d) the quantity or rate of discharge. The velocity and quantity when partly full as expressed in terms of the velocity and quantity when full as calculated by Kutter’s formula will vary slightly with different diameters, slopes and coefficients of roughness. The other elements are constant for all conditions for the same type of cross-section. The hydraulic elements for all depths of a circular section for two different diameters and slopes are shown in Fig. 19. The differences between the velocity and quantity under the different conditions are shown to be slight, and in practice allowance is seldom made for this discrepancy.
In the solution of a problem involving part full flow in a circular conduit the method followed is to solve the problem as though it were for full flow conditions and then to convert to partial flow conditions by means of Fig. 19, or to convert from partial flow conditions to full flow conditions and solve as in the preceding section.
For example let it be required to determine the quantity of flow in a 12–inch diameter pipe with n = .015 when on a slope of .005 and the depth of flow is 3 inches. First find the quantity for full flow. From Fig. 15 this is 2.0 cubic feet per second. The depth of flow of 3 inches is one-fourth 66or 0.25 of the full depth of 12 inches. From Fig. 19, running horizontally on the 0.25 depth line to meet the quantity curve, the proportionate quantity at this depth is found to be on the 0.13 vertical line, and the quantity of flow is therefore 2 × 0.13 = 0.26 cubic feet per second.
Fig. 19.—Hydraulic Elements of Circular Sections.
| d = 12′ 0″ | s = .0004 | n = .015 |
| d = 1′ 0″ | s = .01 | n = .013 |
Another problem, involving the reversal of this process is illustrated by the following example:
Let it be required to determine the diameter and full
capacity of a vitrified pipe sewer on a grade of 0.002 if the
velocity of flow is 3.0 feet per second when the sewer is
discharging at 30 per cent of its full capacity, the depth of
flow being 12 inches. From Fig. 19 the depth of flow when
the sewer is carrying 30 per cent of its full capacity is 0.38
of its full depth. Since the partial depth is 12 inches
the full diameter is 12
.038 = 31.6 inches. The velocity of
flow at 38 per cent depth is 86 per cent of the full velocity.
Since the velocity given is 3.0 feet per second, the full
velocity is 3.0
.86 = 3.5 feet per second. With a full velocity
of 3.5 feet per second and a diameter of 31.6 inches
from Fig. 16 the full capacity of the sewer is 18 cubic feet
per second.
6739. Sections Other than Circular.—The ordinary shape used for small sewers is circular. The difficulty of constructing large sewers in a circular shape, special conditions of construction such as small head room, soft foundations, etc., or widely fluctuating conditions of flow have led to the development of other shapes. For conduits flowing full at all times a circular section will carry more water with the same loss of head than any other section under the same conditions. In any section the smaller the flow the slower the velocity, an undesirable condition. The ideal section for fluctuating flows would be one that would give the same velocity of flow for all quantities. Such a section is yet to be developed. Sections have been developed that will give relatively higher velocities for small quantities of flow than are given by a circular section. The best known of these sections is the egg shape, the proportions and hydraulic elements of which are shown in Fig. 20. Other shapes that have the same property, but which were not developed for the same purpose are the rectangular, the U-shape, and the section with a cunette. The egg-shaped section has been more widely used than any other special section. It is, however, more difficult and expensive to build under certain conditions, and has a smaller capacity when full than a circular sewer of the same area of cross-section. Various sections are illustrated in Fig. 22 and 23.
The U-shaped section is suitable where the cover is small, or close under obstructions where a flat top is desirable and the fluctuations of flow are so great as to make advantageous a special shape to increase the velocity of low flows. The proportions of a U-shaped section are shown in Fig. 23 (6). Other sections used for the same purpose are the semicircular and special forms of the rectangular section.
The proportions and the hydraulic elements of the square-shaped section are shown in Fig. 21. This is useful under low heads where a flat roof is required to carry heavy loads, and the fluctuations of flow are not large.
Sections with cunettes have not been standardized. A cunette is a small channel in the bottom of a sewer to concentrate the low flows, as shown in Fig. 22 (7). A cunette can be used in any shape of sewer.
Fig. 20.—Hydraulic Elements of an Egg-shaped Section.
d = 6′ 0″ s = .00065 n = .015
Fig. 21.—Hydraulic Elements of a Square Section.
d = 10′ 0″ s = .0004 n = .015
69Sections developed mainly because of the greater ease of construction under certain conditions are the basket handle, the gothic, the catenary, and the horse shoe. Some of these shapes are shown in Fig. 22 and 23. They are suitable for large sewers on soft foundations, where it is desirable to build the sewer in three portions, such as invert, side walls, and arch. They are also suitable for construction in tunnels where the shape of the sewer conforms to the shape of the timbering, or in open cut work where the shape of the forms are easier to support.
Problems of flow in all sections can be solved by determining the hydraulic radius involved, and substituting directly in the desired formula, or by the use of one of the diagrams after converting to the equivalent circular diameter. The determination of the hydraulic radius of these special sections is laborious, and hence other less difficult methods are followed. Problems are more commonly solved by converting the given data into an equivalent circular sewer, solving for the elements of this circular sewer and then reconverting into the original terms, or by working in the other direction. The hydraulic elements of various sections when full are given in Table 18.
| TABLE 18 | ||||
|---|---|---|---|---|
| Hydraulic Elements of Sewer Sections. Sewers Flowing Full. | ||||
| Section | Area in Terms Vertical Diameter Squared D2 | Hydraulic Radius in terms of Vertical Dia. D | Vert. Dia. D in Terms of Dia. d of Equivalent Circular Section | Source |
| Circular | 0.7854 | 0.250 | 1.000 | |
| Egg | 0.5150 | .1931 | 1.295 | Eng. Record, Vol. 72: 608 |
| Ovoid | 0.5650 | .2070 | 1.208 | Eng. Record, Vol. 72: 608 |
| Semi-elliptical | 0.8176 | .2487 | 1.041 | Eng. News, Vol. 71: 552 |
| Catenary | 0.6625 | .2237 | 1.1175 | Eng. Record, Vol. 72: 608 |
| Horseshoe | 0.8472 | .2536 | 0.985 | Eng. Record, Vol. 72: 608 |
| Basket handle | 0.8313 | .2553 | 0.979 | Eng. Record, Vol. 72: 608 |
| Rectangular | 1.3125 | .2865 | 0.7968 | Hydraulic Dgms. and Tbls. Garrett |
| Square (3 sides wet) | 1.0000 | .333 | 0.7500 | Eng. Record, Vol. 72: 608 |
| Square (4 sides wet) | 1.0000 | .250 | 1.0000 | Eng. Record, Vol. 72: 608 |
1. Standard Egg-shaped Section, North Shore Intercepter, Chicago, Illinois.
2. Rectangular Section, Omaha, Nebraska, Eng. Contracting, Vol. 46, p. 49.
3. Trench in firm ground. 4. Trench in Rock.
Note.—Underdrains and Wedges to be used only when Ordered by the Engineer.
7. Brick and Concrete Sewer showing cunette.
5. Soft Foundation. 6. Wet ground.
8. Brick and Concrete Sewer, Evanston, Ill., Eng. Contracting, Vol. 46, p. 227.
| 1. Tunnel Sections. | 2. Open Cut Sections. | ||||
| Type A. | Type B. | Type C. | Type D. | ||
| Where Rock is more than 16′ above Springing Line. | Where Rock is more than 7′ and less than 16′ above Springing Line on both Sides. | Where Rock is between Springing Line and 7′ above Springing Line on both Sides. | Where Rock drops below Springing Line on either Side. | 16′ 6″ Sewer. 25′ Fill | Where Rock is above Springing Line |
| Mill Creek Sewer, St. Louis, Eng. Record, Vol. 70, pp. 434, 435. | |||||
3. Circular Concrete Section in Soft and Hard Ground, Eng. Record, Vol. 59, p. 570.
4. Semi-Elliptical Section, Louisville, Ky., Eng. News, Vol. 62, p. 416.
5. Reinforced Concrete Sewer, Harlem Creek, St. Louis, Eng. News, Vol. 60, p. 131.
6. U-Shaped Section, San Francisco, Eng. News, Vol. 73, p. 310.
72Equivalent sections are sections of the same capacity for the same slope and coefficient of roughness. They have not necessarily the same dimensions, shape, nor area. The diameter of the equivalent circular section in terms of the diameter of each special section shown is given in Table 18. The inside height of a sewer is spoken of as its diameter.
For example let it be required to determine the rate of
flow in a 54–inch egg-shaped sewer on a slope of 0.001 when
n = .015. First convert to the equivalent circle. From
Table 18 the diameter of the equivalent circle is 1
1.295 times
the diameter of the egg-shaped sewer, which becomes in
this case 43 inches. From Fig. 16 the capacity of a circular
sewer of this diameter with S = 0.001 and n = .015 is 28
cubic feet per second, which by definition is the flow in the
egg-shaped sewer.
As an example of the reverse process let it be required
to find the velocity of flow in an egg-shaped sewer flowing
full and equivalent to a 48–inch circular sewer. Both sewers
are on a slope of 0.005 and have a roughness coefficient of
n = .015. It is first necessary to find the quantity of flow
in the circular sewer, which by definition is the quantity of
flow in the equivalent egg-shaped sewer. The velocity of
flow in the egg-shaped sewer is found by dividing this
quantity by the area of the egg-shaped section. As read
from the diagram the quantity of flow is 90 cubic feet per
second. From Table 18 the area of the egg-shaped sewer is
0.51D2 where D is the diameter of the egg-shaped sewer, and
D = 1.295d where d is the diameter of the equivalent circular
sewer. Therefore the area equals (0.51) × (1.295 × 4)2
= 13.5 square feet and the velocity of flow is 90
13.5 = 6.7
feet per second. This is slightly less than the velocity
in the circular section.
Some lines for egg-shaped sewers have been shown on Fig. 17 by which solutions can be made directly. For other shapes, and for sizes of egg-shaped sewers not found on Fig. 17 the preceding method or the original formula must be used for solution. Problems in partial flow in special sections are solved similarly to partial flow in circular sections, by converting first to the conditions of full flow or by working in the opposite direction.
40. Non-uniform Flow.—In the preceding articles it is assumed that the mean velocity and the rate of flow past all sections are 73constant. This condition is known as steady, uniform flow. In this article it will be assumed that conditions of steady non-uniform flow exist, that is, the rate of flow past all sections is constant, but the velocity of flow past these sections is different for different sections. Under such conditions the surface of the stream is not parallel to the invert of the channel. If the velocity of flow is increasing down stream the surface curve is known as the drop-down curve. If the velocity of flow is decreasing down stream the surface curve is known as the backwater curve. The hydraulic jump represents a condition of non-uniform flow in which the velocity of flow decreases down stream in such a manner that the surface of the stream stands normal to the invert of the channel at the point where the change in velocity occurs. Above and below this point conditions of uniform flow may exist.
Conditions of non-uniform flow exist at the outlet of all sewers, except under the unusual conditions where the depth of flow in the sewer under conditions of steady, uniform flow with the given rate of discharge would raise the surface of water in the sewer, at the point of discharge, to the same elevation as the surface of the body of water into which discharge is taking place. By an application of the principles of non-uniform flow to the design of outfall sewers, smaller sewers, steeper grades, greater depth of cover, and other advantages can be obtained.
The backwater curve is caused by an obstruction in the sewer, by a flattening of the slope of the invert, or by allowing the sewer to discharge into a body of water whose surface elevation would be above the surface of the water in the sewer, at the point of discharge, under conditions of steady, uniform flow with the given rate of discharge.
The drop-down curve is caused by a sudden steepening of the slope of the invert; by allowing a free discharge; or by allowing a discharge into a body of water whose surface elevation would be below the surface of the water in the sewer, at the point of discharge, under conditions of steady, uniform flow with the given rate of discharge. The last described condition is common at the outlet of many sewers, hence the common occurrence of the drop-down curve.
The hydraulic jump is a phenomenon which is seldom considered
in sewer design. If not guarded against it may cause trouble
at overflow weirs and at other control devices, in grit chambers,
74and at unexpected places. The causes of the hydraulic jump
are sufficiently well understood to permit designs that will avoid
its occurrence, but if it is allowed to occur the exact place of the
occurrence of the jump and its height are difficult, if not impossible,
to determine under the present state of knowledge concerning
them. The hydraulic jump will occur when a high velocity
of flow is interrupted by an obstruction in the channel, by a
change in grade of the invert, or the approach of the velocity to
the “critical” velocity. The “critical” velocity is equal to
√(gh), where h is the depth of flow and g is the acceleration due to
gravity. The velocity in the channel above the jump must be
greater than √(gh1), where h1 is the depth of flow in the channel
above the jump. The velocity in the channel below the jump
must be greater than √(gh2), where h2 is the depth of flow below
the jump. The jump will not take place unless the slope of the
invert of the channel is greater than g
C2,in which C is the coefficient
in the Chezy formula. With this information it is possible
to avoid the jump by slowing down the velocity by the installation
of drop manholes, flight sewers, or by other expedients.
The shape of the drop-down curve can be expressed, in some cases, by mathematical formulas of more or less simplicity, dependent on the shape of the conduit. The formula for a circular conduit is complicated. Due to the assumptions which must be made in the deduction of these formulas, the results obtained by their use are of no greater value than those obtained by approximate methods. A method for the determination of the drop-down curve is given by C. D. Hill.[32] In this method it is necessary that the rate of flow past all sections shall be the same; that the depth of submergence at the outlet shall be known; and that the depth of flow at some unknown distance up the stream shall be assumed. The shape and material of construction of the sewer and the slope of the invert should also be known. The problem is then to determine the distance between cross-sections, one where the depth of flow is known, and the other where the depth of flow has been assumed. This distance can be expressed as follows:
In order to solve such problems with a satisfactory degree of accuracy the difference between d1 and d2 should be taken sufficiently small to divide the entire length of the sewer to be investigated into a large number of sections. The solution of the problem requires the determination of the wetted area, the hydraulic radius, and other hydraulic elements at many sections. The labor involved can be simplified by the use of diagrams, such as Fig. 19, or by specially prepared diagrams such as those accompanying the original article by C. D. Hill. The solution of the problem can be simplified by tabulating the computations as follows:
| Drop-down Curve Computation Sheet | ||||||||||||
|---|---|---|---|---|---|---|---|---|---|---|---|---|
| Uniform discharge. Varying depth | ||||||||||||
| D = Q = A = V = Q A = S1 = L = d1 − H1) S1 |
||||||||||||
| 1 | 2 | 3 | 4 | 5 | 6 | 7 | 8 | 9 | 10 | 11 | 12 | 13 |
| Depth | R | H | H1 | d1 − H1 | V | S | S1 | L | Elevation | |||
| D | d | d1 | Sewer | W. L. | ||||||||
At the head of the computation sheet should be recorded the diameter of the sewer in feet, the assumed volume of flow, the area of the full cross-section of the sewer, the velocity of the assumed volume flowing through the full bore of the sewer, and the gradient or slope of the invert. In the 1st column enter the 76assumed depth in decimal parts of the diameter for each cross-section; in the 2nd column enter the same depth in feet; in the 3rd column enter the difference in feet between the successive cross-sections; in the 4th column enter the hydraulic radius corresponding to the depth at each cross-section; in the 8th column enter the velocity, equal to the volume divided by the wetted area, for each cross-section; in the 5th column enter the corresponding velocity head; in the 6th column enter the difference between the velocity heads at successive cross-sections; in the 7th column enter the difference between the quantities in the third and in the sixth columns; in the 9th column enter the hydraulic slope corresponding to the velocity and hydraulic radius of each cross-section; in the 10th column enter the difference between the hydraulic slope and the slope or gradient of the sewer; in the 11th column enter the computed distance between successive cross-sections; in the 12th column enter the elevation of the bottom of the sewer at each cross-section; and in the 13th column enter the corresponding elevation of the surface of the water.
The table should be filled in until the distance to the required section is determined, or if the distance is known, it should be filled in until the depth of flow with the assumed rate of discharge has been checked.
If only the depth of flow at some section is known and it is required to know the maximum rate of flow with a free discharge, or a discharge with a submergence at the outlet less than the depth of flow with the maximum rate of discharge, it is necessary to make a preliminary estimate of the maximum rate of flow in order to fill in the quantity Q at the head of the table. The procedure should be as follows:

With this rate of discharge and depth of flow at the outlet, the depth of flow at the known section can be checked. If appreciably in error a correction should be made by the assumption of a different depth of flow at the outlet. The approximate character of the method is scarcely worthy of the refinement in the results which will be obtained by checking back for the depth of flow at the known section. It will be sufficiently accurate to assume the rate of flow obtained by trial from the preceding expression, as the maximum rate of discharge from the sewer.
41. The Plan.—Good practice demands that a comprehensive plan for a sewerage system be provided for the needs of a community for the entire extent of its probable future growth, and that sewers be constructed as needed in accordance with this plan.
Sewerage systems may be laid out on any one of three systems: separate, storm, or combined. A separate system of sewers is one in which only sanitary sewage or industrial wastes or both are allowed to flow. Storm sewers carry only surface drainage, exclusive of sanitary sewage. Combined sewers carry both sanitary and storm sewage. The use of a combined or a separate system of sewerage is a question of expediency. Portions of the same system may be either separate, combined, or storm sewers.
Some conditions favorable to the adoption of the separate system are where:
a. The sanitary sewage must be concentrated at one outlet, such as at a treatment plant, and other outlets are available for the storm drainage.
b. The topography is flat necessitating deep excavation and steeper grades for the larger combined sewers.
c. The sanitary sewers must be placed materially deeper than the necessary depth for the storm-water drains.
d. The sewers are to be laid in rock, necessitating more difficult excavation for the larger combined sewers.
e. An existing sewerage system can be used to convey the dry weather flow, but is not large enough for the storm sewage.
f. The city finances are such that the greater cost of the combined system cannot be met and sanitary drainage is imperative.
g. The district to be sewered is an old residential section where property values are not increasing and the assessment must be kept down.
79Some additional points given in a report by Alvord and Burdick to the city of Billings, Montana, are:
The separate system of sewerage should be used, where:
1st. Storm water does not require extensive underground removal, or where it can be concentrated in a few shallow underground channels.
2nd. Drainage areas are short and steep facilitating rapid flow of water over street surfaces to the natural water courses.
3rd. The sanitary sewage must be pumped.
4th. Sewers are being built in advance of the city’s development to encourage its growth.
5th. The existing sewer is laid at grades unsuitable for sanitary sewage, it can be used as a storm sewer.
A combined system must be relatively larger than a separate storm sewer as the latter may overflow on exceptional occasions, but the former never.
A combined system of sewerage should be used where:
1st. It is evident that storm and sanitary sewerage must be provided soon.
2nd. Both sanitary and storm sewage must be pumped.
3rd. The district is densely built up.
42. Preliminary Map.—The first step in the design of a sewerage system is the preparation of a map of the district to be served within the limits of its probable growth. The map should be on a scale of at least 200 feet to the inch in the built up sections or other areas where it is anticipated that sewers may be built, and where much detail is to be shown a scale as large as 40 feet to the inch may have to be used. The adoption of so large a scale will usually necessitate the division of the city or sewer district into sections. A key map should be drawn to such a scale that the various sections represented by separate drawings can all be shown upon it. In preparing the enlarged portions of the map it is not necessary to include these portions of the city in which it is improbable that sewers will be constructed, such as parks and cemeteries.
The contour interval should depend on the character of the district and the slope of the land. In those sections drawn to a scale of 200 feet to the inch for slopes over 5 per cent, the contour interval need not be closer than 10 feet. For slopes between 1 and 5 per cent the contour interval should be 5 feet. For flatter 80slopes the interval should not exceed 2 feet, and a one foot interval is sometimes desirable. In general the horizontal distances between contours should not exceed 400 feet and they should be close enough to show important features of the natural drainage. Elevations should also be given at street intersections, and at abrupt changes in grade. For portions of the map on a smaller scale the contours need be sufficiently close to show only the drainage lines and the general slope of the land.
The following may be shown on the preliminary map: the elevation of lots and cellars; the character of the built up districts, whether cheap frame residences, flat-roof buildings, manufacturing plants, etc.; property lines; width of streets between property lines and between curb lines; the width and character of the sidewalks and pavements; street car and railroad tracks; existing underground structures such as sewers, water pipes, telephone conduits, etc.; the location of important structures which may have a bearing on the design of the sewers such as bridges, railroad tunnels, deep cuts, culverts, etc.; and the location of possible sewer outlets and the sites for sewage disposal plants.
Fig. 24 shows a preliminary map for a section of a city, on which the necessary information has been entered. The map is made from survey notes. All streets are paved with brick. The alleys are unpaved. The entire section is built up with high-class detached residences averaging one to each lot. The lots vary from 1 to 3 feet above the elevation of the street.
43. Layout of the Separate System.—Upon completion of the preliminary map a tentative plan of the system is laid out. The lines of the sewer pipe are drawn in pencil, usually along the center line of the street or alley in such a manner that a sewer will be provided within 50 feet or less of every lot. The location of the sewers should be such as to give the most desirable combination of low cost, short house connections, proper depth for cellar drainage, and avoidance of paved streets. Some dispute arises among engineers as to the advisability of placing pipes in alleys, although there is less opposition to so placing sewers than any other utility conduit. The principal advantage in placing sewers in alleys is to avoid disturbing the pavement of the street, but if both street and alley are paved it is usually more economical to place the sewer in the street as the house connections will be shorter. On boulevards and other wide streets such as Meridian Avenue in 81Fig. 24, the sewers are placed in the parking on each side of the street, rather than to disturb the pavement and lay long house connections to the center of the street.
All pipes should be made to slope, where possible, in the direction of the natural slope of the ground. The preliminary layout of the system is shown in Fig. 24. The lowest point in the portion of the system shown is in the alley between Alabama and Tennessee Streets. The flow in all pipes is towards this point, and only one pipe drains away from any junction, except that more than one pipe may drain from a terminal manhole on a summit.
44. Location and Numbering of Manholes.—Manholes are next located on the pipes of this tentative layout. Good practice calls for the location of a manhole at every change in direction, grade, elevation, or size of pipe, except in sewers 60 inches in diameter or larger. The manholes should not be more than 300 to 500 feet apart, and preferably as close as 200 to 300 feet. In sewers too small for a man to enter the distance is fixed by the length of sewer rods which can be worked successfully. In the larger sewers the distances are sometimes made greater but inadvisedly so, since quick means of escape should be provided for workmen from a sudden rise of water in the sewer, or the effect of an asphyxiating gas. In the preliminary layout the manholes are located at pipe intersections, changes in direction, and not over 300 to 500 feet apart on long straight runs at convenient points such as opposite street intersections where other sewers may enter.
No standard system of manhole numbering has been adopted. A system which avoids confusion and is subject to unlimited extension is to number the manholes consecutively upwards from the outlet, beginning a new series of numbers prefixed by some index number or letter for each branch or lateral. This system has been followed with the manholes on Fig. 24.
Fig. 24.—Typical Map Used in the Design of a Separate Sewer System.
Fig. 25.—Typical Map Used in the Design of a Storm Sewer System.
8445. Drainage Areas.—The quantity of dry weather sewage is determined by the population rather than the topography. Lot lines and street intersections or other artificial lines marking the boundaries between districts are therefore taken as watershed lines for sanitary sewers. The quantity of sewage to be carried and the available slope are the determining factors in fixing the diameter of the sewer. Since there may be no change in diameter or slope between manholes the quantity of sewage delivered by a sewer into any manhole will determine the diameter of the sewer between it and the next manhole above. In order to determine the additional amount contributed between manholes a line is drawn around the drainage area tributary to each manhole. This line generally follows property lines and the center lines of streets or alleys, its position being such that it includes all the area draining into one manhole, and excludes all areas draining elsewhere. An entire lot is usually assumed to lie within the drainage area into which the building on the lot drains. In laying out these areas it is best to commence at the upper end of a lateral and work down to a junction. Then start again at the upper end of another lateral entering this junction, and continue thus until the map has been covered.
The areas are given the same numbers as the manholes into which they drain. The dividing lines for the drainage areas on Fig. 24 are shown as dot and dash lines, and the areas enclosed are appropriately numbered. If more than one sewer drains into the same manhole the area should be subdivided so that each subdivision encloses only the area contributing through one sewer. Such a condition is shown at manhole C2. The areas are designated by subletters or symbols corresponding to the symbol used for the sewer into which they drain. For example, the two areas contributing to manhole C2 are lettered C2K and C2D. The sewer from manhole C3 to C2 receives no addition, it being assumed that all the lots adjacent to it drain into the sewer on the alley. There is therefore no area C2. Likewise there is no area A1C.
46. Quantity of Sewage.—The remaining work in the computation of the quantity of sewage is best kept in order by a tabulation. Table 19 shows the computations for the sewers discharging from the east into manhole No. 142. The computation should begin at the upper end of a lateral, continue to a junction, and then start again at the upper end of another lateral entering this junction. Each line in the table should be filled in completely from left to right before proceeding with the computations on the next line. In the illustrative solution in Table 19, computations for quantity have not been made between manholes where it was apparent that there would be an insufficient additional quantity to necessitate a change in the size of the pipe.
In making these computations the assumptions of quantity
and other factors given below indicate the sort of assumptions
85which must be made, based on such studies as are given in Chapter
III. The density of population was taken as 20 persons per acre,
the assumption being based on the census and the character of
the district. The average sanitary sewage flow was taken as
100 gallons per capita per day. The per cent which the maximum
dry weather flow is of the average was taken as M = 500
P⅕, in which
P is the population in thousands. The per cent is not to exceed
500 nor to be less than 150. The rate of infiltration of ground
water was assumed as 50,000 gallons per mile of pipe per day.
In the first line of Table 19, the entries in columns (1) to (6)
are self-explanatory. There are no entries in columns (7) to (10),
as no additional sewage is contributed between manholes 3.5 and
3.4. In column (11), 2250 persons are recorded as the number
tributary to manhole No. 3.5 in the district to the north and west.
These people contribute an average of 100 gallons per person per
day, or a total of 0.346 second foot. This quantity is entered in
column (13). The figure in column (14) is obtained from the
expression M = 500
P⅕. Column (15) is .01 of the product of columns
(13) and (14). Column (16) is the product of the length of pipe
between manholes 3.5 and 3.4, and the ground water unit reduced
to cubic feet per second. Column (17) is the sum of column (16),
and all of the ground water tributary to manhole 3.5, which is
not recorded in the table. Column (18) is the sum of columns
(15) and (17).
No new principle is represented in the second and third lines.
In the fourth line the first 10 columns need no further explanation. The (11th) column is the sum of the (10th) column, and the (11th) column in the third line. It represents the total number of persons tributary to manhole 3.4 on lateral No. 8. Column (13) in the fourth line is the sum of column (13) in the third line and the (12th) column in the fourth line, and the (15th) column in the fourth line is the product of the 2 preceding columns in the fourth line. Note that in no case is the figure in column (15) the sum of any previous figures in column (15). With this introduction the student should be able to check the remaining figures in the table, and should compute the quantity of sewage entering manhole No. 142 from the west, making reasonable assumptions for the tributary quantities from beyond the limits of the map.
| TABLE 19 | ||||||||||||||||||
|---|---|---|---|---|---|---|---|---|---|---|---|---|---|---|---|---|---|---|
| Computations for Quantity of Sewage For a Separate Sewerage System | ||||||||||||||||||
| On Street | From Street | To Street | From Manhole | To Manhole | Length Feet | Mark of Added Areas | Area, Acres | Population per Acre | Number of Persons | Total Persons Tributary | Avg. Sanitary Flow, C.F.S. | Cumulative Avg. Sanitary Flow, C.F.S. | Per cent Max. Sanitary is of Average | Total Max. Sanitary, C.F.S. | Increment of Ground Water, C.F.S. | Cumulative Ground Water, C.F.S. | Total Flow, C.F.S. | Line Number |
| Nebraska St. | Map margin | Alley S. Grant St. | 3.5 | 3.4 | 338 | 2250 | 0.0000 | 0.346 | 425 | 1.47 | 0.005 | 0.0187 | 1.66 | 1 | ||||
| Alley S. of Grant St. | Railroad | E. of Missouri St. | 8.3 | 8.2 | 328 | 8.2 | 2.7 | 20 | 54 | 54 | .0084 | .0084 | 500 | 0.041 | .0048 | .0048 | 0.046 | 2 |
| Alley S. of Grant St. | E. of Missouri St. | E. of Kansas St. | 8.2 | 8.1 | 355 | 8.1 | 3.41 | 20 | 68 | 122 | .0106 | .0190 | 500 | 0.095 | .0052 | .010 | 0.105 | 3 |
| Alley S. of Grant St. | E. of Kansas St. | Nebraska St. | 8.1 | 3.4 | 340 | 3.48 | 2.68 | 20 | 54 | 176 | .0084 | .0274 | 500 | 0.137 | .0050 | .015 | 0.152 | 4 |
| Nebraska St. | Alley S. of Grant St. | Alley S. of Meridian | 3.4 | 3.3 | 380 | 2428 | .0000 | .373 | 423 | 1.58 | .0058 | .208 | 1.79 | 5 | ||||
| 7.1 | ||||||||||||||||||
| Alley S. of Meridian | Railroad | Nebraska St. | 7.2 | 3.3 | 800 | 3.37 | 7.14 | 20 | 142 | 142 | .0221 | .0221 | 500 | 0.111 | .0117 | .0117 | 0.123 | 6 |
| Nebraska St. | Alley S. of Meridian | Alley S. of Smith Av. | 3.3 | 3.2 | 304 | 2568 | .0000 | .395 | 414 | 1.63 | .0045 | .224 | 1.85 | 7 | ||||
| 6.1 | ||||||||||||||||||
| Alley S. of Smith Ave. | Railroad | Nebraska St. | 6.2 | 3.2 | 609 | 3.26 | 3.82 | 20 | 76 | 76 | .0119 | .0119 | 500 | 0.060 | .0089 | .0089 | 0.069 | 8 |
| Nebraska St. | Alley S. of Smith Ave. | S. of Cordovez St. | 3.2 | 3.1 | 300 | 2644 | .0000 | .407 | 414 | 1.68 | .0044 | .237 | 1.92 | 9 | ||||
| S. of Cordovez St. | Railroad | Nebraska St. | 4.1 | 3.1 | 410 | 3.14 | 3.10 | 20 | 62 | 62 | .0096 | .0096 | 500 | 0.048 | .006 | .006 | 0.054 | 10 |
| S. of Cordovez St. | Map margin | Nebraska St. | 5.1 | 3.1 | 380 | 3.15 | 2.69 | 20 | 54 | 54 | .0084 | .0084 | 500 | 0.042 | .0056 | .0056 | 0.048 | 11 |
| Nebraska St. | S. of Cordovez St. | Long St. | 3.1 | 148 | 172 | 2760 | .0000 | .425 | 409 | 1.74 | .0025 | .251 | 1.99 | 12 | ||||
| Long St. | Map margin | Nebraska St. | 149 | 148 | 380 | 148 | 1.53 | 20 | 31 | 31 | .0048 | .0048 | 500 | 0.024 | .0056 | .0056 | 0.030 | 13 |
| Long St. | Nebraska St. | N. Carolina St. | 148 | 147 | 492 | 2791 | .0000 | .430 | 409 | 1.76 | .0072 | .264 | 2.02 | 14 | ||||
| Long St. | N. Carolina St. | Georgia St. | 147 | 146 | 430 | 2791 | 1.000[33] | .430 | 409 | 1.76 | .0064 | 1.27 | 3.03 | 15 | ||||
| Long St. | Georgia St. | Harris St. | 146 | 145 | 419 | 146 | 0.81 | 20 | 16 | 2807 | .0025 | .433 | 407 | 1.76 | .0061 | 1.28 | 3.04 | 16 |
| 2.1 | ||||||||||||||||||
| Long St. | Harris St. | Tennessee St. | 145 | 143 | 725 | 143–145 | 6.6 | 20 | 132 | 2936 | .0205 | .454 | 403 | 1.83 | .024 | 1.30 | 3.13 | 17 |
| Column No. (1) | (2) | (3) | (4) | (5) | (6) | (7) | (8) | (9) | (10) | (11) | (12) | (13) | (14) | (15) | (16) | (17) | (18) | |
| TABLE 20 | |||||||||||||||
|---|---|---|---|---|---|---|---|---|---|---|---|---|---|---|---|
| Computations for Slope and Diameter of Pipes for a Separate Sewerage System | |||||||||||||||
| On Street | From Street | To Street | From Manhole | To Manhole | Length Feet | El. of Surface | Total Flow, C.F.S. | Slope | Dia. of Pipe, Inches | Velocity when Full, Ft. per Second | Capacity when Full, Second-Feet | El. of Invert | Line Number | ||
| Upper Manhole | Lower Manhole | Upper Manhole | Lower Manhole | ||||||||||||
| Nebraska St. | Map margin | Alley S. Grant St. | 3.5 | 3.4 | 338 | 105.8 | 102.4 | 1.66 | 0.0108 | 10 | 3.25 | 1.78 | 97.80 | 94.40 | 1 |
| Alley S. of Grant St. | Railroad | E. of Missouri St. | 8.3 | 8.2 | 328 | 113.5 | 112.0 | 0.046 | .00575 | 8 | 2.00 | 0.71 | 105.50 | 103.62 | 2 |
| Alley S. of Grant St. | E. of Missouri St. | E. of Kansas St. | 8.2 | 8.1 | 355 | 112.0 | 107.7 | 0.105 | .0110 | 8 | 2.78 | 0.98 | 103.61 | 99.70 | 3 |
| Alley S. of Grant St. | E. of Kansas St. | Nebraska St. | 8.1 | 3.4 | 340 | 107.7 | 102.4 | 0.152 | .0156 | 8 | 3.27 | 1.18 | 99.69 | 94.40 | 4 |
| Nebraska St. | Alley S. of Grant St. | Alley S. of Meridian | 3.4 | 3.3 | 380 | 102.4 | 100.7 | 1.79 | .00385 | 12 | 2.28 | 1.79 | 94.07 | 92.61 | 5 |
| Alley S. of Meridian | Railroad | Kansas St. | 7.2 | 7.1 | 400 | 111.8 | 107.0 | .0120 | 8 | 2.90 | 1.03 | 103.80 | 99.00 | 6 | |
| Alley S. of Meridian | Kansas St. | Nebraska St. | 7.1 | 3.3 | 400 | 107.0 | 100.7 | 0.123 | .0157 | 8 | 3.28 | 1.18 | 98.99 | 92.70 | 7 |
| Nebraska St. | Alley S. of Meridian | Alley S. of Smith Av. | 3.3 | 3.2 | 304 | 100.7 | 99.3 | 1.85 | .0042 | 12 | 2.36 | 1.85 | 92.37 | 91.09 | 8 |
| Alley S. of Smith Ave. | Railroad | East of Kansas St. | 6.2 | 6.1 | 305 | 109.3 | 105.3 | .0131 | 8 | 3.00 | 1.08 | 101.30 | 97.30 | 9 | |
| Alley S. of Smith Ave. | East of Kansas St. | Nebraska St. | 6.1 | 3.2 | 304 | 105.3 | 99.3 | 0.069 | .0197 | 8 | 3.70 | 1.32 | 97.29 | 91.30 | 10 |
| Nebraska St. | Alley S. of Smith Ave. | S. of Cordovez St. | 3.2 | 3.1 | 300 | 99.3 | 101.1 | 1.92 | .00213 | 15 | 2.00 | 2.45 | 90.84 | 90.20 | 11 |
| S. of Cordovez St. | Railroad | Nebraska St. | 4.1 | 3.1 | 410 | 100.8 | 101.1 | .00574 | 8 | 2.00 | 0.71 | 92.80 | 90.62 | 12 | |
| S. of Cordovez St. | Map margin | Nebraska St. | 5.1 | 3.1 | 380 | 104.6 | 101.1 | 0.054 | .00854 | 8 | 2.46 | 0.87 | 96.60 | 93.10 | 13 |
| Nebraska St. | S. of Cordovez St. | Long St. | 3.1 | 148 | 172 | 101.1 | 98.7 | 1.99 | .00213 | 15 | 2.00 | 2.45 | 90.04 | 89.87 | 14 |
| Long St. | Map margin | Nebraska St. | 149 | 148 | 380 | 103.8 | 98.7 | 0.030 | .0134 | 8 | 3.04 | 1.08 | 95.80 | 90.70 | 15 |
| Long St. | Nebraska St. | N. Carolina St. | 148 | 147 | 492 | 98.7 | 103.8 | 2.02 | .00213 | 15 | 2.00 | 2.45 | 89.86 | 88.94 | 16 |
| Long St. | N. Carolina St. | Georgia St. | 147 | 146 | 430 | 103.8 | 99.1 | 3.03 | .0016 | 18 | 2.00 | 3.50 | 88.69 | 88.00 | 17 |
| Long St. | Georgia St. | Harris St. | 146 | 145 | 419 | 99.1 | 96.9 | 3.04 | .0016 | 18 | 2.00 | 3.50 | 87.99 | 87.32 | 18 |
| Alley S. of Janis St. | End of Janis St. | Harris St. | 2.2 | 2.1 | 350 | 105.2 | 98.1 | .0203 | 8 | 3.78 | 1.35 | 97.20 | 90.10 | 19 | |
| Harris St. | Alley N. of Janis St. | Long St. | 2.1 | 145 | 135 | 98.1 | 96.9 | .0088 | 8 | 2.53 | 0.89 | 90.09 | 88.90 | 20 | |
| Long St. | Harris St. | Kentucky St. | 145 | 144 | 258 | 96.9 | 94.4 | .00353 | 18 | 2.98 | 5.20 | 87.31 | 86.40 | 21 | |
| Long St. | Kentucky St. | Tennessee St. | 144 | 143 | 282 | 94.4 | 93.6 | .00635 | 18 | 4.00 | 7.00 | 86.39 | 84.60 | 22 | |
| Tarbell Ave. | Harris St. | Long St. | 1.1 | 143 | 417 | 98.7 | 92.6 | .0146 | 8 | 3.18 | 1.14 | 90.70 | 84.60 | 23 | |
| Long St. | Tennessee St. | Alley W. of Tenn. St. | 143 | 142 | 185 | 92.6 | 92.3 | 3.13 | .0016 | 18 | 2.00 | 3.50 | 83.77 | 83.47 | 24 |
| Column No. (1) | (2) | (3) | (4) | (5) | (6) | (7) | (8) | (9) | (10) | (11) | (12) | (13) | (14) | (15) | |
8847. Surface Profile.—A profile of the surface of the ground along the proposed lines of the sewers should be drawn after the completion of the computations for quantity. An example of a profile is shown in Fig. 26 for the line between manholes No. 3.5 and No. 147. The vertical scale should be at least 10 times the horizontal. A horizontal scale of 1 inch to 200 feet can be used where not much detail is to be shown, but a scale of one 1 to 100 feet is more common and more satisfactory and even one inch to 10 feet has been used. The information to be given and the method of showing it are illustrated on Fig. 26. The profile should show the character of the material to be passed through and the location of underground obstacles which may be encountered. The method of obtaining this information is taken up in Chapter II. The collection of the information should be completed as far as possible previous to design, and borings and other investigations made as soon as the tentative routes for the sewers have been selected.
48. Slope and Diameter of Sewers.—After the quantity of sewage to be carried has been determined, and the profile of the ground surface has been drawn, it is possible to determine the slope and diameter of the sewer. A table such as No. 20 is made up somewhat similar to No. 19, or which may be an extension of Table 19 since the first 6 columns in both tables are the same. The elevation of the surface at the upper and lower manholes is read from the profile.
The depth of the sewer below the ground surface is first determined. Sewers should be sufficiently deep to drain cellars of ordinary depth. In residential districts cellars are seldom more than 5 feet below the ground surface. To this depth must be added the drop necessary for the grade of the house sewer. Six-inch pipe laid on a minimum grade of 1.67 per cent is a common size and slope restriction for house drains or sewers. An additional 12 inches should be allowed for the bends in the pipe and the depth of the pipe under the cellar floor. Where the elevation of the street and lots is about the same, and the street is not over 80 feet in width between property lines, a minimum depth of 8 feet to the invert of sewers, 24 inches or less in diameter is satisfactory. This is on the assumption that the axes of the house drain and the sewer intersect. For larger pipes the depth should be increased so that when the street sewer is flowing full, sewage will not back up into the cellars or for any great distance into the tributary pipes.
Fig. 26.—Typical Profile Used in the Design of a Separate Sewer System.
90The grade or slope at which a sewer shall be may be fixed by: the slope of the ground surface; the minimum permissible self-cleansing velocity; a combination of diameter, velocity, and quantity; or the maximum permissible velocity of flow. Sewers are laid either parallel to the ground surface where the slope is sufficient or where possible without coming too near the surface they are laid on a flatter grade to avoid unnecessary excavation. The minimum permissible slope is fixed by the minimum permissible velocity.
The velocity of flow in a sewer should be sufficient to prevent the sedimentation of sludge and light mineral matter. Such a velocity is in the neighborhood of 1 foot per second. Since sewers seldom flow full this velocity should be available under ordinary conditions of dry weather flow. The minimum velocity when full should therefore be about 2 feet per second. Under this condition, the velocity of 1 foot per second is not reached until the sewer is less than 18 per cent full. The velocity in small sewers should be made somewhat faster than in large sewers since the velocity of flow for small depths in small pipes is less than for the same proportionate depth in large pipes. The maximum permissible velocity of flow is fixed at about 10 feet per second in order to avoid excessive erosion of the invert. If the sewer is carefully laid this limit may be exceeded in sanitary sewers.
The method for determining the grade and diameter of sewers is best explained through an illustrative problem which is worked out in Table 20 for the profile shown on Fig. 26. The figures are inserted in the table from left to right in each line, one line being completed before the next one is commenced. The headings in the first 6 columns are self-explanatory. The elevations of the surface at the upper and lower manholes are read from the profile. The total flow is read from column (18) in Table 19. The slope of the ground surface is then computed, and with the quantity, slope, and coefficient of roughness, the diameter of the pipe and the velocity of flow are read from Fig. 15.
The following conditions may arise:
(1) The diameter required is less than 8 inches. Use a diameter of 8 inches as experience has shown that the use of smaller diameters is unsatisfactory.
91(2) The velocity of flow when the sewer is full is less than 2 feet per second. Increase the slope until the velocity when full is 2 feet per second.
(3) The diameter of the pipe required is not one of the commercial sizes shown in Fig. 15. Use the next largest commercial size.
(4) The slope of the ground surface is steeper than necessary to maintain the required minimum velocity and the upper end of the sewer is deeper than the required minimum depth. Place the sewer on the minimum permissible grade, or upon such a grade that its lower end will be at the minimum permissible depth.
(5) The slope of the ground surface is so steep as to make the velocity of flow greater than the maximum rate permissible. Reduce the grade by deepening the sewer at the upper manhole and using a drop manhole at this point.
It is not permissible to use a pipe larger than that called for by the above conditions. This is attempted sometimes in order to reduce the grade and thereby save excavation, under the rule of a minimum velocity of 2 feet per second when full. It is better to use the smaller pipe on the flat grade as the quantity of sewage is insufficient to fill the larger sewer and the minimum permissible velocity is more quickly reached.
Having determined the slope, the diameter, and the capacity of the pipe to be used, these values are entered in the table. The elevations of the invert of the pipe at the upper and lower manholes are next computed and entered in the table. This method is followed until all of the diameters, slopes, and elevations have been determined.
The slopes are computed from center to center of manholes, but an extra allowance of 0.01 of a foot is allowed by some designers for the increased loss in head in passing through the manhole. When it becomes necessary to increase the diameter of the sewer the top of the outgoing sewer is placed at the same elevation or below the top of the lowest incoming sewer. No extra allowance is made to compensate for loss in head in the manhole in this case. This case is illustrated in columns (14) and (15) in lines (16) and (17) of Table 20. All of the conditions listed above are illustrated in Table 20, except the condition for a velocity greater than 10 feet per second.
The first condition is met at the head of practically every lateral, and is illustrated in the second line.
92The second condition is also illustrated in the second line. The slope of the ground surface is 0.0046, which gives a velocity of only 1.8 feet per second in an 8–inch pipe. The slope is therefore increased to 0.00575, on which the full velocity is 2 feet per second.
The third condition is met in the first line. The diameter called for to carry 1.66 cubic feet per second on a slope of 0.0108 is slightly less than 10 inches. A 10–inch pipe is therefore used and its full capacity and velocity are recorded.
The fourth condition is illustrated in the fourteenth line. The cut at manhole No. 3.1 is 11.1 feet. The slope of the ground is 0.014, much steeper than is necessary to maintain the minimum velocity in a 15–inch pipe. The pipe is therefore placed on the minimum permissible slope, and excavation is saved. The student should check the figures in Table 20 and be sure that they are understood before an attempt is made to make a design independently.
49. The Sewer Profile.—The profile is next completed as shown in Fig. 26, the pipe line being drawn in as the computations are made. The cut is recorded to the nearest ⅒th of a foot at each manhole, or change in grade. It should not be given elsewhere as it invites controversy with the contractor. The cut is the difference of the elevation of the invert of the lowest pipe in the trench at the point in question, and the surface of the ground.
The stationing should be shown to the nearest ⅒th of a foot. It should commence at 0 + 00 at the outlet and increase up the sewer. The station of any point on the sewer may show the distance from it to the outlet, or a new system of stationing may be commenced at important junctions or at each junction.
Elevations of the surface of the ground should be shown to
the nearest ⅒th of a foot, and the invert elevation to the nearest
1
100th of a foot.
Only the main line sewer is shown in profile in Fig. 26. The profiles of the laterals computed in Table 20, have not been shown. The approximate location of all house inlets are shown on the profile and located exactly, and are made a matter of record during construction.
50. Planning the System.—Storm sewer systems are seldom as extensive as separate or combined sewer systems, since storm sewage can be discharged into the nearest suitable point in a flowing stream or other drainage channel, whereas dry weather or combined sewage must be conducted to some point where its discharge will be inoffensive. The need of a comprehensive general plan of a storm sewer system is quite as great, however, as for a separate system. The haphazard construction of sewers at the points most needed for the moment results in the duplication of forgotten drains, expense in increasing the capacity of inadequate sewers, and difficult construction due to underground structures thoughtlessly located. A comprehensive plan permits the construction of sewers where they are needed as they are required, and enables all probable future needs to be cared for at a minimum of expense.
The same preliminary survey, map, and underground information are necessary for the design of a storm sewer system as for a separate sewer system. The map shown on Fig. 25 has been used for the design of a storm-water sewer system.
The steps in the design of a storm-water sewer system are:
1st. Note the most advantageous points to locate the inlets and lay out the system to drain these inlets. 2nd. Determine the required capacity of the sewers by a study of the run-off from the different drainage areas. 3rd. Draw the profile and compute the diameter and slope of the pipes required.
51. Location of Street Inlets.—The location of storm sewers is determined mainly by the desirable location of the street inlets. The inlets must therefore be located before the system can be planned. In general the inlets should be located so that no water will flow across a street or sidewalk, in order to reach the sewer. This requires that inlets be placed on the high corners at street intersections, in depressions between street intersections, and at sufficiently frequent intervals that the gutters may not be overloaded. City blocks are seldom so long as to necessitate the location of inlets between crossings solely on account of inadequate gutter capacity. The capacity of a gutter can be computed approximately by the application of Kutter’s formula. Inlet capacities are discussed in Chapter VI. When the area drained 94is sufficiently large to tax the capacity of the gutter or inlet, an inlet should be installed regardless of the location of the street intersections.
The street inlets are located on the map as shown in Fig. 25. The sewer lines are then located so as to make the length of pipe to pass near to all inlets a minimum. Storm sewers are seldom placed near the center of a street because of the frequent crowded condition on this line.
52. Drainage Areas.—The outline of a drainage area is drawn so that all water falling within the area outlined will enter the same inlet, and water falling on any point beyond the outline will enter some other inlet. This requires that the outline follow true drainage lines rather than the artificial land divisions used in locating the drainage lines in the design of sanitary sewers. The drainage lines are determined by pavement slopes, location of downspouts, paved or unpaved yards, grading of lawns and the many other features of the natural drainage which are altered by the building up of a city. The location of the drainage lines is fixed as the result of a study of local conditions.
The watershed or drainage lines are shown on Fig. 25 by means of dot and dash lines. A drainage line passes down the middle of each street because the crown of the street throws the water to either side and directs it to different inlets. A watershed line is drawn about 50 feet west of such streets as Kentucky St., Florida St., etc., because the downspouts from the houses on those streets discharge or will discharge into the street on which they face. The location of any watershed line within 20 feet more or less is, in most cases, a matter of judgment rather than exactness. Each area is given an identifying number or mark which is useful only in design. It usually corresponds to the inlet number.
53. Computation of Flood Flow by McMath Formula.—McMath’s Formula is used as an example of the method pursued when an empirical formula is adopted for the computation of run-off, and because of its frequent use in practice. Other formulas may be more satisfactory under favorable conditions.
Computations should be kept in order by a tabulation such as is shown in Table 21, in which the quantity of storm flow discharged from the sewer at the foot of Tennessee St., on Fig. 25, has been computed by means of the McMath Formula, using the constants suggested for St. Louis conditions, i = 2.75, and c = 0.75. The 95solutions of the formula have been made by means of Fig. 11. The column headings in the Table are explanatory of the figures as recorded. The computation should begin at the upper end of a lateral, proceed to the first junction and then return to the head of another lateral tributary to this junction. They should be continued in the same manner until all tributary areas have been covered. Special computations will be necessary for the determination of the maximum quantity of storm water entering each inlet to avoid the flooding of an inlet or gutter. These computations have not been shown as they are so easily made by the application of McMath’s Formula to each area concerned.
The determination of the average slope ratio is a matter of judgment, based on the average natural slope of the surface of the ground and an estimate of the probable future conditions.
54. Computation of Flood Flow by Rational Method.—The rational method for the computation of storm-water run-off is described in Chapter III. An example of its application to storm sewer design is given here for the district shown in Fig. 25.[34] The computations are shown in Table 21. As in the preceding designs the table has been filled in from left to right and line by line. Computations have started at the upper end of laterals tributary to each junction. The column headed I represents the imperviousness factor in the expression Q = AIR. It is based on judgment guided by the constants given in Chapter III concerning imperviousness. The column headed “Equivalent 100 per cent I acres” is the product of the two preceding columns. It reduces all areas to the same terms so that they can be added for entry in the column headed “Total 100 per cent I acres.” It may be necessary to record the values for this column on several lines where the imperviousnesses of the tributary areas are different. This condition is illustrated in the last line of the table, for the length of sewer nearest the outlet. In the preceding lines the imperviousness recorded represents an average for all the tributary areas.
| TABLE 21 | |||||||||||||||||||
|---|---|---|---|---|---|---|---|---|---|---|---|---|---|---|---|---|---|---|---|
| Computations for the Quantity of Storm Sewage at the Foot of Tennessee Street on Figure 25 | |||||||||||||||||||
| On Street | From Street | To Street | Identifying Number of Acres Drained | By McMath’s Formula | By Rational Method | Line Number | |||||||||||||
| Additional Acres Drained | Total Acres Drained | Slope of Surface | Run Off in C.F.S. | Area, Acres | I | Equivalent 100 Per Cent I Acres | Total 100 Per Cent I Acres | Time of Concentration, Minutes | R | Q | S | V | Sewer Length, Feet | Time in Sewer | |||||
| State | N. Carolina | S. Carolina | 91 and 92 | 2.35 | 2.35 | 0.005 | 5.5 | 2.35 | 0.50 | 1.17 | 1.17 | 7.0 | 4.8 | 5.6 | 0.011 | 4.6 | 300 | 1.1 | 1 |
| State | S. Carolina | Georgia | 88, 89 and 90 | 3.0 | 5.35 | .005 | 10.8 | 3.00 | .50 | 1.50 | 2.67 | 8.1 | 4.6 | 12.2 | .010 | 5.5 | 300 | 0.9 | 2 |
| State | Georgia | Florida | 85, 86 and 87 | 3.0 | 8.35 | .007 | 16.5 | 3.00 | .50 | 1.50 | 4.17 | 9.0 | 4.4 | 18.3 | .012 | 5.8 | 300 | 0.9 | 3 |
| State | Florida | Kentucky | 81, 83 and 84 | 3.0 | 11.35 | .009 | 22.0 | 3.00 | .50 | 1.50 | 5.67 | 9.9 | 4.2 | 23.9 | .009 | 6.0 | 300 | 0.8 | 4 |
| State | Kentucky | Tennessee | 79, 80 and 82 | 3.0 | 14.35 | .010 | 28.0 | 3.00 | .50 | 1.50 | 7.17 | 10.7 | 4.1 | 29.3 | .009 | 6.2 | 300 | 0.8 | 5 |
| State | Texas | Louisiana | 76 and others | 3.8 | 3.8 | .005 | 8.3 | 3.80 | .35 | 1.33 | 1.33 | 10.0 | 4.2 | 5.6 | .009 | 3.2 | 370 | 1.9 | 6 |
| State | Louisiana | Alabama | 73, 74 and 75 | 3.7 | 7.5 | .007 | 15.0 | 3.70 | .40 | 1.48 | 2.81 | 11.9 | 3.9 | 11.0 | .011 | 5.2 | 300 | 1.0 | 7 |
| State | Alabama | Tennessee | 70, 71 and 72 | 3.0 | 10.5 | .006 | 19.0 | 3.00 | .45 | 1.35 | 4.16 | 12.9 | 3.8 | 15.8 | .002 | 3.2 | 300 | 1.6 | 8 |
| Tennessee | State | Talon | 68, 69, 77 and 78 | 4.3 | 29.15 | .15 | 52 | 4.30 | .50 | 2.15 | 13.48 | 14.5 | 3.6 | 48.5 | .019 | 9.8 | 450 | 0.8 | 9 |
| Talon | Albemarle | Tennessee | 65, 66 and 67 | 2.8 | 2.8 | .018 | 8.4 | 2.80 | .40 | 1.12 | 1.12 | 8.0 | 4.6 | 5.2 | .004 | 3.0 | 210 | 1.2 | 10 |
| Tennessee | Talon | Burnside | 64 and 64a | 0.7 | 29.85 | .15 | 55 | 0.70 | .20 | 0.14 | 14.74 | 15.3 | 3.5 | 51.5 | .006 | 5.0 | 120 | 0.4 | 11 |
| Burnside | N. Carolina | S. Carolina | 57, 58 and 59 | 2.84 | 2.84 | .008 | 7.2 | 2.84 | .55 | 1.56 | 1.56 | 10.0 | 4.2 | 6.5 | .008 | 4.5 | 300 | 1.1 | 12 |
| Burnside | S. Carolina | Georgia | 54, 55 and 56 | 3.88 | 6.72 | .010 | 14.9 | 3.88 | .55 | 2.13 | 3.69 | 11.1 | 4.0 | 14.8 | .007 | 4.7 | 300 | 1.1 | 13 |
| Burnside | Georgia | Florida | 50, 52 and 53 | 3.88 | 10.60 | .012 | 22 | 3.88 | .55 | 2.13 | 5.82 | 12.2 | 3.9 | 22.7 | .011 | 5.8 | 300 | 0.9 | 14 |
| Burnside | Florida | Kentucky | 47, 48 and 51 | 3.88 | 14.48 | .013 | 30 | 3.88 | .55 | 2.13 | 7.95 | 13.1 | 3.7 | 29.4 | .016 | 7.5 | 300 | 0.7 | 15 |
| Burnside | Kentucky | Tennessee | 44, 45 and 46 | 3.88 | 18.36 | .013 | 36 | 3.88 | .55 | 2.13 | 10.08 | 13.8 | 3.7 | 37.3 | .019 | 9.2 | 300 | 0.5 | 16 |
| Tennessee | Burnside | Elm | 42 and 43 | 2.84 | 51.05 | .015 | 82 | 2.84 | .45 | 2.28 | 26.10 | 15.7 | 3.4 | 88.8 | .015 | 10.2 | 280 | 0.5 | 17 |
| Elm | Above Chetwood | Chetwood | Included in next line below | 18 | |||||||||||||||
| Elm | Chetwood | Albemarle | 31, 32 and 33 | 2.75 | 2.75 | .007 | 7.0 | 2.75 | .40 | 1.10 | 1.10 | 8.0 | 4.6 | 5.1 | .020 | 5.3 | 480 | 1.5 | 19 |
| Elm | Albemarle | Tennessee | 27, 28, 29 and 30 | 5.75 | 8.50 | .016 | 20 | 5.75 | .45 | 2.59 | 3.69 | 9.5 | 4.3 | 15.8 | .012 | 6.1 | 410 | 1.1 | 20 |
| Tennessee | Elm | Varennes | 25, 26 and 41 | 2.62 | 62.17 | .017 | 100 | 2.62 | .50 | 1.31 | 30.00 | 16.2 | 3.4 | 102 | .012 | 10.2 | 180 | 0.3 | 21 |
| Varennes | S. Carolina | Georgia | 17, 18 and 19 | 3.17 | 3.17 | .010 | 8.3 | 3.17 | .55 | 1.74 | 1.74 | 9.0 | 4.4 | 7.7 | .012 | 5.2 | 270 | 0.9 | 22 |
| Varennes | Georgia | Florida | 14, 15 and 16 | 3.17 | 6.34 | .011 | 14.5 | 3.17 | .55 | 1.74 | 3.48 | 9.9 | 4.2 | 14.5 | .010 | 5.7 | 300 | 0.9 | 23 |
| Varennes | Florida | Kentucky | 11, 12 and 13 | 3.17 | 9.51 | .013 | 21 | 3.17 | .55 | 1.74 | 5.22 | 10.8 | 4.1 | 21.4 | .017 | 7.7 | 300 | 0.6 | 24 |
| Varennes | Kentucky | Tennessee | 8, 9 and 10 | 3.17 | 12.68 | .013 | 26 | 3.17 | .55 | 1.74 | 6.96 | 11.4 | 4.0 | 27.8 | .015 | 7.8 | 300 | 0.6 | 25 |
| Tennessee | Varennes | Boulevard | 6 and 7 | 2.32 | 77.17 | .017 | 120 | 2.32 | .55 | 1.28 | 32.84 | 16.5 | 3.3 | 108 | .012 | 10.2 | 230 | 0.4 | 26 |
| Tennessee | Boulevard | Outlet | 1, 2, 3, 4, and 5 | 4.72 | 81.89 | .017 | 122 | 0.18 | .80 | 0.14 | Area No. 1 | 27 | |||||||
| 1.38 | .50 | 0.69 | Area No. 2 | 28 | |||||||||||||||
| 2.80 | .55 | 1.54 | Areas No. 3 and 4 | 29 | |||||||||||||||
| 0.36 | .75 | 0.27 | 35.48 | 16.9 | 3.3 | 117 | Areas No. 1–5 inclusive | 30 | |||||||||||
The time of concentration in minutes is assumed by judgment for the first area. For all subsequent areas it is the sum of the time of concentration for the area or areas tributary to the inlet next above and the time of flow in the sewer from the inlet next above to the inlet in question. For example, in line 2 the time 8.1 minutes is the sum of 7.0 minutes time of concentration to the inlet at the corner of State and North Carolina St., and the time of flow of 1.1 minute in the sewer on State St. from North Carolina St. to South Carolina St. Where two sewers are converging as at the corner of Varennes Road and Tennessee St. the longest time is taken. For example, the time of concentration 97down Varennes Road to Tennessee St. is shown in line 25 as 11.4 + 0.6 = 12.0 minutes. The time to the same point down Tennessee St. is shown in line 21 as 16.2 + 0.3 = 16.5 minutes. This time is therefore used in line 26.
R, the rate of rainfall in inches per hour is determined by Talbot’s formula.
Q, is in cubic feet per second and is the product of the 8th 98and 10th columns. Since the 8th column is the sum of the products of the 5th and the 6th columns for the lines representing tributary areas, then the 11th column is the product of A, I, and R.
S, is the slope on which it is assumed that the sewer will be laid. It is usually assumed as parallel to the ground surface unless the velocity for this slope becomes less than 2 feet per second. In such a case the slope is taken as one which will cause this velocity.
V, the velocity in feet per second, is computed from diagrams for the solution of Kutter’s formula. The length in feet is scaled from the map as the distance between inlets or groups of inlets, and the time is the length in feet divided by the velocity in feet per minute.
Having computed the quantity of flow to be carried in the sewer, the design is completed by drawing the profile and computing the diameters and slopes by the same method as used in the design of separate sewers.
55. General.—The appurtenances to a sewerage system are those devices which, in addition to the pipes and conduits, are essential to or are of assistance in the operation of the system. Under this heading are included such structures and devices as: manholes, lampholes, flush-tanks, catch-basins, street inlets, regulators, siphons, junctions, outlets, grease traps, foundations and underdrains.
56. Manholes.—A manhole is an opening constructed in a sewer, of sufficient size to permit a man to gain access to the sewer. Manholes are the most common appurtenances to sewerage systems and are used to permit inspection and the removal of obstructions from the pipes. The details of the Baltimore standard manholes are shown in Fig. 27 and a manhole on a large sewer in Omaha is shown in Fig. 28. The features of these designs which should be noted are the size of the opening and working space, and the strength of the structure. Manhole openings are seldom made less than 20 inches in diameter and openings 24 inches in diameter are preferable. A man can pass through any opening that he can get his hips through provided he can bend his knees and twist his shoulders immediately on passing the hole. For this reason the manhole should widen out rapidly immediately below the opening, as shown in Fig. 27 and 38.
The walls of the manhole may be built either of brick or of
concrete. Brick is more commonly used, as the forms necessary
for concrete make the work more expensive unless they can be
used a number of times. The walls of the manhole should be at
least 8 inches thick. Greater thicknesses are used in treacherous
soils and for deep manholes, or to exclude moisture. A rough
expression for the thickness of the walls of a brick manhole more
than 12 feet deep in ordinary firm material is t = d
2 + 2, in which t
100is the thickness in inches and d is the depth in feet. The thickness
of brick walls may be changed every 5 to 10 feet or so. Concrete
walls may be built thinner than brick walls.
Fig. 27.—Baltimore Standard Manhole Details.
The bottoms of brick manholes are frequently made of concrete as shown in Fig. 27. The floor slopes towards the center and is constructed so that the sewage flows in a half round or U-shaped channel of greater capacity than the tributary sewers. The sides of the channel should be high enough to prevent the overflow of sewage onto the sloping floor, which should have a pitch of about one vertical to 10 or 12 horizontal. In manholes where two or more sewers join at approximately the same level the channels in the bottom should join with smooth easy curves. Where the inlet and outlet pipes are not of the same diameter the tops of the pipes should ordinarily be placed at the same elevation to prevent back flow in the smaller pipes when the larger pipes are flowing full.
The dimensions of the manhole should not be less than 3 feet wide by 4 feet long for a height of at least 4 feet, when built in the form of an ellipse, or 4 feet in diameter when built circular. No standard method for the reduction of the diameter of the manhole near the top is observed, the rate being more or less dependent 101on the depth of the manhole. The use of sloping sides above the frost line is desirable as such a form is more resistant to heaving by frost action.
For sewers up to 48 inches in diameter the manhole is usually centered over the intersection of the pipes and has a special foundation. For larger sewers the manhole walls spring from the walls of the sewer as shown in Fig. 28.
Fig. 28.—Details of a Manhole and a Well Hole.
In the case of a decided drop in the elevation of a sewer, or of a tributary sewer appreciably higher than an outlet in any manhole, the sewage is allowed to drop vertically at the manhole, hence the name drop manhole. The Baltimore standard drop manhole is shown in Fig. 27. A well hole is an unusually deep drop manhole in which the force of the vertical drop of sewage is broken by a series of baffle plates, or by a sump at the bottom of the well hole. Fig. 28 shows a well hole at St. Paul, Minn. The use of drop manholes can be avoided in large sewers by the construction of a flight of steps or flight sewer as shown in Fig. 29, which allows the use of a steep grade and serves to break the velocity of the sewage.
The specifications of the Sanitary District of Chicago, covering the construction of manhole covers and frames are:
All castings shall be of tough, close grained, gray iron, free from blow holes, shrinkage and cold shuts, and sound, smooth, clean and free from blisters and all defects.
102All castings shall be made accurately to dimensions to be furnished and shall be planed where marked or where otherwise necessary to secure perfectly flat and true surfaces. Allowance shall be made in the patterns so that the specified thickness shall not be reduced.
All castings shall be thoroughly cleaned and painted before rusting begins and before leaving the shop with two coats of high grade asphaltum or any other varnish that the Engineer may direct. After the castings have been placed in a satisfactory manner, all foreign adhering substances shall be removed and the castings given one additional coat of asphaltum. No castings shall be accepted the weight of which shall be less than that due to its dimensions by more than 5 per cent.
Fig. 29.—Flight Sewer at Baltimore.
Eng. Record, Vol. 59, p. 161.
Fig. 30.—Baltimore Standard Manhole Frame and Cover.
The weights of frames and covers in use vary from 200 to 600 pounds, the weight of the frame being about 5 times that of the cover. The lightest weights are used where no traffic other than an occasional pedestrian will pass over the manhole. Frames and covers weighing about 400 pounds are commonly used on residential streets, whereas 600 pound frames and covers are desirable in streets on which the traffic is heavy. The frames should be so designed that the pavement will rest firmly against it and wear at the same rate as the surrounding street surface. Experience has shown that vertical sides should be used for the outside of the frame to approach this condition, and that the frame should not be less than 8 inches high. The cover should be roughened in some desirable pattern as shown in Fig. 30. Smooth covers become dangerously slippery. Where the ventilation of 103the sewers is not satisfactory the manhole covers are sometimes perforated. This is undesirable from other points of view as the rising odors and vapors are obnoxious at the surface and the entering dirt and water are detrimental to the operation of the sewer. The stealing and destruction of manhole covers and the unauthorized entering of sewers has occasionally required the locking of the covers to the frame when in place. The locks commonly used consist of a tumbler which falls into place when the manhole is closed, and which can be opened only by a special wrench or hook. Adjustable frames are sometimes used where the street grade is settling, or may be raised in order that the elevation of the top of the cover may be made to conform to that of the street surface, without reconstructing the top of the manhole. One type of adjustable cover is shown in Fig. 31. Manhole covers should be so marked that the sanitary sewer can be distinguished from the storm-water sewer, and both from the telephone conduit, etc.
Fig. 31.—Adjustable Manhole Frame and Cover.
Iron steps are set into the walls of the manhole about 15 inches apart vertically to allow entrance and exit to and from the manhole. Galvanized iron is preferable to unprotected metal as the action of rust is particularly rapid in the moist air of the sewer. 104One type of these manhole steps is shown in Fig. 27. The steps should have a firm grip in the wall as a loose step is a source of danger.
Fig. 32.—Baltimore Standard Lamphole.
57. Lampholes.—A lamphole is an opening from the surface of the ground into a sewer, large enough to permit the lowering of a lantern into the sewer. Lampholes are used in the place of manholes to permit the inspection or the flushing of sewers, and to avoid the expense of a manhole. They are located from 300 to 400 feet from the nearest manhole in such a manner that a lamp lowered in the lamp hole can be seen from the two nearest manholes.
Lampholes should be constructed of 8– to 12–inch tile or cast-iron pipe. The lower section should be a cast-iron T on a firm foundation, but if constructed of tile it should be reinforced with concrete to take up the weight of the shaft. The details of the Baltimore standard lamphole are shown in Fig. 32. Lampholes are not commonly used on sewerage systems on account of their lack of real usefulness and the troubles encountered by breaking of the pipe below the shaft.
58. Street Inlets.—A street inlet is an opening in the gutter through which storm water gains access to the sewer. The types used in different cities vary widely. Details of an inlet in successful use are shown in Fig. 33. The figure shows also a common form of connection to the sewer. A water-seal trap is sometimes used to prevent the escape of odors from the sewer. Care must be taken in design that such traps do not freeze in winter nor dry 105out in summer, although it is not always possible to prevent these contingencies.
Fig. 33.—Details of an Untrapped Street Inlet, without Catch-Basin.
The important features to be observed in the design of a street inlet are: height and length of opening, character of grating, and location. The general location of inlets is discussed in Chapter V. The clear height of opening commonly used is from 5 to 6 inches, with a clear length of 24 to 30 inches or longer. Inlets of this size have given satisfaction on paved streets with moderate slopes, where the drainage area is not greater than 10,000 to 12,000 square feet of pavement. W. W. Horner states:[35]
The St. Louis type of inlet “old” style was a vertical opening in the curb 8 inches high and 4 feet in length with a horizontal bar making the net opening about 5 inches. It has a broad sill extending under the sidewalk. The “new” style inlet is 4½ feet long with a clear opening of 6 inches and no bar. The sill is done away with and the opening drops down directly from the curb. Tests were made of the capacity of this inlet on pavements on different slopes with sumps of depths varying from 0 to 6 inches in front of the inlet, extending out 3 feet from the gutter, and returning to the elevation of the gutter at a slope of 3 inches to the foot. The results of these tests are shown in Table 22. The capacity of the inlet is expressed as the amount of water entering just before some water begins to lap past. If a large amount of water is allowed to flow past much more water will enter the inlet thus furnishing a factor of safety for large storms. It was noted that by beginning the rise in the pavement about opposite the 106middle of the inlet the capacity of the inlet was increased from 20 to 50 per cent.
| TABLE 22 | ||||||||||||||||
|---|---|---|---|---|---|---|---|---|---|---|---|---|---|---|---|---|
| Capacities of St. Louis Street Inlets | ||||||||||||||||
| From tests by W. W. Horner. Cubic feet per second | ||||||||||||||||
| Slope in Per Ct. | 0.42 | 1.5 | 2.85 | 4.5 | ||||||||||||
| Depth of Sump, Inches | 0.0 | 2 | 4 | 6 | 0 | 2 | 4 | 6 | 0 | 2 | 4 | 6 | 0 | 2 | 4 | 6 |
| Capacity, old style | 1.27 | 0.03 | 0.25 | 0.78 | 1.49 | |||||||||||
| Capacity, new style | 0.1 | 0.5 | 1.5 | 2.5 | 0.08 | 0.4 | 1.1 | 2.1 | 0.03 | 0.28 | 0.87 | 1.62 | 0.02 | 0.15 | 0.45 | 1.0 |
Gratings with horizontal bars will admit more water than gratings with vertical bars, but they will also admit more rubbish such as sticks, papers, leaves, etc., which serve to clog the sewers. Vertical barred gratings and gratings in the bottom of the gutter clog more quickly than other types. In the selection of the type of grating to be used a decision must be made as to whether it is more desirable to clean the sewer or catch-basin, or to flood the street as a result of clogged inlets. Where catch-basins are used or the sewers are large, horizontal bars are more satisfactory. The openings between bars should be small enough to prevent the entrance of a horse’s hoof or objects of sufficient size to clog the sewer. Four inches in the clear for vertical openings and 6 inches for horizontal openings are reasonable sizes.
The location of the inlets at the intersection of the two curb lines at a corner results in a lower first cost but on heavily traveled streets this may result in a higher maintenance cost than for other locations because of the concentration of traffic at street corners, hammering the inlet casting out of shape or position. Vehicles making short turns will tend to climb the curb and will intensify the wear upon the inlet. These objections can be overcome by the use of two inlets at each corner, set back far enough from the curb intersection to avoid interference with the cross-walks. This also makes it possible to raise the cross-walks without the use of gutters under them.
The size of the pipe from the inlet to the catch-basin or sewer should be large enough to care for all of the water which may enter 107the inlet. As the capacity of the inlet is seldom known with accuracy and the capacity of the pipe is difficult of determination, it has become customary to use a 10–inch or a 12–inch connecting pipe for each ordinary independent inlet.
59. Catch-basins.—Catch-basins are used to interrupt the velocity of sewage before entering the sewer, causing the deposition of suspended grit and sludge and the detention of floating rubbish which might enter and clog the sewer. A separate catch-basin may be used for each inlet, or to save expense, the pipes from several inlets may discharge into one catch-basin.
Fig. 34.—Catch-basin.
Outlets are not always trapped.
The types in successful use are extremely varied, but the distinguishing feature of all is an outlet located above the floor of the basin. A common form of catch-basin is shown in Fig. 34. It is constructed similar to a manhole with a diameter of about 4 or 4½ feet and a depth of retained water from 3 to 4 feet. Catch-basins of this size will care for the sewage from the inlets at the four corners of a street intersection, each draining a city block. 108In unusual situations it may be necessary to install a larger basin, but too large a catch-basin is less desirable than one which is too small, as the former stinks and the latter is useless. Traps are sometimes used to prevent the escape of odors from the sewer into the street, but odors are often created in the catch-basins themselves. Some engineers arrange the trap so that it can be opened for observation down the sewer as in Fig. 34, thus combining the advantages of a manhole with the catch-basin.
The use of catch-basins is objectionable because: they furnish a breeding place for mosquitoes and other flying insects; the septic action in them produces offensive odors; if on a combined sewer they permit the escape of offensive odors in dry weather when the water seal in the trap has evaporated; and the freezing of the water seal in the trap prevents the entrance of water to the sewer. The sole advantage lies in the prevention of the clogging of the sewers, but this may be sufficient to overbalance all of the disadvantages. In general catch-basins should be provided on paved streets which are cleaned by flushing the material into the sewers, or where the drainage is from an unimproved or macadamized street, sandy country, or into sewers in which the velocity of flow is less than 2 feet per second.
Fig. 35.—Diagrammatic Section through a Grease Trap.
60. Grease Traps.—The presence of grease in sewers results in the formation of incrustations which are difficult to remove and which cause a material loss in the capacity of the sewer. The presence of oil and gasoline has resulted in violent and destructive explosions as is described in Chapter XII. A type of grease trap used on the drains from hotels, restaurants, or other large grease producing industries is shown in Fig. 35. The trap is similar to a catch-basin except that it is too small for a man to enter, and the outlet is necessarily trapped in order to prevent the escape of grease. The details of a gasoline and oil separator approved by the New York City Fire Department are shown in Fig. 36.[36]
Fig. 36.—Gasoline and Oil Separator.
61. Flush-Tanks.—These are devices to hold water used in flushing sewers. They are required only on sanitary and combined sewers. Their use tends to prevent the clogging of sewers laid on flat grades and permits flatter grades in construction than could otherwise be adopted. Flush-tanks may be operated either by hand or automatically. Automatic operation is more common than hand operation. The hand-operated tanks are similar to manholes so arranged that the inlet and outlet sewers can be plugged while the manhole or tank is being filled with water either from a hose or a special service connection. When sufficient water has been accumulated the outlet is opened and the sewer is flushed by the rush of water. A sluice gate, flap valve, or a specially fitted board is sufficient to fit over the mouth of the inlet and outlet during the filling of the tank. Such an arrangement has the advantage of being cheap, simple, and satisfactory, though somewhat crude. In some cases water is run into the tank at the same rate that it is discharged through the open outlet, maintaining a depth of 4 or 5 feet in the tank until the water passing the manhole below runs clean. The volume of water required by this method is large. Flushing water under a relatively high head is sometimes obtained by the use of tank wagons which are quickly emptied into the sewer through a canvas pipe dropped down a manhole. In all such cases if not well constructed the manhole is subject to caving due to the rush of water around the outlet. Precautions should be taken to minimize this danger by limiting the depth of water which may be accumulated. This can be done by constructing an overflow at a height of 4 or 5 feet above the bottom of the manhole, discharging into the sewer through an outside drain.
Automatic flush-tanks are constructed similar to a manhole, but special care should be taken to make them water-tight. The 110apparatus for providing the automatic discharge may operate either with or without moving parts, the latter being preferable as they require less attention and are not so liable to get out of order. An automatic flush-tank of the Miller type is shown in Fig. 37. It is a patented device manufactured by the Pacific Flush Tank Company. The small pipe at the left is a service connection to the water main. Water is allowed to flow continuously into the tank at such a rate as to fill it in the required interval between discharges. The tanks are discharged as nearly once a day as it is practicable to regulate them. The rate of flow into the tank is determined by trial and varies to some extent with the water pressure. The regulator shown in the figure is desirable as the continuous flow through the ordinary cock soon wears it away. Some waters will cause deposits to form in the small passages of the cocks or regulators, thus cutting off the flow.
Fig. 37.—Automatic Flush-Tank.
Pacific Flush Tank Co.
The tank operates as follows: when the water rising in the tank reaches the bottom of the bell, air is trapped in the bell and prevented from escaping through the main trap by the water at A. As the water continues to rise in the tank the air in the bell is compressed, the water level at A is driven down and water trickles from the siphon at C. The height of the water in the tank above the level of the water in the bell is equal at all times to the height of C above the lowering position of A. When A reaches the position of B a small amount of air is released through the short leg of the trap and a corresponding volume of water enters the bell. The head of water above the bell then becomes greater than the head of water in the short leg of the trap, which results in the discharge of all of the air in the long leg of the trap and the rapid discharge of the water in the tank through the siphon. The discharge is continued until the siphonic action is broken by the admission of air when the water level in the tank is lowered 111to the bottom of the bell. The size of the siphons is fixed by the diameter of the leg of the siphon. Table 23 shows the capacity and size of sewers for which the different sizes of siphons are recommended by the manufacturers.[37]
| TABLE 23 | |||||
|---|---|---|---|---|---|
| Sizes of Siphons to be Used with Automatic Flush-Tanks | |||||
| Diameter of Siphon in Inches | Diameter of Tank at the Discharge Line in Feet | Total Discharge for One Flush in Gallons | Average Rate of Discharge in Sec.-ft. | Diameter of Sewer in Inches | Height of the Discharge Line above the Edge of the Bell |
| 4 | 3 | 60 | 0.35 | 4 to 6 | 1 ft. 2 in. |
| 5 | 3 | 100 | 0.73 | 6 to 8 | 1 ft. 11 in. |
| 6 | 4 | 240 | 1.06 | 8 to 10 | 2 ft. 6 in. |
| 8 | 4 | 280 | 2.12 | 12 to 15 | 2 ft. 11 in. |
When flush-tanks are placed at the upper end of laterals provision should be made for inspecting and cleaning the sewer by the construction of a separate manhole, or by combining the features of a manhole and a flush-tank in the same structure. Such a combination is shown in Fig. 38 from a design by Alexander Potter.
Except under unusual conditions flush-tanks are used only on separate sewers. They should be placed at the upper end of laterals in which the velocity of flow when full is less than 2 to 4 feet per second. The capacity of the tank or the volume of the dose is dependent on the diameter and slope of the sewer. The most effective flush is obtained by a volume of water traveling at a high velocity and completely filling the sewer. A large volume allowed to run slowly through the sewer will have but little if any flushing action. Data on the quantity of flushing water needed are given in Table 24.[38] As the result of a series of experiments conducted by Prof. H. N. Ogden on the flushing of sewers,[39] the conclusion was reached that the effect of a flush of about 300 gallons in an 8–inch sewer on a grade less than 1 per cent would not be effective beyond 800 to 1,000 feet, but that on steeper grades much smaller quantities of water would produce equally good results.
Fig. 38.—Automatic Flush-Tank and Manhole.
Miller-Potter Design. Pacific Flush Tank Co.
| TABLE 24 | |||
|---|---|---|---|
| Gallons of Water Needed for Flushing Sewers | |||
| Slope | Diameter of Sewer in Inches | ||
| 8 | 10 | 12 | |
| 0.005 | 80 | 90 | 100 |
| .0075 | 55 | 65 | 80 |
| .01 | 45 | 55 | 70 |
| .02 | 20 | 30 | 35 |
| .03 | 15 | 20 | 24 |
113Engineers do not agree upon the advisability of the use of automatic flush-tanks, some believing that they are a needless expense that can be avoided by hand flushing, and others feeling that a flush-tank should be placed at the upper end of every lateral. These diverse opinions are the result of different experiences in different cities.
62. Siphons.—There are two forms of siphons used in sewerage practice, a true siphon and an inverted siphon. A true siphon is a bent tube through which liquid will flow at a pressure less than atmospheric, first upwards and then downwards, entering and leaving at atmospheric pressure. An inverted siphon is a bent tube through which liquid will flow at a pressure greater than atmospheric first downwards and then upwards, entering and leaving at atmospheric pressure.
In sewerage practice the word siphon refers to an inverted siphon unless otherwise qualified. Siphons, both true and inverted, are used in sewerage systems to pass above or below obstacles. True siphons are seldom used as they must be kept constantly filled with liquid.[40] Accumulated gas must be removed in order to prevent the breaking of the siphon which results in the cessation of flow. By the breaking of a true siphon is meant the stoppage of siphonic action due to the accumulation of air or gas at the peak of the siphon. Since the rate of flow of sewage fluctuates widely it is extremely difficult to control the flow so that a true siphon may be completely filled with liquid at all times.
In the design of inverted siphons care must be taken to prevent sedimentation, and to permit inspection and cleaning. Sedimentation is prevented by maintaining a velocity greater than a fixed minimum, usually taken at about 2 feet per second. This minimum is attained by providing a number of channels. The smallest channel is designed to convey the least expected flow at the minimum velocity. Each of the other channels is made as small as possible, within the limits of economy and simplicity, 114in order that the minimum velocity shall be exceeded quickly after flow has commenced in them. The last channel or channels to be filled are made somewhat larger, because the sewage conveyed in them contains less settleable matter than is contained in the more concentrated dry weather flow. The type of siphon used in New York to pass under the subway is shown in Fig. 39. Note should be taken of the clean-out manhole provided on the 14–inch pipe. The other pipes are large enough for a man to enter and clean.
Fig. 39.—Sewer Siphon under New York Subway.
Eng. News Vol. 76, p. 443.
The computations involved in the design of a siphon are illustrated in the following example, in which it is desired to construct a siphon to pass under the railway cut shown in Fig. 40. The first step is to determine the limiting diameter and slope of the smallest pipe in the siphon. One-sixth of the capacity of the 6–foot approach sewer or 19 cubic feet per second will be assumed as the minimum flow. The diameter of the pipe necessary to carry 19 cubic feet per second at a velocity of 2 feet per second is 42 inches. The hydraulic gradient should have a slope of 0.0005 if the material used has a roughness coefficient of .015. This is the minimum permissible slope of the siphon. The selection of a steeper slope will necessitate the laying of the sewer at a greater depth, and will permit the use of smaller pipes for the siphon. 115The selection of the exact slope must then be based on judgment with the minimum limitation above placed. The slope will be arbitrarily selected as 0.001, the same as that of the approach sewer. The diameter of the dry weather pipe will therefore be 36 inches, with a capacity of 18 second-feet, which is approximately the assumed dry weather flow. The velocity of flow will be 2.5 feet per second. The length of flow along the siphon is 150 feet.
Fig. 40.—Diagram for the Design of an Inverted Siphon.
The next step should be the determination of the elevation at the lower end of the 36–inch pipe. This is done by multiplying the assumed grade by the equivalent length of straight pipe, and subtracting the product from the elevation at the upper end. The length of straight pipe which will give the same loss of head as the siphon is called the equivalent pipe. It is determined as follows:
First, determine the head loss at entrance. This will vary
between nothing and one velocity head, dependent on the arrangement
at the entrance.[41] The length of straight pipe which will
116give this same loss can be computed from the expression l = h
S,
using for S the assumed slope of the hydraulic gradient.
Second, determine the head loss due to the bends, This is determined from the expression
The relation between f, R, and d, for 90° bends is shown as follows:[42]
| R d |
24 | 16 | 10 | 6 | 4 | 2.4 |
| f | 0.036 | 0.037 | 0.047 | 0.060 | 0.062 | 0.072 |
After the head loss has been determined, the equivalent length of straight pipe is determined as above.
Third. The equivalent length of pipe will be the sum of the actual length of pipe and the equivalent lengths as found above.
In the problem in hand the head lost at the entrance will be
assumed as one-third of a velocity head, or 0.0324 foot. With
the assumed slope of 0.001 this is equivalent to 32 feet of pipe.
The radius of the bend is about 20 feet and the length for a 45°
central angle is about 16 feet. The head loss for this angle will
probably be a little more than one-half that for a 90° angle. The
expression will therefore be taken as about 0.2V2
2g and for two
bends is equivalent to about 40 feet of pipe. The equivalent
length of pipe is therefore 150 + 32 + 40 = 222 feet. The elevation
at the lower end should therefore be: the elevation at the upper
end, 92.07 − 222 × .001 = 91.85.
The diameters of the remaining pipes in the siphon are determined so that the sewage in the approach sewer is backed up as little as is consistent with good judgment before each pipe comes into action. This is done satisfactorily by a method of 117cut and try. Let it be assumed that the siphon will be composed of three pipes: the dry weather pipe taking 18 second-feet, the second pipe taking 28 second-feet, and the third pipe taking the remaining 70 second-feet. The diameters of the two larger pipes on the assumed slope of 0.001 will therefore be 42 inches and 60 inches respectively. Other combinations might be used which would be equally satisfactory. There are many methods by which the sewage can be diverted into the different channels of the siphon. For example, the openings into the different pipes may be placed at the same elevation, and the sewage allowed to enter them in turn through automatically or hand-controlled gates, or in another method of control the openings may be placed at such elevations that when the capacity of one pipe has been exceeded the sewage will flow into the next largest pipe as shown in Fig. 40. The outlets from the different pipes are ordinarily placed at the same elevation, thus leaving each pipe standing full of sewage. Stop planks should be provided at the outlet in order that the pipes may be pumped out for cleaning. The objection to this arrangement is that the larger pipes may operate at a velocity less than 2 feet per second, and they will be standing full of sewage which might become septic. However, as they will take nothing but the storm flow near the top of the sewer no difficulty should be encountered from sedimentation in them, and all are large enough for a man to enter for inspection or cleaning.
Fig. 41.—Coffin Sewer Regulator.
63. Regulators.—Regulators are commonly used to divert the direction of flow of sewage in order to prevent the overcharging of a sewer or to regulate the flow to a treatment plant. Sewer regulators are of two types, those with moving parts and those without moving parts. An example of the moving part type is shown in Fig. 41. In this type as the sewage rises the float closes the gate to the inlet sewer, thus preventing the entrance of sewage under head from the larger sewer. There are many variations in the details of float controlled regulators, but the principle of operation is similar in all. These regulators can be adjusted to fix the maximum rate of flow to a relief channel or sewage treatment plant, or during times of storm to cut off the outlet to the dry weather channel. Another form of the moving part type is shown in Fig. 42.[43] It has been used extensively by the Milwaukee 118Sewerage Commission. In its operation the dry weather flow is diverted by the dam into the intercepter. It passes under the movable gate on its way to the treatment plant. As the flow increases the dam is overtopped and flood waters are discharged down the storm channel. The movable gate is hung on a pivot placed below center. As the water rises in the intercepter, the pressure against the upper portion of the gate becomes greater than that against the lower portion, and the gate closes. An opening is left at the bottom to allow an amount of sewage equal to the dry weather flow to escape beneath the gate to prevent clogging or sedimentation in the intercepter channel.
Objections to all moving part regulators are their need of attention and liability to become clogged.
Fig. 42.—Moving Part Regulator without Float.
Fig. 43.—Leaping Weir at Danville, Illinois.
Fig. 44.—Overflow Weir at San Francisco.
Eng. News, Vol. 73, p. 307.
Fig. 45.—Overflow Weir in Action.
Shadow of steel knife edge which forms the lip of the weir can be seen through the falling sewage.
The overflow weir and the leaping weir have no moving parts and are used for the regulation of the flow in sewers. A leaping weir is formed by a gap in the invert of a sewer through which the dry weather flow will fall and over which a portion or all of the storm flow will leap. One form of leaping weir is shown in Fig. 43. An overflow weir is formed by an opening in the side of a sewer high enough to permit the discharge of excess flow into a relief channel. A weir at San Francisco is shown in Fig. 44. A series of tests were run on leaping weirs and overflow weirs in the hydraulic laboratory of the University of Illinois. The type of leaping weir tested was formed by the smooth spigot end of a standard vitrified sewer pipe. The overflow weirs were formed by a steel knife edge in the side of the pipe parallel to its axis as shown in Fig. 45. Tests were made in 18–inch and 24–inch pipes on various slopes from 0.018 to 0.005, for both leaping weirs and overflow weirs. The overflow weirs were varied in length from 16 inches to 42 inches and were placed at various heights from 25 per cent to 50 per cent of the diameter above the invert of the sewer. As the result of the observations the following formulas were developed. For the leaping weir the expressions for the coordinates of the curve of the surfaces of the falling stream, are:

+ y¾in which x and y are the coordinates. The origin is in the upper surface of the stream vertically above the end of the invert of the pipe. The ordinate y is measured vertically downwards. V is the velocity of approach in feet per second. These expressions are applicable to any diameter of sewer up to 10 or 15 feet. They should not be used for depths of flow greater than about 14 inches; nor for slopes of more than 25 per 1,000; nor for velocities less than 1 foot per second nor more than 10 feet per second. The expression for the ordinate of the inside curve is not good for less 121than 6 inches nor more than 5 feet. The expression for the ordinate of the outside curve is limited to values between the origin and 5 feet below it.
The expression for the length of an overflow weir of the type shown in Fig. 45, necessary to discharge a given quantity, is in the form,
In the design of an overflow weir by this formula the height of the weir above the invert of the sewer and the flow over the weir should be determined arbitrarily. The height should be subtracted from the computed depth of water above the weir to determine the value of h1. The difference between the flow over the weir and the flow above the weir will represent the rate of flow in the sewer below the weir. The value of h2 can then be computed as the difference in the depth of flow below the weir and the height of the weir above the invert. The value of V is computed from Kutter’s formula. The length of the weir is determined by substituting these values in the formula.
64. Junctions.—At the junction of two or more sewers the elevation of the inverts should be such that the normal flow lines are at the same elevation in all sewers. The sewers should approach the junction on a steep grade to prevent sewage backing up in one when the other is flowing full. The velocity of flow at the junction should not be decreased and turbulence should be avoided in order to prevent sedimentation and loss of head. The junction should be effected on smooth easy curves with radii at least five times the diameter of the sewer where possible. Curves with short radii cause backing up of sewage thus reducing the capacity of the sewers.
The terms bellmouth or trumpet arch are sometimes applied to the junction of sewers large enough to be entered by a man. In small sewers the Y branches and special junctions are manufactured so that the center lines of the pipes intersect, and the 122junctions of mains and laterals are made in manholes. In the construction of a bellmouth the arch is carried over all the sewers. A manhole should be constructed at these junctions as clogging frequently occurs there, due to swirling and back eddies which cannot be avoided.
65. Outlets.—The outlets to a sewerage system discharging into a swiftly running stream must be protected against wash and floating debris. In a stream or other body of water subject to wide variations in elevation the backing up of the sewage during high water should be avoided. Where tidal flats or low ground about the outlet may be alternately submerged and uncovered the discharge should always be into swiftly running water. In quiescent bodies of water such as lakes and harbors, and in rivers where the dilution is low, and in many other cases, the sewer outlet should be submerged.
Fig. 46.—Tide Gate.
Outlets are protected against wash and the impact of debris by the construction of deep foundations and heavy protecting walls. Although the construction of an outlet in a slow current or a back eddy would avoid danger from wash and debris, the discharge of the sewage into the most rapid current possible aids in the prevention of a local nuisance. A row of batter piles on the upstream or exposed side of the sewer is desirable, or it may be necessary to construct a break-water to prevent the wash of the current from dislodging the pipe. These break-waters are low dams of wood or broken stone, more or less loosely thrown together. The backing up of water into the sewer can be prevented by constructing the sewer above the outlet on a steep grade. Where this is not possible the use of tide gates will be helpful. A tide gate, one form of which is shown in Fig. 46, is a special form of check valve placed on the end of the sewer.
Fig. 47.—Sewer Outlet on a Trestle.
Eng. News, Vol. 49, p. 9.
Sewer outlets are sometimes constructed on long trestles in order to reach deep or running water. Such a trestle is shown in Fig. 47. In Boston the outlet sewers are submerged under the harbor and discharge through outlets well out in the tidal currents. The sewage is discharged under pressure and the pumps are operated at some of the stations only at such times as the tidal currents will carry the sewage away from the harbor. It is not always necessary in a combined sewerage system to carry the storm flow to a distant submerged outlet. A double outlet can be constructed as shown in Fig. 48 in which the dry weather flow is carried to the channel in a submerged sewer and the storm 124flow is discharged on the bank.[44] Cast-iron pipe should be used for submerged outlets as the sewer is subject to disturbance by the currents, anchors, ice, and other causes.
Fig. 48.—Dry Weather and Storm Sewer Outlet at Minneapolis, Minnesota.
Eng. Record, Vol. 63, p. 383.
66. Foundations.—Sewers constructed in firm dry soil require no special foundation to distribute the weight over the supporting medium. In soft materials the lower half of the sewer ring may be spread as shown in Fig. 22, and in rock the pressures on sewer pipes are evenly distributed by a cushion of sand. In wet ground such as quicksand, mud, swamp land, etc., a foundation must be constructed if the water cannot be drained off.
The permissible intensities of pressure on foundations in various classes of material allowed by the building codes in different cities are given in Table 25. These figures are based on the assumption that the material is restrained laterally, which is generally the condition in sewer construction. In the softer materials it becomes necessary to spread the foundations not only to reduce the intensity of pressure, but also to care for the thrust of the sewer arch. The arch thrust may be found by one of the methods of arch analysis, and the haunches spread to care for this, or the sewer invert may be transversally reinforced to assist in caring for this action. Some sewer sections in hard and soft material are shown in Fig. 22 and 23.
| 125 | |
| TABLE 25 | |
|---|---|
| Allowable Bearing Value on Soils in Various Cities | |
| From Proc. Am. Soc. Civil Engrs., Vol. 46, 1920, p. 906 | |
| Quicksand and alluvial soil | ½ to 1 ton per sq. ft. for Providence, R. I., ½ ton per sq. ft. for 6 cities |
| Soft clay | 1 ton per sq. ft. for 27 cities, ¾ ton per sq. ft. for New Orleans, 2 to 3 tons for Providence, R. I. |
| Moderately dry clay and fine sand, clean and dry | 2 tons for 7 cities, 1¾ to 2¼ for Chicago, 2½ tons for Louisville, 2 to 4 tons for Providence, 3 tons for Grand Rapids and Los Angeles |
| Clay and sand in alternate layers | 2 tons for 19 cities, 1¾ to 2¼ for Chicago, 3 to 5 tons for Providence |
| Firm and dry loam or clay, or hard dry clay or fine sand | 3 tons for 24 cities, 2½ tons for 2 cities, 2 to 3 tons for Atlanta, 3½ tons for Philadelphia, 4 tons for 6 cities |
| Compact coarse sand, stiff gravel or natural earth | 4 tons for 25 cities, 3½ tons for Buffalo, 3 to 4 tons for Atlanta, 4 to 5 tons for Cincinnati, 5 tons for Denver, 4 to 6 tons for 3 cities, 6 tons for Rochester, N. Y. |
| Coarse gravel, stratified stone and clay, or rock inferior to best brick masonry | 6 tons for 3 cities, 5 tons for 2 cities, 8 tons for 1 city |
| Gravel and sand well cemented | 8 tons for 5 cities, 6 tons for 2 cities, 8 to 10 tons for 1 city |
| Good hard pan or hard shale | 10 tons for 4 cities, 6 tons for 2 cities, 8 tons for 1 city |
| Good hard pan or hard shale unexposed to air, frost or water | 8 tons for 1 city, 10 to 15 tons for 1 city, 12 to 18 tons for 1 city |
| Very hard native bed rock | 20 tons for 5 cities, 15 tons for 1 city, 10 tons for 1 city, 25 to 50 tons for 1 city |
| Rock under caisson | 24 tons for Baltimore, 25 tons for Cleveland |
On soft foundations such as swamps or for outfalls on the muck bottom of rivers the sewer may be carried on a platform. For small sewers 2–inch planks, 2 to 4 feet longer than the diameter of the pipe are laid across the trench, and the sewer rests directly upon them. For large sewers imposing a heavy concentrated load, a pile foundation should be constructed. The foundation may consist of piles alone, pile bents, or a wooden platform supported on pile bents. The load which can be carried by a pile is determined with accuracy only by driving a test pile and placing a load on it. Where piles do not penetrate to a firm stratum the load they will support can be determined by any one of the various formulas, either theoretical or empirical, which have been devised. Probably the best known of these formulas are the so-called Engineering News formulas one of which is:
Reference should be made to engineering handbooks for other forms of pile formulas. The accuracy of all of these formulas is not of a high degree.
The piles are driven at about 2 to 4 feet centers, to a depth of from 8 to 20 feet, unless hard bottom is struck at a lesser depth. The butt diameter of the piles used for the smallest sewers is about 6 to 8 inches. If bents are used, 2 or 3 piles are driven in a row across the line of the sewer and are capped with a timber. For brick, block, pipe, and some concrete sewers, a wooden platform must be constructed between the pile bents for the support of the sewer.
67. Underdrains.—The construction of special foundations can sometimes be avoided by laying drains under the sewers, thus removing the water held in the soil. The laying of the underdrains facilitates the construction of the sewer and reduces the amount of ground water entering the sewer. The underdrains usually consist of 6– or 8–inch vitrified tile laid with open joints from 1 to 2 feet below the bottom of the sewer as shown in Fig. 1. If the sewers are large, parallel lines of drains may be laid beneath them. An observation hole should be constructed from the bottom of the manhole to each underdrain. This hole usually consists of a 6– or 8–inch pipe, embedded in concrete, connected to the drain and open at the top. It is too small to permit effective cleaning of the underdrains, which are usually neglected after construction, and which as a result clog and cease to function. Since the principal period of usefulness of the drains is during construction, their stoppage after the work is completed is not serious. The hollow tile used in vitrified block sewers serve as underdrains after construction, but are of little or no assistance to the draining of the trench during construction.
68. Need.—In the design of a sewerage system it is occasionally necessary to concentrate the sewage of a low-lying district at some convenient point from which it must be lifted by pumps. In the construction of sewers in flat topography the grade required to cause proper velocity of sewage flow necessitates deep excavation. It is sometimes less expensive to raise the sewage by pumping than to continue the construction of the sewers with deep excavation.
In the operation of a sewage-treatment plant a certain amount of head is necessary. If the sewage is delivered to the plant at a depth too great to make possible the utilization of gravity for the required head, pumps must be installed to lift the sewage. In the construction of large office buildings, business blocks, etc., the sub-basements are frequently constructed below the sewer level. The sewage and other drainage from the low portion of the building must therefore be removed by pumping. Because pumps are often an essential part of a sewerage system, their details should be understood by the engineer who must write the specifications under which they are purchased and installed.
69. Reliability.—If the only outlet from a sewerage system is through a pumping station, the inability of the pumps to handle all of the sewage delivered to them may so back up the sewage as to flood streets and basements, endangering lives and health and destroying property. Such an occurrence should be guarded against by providing sufficient pumping capacity and machinery of the greatest reliability.
70. Equipment.—The equipment of a sewage pumping station, in addition to pumping machinery, may include a grit chamber, a screen, and a receiving well. The grit chamber and screen are necessary to protect the pumps from wear and clogging. Grit chambers are not necessary in sewage devoid of gritty matter, 128such as the average domestic sewage, unless reciprocating pumps are used. Sufficient gritty matter is found in average domestic sewage to have an undesirable effect on reciprocating pumps. Receiving wells are used in small pumping stations where the capacity of the pumps is greater than the average rate of sewage flow. The pumps are then operated intermittently, the pumps standing idle during the time that the receiving well is filling.
Except for a few types of pumps of which the valve openings are unsuitable, any machine capable of pumping water is capable of pumping sewage which has been properly screened. The principles of sewage pumps are then similar to principles of water pumps. The conditions under which these principles are applied differ but slightly in the character of the liquid, and a smaller range of discharge pressures. Pumps with large passages, discharging under low heads are more commonly found among sewage pumps.
Fig. 49.—Calumet Sewage Pumping Station, Chicago, Illinois.
71. The Building.—The pumping station should, if possible, be of pleasing design and should be surrounded by attractive grounds. The Calumet Sewage Pumping Station in Chicago is shown in Fig. 49. Its architecture is pleasing particularly in contrast with its location and immediate surroundings. Such structures tend to remove the popular prejudice from sewerage and to arouse interest in sewerage questions. Service to the 129public is of value. It can be rendered more easily by arousing public interest and cooperation by the erection of attractive structures, than by feeding popular prejudice by the construction of miserable eyesores.
72. Capacity of Pumps.—The capacity of the pumping equipment should be sufficient to care for the maximum quantity of sewage delivered to it, with the largest pumping unit shut down, and the provision of such additional capacity as, in the opinion of the designer, will provide the necessary factor of safety.
Pumps can usually be operated under more or less overload. Power pumps and centrifugal pumps driven by constant speed electric motors have no overload capacity. A power pump or a centrifugal pump may be overloaded up to the maximum horse-power of any variable speed motor or steam engine driving it, provided the pump has been designed to permit it. Direct-acting steam pumps which are designed for proper piston speed and valve action at normal loads, can carry a 50 per cent overload for short periods, although the strain on the pump is great. They will carry a 20 to 25 per cent overload for about eight hours with less vibration and strain. The use of pumps capable of working at an appreciable overload is somewhat of an additional factor of safety, but the overload factor should not be taken into consideration in determining the capacity of the pumping equipment.
The load on a pumping station consists of the quantity of sewage to be pumped and the height it must be lifted. Variations in the quantity are discussed in Chapter III. The head against which the pumps must operate fluctuates with the level in the tributary sewer or pump well, and in the discharge conduit. For a free discharge or discharge into a short force main the greater the rate of sewage flow the smaller the lift, as the depth of flow in the tributary sewer increases more rapidly than that in the discharge conduit. If the discharge is into a large body of water or under other conditions where the discharge head is approximately constant, the fluctuations in total head should not exceed the diameter of the tributary sewer. Such fluctuations are of minor importance in the operation of direct-acting steam pumps, but may be of great importance in the operation of centrifugal pumps, as is brought out in Art. 78.
73. Capacity of Receiving Well.—The use of receiving wells is restricted to small installations which require, in addition to 130the standby unit, only one pump, the capacity of which is equal to the maximum rate of sewage flow. When the receiving well has been pumped dry the pump stops, allowing the well to fill again. Although the use of a large receiving well, or an equalizing reservoir, for a large pumping station would permit the operation of the pumps under more economical conditions, the storage of sewage for the length of time required would not be feasible. The sewage would probably become septic, creating odors and corroding the pumps. The extra cost of the reservoir might not compensate for the saving in the capacity and operation of the pumps.
The capacity of the receiving well should be so designed that the pump when operating will be working at its maximum capacity, and the period of rest during conditions of average rate of flow should be in the neighborhood of 15 to 20 minutes. For example, assume an average rate of flow of 2 cubic feet per second, with a maximum rate of double this amount. The pump should have a capacity of 4 cubic feet per second, and if the receiving well is to be filled in 15 minutes by the average rate of sewage flow its capacity should be 15 × 5 × 60 × 7.5 or 14,000 gallons. Under these circumstances the pump will operate 15 minutes and rest 15 minutes, during average conditions of flow.
74. Types of Pumping Machinery.—The two principal types of pumping machines for lifting sewage are centrifugal pumps and reciprocating pumps. A centrifugal pump is, in general, any pump which raises a liquid by the centrifugal force created by a wheel, called the impeller, revolving in a tight casing, as shown in Fig. 50. A reciprocating pump is one in which there is a periodic reversal of motion of the parts of the pump.
Centrifugal pumps are sometimes classified as volute pumps and turbine pumps. A volute pump is a centrifugal pump with a spiral casing into which the water is discharged from the impeller with the same velocity at all points around the circumference, as shown in Fig. 51. A turbine pump is a centrifugal pump in which the water is discharged from the impeller through guide passages into a collecting chamber, in such a manner as to prevent loss of energy in changing from kinetic head to pressure head. A turbine pump is shown in section in Fig. 51. Centrifugal pumps are sometimes classified as single stage and multi-stage. A centrifugal pump from which the water is discharged at the pressure 131created by a single impeller is called a single-stage pump. If the water in the pump is discharged from one impeller into the suction of another impeller the pump is known as a multi-stage pump. The number of impellers operating at different pressures determines the number of stages of the pump. A three-stage pump is shown in Fig. 52.
Fig. 50.—Section through de Laval Single-Stage, Double Suction Centrifugal Pump.
Fig. 51.—Types of Centrifugal Pumps.
Fig. 52.—Section of a Multi-Stage Centrifugal Pump.
Courtesy DeLaval Steam Turbine Co.
Reciprocating pumps are generally driven by steam and are either direct-acting, or of the crank-and-fly-wheel type. Power pumps are reciprocating machines which may be driven by any form of motor, to which they are connected by belt, chain or shaft. A Deming triplex power pump is shown in Fig. 53. Power pumps can be used only where the character of the sewage will not clog the valves nor corrode the pump. A direct-acting steam pump is one in which the steam and water cylinders are in the same straight line and the steam is used at full boiler pressure throughout the full length of the stroke. The crank-and-fly-wheel type of pumping engine permits the use of steam expansively during a part of the stroke, the energy stored in the flywheel carrying the machine through the remainder of the stroke. Reciprocating pumps are sometimes classified as plunger pumps and piston pumps. In the action of a plunger pump the water is expelled from the water cylinder, by the action of a plunger 133which only partly fills the water cylinder, as shown in Figs. 54 and 55. In a piston pump the water is expelled from the water cylinder by the action of a piston which completely fills the water cylinder, as shown in Fig. 63, which illustrates a direct-acting piston pump.
Fig. 53.—Triplex Power Pump.
Courtesy, The Deming Co.
Plungers are better than pistons for pumping sewage as the wear between the pistons and the inside face of the cylinder soon reduces the efficiency of the pump. Outside packed plungers are better than the inside packed type because the packing can be taken up without stopping the pump and the leakage from the pump is visible at all times. Outside packed pumps are more expensive in first cost, but are easier to maintain and have a longer life than piston pumps.
Fig. 54.—Water End of Inside Center-Packed Plunger Pump.
In selecting a pump to perform certain work the size of the water cylinder and the speed of the travel of the piston should be investigated to insure proper capacity. The average linear travel of the piston for slow speed pumps is estimated at about 100 feet per minute, dependent on the length of stroke and the valve area. For short strokes and small valve areas the speed may be as low as 40 feet per minute, and for long stroke fire pumps with large valves the piston can be operated at a speed of 200 feet per minute.[45] Vertical, triple-expansion, crank-and-fly-wheel, outside packed plunger pumps with flap valves can be operated at speeds of 200 feet per minute when lifting sewage, and when equipped 134with mechanically operated valves and lifting water they can be run at speeds of 400 to 500 feet per minute. The speed of travel multiplied by the volume of piston or plunger displacement, with proper allowance for slippage, will give the capacity of the pump. The slippage allowance may be from 3 to 8 per cent for the best pumps, and for pumps in poor conditions it may be a high as 30 to 40 per cent.
Fig. 55—Water End of Outside Center-Packed Plunger Pump.
Courtesy Allis-Chalmers Co.
There are two types of ejector pumps used for lifting sewage. One of these depends on the vacuum created by the velocity of a stream of water or steam passing through a small nozzle. The operation of this pump is described in Art. 139 and it is illustrated in Fig. 97. The other type of ejector pump is known as the compressed-air ejector. It is operated by means of compressed air which is turned into a receptacle containing sewage. The details of this type are explained in Art. 83 and are illustrated in Fig. 68.
13575. Sizes and Description of Pumps.—The size of a centrifugal pump is expressed as the diameter of the discharge pipe in inches. It has nothing to do with the head for which the pump is suited. On the assumption of a velocity of flow of 10 feet per second through the discharge pipe the capacity of the pump can be approximated.
The size of a reciprocating pump involves the expression of the diameters of the steam cylinders, the water cylinder, and the length of the stroke in inches, in the order named, beginning with the steam cylinder with the highest pressure. A complete description of a steam pumping engine might be; compound, duplex, horizontal, condensing, crank-and-fly-wheel, outside-center-packed, 12″ × 24″ × 18″ × 24″ pump. The word compound means that there are a high-pressure and a low-pressure steam cylinder; the word duplex means that there are two of each of these cylinders; the word horizontal means that the axes of these cylinders are in a horizontal plane; the word condensing means that the steam is discharged from the low-pressure cylinders into a condenser; the name crank-and-fly-wheel is self-explanatory; the name outside-center-packed means that the water cylinder is divided into two portions between which the plunger is exposed to the atmosphere, and that the packing rings are on the outside of the two portions of the cylinder as shown in Fig. 55; the figures shown mean that the high-pressure steam cylinder is 12 inches in diameter, the low-pressure 24 inches in diameter, the water cylinder is 18 inches in diameter, and the stroke of the pump is 24 inches.
76. Definitions of Duty and Efficiency.—The duty of a pump is the number of foot-pounds of work done by the pump per million B.T.U., per thousand pounds of steam, or per hundred pounds of coal, consumed in performing the work. These units are only approximately equal as 100 pounds of coal or 1,000 pounds of steam do not always contain the same number of B.T.U. and may only approximately equal 1,000,000 B.T.U.
Since 1,000,000 B.T.U. are equal to 778,000,000 foot-pounds of work, a pump with a duty of 778,000,000 will have an efficiency of 100 per cent. The efficiency of a pump is therefore its duty based on B.T.U. divided by 778,000,000. The efficiencies or duties of various types of pumps are given in Table 26.[46]
| 136 | |
| TABLE 26 | |
|---|---|
| Approximate Duties of Steam Pumps | |
| Small duplex, non-condensing | 10,000,000 |
| Large duplex, non-condensing | 25,000,000 |
| Small simple, flywheel, condensing | 50,000,000 |
| Large simple, flywheel, condensing | 65,000,000 |
| Small compound, flywheel, condensing | 65,000,000 |
| Large compound, flywheel, condensing | 120,000,000 |
| Small triple, flywheel, condensing | 150,000,000 |
| Large triple, flywheel, condensing | 165,000,000 |
77. Details of Centrifugal Pumps.—A section of a centrifugal pump with the names of the parts marked thereon is shown in Fig. 50. Among the important parts which require the attention of the purchaser are: the impeller (PW), the impeller packing rings (567 R & L), the bearings (551, 563), the thrust bearings (555–1), the shaft (552), and the shaft coupling (440).
The impeller should be of bronze, gun metal, or other alloy, because there is no rusting or roughening of the surface, and the efficiency does not fall with age. Normal fresh sewage is not corrosive, but septic sewage and sludge are usually so corrosive that iron parts cannot be used with success in contact with them. The impeller should be machined and polished to reduce the friction with the liquid. Impellers are made either closed or open, i.e., either with or without plates on the sides connecting the blades to avoid the friction of the liquid against the side of the casing. The closed type of impeller is shown in Fig. 50. Closed impellers are slightly more expensive, but generally give better service and higher efficiencies than the open type. Single impeller pumps should have an inlet on each side of the impeller to aid in balancing the machine, unless the plane of the impeller is to be horizontal when operating. Multi-impeller pumps usually have single inlet openings for each impeller. Vibration in the pump is sometimes caused by an unbalanced impeller. The moving parts may be balanced at one speed and unbalanced at another. To determine if the moving parts are balanced the pump should be run free at different speeds and the amount of vibration observed. If the impeller is removed from the pump its balance when at rest can be studied by resting it on horizontal knife edges. If there is a tendency to rotate in any direction from any position the impeller is not perfectly balanced.
137Packing rings are used to prevent the escape of water from the discharge chamber back into the suction chamber. These rings should be made of the same material as the impeller. Labyrinth type rings, as shown in Fig. 50, are sometimes used as the long tortuous passages are efficient in preventing leakage.
The bearings must be carefully made because of the high speed of the pump. They are usually made of cast iron with babbitt lining. They should be placed on the ends of the shaft on the outside of the pump casing, as shown in Fig. 50, and should be split horizontally so as to be easily renewed. Exterior bearings are oil lubricated by means of ring or chain oilers with deep oil wells. Where interior bearings are necessary, because of the length of the shaft, they should be made of hard brass and should be water lubricated.
Fig. 56.—Marine Type Thrust Bearing.
Courtesy, DeLaval Steam Turbine Co.
Thrust bearings or thrust balancing devices are used to take up the end thrust which occurs in even the best designed pumps. To overcome this pumps are designed with double suction, opposed impellers, or two pumps with their impellers opposed may be placed on the same shaft. Due to inequalities in wear, workmanship or other conditions, end thrust will occur and must be cared for. Various types of thrust bearings are in successful use, such as: the piston, ball, roller or marine types. The marine type thrust bearing is shown in Fig. 56. The piston type of hydraulic balancing device is shown in Fig. 57. In the figure A represents the impeller, and B a piston fixed to the shaft and revolving with it. There is a passage for water through the openings (1), (2), and (3) leading from the impeller chamber to the atmosphere or to the suction of the pump. If the impeller tends to move to the right opening (1) is closed resulting in pressure on 138the right of the impeller forcing it to the left. If the impeller moves to the left (1) is opened thus transmitting pressure to the piston B forcing the impeller to the right. The flange C is not essential, but is advantageous in pumps handling gritty matter. As the channel (2) wears larger the pressure against the piston decreases allowing it to move to the left. This partially closes (3) building up the pressure again.
Fig. 57.—Piston Type of Thrust Balancing Device.
Flexible shaft couplings should be used if the shaft of the driving motor and the pump are in the same line, as direct alignment is difficult to obtain or to maintain. Where connected to steam turbines, reduction gearing and rigid couplings are usually used on sewage pumps to obtain slow speed and permit large passages. Flexible couplings are of various types, one of which is shown in Fig. 50. A rigid coupling would be formed by bolting the flanges firmly together. Shaft couplings are usually not necessary where the pump is driven by belt connection to the engine or motor, or where the pump and pulley rest on only two bearings.
The stuffing box shown in Fig. 50 is packed loosely with two layers of hemp between which is a lantern gland, in order to permit a small amount of leakage. A drip box is placed below this gland to catch the leakage and return it to the pump. The leakage is permitted as it aids in lubrication and the tightening of the gland will cause binding of the shaft. The gland on the suction side of the pump should be connected by a small pipe to the discharge chamber in order to keep a constant supply of water for lubrication and to prevent the entrance of air to the suction end of the pump.
78. Centrifugal Pump Characteristics.—The capacity of a centrifugal pump is fixed by the size and type of its impeller and by the speed of revolution. Roughly, the capacity of a pump, for maximum efficiency, varies directly as the speed of revolution, the discharge pressure varies as the square of the speed, and the power varies as the cube of the speed. These relations are found not to hold exactly in tests because of internal hydraulic friction in the pump.
139The characteristic curves for a centrifugal pump, or the so-called pump characteristics, are represented graphically by the relation between quantity and efficiency, quantity and power necessary to drive, and quantity and head, all at the same speed. The quantities are plotted as abscissas in every case. The curve whose ordinates are head and whose abscissas are quantities is known as “the characteristic.” The curve showing the relation between quantities and speeds is sometimes included among the characteristics. Characteristics of pumps with different styles of impellers are shown in Fig. 58. Fig. 59 shows the characteristics of a pump run at different speeds, the efficiencies at these speeds when pumping at different rates, and the maximum efficiency at different speeds. It is to be noted that the information given in this figure is more extensive than that in Fig. 58. The operating conditions under any head, rate of discharge, and speed are given. The curves of constant speed are parallel, and their distances apart vary as the square of the speed. The line of maximum efficiency is approximately a parabola.
Fig. 58.—Characteristics of Centrifugal Pumps with Different Styles of Impellers at Constant Speed.
A study of the characteristics of any particular pump should be made with a view to its selection for the load and conditions under which it is to be used. Among the important things to be considered in the selection of a centrifugal pump for the expected conditions of load are: the capacity required, the maximum and minimum total head to be pumped against, the maximum variations in suction and discharge heads, and the nature of the drive. For example, the pump, whose characteristics are shown in Fig. 14059, should be operated at about 800 revolutions per minute. Under total heads between 40 and 50 feet, the discharge for the best efficiency will vary between 600 and 670 gallons per minute.
Fig. 59.—Efficiency and Characteristic Curves of a Centrifugal Pump at Different Speeds.
Fig. 60.—Efficiencies of Centrifugal Pumps.
The efficiencies of centrifugal pumps increase with their capacities as is shown approximately in Fig. 60.
79. Setting of Centrifugal Pumps.—In setting a centrifugal pump, care should be taken to provide a firm foundation to hold the shafts of the pump and the electric motor or the reduction gearing in good alignment, or to prevent the pump from being displaced by the pull of a belt. It is desirable that the foundation be level. Centrifugal pumps should be set submerged for small pumping stations automatically controlled. Sludge pumps must be set submerged as otherwise they will not prime successfully. Provision should be 141made by which the pump can be lifted from the sewage, or sludge, for inspection and repair. In many cases the pump can be made self-priming by setting it in a dry, water-tight vault below the low level of sewage flow. Where possible it is desirable not to set the pump submerged as it will receive better care when easily accessible.
Fig. 61.—Centrifugal Pump in Manhole at Duluth, Minn.
Eng. Contracting, Vol. 43, 1915, p. 310.
The suction pipe should be free from vertical bends where air might collect and should be straight for at least 18 to 24 inches from the pump casing. An elbow on the suction pipe, attached directly to the casing of the pump gives a lower efficiency than a suction pipe with a short straight run. Centrifugal pumps will operate with as high a suction lift as reciprocating pumps, but at the start they must be primed and some provision must be made for priming them. The suction pipe should be equipped with foot valves to hold the priming, or some method may be provided for exhausting the air from the suction pipe. The foot valves should be so installed as to form no appreciable obstruction to the flow of water. They should have an area of opening at least 50 per cent greater than the cross-section of the suction pipe. A strainer on the suction pipe is undesirable as it becomes clogged and is usually in an inaccessible position for cleaning. A screen should be placed at the entrance to the suction well to prevent the entrance of objects that are likely to clog the pump. A gate-valve and a check-valve should be provided on the discharge pipe, the former to assist in controlling the rate of discharge and the latter to prevent back flow into the pump when it is not operating.
Centrifugal pumps are well adapted to service in either large or small units. An installation in a manhole at Park Point, Duluth, is shown in Fig. 61. This station is controlled by an automatic electric device which is operated by a float in the suction 142pit. Such automatic control is an added advantage of the use of electrically driven centrifugal pumps. The Calumet Pumping Station in Chicago, shown in Fig. 49, has a capacity of approximately 1,000 cubic feet per second. The simplicity of the layout of this station is shown in Fig. 62.
Fig. 62.—Interior Arrangement of the Calumet Sewage Pumping Station, Chicago.
Eng. News-Record, Vol. 85, 1920, p. 872.
80. Steam Pumps and Pumping Engines.—The direct-acting steam pump, one type of which is shown in Fig. 63, is adapted to pumping sewage the character of which will not corrode or clog the valves. In this form of pump it is necessary to utilize the steam at full pressure throughout the entire length of the stroke, which results in high steam consumption. A flywheel permits the use of steam expansively during a part of the stroke, thus increasing the economy of operation. Other devices used for the same purpose are known as compensators. They are not in general use.
Steam engines are classified in many different ways, for example; according to the type of valve gear, as, plain slide valve, Corliss, Lentz, etc.; or according to the number of steam expansions, 143as, simple, compound, triple-expansion, etc.; or according to the efficiency of the machine as low duty or high duty; or as
Fig. 63.—Section of Duplex Piston Steam Pump.
Courtesy, The John H. McGowan Co.
condensing or non-condensing, etc. Throttling engines or automatic engines refer to the method of control of the steam by the governor. In throttling engines the governor controls the amount 144of opening of the throttle valve, in automatic engines the governor controls the position of the cut-off.
The simple slide valve, low-duty, non-condensing, throttling engine, is the lowest in first cost and the most expensive in the consumption of fuel. The triple-expansion Corliss, or the non-releasing Corliss, high-duty pumping engine is the most expensive in first cost but consumes less steam for the power delivered than any other form of reciprocating engine. For pumps of very small capacity the cost of fuel is not so important an item as the first cost of the machine. For this reason and because of the lower cost of attendance low-duty pumps are more frequently found in small pumping stations.
Fig. 64.—Diagram Showing Rates of Steam Consumption for Different Size Units under Different Loads.
| 145 | |||||||
| TABLE 27 | |||||||
|---|---|---|---|---|---|---|---|
| Water Rates of Prime Movers at Full and Part Loads | |||||||
| Type of Engine | Power, K.W. | Per Cent of Full Load | Boiler Press. Lbs. | ||||
| 25 | 50 | 75 | 100 | 125 | |||
| Single cylinder, high speed, non-condensing | 25 | 33 | 27 | 26.3 | 27.0 | 27.5 | 100 to 150 |
| 250 | 42 | 37.5 | 35 | 34.0 | 34.0 | ||
| Automatic, flat four valve, high speed | 150 | 32 | 30 | 26.5 | 29.0 | 100 to 125 | |
| 250 | 33 | 31 | 28 | 30.0 | |||
| Tandem compound condensing, high speed | 125 | 23 | 19 | 17 | 18 | 100 to 150 | |
| 25 | 20 | 19.5 | 21 | ||||
| Cross compound, condensing, high speed | 30 | 26 | 24 | 23 | 23.5 | 125 | |
| Cross compound, non-condensing, high speed | 39 | 31 | 27 | 26 | 27.5 | 125 | |
| Single cylinder Corliss, condensing | 120 | 23.7 | 20.4 | 19 | 18.5 | 19.0 | 100 |
| 500 | 26.3 | 22.8 | 21.3 | 20.8 | 21.3 | 125 | |
| Compound Corliss, condensing | 16.5 | 14 | 12.5 | 12.1 | 12.5 | 100 | |
| 22.2 | 19 | 17.0 | 16.5 | 17.0 | 150 | ||
| Single cylinder, rotary four valve, non-condensing | 75 | 26.2 | 22.3 | 21.3 | 21.6 | 22.8 | 100 |
| 400 | 35.0 | 27.2 | 26.4 | 26.0 | 26.8 | 180 | |
| Rotary four valve, tandem compound non-condensing | 125 | 32.0 | 22.0 | 20 | 18.25 | 18.5 | 100 |
| 600 | 40.0 | 28.3 | 23.2 | 22.5 | 22.7 | 150 | |
| Cross compound, non-condensing rotary four valve | 125 | 25 | 21 | 19.1 | 18.5 | 19.0 | 100 |
| 600 | 39.4 | 28 | 22.3 | 20.6 | 20.7 | 150 | |
| Single cylinder, poppett valve, non-condensing | 120 | 22.7 | 20.5 | 19.7 | 19.1 | 20.1 | 100 |
| 600 | 28.5 | 26.0 | 25.0 | 24.3 | 25.5 | 150 | |
| Single cylinder, poppett valve, condensing | 120 | 18.5 | 16.7 | 16.1 | 15.6 | 16.4 | 100 |
| 600 | 24.6 | 22.3 | 21.4 | 20.8 | 21.9 | 150 | |
| Compound condensing, poppett valve | 200 | 14.2 | 13.0 | 12.5 | 12.2 | 12.9 | 100 |
| 1200 | 18.4 | 16.9 | 16.3 | 15.9 | 16.8 | 150 | |
| Uniflow | 125 | 14.6 | 13.7 | 13.4 | 13.4 | 13.3 | 150 |
| 600 | 15.0 | 14.3 | 13.7 | 13.5 | 14.0 | ||
| Steam turbines, condensing, Allis-Chalmers | 300 | 24 | 17 | 160 | 16.5 | 125 | |
| 2000 | 31.9 | 26.3 | 23.8 | 23.0 | 175 | ||
| Steam turbines, condensing, Westinghouse | 300 | 13.7 | 12.8 | 12.2 | 12.6 | 125 | |
| 2000 | 18.2 | 16.9 | 16.2 | 16.8 | 175 | ||
| Steam turbines, high pressure, non-con., 12″ to 36″ wheel, 1000 to 3600 R.P.M. | 4 to 8 stages | 28 5 | |||||
| 116.5 | |||||||
| Ditto. Condensing, 26–inch | 17 3 | ||||||
| 112.0 | |||||||
146The steam consumption per indicated horse-power, better known as the water rate of the engine, for various types of engines at full and at part load is shown in Fig. 64. The steam consumption of other types at full load is shown in Table 27. The indicated horse-power (I.H.P.) of a steam engine is the product of the mean effective pressure (M.E.P.), the area of the steam pistons, the length of the stroke, and the number of strokes per unit of time. A common form of this expression is,
The I.H.P. multiplied by the mechanical efficiency of the machine will give the brake or water horse-power, that is, the horse-power delivered by the machine. The product of the M.E.P., the sum of the areas of the steam pistons and the mechanical efficiency of the machine, should equal the product of the total head of water pumped against expressed in pounds per square inch and the sum of the areas of the water pistons or plungers. The M.E.P. is determined from indicator cards taken from the steam cylinders during operation. These cards show the steam pressure on the head and crank ends of each cylinder at all points during the stroke.
81. Steam Turbines.—Among the advantages in the use of steam turbines as compared with reciprocating steam engines for driving centrifugal pumps are their simplicity of operation, the small floor space needed, their freedom from vibration requiring a relatively light foundation, and their ability to operate successfully and economically either condensing or non-condensing under varying steam pressure. They can be operated with steam at atmospheric or low pressure, thus taking the exhaust from other engines. The greatest economy of operation for the turbine alone will be obtained by operating with high pressure, superheated steam and with a vacuum of 28 inches. In large units the economy of operation of steam turbines is equal to that of the best type of reciprocating engines. In order to develop the highest economy turbines are operated at speeds from about 3,600 to 10,000 r.p.m. or greater, the smaller turbines operating at the higher speeds. As these speeds are usually too great for the operation of centrifugal pumps for lifting sewage, reduction gears must be introduced between the turbine and the pump. Although the best form of spiral-cut reduction gears may obtain efficiencies of 95 to 98 per cent, or even higher, their use, particularly in small 147units, is an undesirable feature of the steam turbine for driving pumps.
The steam consumption of DeLaval turbines of different powers, and the steam consumption of a 450 horse-power DeLaval turbine at different loads are shown in Fig. 64. Some steam consumptions of other turbines are recorded in Table 27. It is to be noted that the steam consumption of the 450 horse-power turbine at part loads is not markedly greater than that at full loads. This is an advantage of steam turbines as compared with reciprocating engines. The steam consumption of any turbine is dependent on the conditions of operation and is lower the higher the vacuum into which the exhaust takes place.
Fig. 65.—The DeLaval Trade Mark, Illustrating the Principle of the DeLaval Steam Turbine.
Courtesy, DeLaval Steam Turbine Co.
There are two types of turbines in general use, the single stage or impulse machines, and the compound or reaction type. The DeLaval is a well-known make of the single stage or impulse type. The principle of its operation is indicated in Fig. 65, which is the trade mark of the DeLaval Steam Turbine Co. The energy of the steam is transmitted to the wheel due to the high velocity of the steam impinging against the vanes. In the compound or reaction type of machine the steam expands from one stage to the next imparting its energy to the wheel by virtue of its expansion in the passages of the turbine. For this reason the single-stage or impulse type is operated at higher speeds than the compound or reaction machines.
82. Steam Boilers.—Among the important points to be considered in the selection of a steam boiler for a sewage pumping station are: the necessary power; the quality of the feed water; the available floor space; the steam pressure to be carried; and the quality and character of the fuel. Tubular boilers of the type shown in Fig. 66, are lower in first cost than other types of boilers. They are not ordinarily built in units larger than 250 to 300 horse-power and where more power is desired a number of 148units must be used. They are objectionable because of the relatively large floor space required, and because of their relatively poor economy of operation. The efficiencies of water-tube boilers of different types are given in Table 28. Large power units of the water-tube type, as shown in Fig. 67, although more expensive in first cost, require less floor space. Almost any desired steam pressure can be obtained from either type but water-tube boilers are more commonly used for high pressures. The grate or stoker can be arranged to burn almost any kind of fuel under either water-tube or fire-tube boilers. The use of poor quality of water in water-tube boilers is undesirable as the tubes are more likely to become clogged than the larger passages of the fire-tube boilers. If necessary, a feed-water purification plant should be installed, as it is usually cheaper to take the impurities out of the water than to take the scale out of the boiler.
Fig. 66.—Horizontal Fire-tube Boiler.
Fig. 67.—Babcock and Wilcox Water-tube Boiler.
Not less than two boiler units should be used in any power station, regardless of the demands for power, and if the feed water is bad, three or even four units should be provided, as two units may be down at any time. An appreciable factor of safety is provided by the ability of a boiler to be operated at 30 to 50 per 149cent overload, if sufficient draft is available, but with resulting reduction in the economy of operation. The number of units provided should be such that the maximum load on the pumping station can be carried with at least one in every 6 units or less, out of service for repairs or other cause.
| TABLE 28 | |||||||
|---|---|---|---|---|---|---|---|
| Efficiencies of Steam Boilers | |||||||
| From Marks’ Mechanical Engineer’s Handbook | |||||||
| Type | Horse-power | Furnace | Sq. Ft. Grate Area | Per Cent of Rated Capacity D’v’l’d | B.T.U. per Lb. Dry Coal | Evap. from and at 212° per Lb. Dry Coal | Combined Efficiency of Boiler and Furnace |
| Babcock & Wilcox | 300 | Hand-fired | 84 | 118.7 | 11,912 | 8.81 | 71.8 |
| Babcock & Wilcox | 640 | Hand-fired | 118 | 121.5 | 14,602 | 10.83 | 72.0 |
| Stirling | 1128 | B. & W. chain grate | 187 | 198.3 | 12,130 | 9.51 | 76.1 |
| Rust | 335 | Hand-fired | 68 | 210.5 | 13,202 | 9.42 | 68.9 |
| Heine | 400 | Green chain grate | 83.5 | 123.8 | 11,608 | 8.79 | 73.5 |
| Maximum efficiency recorded | 83 | ||||||
The steam delivered by a boiler is the basis of the measurement of its capacity or power. A boiler horse-power is the delivery of 33,320 B.T.U. per hour. It is approximately equal to the raising of 30 pounds of water per hour from a temperature of 100° Fahrenheit, to steam at a pressure of 70 pounds per square inch, or to 34 pounds of water per hour changed to steam from and at 212° Fahrenheit, at atmospheric pressure. The horse-power of a boiler is sometimes approximated by the area of its grate or heating surface. Such a method of measuring has a low degree of accuracy on account of the variations in the quality of the fuel, and the rate of combustion. For example, the rate of combustion under a locomotive boiler is high and there is less than ⅒th of a square foot of grate area and about 4.5 square feet of heating surface per boiler horse-power. The Scotch Marine type of boiler used on steam ships, has slightly more grate area and slightly less heating surface than the locomotive type of boiler, because the rate of combustion is lower. Stationary water-tube boilers may have 2 to 3 times as much grate area and heating surface per 150horse-power as is found in locomotive boilers. If a poor type of fuel is to be used the area of the grate should be increased about inversely as the heat content of the fuel. The approximate heat content of various types of fuels is shown in Table 29.
| TABLE 29 | ||
|---|---|---|
| Approximate Heat Value of Fuels | ||
| Fuel | B.T.U. per Pound | Pounds of Water Evaporated from and at 212° F. All heat utilized |
| Anthracite | 13,500 | 14.0 |
| Semi-bituminous, Pennsylvania | 15,000 | 15.5 |
| Semi-bituminous, best, West Virginia | 15,000 | 15.8 |
| Bituminous, best, Pennsylvania | 14,450 | 15.0 |
| Bituminous, poor, Illinois | 10,500 | 10.9 |
| Lignite, best, Utah | 11,000 | 11.4 |
| Lignite, poor, Oregon | 8,500 | 8.8 |
| Wood, best oak | 9,300 | 9.6 |
| Wood, poor ash | 8,500 | 8.8 |
83. Air Ejectors.—The Ansonia compressed-air sewage ejector is shown in Fig. 68. In its operation, sewage enters the reservoir through the inlet pipe at the right, the air displaced being expelled slowly through the air valve marked B. The rising sewage lifts the float which actuates the balanced piston valve in the pipe above the reservoir when the reservoir fills. The lifting of the valve admits compressed air to the reservoir. The air pressure closes valve A and the inlet valve at the right, and ejects the sewage through the discharge pipe at the left. As the float drops with the descending sewage it shuts off the air supply and opens the air exhaust through the small pipe at the top center. Sewage is prevented from flowing back into the reservoir by the check valve in the discharge pipe. Other ejectors operating on a similar principle are the Ellis, the Pacific, the Priestmann and the Shone.
84. Electric Motors.—The most common form of alternating current electric motor used for driving sewage pumps where continuous operation and steady loads are met is the squirrel-cage polyphase induction motor. These motors operate at a nearly 151constant speed which should be selected to develop the maximum efficiency of the pump and motor set. While Fig. 59 shows the best efficiency under varying heads to be obtained with variable speed, the advantages of cost, attention, and availability make the use of a constant speed motor common.[47] This type of motor is undesirable where stopping and starting are frequent because it has a relatively small starting torque and it requires a large starting current. Such motors can be constructed in small sizes for high starting torques by increasing the resistance of the rotor, but at the expense of the efficiency of operation.
Fig. 68.—Ansonia Compressed-Air Sewage Ejector.
Alternating current motors are more generally used than direct-current motors because of the greater economy of transmission of alternating current, but where direct current is available constant speed shunt wound motors should be adopted.
152In the selection of a motor to drive a centrifugal pump it is important that the motor have not only the requisite power, but that its speed will develop the maximum efficiency from the pump and motor combined. If the pump and motor operate on the same shaft the speed of the two machines must be the same. If the two are belt connected, the size of the pulleys may be selected so as to give the required speed. If the motor is to be connected to a power pump an adequate automatic pressure relief valve should be provided on the discharge pipe from the pump, to prevent the overloading of the motor or bursting of the pump in case of a sudden stoppage in the pipe. The motor must be selected to suit the conditions of voltage, cycle, and phase on the line. Transformers are available to step the voltage up or down to practically any value. Rotary converters are used to change direct to alternating current or vice versa.
85. Internal Combustion Engines.—Internal combustion engines are used for driving pumps. Units are available in size from fractions of 1 horse-power to 2,000 horse-power or more, although the use of the larger sizes is exceptional. These engines are not commonly used for sewage pumping but when used they are ordinarily belt connected to a centrifugal pump, or to an electric generator which in turn drives electric motors which operate centrifugal pumps. This type of engine is more commonly adapted to small loads, although not entirely confined to this field, as they serve admirably as emergency units to supplement an electrically equipped pumping station. The fuel efficiency of internal combustion engines is higher than for steam engines as is indicated in Table 30, but the fuel is more expensive.
The four-cycle gas engine shown in Fig. 69 is the type most commonly used. Its horse-power is the product of: the mean effective pressure, the length of the stroke, the area of the piston, and the number of explosions per second divided by 550. The M.E.P. is dependent on the character of the fuel used and the compression of the gas before ignition. Producer gas will furnish mean effective pressures between 60 and 70 pounds per square inch, natural gas and gasoline, 85 to 90 pounds per square inch, and alcohol from 95 to 110 pounds per square inch.
| 153 | |||
| TABLE 30 | |||
|---|---|---|---|
| Comparative Fuel Costs for Prime Movers | |||
| Type of Engine | Quantity of Fuel per H.P. Hour | Cost of Fuel in Cents per Horse-power Hour | |
| Reciprocating steam engines, simple, non-condensing, 25 to 200 H.P. | 21 to 8 lb. coal | 4.2 to 1.6 | |
| Triple condensing, 2000 to 10,000 H.P. | 2.3 to 1.9 lb. coal | 0.46 to 0.37 | |
| Steam turbines, high pressure, non-condensing, | |||
| 200 to 500 K.W. | 6.5 to 4.2 lb. coal | 1.3 to 0.86 | |
| 500 to 3000 K.W. | 2.6 to 1.9 lb. coal | 0.52 to 0.37 | |
| Condensing 5000 to 20,000 K.W. | 1.8 to 1.43 lb. coal | 0.36 to 0.28 | |
| Gas engines | |||
| Natural gas, 50 to 200 H.P. | 19 to 11 cu. ft. | ||
| Producer gas, 50 to 200 H.P. | 2 to 1.5 cu. ft. | ||
| Illuminating gas, 10 to 75 H.P. | 26 to 19 cu. ft. | 2.1 to 1.5 | |
| Gasoline, 10 to 75 H.P. | 1.5 to 0.8 pints | 5.6 to 3.0 | |
| Oil engines, 100 to 500 H.P. | 1.1 to 0.75 lb. oil | ||
| Note.—Coal assumed at $4.00 per ton, illuminating gas at 80 cents per thousand cubic feet, and gasoline at 30 cents per gallon. | |||
Fig. 69.—Bessemer Oil Engine. Twin Cylinder, Valve Side.
154The Diesel Engine is the most efficient of internal combustion engines. The original aim of the inventor, Dr. Rudolph Diesel, was to avoid the explosive effect of the ordinary internal combustion engine by injecting a fuel into air so highly compressed that its heat would ignite the fuel, causing slow combustion of the fuel thus utilizing its energy to a greater extent. The fuel and air were to be so proportioned as to require no cooling. Although the ideal condition has not been attained, the heat efficiency of Diesel engines is high. They will consume from 0.3 to 0.5 of a pound of oil (containing 18,000 B.T.U. per pound) per brake horse-power hour, giving an effective heat efficiency of 25 to 30 per cent. Although not now in extensive use in the United States it is probable that this engine will be more generally adopted for conditions suitable for internal combustion engines.
86. Selection of Pumping Machinery.—Centrifugal pumps are particularly adapted to the lifting of sewage because of their large passages, and their lack of valves. The low lifts, nearly constant head, and the possibility of equalizing the load by means of reservoirs are particularly suited to efficient operation of centrifugal pumps. They require less floor space than reciprocating pumps of the same capacity, and because of their freedom from vibration they do not demand so heavy a foundation. The discharge from the pump is continuous thus relieving the piping from vibration. In case of emergency the discharge valve can be shut off without shutting down the pump, an important point in “fool proof” operation.
Volute pumps are better adapted to pumping sewage as their passages are more free and they are better suited to the low lifts met. Gritty and solid matter will cause wear on the diffusion vanes of turbine pumps in spite of the most careful design. Although turbine pumps can possibly be built with higher efficiency than volute pumps, their efficiency at part load falls rapidly and the fluctuations of sewage flow are sufficient to affect the economy of operation. Turbine pumps are more expensive and heavier than volute pumps on account of the increased size necessitated by the diffusion vanes.
Multi-stage pumps are used for high lifts and are seldom if ever required in sewage pumping. As ordinarily manufactured, each stage is good for an additional 40 to 100 pounds pressure, but wide variations in the limiting pressures between stages are to be found.
Reciprocating plunger pumps are sometimes used for sewage pumping where the character of the sewage is such that the 155valves will not be clogged nor parts of the pump corroded. These pumps are seldom used in small installations or for low lifts. They are not adapted to automatic or long distance control as are electrically driven centrifugal pumps. The use of reciprocating pumps for sewage pumping is practically restricted to very large pumping stations with capacities in the neighborhood of 50,000,000 gallons per day or more. Steam-driven pumps are the most common of the reciprocating type, but power pumps are sometimes used in special cases for small installations and may be driven by either a steam or gas engine or an electric motor.
Compressed air ejectors, as described in Art. 83 are used for lifting sewage and other drainage from the basement of buildings below the sewer level.
Centrifugal pumps electrically driven are, as a rule, the most satisfactory for sewage pumping. Electric drive lends itself to control by automatic devices, which are particularly convenient in small pumping stations. The control can be arranged so that the pump is operated only at full load and high efficiency, and when not operating no power is being consumed, as is not the case with a steam pump where steam pressure must be maintained at all times. The electric driven pump is thrown into operation by a float controlled switch which is closed when the reservoir fills, and opens when the pump has emptied the reservoir. The choice between steam and electric power for large pumping stations is a matter of relative reliability and economy.
The selection of the proper type of pump, whether reciprocating or otherwise, requires some experience in the consideration of the factors involved. Fig. 70 is of some assistance. In discussing this figure, Chester states:
“Fig. 70 attempts to represent graphically, the writer’s ideas under general conditions, of the machines that should be selected for certain capacities for both principal engine and alternate and the station duty they may be expected to produce, but you must realize that this intends the principal engine doing at least 90 per cent of the work and that the head, the cost of coal, the load factor, the cost of real estate ... the boiler pressure, and the space available, and finally ... the funds available, are factors which may shift both the horizontal and curved lines. In the field of low service pumps of 10,000,000 capacity or over, the centrifugal pump reigns supreme, and for constant 156low heads of 20,000,000 capacity or over the turbine driven centrifugal usurps the field.”
A reciprocating pump of any type would have to be specially built for pumping sewage not carefully screened or otherwise treated, as the valves, ordinarily used in such pumps for lifting water, would clog. The vertical triple-expansion pumping engine with special valves and for large installations, and the centrifugal pump for large or small installations are the only suitable types for pumping sewage. With steam turbine or electric drive the centrifugal has the field to itself.
Fig. 70.—Expectancy Curves for Pumping Engines Working against a Pressure of 100 Pounds per Square Inch.
J. N. Chester, Journal Am. Water Works Ass’n, Vol. 3, 1916, p. 493.
87. Costs of Pumping Machinery.—The cost of pumping machinery can not be stated accurately as the many factors involved vary with the fluctuations in the prices of raw materials, transportation, labor, etc. The actual purchase price of machinery can be found accurately only from the seller. The costs given in this chapter are useful principally for comparative purposes and for exercise in the making of estimates. The costs of complete pumping stations are shown in Table 31.[48] These figures represent costs in 1911.
| 157 | |||
| TABLE 31 | |||
|---|---|---|---|
| Costs of Complete Pumping Stations | |||
| These costs include the best type of triple-expansion engines, high-pressure boilers, brick or inexpensive stone building with slate roof, chimney and intake. Cost of land is not included. | |||
| Discharge Pressure, Lbs. per Sq. In. | Horse-power per Million Gals. Pumped | Cost, Dollars per Horse-power | Cost, Dollars per Million Gallons |
| 30 | 12 | 562 | 6,750 |
| 40 | 16 | 438 | 7,000 |
| 50 | 20 | 362 | 7,250 |
| 60 | 24 | 312 | 7,500 |
| 70 | 28 | 277 | 7,750 |
| 80 | 32 | 250 | 8,000 |
| 90 | 36 | 229 | 8,250 |
| 100 | 40 | 213 | 8,500 |
| 110 | 44 | 200 | 8,750 |
| 120 | 48 | 187 | 9,000 |
| 130 | 52 | 192 | 10,000 |
88. Cost Comparisons of Different Designs.—In the design of a pumping station and its equipment the relative costs of different designs should be compared, and the least expensive design selected, due consideration being given to serviceability, reliability, and other factors without definite financial value. In comparing the costs of different types of machinery, all items in connection with the pumping station should be considered. For example, the cost of an electrically driven centrifugal pump and equipment may be less than the total cost of a steam driven reciprocating pump and equipment because of the saving in the cost of boilers, boiler house, etc., but a comparison of the capitalized cost of the two might show in favor of the reciprocating steam pump because of the lower cost of operation.
The total cost of a plant, or any portion thereof, may be considered as made up of three parts: (1) The first cost, (2) operation and maintenance and, (3) renewal. The total cost S can be expressed as
158S is called the capitalized cost of a plant. The annual payment necessary to perpetuate a plant is
The value of R is useful when expressed in terms of the life of the plant or machine and the current rate of interest. It is sometimes called the depreciation factor or capitalized depreciation. If it is borne in mind that R is the amount to be set aside at compound interest for the life of the plant, at the end of which time the accrued interest should be sufficient to renew the plant, it is evident that
in which n is the period of usefulness, or life of the plant, expressed in years, no allowance being made for scrap value.
A comparison of the annual expense of three different plants is shown in Table 32. It is evident from this comparison that the machinery with the least first cost is not always the least expensive when all items are considered.
A sinking fund is a sum of money to which additions are made annually for the purpose of renewing a plant at the expiration of its period of usefulness. The annual payment into the sinking fund is equivalent to the term Rr in the expression for annual cost, or in terms of C, r, and n, the annual payment is
It is the same as the capitalized depreciation multiplied by the
rate of interest. The expression r
(1 + r)n − 1 is sometimes called
the rate of depreciation.
The present worth of a machine is the difference between its first cost and the present value of the sinking fund. If m represents the present age of a plant in years, then the present worth is
| TABLE 32 | ||||||||||||
|---|---|---|---|---|---|---|---|---|---|---|---|---|
| Comparison of Costs of Three Different Pumping Stations. Nominal Capacity Thirty Million Gallons per Day Raised Thirty Feet | ||||||||||||
| Equipment | Plant A | Plant B | Plant C | |||||||||
| One Acre of Land. Brick Building, Steel Trussed Roof, Slate Covered. Cross Compound Condensing Horizontal Pumping Engine | One Acre of Land. Brick Building. Steel Trussed Roof, Slate Covered. Compound Condensing Low Duty Horizontal Pumping Engine | One Acre of Land. Frame Building, Shingle Roof. Compound Duplex Non-Condensing Pumping Engine. | ||||||||||
| Annual Payment on First Cost | Years of Usefulness | Sinking Fund Payment | Total | Annual Payment on First Cost | Years of Usefulness | Sinking Fund Payment | Total | Annual Payment on First Cost | Years of Usefulness | Sinking Fund Payment | Total | |
| Land | 100 | 0 | 100 | 100 | 0 | 100 | 100 | 0 | 100 | |||
| Permanent Structures[49] | 1188 | 50 | 1080 | 2,260 | 1180 | 50 | 1080 | 2,260 | 810 | 50 | 775 | 1,585 |
| Pumps and Machinery | 440 | 15 | 435 | 875 | 390 | 15 | 395 | 785 | 360 | 15 | 352 | 712 |
| Boilers | 280 | 10 | 446 | 726 | 252 | 10 | 400 | 652 | 308 | 10 | 490 | 798 |
| Labor | 14,000 | 14,000 | 14,000 | |||||||||
| Fuel | 5,500 | 7,200 | 8,200 | |||||||||
| Repairs, etc. | 480 | 400 | 550 | |||||||||
| Total | 23,941 | 25,497 | 25,945 | |||||||||
160Where straight-line depreciation is spoken of it is assumed that
the worth of a machine depreciates an equal part of its first cost
each year. For example, if the life of a plant is assumed to be
20 years, straight-line depreciation will assume that the plant
loses 1
20 of its original value annually. The present worth of a
plant under this assumption would be the product of its first cost
and the ratio between its remaining life and its total life. This
method of estimating depreciation and worth is frequently used,
particularly for short-lived plants and for simplicity in bookkeeping,
but it is less logical than the method given above.
89. Number and Capacity of Pumping Units.—In order to select the number and capacity of pumping units for the best economy, a comparison of the costs of different combinations of units should be made and the most economical combination determined by trial. The principles outlined in the preceding articles should be observed in making these comparisons. In a steam pumping station, when the number of units operating is less than the average daily maximum for the period, steam must nevertheless be kept on a sufficient number of boilers to operate the maximum number of pumps. This, and corresponding standby losses must not be overlooked, as they may show that a smaller number of larger units is ultimately more economical.
| TABLE 33 | |||
|---|---|---|---|
| Summary of Fluctuations of Sewage Flow at a Proposed Pumping Station | |||
| Number of Days Loads Occurred in One Year | Flow in Thousand Gallons per Minute | Lift in Feet | Horse-power |
| 1 | 293 | 6.0 | 450 |
| 8 | 163 | 8.6 | 354 |
| 15 | 119 | 10.0 | 300 |
| 18 | 106 | 10.6 | 284 |
| 23 | 88 | 11.2 | 249 |
| 31 | 69 | 12.2 | 211 |
| 32 | 65 | 12.4 | 204 |
| 45 | 51 | 13.4 | 173 |
| 41 | 50 | 13.5 | 169 |
| 30 | 45 | 13.8 | 158 |
| 28 | 44 | 13.9 | 154 |
| 23 | 40 | 14.2 | 143 |
| 21 | 38 | 14.4 | 137 |
| 18 | 35 | 14.6 | 129 |
| 12 | 29 | 15.0 | 111 |
| 8 | 24 | 15.6 | 95 |
| 5 | 20 | 16.0 | 79 |
| 3 | 16 | 16.5 | 65 |
| 2 | 14 | 16.8 | 58 |
| 1 | 6.5 | 18.0 | 29 |
| Total horse-power days for one year, 102,000. | |||
| Average load in horse-power, 280. | |||
| TABLE 34 | |||||||||||||||||||||
|---|---|---|---|---|---|---|---|---|---|---|---|---|---|---|---|---|---|---|---|---|---|
| Possible Combinations of Five Pumping Units to Care for the Loads Shown in Table 33[50] | |||||||||||||||||||||
| 40 Horse-power Type 1[51] |
50 Horse-power Type 1[51] |
60 Horse-power Type 1[51] |
100 Horse-power Type 4[51] |
200 Horse-power Type 5[51] |
Load | ||||||||||||||||
| Per Cent of Rated Capacity | Pounds Steam per H.P. Hour | Load in Horse-power | Pounds Steam, Units 10,000 Pounds | Per Cent of Rated Capacity | Pounds Steam per H.P. Hour | Load in Horse-power | Pounds Steam, Units 10,000 Pounds | Per Cent of Rated Capacity | Pounds Steam per H.P. Hour | Load in Horse-power | Pounds Steam, Units 10,000 Pounds | Per Cent of Rated Capacity | Pounds Steam per H.P. Hour | Load in Horse-power | Pounds Steam, Units 10,000 Pounds | Per Cent of Rated Capacity | Pounds Steam per H.P. Hour | Load in Horse-power | Pounds Steam, Units 10,000 Pounds | Number of Days Load is Carried in Year | Total Load Carried on these Days in H.P. |
| 151 | 45 | 60.4 | 6.5 | 151 | 45 | 75.5 | 8.2 | 151 | 45 | 90.6 | 9.8 | 151 | 28 | 151 | 10.2 | 151 | 23 | 302 | 16.7 | 1 | 681 |
| 120 | 44 | 48 | 40.5 | 120 | 44 | 60.0 | 50.7 | 120 | 44 | 72.0 | 60.8 | 120 | 25 | 120 | 57.5 | 120 | 20 | 240 | 92.0 | 8 | 542 |
| 102 | 45 | 40.8 | 66.1 | 102 | 45 | 51.0 | 82.7 | 102 | 45 | 61.2 | 99.2 | 102 | 25 | 102 | 62.5 | 102 | 20 | 204 | 147 | 15 | 458 |
| 96 | 45 | 38.4 | 74.8 | 90 | 45 | 48.0 | 93.5 | 96 | 45 | 57.6 | 112 | 96 | 25 | 96 | 103.8 | 96 | 20 | 192 | 166 | 18 | 434 |
| 98 | 45 | 39.2 | 97.5 | 98 | 45 | 49.0 | 122.0 | 98 | 25 | 98 | 135.1 | 98 | 20 | 196 | 216 | 23 | 381 | ||||
| 104 | 45 | 52.0 | 174.5 | 104 | 45 | 62.4 | 209.0 | 104 | 20 | 208 | 309.5 | 31 | 322 | ||||||||
| 101 | 45 | 50.5 | 174.8 | 101 | 45 | 60.6 | 210 | 101 | 20 | 202 | 310 | 32 | 312 | ||||||||
| 102 | 45 | 61.2 | 325 | 102 | 20 | 204 | 481 | 45 | 264 | ||||||||||||
| 103 | 45 | 51.5 | 228 | 103 | 20 | 206 | 405 | 41 | 258 | ||||||||||||
| 101 | 45 | 40.4 | 131 | 101 | 20 | 202 | 291 | 30 | 242 | ||||||||||||
| 98 | 45 | 39.2 | 119 | 98 | 20 | 196 | 264 | 28 | 235 | ||||||||||||
| 109 | 20 | 218 | 241 | 23 | 218 | ||||||||||||||||
| 105 | 20 | 210 | 212 | 21 | 210 | ||||||||||||||||
| 99 | 20 | 198 | 171 | 18 | 198 | ||||||||||||||||
| 106 | 45 | 63.6 | 137 | 106 | 25 | 106 | 76.5 | 12 | 170 | ||||||||||||
| 104 | 45 | 41.6 | 20.9 | 104 | 25 | 104 | 29.1 | 8 | 145 | ||||||||||||
| 109 | 44 | 54.5 | 28.8 | 109 | 44 | 65.4 | 34.5 | 5 | 121 | ||||||||||||
| 100 | 25 | 100 | 32.4 | 3 | 100 | ||||||||||||||||
| 99 | 45 | 39.6 | 8.5 | 99 | 45 | 49.5 | 10.7 | 2 | 89 | ||||||||||||
| 113 | 44 | 45.2 | 4.8 | 1 | 45 | ||||||||||||||||
| Sub-total | 596.6 | 973.9 | 1197.3 | 507.1 | 3322.2 | ||||||||||||||||
| Grand total in pounds, 65,700,000 | |||||||||||||||||||||
| 162 | ||||||
| TABLE 35 | ||||||
|---|---|---|---|---|---|---|
| Financial Comparison of Pumping Equipments | ||||||
| The loads to be cared for are shown in Table 34. An emergency unit is supplied to bring the overload capacity of the plant, less the largest unit, equal to the maximum load on the plant. No unit will be overloaded more than fifty per cent of its rated capacity. | ||||||
| Number of Units Exclusive of Emergency Unit | 5 | 4 | 3 | 2 | 1 | |
| Capacity and Type of Units | 40 h.p., Type 1 50 h.p., Type 1 60 h.p., Type 1 100 h.p., Type 4 200 h.p., Type 5 |
50 h.p., Type 1 100 h.p., Type 4 125 h.p., Type 4 175 h.p., Type 5 |
50 h.p., Type 1 150 h.p., Type 5 250 h.p., Type 6 |
200 h.p., Type 5 250 h.p., Type 6 |
450 h.p., Type 7 | |
| Emergency Unit, Capacity and Type | 200 h.p., Type 5 | 175 h.p., Type 5 | 250 h.p., Type 6 | 250 h.p., Type 6 | 450 h.p., Type 7 | |
| Annual payments, Dollars | ||||||
| First cost of pumps | 1,560 | 1,660 | 1,480 | 1,440 | 1,500 | |
| Renewal of pumps | 1,340 | 1,430 | 1,270 | 1,240 | 1,290 | |
| First cost, boilers | 1,024 | 1,089 | 1,125 | 1,115 | 1,410 | |
| Renewal, boilers | 800 | 935 | 966 | 958 | 1,210 | |
| Fuel | 13,140 | 11,860 | 10,490 | 9,420 | 9,400 | |
| Repairs, oil, etc. | 2,000 | 1,800 | 1,500 | 1,300 | 1,200 | |
| Labor | 35,000 | 31,500 | 29,500 | 27,000 | 27,000 | |
| Emergency unit. First cost | 640 | 560 | 800 | 800 | 1,500 | |
| Emergency unit. Renewal | 550 | 480 | 690 | 690 | 1,290 | |
| Total | 56,134 | 51,314 | 47,821 | 43,963 | 45,800 | |
163For example, the sewage flow expected at a proposed pumping station is shown in Table 33. The steps involved in the selection of the number and capacity of pumping units to care for these quantities are as follows: (1) Determine the rated capacity of the equipment to be provided. In this case the capacity will be taken as 450 horse-power, which is the maximum load to be placed on the pumps. (2) Select any number of units of such different types and capacities as are available for comparison, and arrange them in different combinations so that each unit will operate as nearly as possible at its rated capacity. The work involved in such a study for 5 units is shown in Table 34. The weight of steam consumed per indicated horse-power hour corresponding to the per cent of the rated capacity at which the unit is operating is read from Fig. 64 or other data. (3) Repeat this step for other numbers and types of units. (4) Prepare a table showing the annual costs of combinations of different numbers and types of units as shown for this example in Table 35. The figures in Table 35 show that the least expensive of the combinations of the units studied is one 200 horse-power unit, and one 250 horse-power unit, with a 250 horse-power unit in reserve. It is to be noted that a reserve unit has been provided in each combination, the capacity of which is equal to that of the largest unit of the combination.
90. Materials.—The materials most commonly used for the manufacture of sewer pipe are vitrified clay and concrete. Cast iron, steel, and wood are also used, but only under special conditions. For pipes built in the trench, concrete, concrete blocks, brick, and vitrified clay blocks are used. Concrete is being used to-day more than bricks or blocks because it is cheaper. A decade or more ago all large sewers were built of bricks. Vitrified clay and concrete are used for manufactured pipe 42 inches and less in diameter. Concrete is used almost exclusively for larger sizes of pipe, particularly for pipe constructed in place, although a brick invert lining is advisable when high velocities of flow are expected.
The character of the external load, the velocity of flow and the quality of sewage are important factors in determining the material to be used in the construction of sewers. Reinforced concrete should be used for large sewers near the surface subjected to heavy moving loads. A high velocity of flow with erosive suspended matter demand a brick wearing surface on the invert. Many engineers consider concrete less suitable than vitrified clay or brick for conveying septic sewage or acid industrial wastes, as concrete deteriorates more rapidly under such conditions. Concrete should be used on soft yielding foundations, whereas a hard compact earth, which can be cut to the form of the sewer, is suitable to the use of brick or concrete.
Cast-iron pipe with lead joints is used for sewers flowing under pressure, or where movements of the soil are to be expected. If the sewage is not flowing under pressure, cement joints are sometimes used in the cast-iron pipe. Movements of the soil are to be expected on side hills, under railroad tracks, etc. Steel pipe is used on long outfalls or under other conditions where external loads are light and the cost is less than for other materials. Because of the thin plates used and the liability to corrosion steel is not frequently used. It should never be deeply buried nor 165externally loaded because of its weakness in resisting such forces. Like wood pipe, its lightness is favorable to use on bridges, but the greater heat conductivity of steel than wood necessitates protection against freezing in exposed positions. Wood is preferable only where the economy of its use is pronounced and the pipe is running full at all times. It is desirable that the wood pipe should be always submerged as the life of alternately wet and dry wood is short.
Corrugated galvanized iron and unglazed tile have been used for sewers, but usually only in emergencies or as a makeshift. Corrugated iron is not suitable on account of its roughness and liability to corrosion, and unglazed tile because of its lack of strength.
Fig. 71.—Diagrammatic Section through Clay-pipe Press.
91. Vitrified Clay Pipe.—In general the physical and chemical qualities of clays before burning are not sufficient to cause their condemnation or approval by the engineer, as their behavior in the furnace is quite individual and depends greatly on the manner in which they are fired. The engineer is interested in the result and writes his specifications accordingly.
In the manufacture of clay pipe, the clay as excavated is taken to a mill and ground while dry, to as fine a condition as possible. It is then sent to storage bins from which it is taken for wet grinding and tempering. In this process the clay is mixed with water to the proper degree of plasticity. A variation of 1 to 1½ per cent in the moisture content will mean failure. Too wet a mixture will not have sufficient strength to maintain its shape in the kiln. Too dry a mixture will show laminations as it is pressed through the discs.
A press used in the manufacture of clay pipe is shown in cross-section in Fig. 71. With the piston heads in the steam and 166mud cylinders at their extreme upward positions, the mud cylinder is filled with clay of the proper consistency. Steam is then turned into the steam cylinder under pressure and the clay is squeezed into the space between the inner and outer shells of the die and mandrel to form the hub of the pipe. The pressure on the clay may be from 250 to 600 pounds per square inch. When clay appears at the holes, marked hh at the bottom of the mud cylinder, the bottom plate and the center portion of the die are removed and the remainder or straight portion of the pipe is formed by squeezing the clay between the mandrel and the outer wall of the die. A completely formed pipe can be seen issuing from the press in Fig. 72. Any sized pipe that is desired can be formed from the same press by changing the size of the dies and mandrel.
Fig. 72.—Clay-pipe Press.
Courtesy, Blackmer and Post Manufacturing Co.
Curved pipes are made in two ways—by bending directly as they issue from the press, or by shaping by hand in plaster of paris molds. Junctions are made by cutting the branch pipe to the shape of the outside of the main pipe, fastening the branch 167in place with soft clay and then cutting out the wall of the main pipe the size of the branch. Special fittings are usually made by hand in plaster molds.
After being pressed into shape the pipes are taken to a steam-heated drying room where a constant temperature is maintained in order to prevent cracking of the pipes. They remain in the drying room from 3 to 10 days until dry, when they are taken to the kilns. If taken to the kilns when moist blisters will be produced.
The dried pipes are piled carefully in the kiln so that heat and weight may be as evenly distributed as possible, and the fire is then started in the kiln. The process of burning can be roughly divided into five stages:
1st. Water smoking, which lasts about 72 hours during which the temperature is raised gradually to 350 degrees Fahrenheit.
2nd. Heating, during which the temperature is raised to 800 degrees Fahrenheit in 24 hours.
3rd. Oxidation, during which the temperature is raised to 1,400 degrees Fahrenheit in 84 hours.
4th. Vitrification, in which the temperature is raised to 2,100 degrees Fahrenheit in 48 hours, and finally,
5th. Glazing, during which the temperature is unchanged but salt (NaCl) is thrown in and allowed to burn.
Oxidation must be complete before vitrification is started as otherwise blisters will be raised due to imprisoned carbon dioxide. The important points in vitrification are to make the required temperature within a reasonable time and to maintain a uniform distribution of heat throughout the kiln. When vitrification is complete as shown by a glassy fracture of a broken sample taken from the kiln, glazing is accomplished by throwing a shovelful of salt on the hottest part of the fire. About five to six applications of salt from two to three hours apart may be needed. The kiln is then allowed to cool and the manufacture of the pipe is complete. The completeness of vitrification is indicated by the amount of water that the finished pipe will absorb. Completely vitrified pipe will absorb no moisture. Soft-burned pipe may absorb as much as 15 per cent moisture.
Vitrified clay blocks are made of the same material and in the same manner as vitrified clay pipe.
The following data on vitrified pipe have been abstracted from 168the specifications for vitrified pipe adopted by the American Society for Testing Materials.
Pipes shall be subject to rejection on account of the following:
(a) Variation in any dimension exceeding the permissible variations given in Table 36.
(b) Fracture or cracks passing through the shell or hub, except that a single crack at either end of a pipe not exceeding 2 inches in length or a single fracture in the hub not exceeding 3 inches in width nor 2 inches in length will not be deemed cause for rejection unless these defects exist in more than 5 per cent of the entire shipment or delivery.
(c) Blisters or where the glazing is broken or which exceed 3 inches in diameter, or which project more than ⅛ inch above the surface.
(d) Laminations which indicate extended voids in the pipe material.
(e) Fire cracks or hair cracks sufficient to impair the strength, durability or serviceability of the pipe.
(f) Variations of more than ⅛ inch per linear foot in alignment of a pipe intended to be straight.
(g) Glaze which does not fully cover and protect all parts of the shell and ends except those exempted in Sect. 31. Also glaze which is not equal to best salt glaze.
(h) Failure to give a clear ringing sound when placed on end and dry tapped with a light hammer.
(i) Insecure attachment of branches or spurs.
(29) Pipes shall be substantially free from fractures, large or deep cracks and blisters, laminations and surface roughness.
(31) The glaze shall consist of a continuous layer of bright or semi-bright glass substantially free from coarse blisters and pimples.... Not more than 10 per cent of the inner surface of any pipe barrel shall be bare of glaze except the hub, where it may be entirely absent. Glazing will not be required on the outer surface of the barrel at the spigot end for a distance from the end equal to ⅔ the specified depth of the socket for the corresponding size of pipe. Where glazing is required there shall be absence of any well defined network of crazing lines or hair cracks.
(32) The ends of the pipe shall be square with their longitudinal axis.
(33) Special shapes shall have a plain spigot end and a hub end corresponding in all respects with the dimensions specified for pipes of the corresponding internal diameter.
| TABLE 36 | ||||||||||||||
|---|---|---|---|---|---|---|---|---|---|---|---|---|---|---|
| Properties of Clay Sewer Pipe | ||||||||||||||
| Abstracts from Tentative Specifications of the American Society for Testing Materials | ||||||||||||||
| Internal Diameter, Inches | Minimum Crushing Strength, Pounds per Linear Foot. See Note 2 |
Maximum Absorption, Per Cent | Laying length, Feet | Diameter of Inside of Socket, Inches | Depth of Socket Inches | Taper of Socket | Minimum Thickness of Barrel. Inches | Permissible Variations | Number of Scorings on Spigot and Socket ⅛ Inch Deep | |||||
| Length, Inches (-), per Foot | Internal Diameter, Inches | Length of Two Opposite Sides, Inches | Depth of Socket, Inches (-) | Thickness of Barrel, Inches (-) | ||||||||||
| Spigot (±) | Socket (±) | |||||||||||||
| 6 | 1430 | 5 | 2, 2½, 3 | 8¼ | 2 | 1 : 20 | ⅝ | ¼ | 3 16 |
¼ | ⅛ | ¼ | 1 16 |
2 |
| 8 | 1430 | 5 | 2, 2½, 3 | 10¾ | 2¼ | 1 : 20 | ¾ | ¼ | ¼ | 5 16 |
⅛ | ¼ | 1 16 |
2 |
| 10 | 1570 | 5 | 2, 2½, 3 | 13 | 2½ | 1 : 20 | ⅞ | ¼ | ¼ | 5 16 |
⅛ | ¼ | 1 16 |
2 |
| 12 | 1710 | 5 | 2, 2½, 3 | 15¼ | 2½ | 1 : 20 | 1 | ¼ | 5 16 |
⅜ | ⅛ | ¼ | 1 16 |
2 |
| 15 | 1960 | 5 | 2, 2½, 3 | 18¾ | 2½ | 1 : 20 | 1¼ | ¼ | 5 16 |
⅜ | ⅛ | ¼ | 3 32 |
3 |
| 18 | 2200 | 5 | 2, 2½, 3 | 22¼ | 3 | 1 : 20 | 1½ | ¼ | ⅜ | 7 16 |
3 16 |
¼ | 3 32 |
3 |
| 21 | 2590 | 5 | 2, 2½, 3 | 26 | 3 | 1 : 20 | 1¾ | ¼ | 7 16 |
½ | 3 16 |
¼ | ⅛ | 3 |
| 24 | 3070 | 5 | 2, 2½, 3 | 29½ | 3 | 1 : 20 | 2 | ⅜ | ½ | 9 16 |
¼ | ¼ | ⅛ | 4 |
| 27 | 3370 | 5 | 3 | 33¼ | 3½ | 1 : 20 | 2¼ | ⅜ | ⅝ | 11 16 |
¼ | ¼ | ⅛ | 4 |
| 30 | 3690 | 5 | 3 | 37 | 3½ | 1 : 20 | 2½ | ⅜ | ⅝ | 11 16 |
¼ | ¼ | ⅛ | 4 |
| 33 | 3930 | 5 | 3 | 40¼ | 4 | 1 : 20 | 2⅝ | ⅜ | ¾ | 13 16 |
¼ | ¼ | 3 16 |
5 |
| 36 | 4400 | 5 | 3 | 44 | 4 | 1 : 20 | 2¾ | ⅜ | ¾ | 13 16 |
⅜ | ¼ | 3 16 |
5 |
| 39 | 4710 | 5 | 3 | 47¼ | 4 | 1 : 20 | 2⅞ | ⅜ | ¾ | 13 16 |
⅜ | ¼ | 3 16 |
5 |
| 42 | 5030 | 5 | 3 | 51 | 4 | 1 : 20 | 3 | ⅜ | ¾ | 13 16 |
⅜ | ¼ | 3 16 |
5 |
170(a) Slants shall have their spigot ends cut at an angle of approximately 45 degrees with the longitudinal axis.
(b) Curves shall be at angles of 90, 45, 22½, and 11¼ degrees as required. They shall conform substantially to the curvature specified.
(c) ... All branches shall terminate in sockets.
Fig. 73.—Standard Clay Pipe Specials.
Courtesy, Blackmer and Post Manufacturing Co.
In Fig. 73 are shown the various forms of vitrified pipe and specials which are ordinarily available on the market.
171The life of vitrified clay sewers and some observations on the results of the inspection of the sewers in Manhattan are discussed in Chapter XII. The strength of vitrified sewer pipes is shown in Table 37.
| TABLE 37 | ||||||||||
|---|---|---|---|---|---|---|---|---|---|---|
| Strength of Sewer Pipe | ||||||||||
| Strength in pounds per linear foot to carry loads from ditch filling material such as ordinary sand and thoroughly wet clay, with the under side of the pipe bedded 60° to 90° by ordinary good methods. From Proc. Am. Society for Testing Materials, Vol. 20, 1920, page 604. | ||||||||||
| Height of Fill Above Top of Pipe, Feet | Breadth of the Ditch a Little Below the Top of the Pipe | |||||||||
| 1 Foot | 2 Feet | 3 Feet | 4 Feet | 5 Feet | ||||||
| Ditch Filling Material | ||||||||||
| sand | clay | sand | clay | sand | clay | sand | clay | sand | clay | |
| 2 | 265 | 280 | 615 | 635 | 970 | 990 | 1330 | 1,350 | 1,690 | 1,710 |
| 4 | 400 | 450 | 1055 | 1125 | 1745 | 1825 | 2455 | 2,535 | 3,165 | 3,250 |
| 6 | 470 | 545 | 1370 | 1500 | 2370 | 2525 | 3405 | 3,575 | 4,460 | 4,740 |
| 8 | 505 | 605 | 1600 | 1790 | 2875 | 3115 | 4215 | 4,495 | 5,595 | 5,890 |
| 10 | 525 | 640 | 1765 | 2015 | 3275 | 3610 | 4900 | 5,295 | 6,590 | 7,020 |
| 12 | 535 | 660 | 1880 | 2185 | 3600 | 4030 | 5485 | 6,000 | 7,460 | 8,035 |
| 14 | 540 | 675 | 1965 | 2320 | 3855 | 4380 | 5975 | 6,620 | 8,225 | 8,950 |
| 16 | 545 | 680 | 2025 | 2425 | 4065 | 4675 | 6395 | 7,165 | 8,890 | 9,775 |
| 18 | 545 | 685 | 2070 | 2505 | 4230 | 4920 | 6750 | 7,630 | 9,480 | 10,520 |
| 20 | 545 | 690 | 2100 | 2565 | 4365 | 5130 | 7050 | 8,060 | 9,995 | 11,190 |
| 22 | 545 | 690 | 2125 | 2610 | 4470 | 5305 | 7305 | 8,425 | 10,445 | 11,795 |
| 24 | 545 | 690 | 2140 | 2645 | 4560 | 5445 | 7525 | 8,750 | 10,840 | 12,340 |
| 26 | 545 | 690 | 2150 | 2675 | 4630 | 5575 | 7705 | 9,035 | 11,185 | 12,830 |
| 28 | 545 | 690 | 2160 | 2695 | 4685 | 5680 | 7860 | 9,280 | 11,490 | 13,270 |
| 30 | 545 | 690 | 2165 | 2715 | 4725 | 5765 | 7990 | 9,500 | 11,755 | 13,670 |
| Very great | 545 | 690 | 2180 | 2770 | 4910 | 6230 | 8725 | 11,075 | 13,635 | 17,305 |
92. Cement and Concrete Pipe.—Although there is no general recognition of a difference between cement and concrete pipe, there is a tendency to term manufactured pipe of small diameter cement pipe, and large pipes or pipes constructed in place, concrete pipe. Cement, unlike clay, is used in the manufacture of 172pipe in the field or by more or less unskilled operators in “one man” plants. Great care should be used in the selection of cement, aggregate, and reinforcement for precast cement pipe since the shocks to which it is subjected in transit are more liable to rupture it than the heavier but steadier loads imposed on it in the trench.
The United States Government, various scientific and engineering societies, and other interested organizations have collaborated in the preparation of specifications for cement and cement tests. These specifications can be found in Trans. Am. Soc. Civil Engineers, Vol. 82, 1918, p. 166, and in other publications.
The following abstracts have been taken from the proposed tentative specifications for Concrete Aggregates, of the Am. Society for Testing Materials, issued June 21, 1921:
1. Fine aggregate shall consist of sand, stone screenings, or other inert materials with similar characteristics, or a combination thereof, having clean, hard, strong, durable uncoated grains, free from injurious amounts of dust, lumps, soft or flaky particles, shale, alkali, organic matter, loam or other deleterious substances.
2. Fine aggregates shall preferably be graded from fine to coarse, with the coarser particles predominating, within the following limits:
| Passing No. 4 sieve | 100 per cent |
| Passing No. 50 sieve, not more than | 50 per cent |
| Weight removed by elutriation test, not more than | 3 per cent |
Sieves shall conform to the U. S. Bureau of Standards specifications for sieves.
3. The fine aggregate shall be tested in combination with the coarse aggregate and the cement with which it is to be used and in the proportions, including water, in which they are to be used on the work, in accordance with the requirements specified in Section 6....
7. Coarse aggregate shall consist of crushed stone, gravel or other approved inert materials with similar characteristics, or a combination thereof, having clean, hard, strong, durable, uncoated pieces free from injurious amounts of soft, friable, thin, elongated or laminated pieces, alkali, organic or other deleterious matter.
The following Table indicates desirable gradings, in percentages, for coarse aggregate for certain maximum sizes.
| 173 | |||||||||
| Gradings of Coarse Aggregates | |||||||||
|---|---|---|---|---|---|---|---|---|---|
| Maximum Size of Aggregate Inches | Circular Openings, Inches | Passing Screen Having Circular Openings ¼ Inch in diameter, not more than | |||||||
| 3 | 2½ | 2 | 1½ | 1¼ | 1 | ¾ | ½ | ||
| 3 | 100 | 40–75 | 15 per cent | ||||||
| 2½ | 100 | 40–75 | 15 per cent | ||||||
| 2 | 100 | 40–75 | 15 per cent | ||||||
| 1½ | 100 | 40–75 | 15 per cent | ||||||
| 1¼ | 100 | 35–70 | 15 per cent | ||||||
| 1 | 100 | 40–75 | 15 per cent | ||||||
| ¾ | 100 | 15 per cent | |||||||
The manufacture of small size cement pipe requires relatively more skill than equipment. As a result great care must be observed in the inspection of cement pipe and in the enforcement of specifications. For large size concrete pipe and reinforced concrete pipe the difficulty of holding the pipe together during transportation and lowering into the trench aid in insuring a good product.
Cement pipe is made by ramming a mixture of cement, sand, and water into a cylindrical mold and allowing it to stand until set. The mold is then removed and the pipe stands for a further period of time to become cured. The selection and proportion of materials, the amount of water, the method of ramming, the period of setting, the length of time of curing, and the control of moisture and temperature during this period are of great importance in the resulting product. E. S. Hanson[52] states that the most conservative engineers recommend a mixture of one sack of cement to 2½ cubic feet of aggregate measured as loosely thrown into the measuring box. In making up the aggregate, clean gravel or broken stone up to ¼ inch in size is used. The American Concrete Institute recommends that 100 per cent pass a ½-inch screen, 70 per cent a ¼-inch screen, 50 per cent a No. 10, 40 per cent a No. 20, 30 per cent a No. 30, and 20 per cent a No. 40. The materials should be carefully graded by experiment and not guessed at, as the behavior of all aggregates is not the same. Too coarse an aggregate is difficult to handle in manufacturing. 174It causes loss of pipe when the jacket or mold is removed and results in rough pipe, stone pockets, and pin holes through which water spurts when pressure tests are applied. Too fine an aggregate causes loss of strength and with ordinary mixtures tends to produce a pipe which will show seepage under internal pressure tests. The amount of water in the mixture will vary, from 15 to 20 per cent. The mixture should appear dry but should ball in the hand under some pressure.
Fig. 74.—Details of 24–Inch Concrete Pipe Form.
The mixture can be rammed into the molds by hand or machine. A machine-made pipe is preferable as it produces a more even and stronger product. There are two types of machines for this purpose. One type consists of a number of tamping feet which deliver about 200 blows to the minute with a pressure of about 800 pounds per square inch of area exposed. In the other type a revolving core is drawn through the pipe, packing and polishing the concrete as it is pulled through, with special provision for packing the bell of the pipe. The tamping machines can make 1,500 feet of small size pipe to 300 feet of 24–inch pipe in a day. Machines of the second type can make 750 feet of 8–inch to 200 feet of 30–inch pipe in 30–inch lengths in 9 hours. The inside and outside forms for a 24–inch pipe are shown in Fig. 74 as used with the tamping machines. The forms are swabbed with oil before being filled in order to facilitate their removal. In making a Y-branch or other special, a hole is cut in the pipe or mold the size of the joining pipe which is then set in place and the joint wiped smooth with cement.
| TABLE 38 | |||||||||||||
|---|---|---|---|---|---|---|---|---|---|---|---|---|---|
| Properties of Cement Concrete Sewer Pipe | |||||||||||||
| 1917 Specifications of American Society for Testing Materials, with Subsequent Revisions | |||||||||||||
| Internal Diameter, Inches | Laying Length, Feet | Diameter at Inside of Socket, Inches | Normal Annular Space, Inches | Depth of Socket, Inches | Taper of Socket | Minimum Thickness of Barrel, Inches | Limits of Permissible Variations | Minimum Crushing Strength, Pounds per Linear Foot at End of Diameter | Maximum Absorption, Per Cent | ||||
| Length, Inch per Foot (-) | Internal Diameter, Inches | Depth of Hub (-) Inches | Thickness of Barrel (-) Inches | ||||||||||
| Spigot (±) | Socket (±) | ||||||||||||
| 6 | 2, 2½, 3 | 8¼ | ½ | 2 | 1 : 20 | ⅝ | ¼ | 3 16 |
3 16 |
¼ | 1 16 |
1430 | 8 |
| 8 | 2, 2½, 3 | 11 | ⅝ | 2¼ | 1 : 20 | ¾ | ¼ | ¼ | ¼ | ¼ | 1 16 |
1430 | 8 |
| 10 | 2, 2½, 3 | 13¼ | ⅝ | 2½ | 1 : 20 | ⅞ | ¼ | ¼ | ¼ | ¼ | 1 16 |
1570 | 8 |
| 12 | 2, 2½, 3 | 15⅝ | ⅝ | 2½ | 1 : 20 | 1 | ¼ | ¼ | ¼ | ¼ | 1 16 |
1910 | 8 |
| 15 | 2, 2½, 3 | 19¼ | ⅝ | 2½ | 1 : 20 | 1¼ | ¼ | ¼ | ¼ | ¼ | 3 32 |
1960 | 8 |
| 18 | 2, 2½, 3 | 22¾ | ⅝ | 2¾ | 1 : 20 | 1½ | ¼ | ¼ | ¼ | ¼ | 3 32 |
2200 | 8 |
| 21 | 2, 2½, 3 | 26½ | ¾ | 2¾ | 1 : 20 | 1¾ | ¼ | 5 16 |
5 16 |
¼ | ⅛ | 2590 | 8 |
| 24 | 2, 2½, 3 | 30¼ | ¾ | 3 | 1 : 20 | 2⅛ | ⅜ | 5 16 |
5 16 |
¼ | ⅛ | 3070 | 8 |
| 27 | 3 | 34 | ⅞ | 3¼ | 1 : 20 | 2¼ | ⅜ | 5 16 |
⅜ | ¼ | ⅛ | 3370 | 8 |
| 30 | 3 | 38 | 1 | 3½ | 1 : 20 | 2½ | ⅜ | ⅜ | ⅜ | ¼ | ⅛ | 3690 | 8 |
| 33 | 3 | 41½ | 1 | 4 | 1 : 20 | 2¾ | ⅜ | ⅜ | ⅜ | ¼ | 3 16 |
3930 | 8 |
| 36 | 3 | 45½ | 1¼ | 4 | 1 : 20 | 3 | ⅜ | ½ | ½ | ¼ | 3 16 |
4400 | 8 |
| 39 | 3 | 49 | 1¼ | 4 | 1 : 20 | 3¼ | ⅜ | ½ | ½ | ¼ | 3 16 |
4710 | 8 |
| 42 | 3 | 53 | 1½ | 4 | 1 : 20 | 3½ | ⅜ | ½ | ½ | ¼ | 3 16 |
5030 | 8 |
176After the removal of the mold the pipe may be cured by the water or the steam process. Hanson states:
By the former the pipe are simply set on the floor of the plant and as soon as they are sufficiently strong so that they can be sprinkled with water without falling down; sprinkling is commenced and continued at such intervals for 6 or 7 days that the pipe will be moist at all times. This is a slower process than steam curing. It is also less uniform and less subject to control than where the product is cured by steam.
In the steam process the pipe is exposed to low-pressure steam with plenty of moisture in a closed receptacle for 24 hours, or until hardened. It has been found by tests that pipes sprinkled for 28 days are as strong as steam-cured pipes.
The dimensions of cement concrete sewer pipe as recommended by the Am. Society for Testing Materials are shown in Table 38.
The following has been abstracted from the description of the manufacture of one form of concrete pipe by G. C. Bartram.[53] All pipe are manufactured in 4–foot lengths near the site at which they are to be installed because of their great weight, for example, 36–inch pipe weighs one ton. The plant for the manufacture of the pipe consists of cast-iron bottom and top rings for each size to be used on the job, and inside and outside steel casings. There are three bases for each steel casing as the pipes stand on the bases for 72 hours and the steel casing remains on for only 24 hours after the concrete has been poured. The pipes are then lifted off the bases and stored for aging. The pipes are cast with the spigot end up.
The concrete is ordinarily mixed in the proportions of 1 : 2 : 4. The materials are placed in the mixer in the following order: first, the stone, then the sand, then the cement, and finally the water. Sufficient water is added to make the concrete flow freely. In cold weather or for a hurry-up job the molds are covered with canvas and are steamed for 2 or 3 hours immediately after the concrete is poured. The molds are then removed but the pipe should be steamed before use. Otherwise they are allowed to stand 72 hours, as explained above. In cold weather the steam is used to prevent freezing and not to hasten the completion of the pipe.
Fig. 75.—Triangle Mesh Reinforced Concrete Pipe.
As made by the Am. Concrete Pipe and Pile Co., Chicago.
Fig. 76.—Methods of Joining and Reinforcing Concrete Pipe.
One layer or ring of reinforcement is used for sizes from 24 to 48 inches and two layers or rings for larger pipe. A type of reinforcement sometimes used is the American Steel and Wire Company’s Triangular Mesh, an illustration of which is shown in Fig. 75. The wire mesh is cut to fit and is placed in a slot in the cast-iron base. The slot is then filled with sand so that the concrete cannot enter, thus leaving a portion of the reinforcement exposed. The inside reinforcement extends through and out of the spigot of the completed pipe. In the trench the two reinforcements overlap in the key-shaped space left on the inside of 178the pipe by the design of the bell and spigot. This space is shown in Fig. 76 A. When the pipe is placed in the trench the key-shaped space is plastered with mortar and a piece is knocked out of the bell to receive the grout with which the joint is closed. A spring steel band is then put on the outside of the joint and grout poured into the hole at the top. The band is removed as soon as the joint materials have set.
The rules for the reinforcement of concrete pipe recommended in Volume XV, 1919, of the Transactions of the Concrete Institute are as follows:
No reinforcement is approved for pipe between 30 and 60 inches in diameter or in rock or hard soils. For pipe 36 inches in diameter or less the minimum thickness of shell shall be 5 inches. For 60–inch pipe the minimum thickness shall be 7 inches with intermediate sizes in proportion. Reinforcement for circular pipe shall consist of one or two rings of circular wire fabric or rods of the areas shown in Table 39. All sewers near the surface and subject to vibration should be reinforced. For sewers 6 feet or less in diameter the reinforcement should consist of at least ½ of 1 per cent of the area of the concrete. It should be placed near the inside at the crown and near the outside at the haunches. If large horizontal pressures are expected the pipe should be reinforced for these reverse stresses, which involves placing the reinforcement near the outside at the crown and near the inside at the haunches. The minimum thickness of the walls of sewers greater than 6 feet in diameter with flat bottom and arch, with or without side walls, should be 8 inches.
| TABLE 39 | |||
|---|---|---|---|
| Reinforcement for Circular Concrete Sewer Pipe | |||
| (See Vol. XV, Proceedings Am. Concrete Institute) | |||
| Diameter in Inches | Minimum Thickness of Shell in Inches | Number of Rings | Cross Sectional Area of Each Ring |
| 24 | 3 | 1 | .058 |
| 27 | 3 | 1 | .068 |
| 30 | 3½ | 1 | .080 |
| 33 | 4 | 1 | .107 |
| 36 | 4 | 1 | .146 |
| 39 | 4 | 1 | .146 |
| 42 | 4½ | 1 | .153 |
| 48 | 5 | 2 | .107 |
| 54 | 5½ | 2 | .123 |
| 60 | 6 | 2 | .146 |
| 66 | 6½ | 2 | .168 |
| 72 | 7 | 2 | .180 |
| 84 | 8 | 2 | .208 |
| 96 | 9 | 2 | .245 |
179Three methods for the reinforcement of concrete sewers are shown in Fig. 76 B.
93. Proportioning of Concrete.—In the proportioning of concrete questions of strength, of permeability, and of workability[54] may need consideration. All of these qualities are affected by the amount of cement, the nature and gradation and relative proportions of the fine and the coarse aggregate, and the amount of mixing water used.
Other things being equal the strength varies with the amount of cement put into the concrete. For the same amount of cement and the same consistency of the mixture, the strength increases with increased density of concrete (that is, with decreased voids), and the effort should be made so to proportion the fine and coarse aggregates as to produce the densest concrete (least voids) with the aggregates available. For the same consistency, the strength then will vary with the ratio of the amount of cement to the amount of the voids.
So far as the mixing water is concerned, the greatest strength in the concrete will be attained at a rather dry mix; that which produces the least volume of concrete. The addition of more water results in a concrete of less strength; 40 per cent more water may give a concrete of less than half the normal strength. The reduction in strength is then very marked for the wetter mixes, and the water content used is a feature of considerable importance in the design of concrete mixtures.
Permeability is affected by the same elements as strength, but the size and discontinuity of the pores have a greater influence.
Workability is an important quality; in some respects it will have to be obtained at the expense of strength. Increasing the amount of mixing water increases the workability of the mixtures, with a resulting decrease in strength which may have to be accepted or else overcome by increasing the cement in the mix.
180An excess of water is often used unnecessarily through ignorance of the injurious results. A high proportion of coarse aggregate, up to a certain limit, will give concrete of high strength, but the mixture will be harsh-working and not easy to place. Lower proportions of coarse aggregate will give greater workability and better uniformity of product, the latter being an important matter. It is apparent that the degree of workability of the mixture needed will depend upon the nature of the construction—for a pavement where the concrete will receive substantial tamping or working the water content may be much less than that which may need to be used in placing concrete around reinforcement in narrow members, or where little tamping or spading can be done. The nature of the work will affect the standard of consistency to be specified.
The proportioning of the concrete should then be dependent upon the needs of the structure and the manner of placing the concrete. The proportions selected should be carefully adhered to and especially should care be taken to see that the right quantity of mixing water is used.
The materials are commonly measured volumetrically (by bulk). Because of the variations which are introduced by volumetric measurement of the materials by the presence of varying degrees of moisture, measurements by weight would be more accurate, but these would also be affected by differences in the specific gravity of the materials. The methods of measuring, the allowance for moisture, as well as the proportions of the materials, should be specified.
The methods for proportioning concrete are:
(1) Arbitrarily selected proportions.
(2) Proportions based on minimum voids.
(3) Proportions based on trial mixtures.
(4) Proportions based on a sieve analysis curve.
(5) Proportions based on the surface area of the aggregates.
(6) Proportions based on the water-cement ratio and the fineness modulus.
(7) Proportions based on mortar-voids and cement-voids ratio.
Arbitrarily selected proportions are in quite general use; they are intended to apply to the materials most commonly used 181in the vicinity of the work. The most common practice is to use twice as great a volume of coarse aggregate as fine aggregate, as for instance 1 part cement, 2 parts fine aggregate, and 4 parts coarse aggregate. Decreasing the ratio of coarse aggregate to fine aggregate may give a more easily worked mix or require relatively less water for a given workability, and in some cases it will be proper to increase this ratio and thus secure an increase of strength. Judgment and experience with given materials may warrant changes from a stated ratio. The proportions are now frequently given as one part cement to a certain number of parts of the mixed aggregate, leaving the proportions of the fine to coarse to be determined otherwise, since small variations in the relation of these will not greatly affect the strength. Proportions in common use are:[55]
| Mortar for | |||
| Laying brick and stone masonry | from | 1 : 0 to 1 : 3 | |
| Filling joints in sewer pipe | 1 : 0 to 1 : 2 | ||
| Surfaces, floors, sidewalks, pavements | 1 : 0 to 1 : 2 | ||
| Waterproof linings | 1 : 0 to 1 : 2 | ||
| Cement, bricks, and blocks | 1 : 2½ to 1 : 4 | ||
| Concrete for | |||
| Gravity retaining walls, heavy foundations, structures needing mass more than strength | from | 1 : 3 : 6 to 1 : 4 : 8 | |
| Retaining walls, piers, sewers, pavements, foundations, and work requiring strength. (Compressive strength in 28 days, 1,500 to 2,000 pounds per square inch) | from | 1 : 2 : 4 to 1 : 3 : 6 | |
| Floors, beams, pavements, reinforced concrete, arch bridges, low-pressure tanks. (Compressive strength in 28 days, 2,000 to 3,000 pounds per square inch) | from | 1 : 1½ : 3 to 1 : 2½ : 4½ | |
| Reinforced concrete columns, conduit pipe, impervious concrete. (Compressive strength in 28 days, 3,000 to 4,000 pounds per square inch) | from | 1 : 1 : 2 to 1 : 1½ : 3 | |
The usual method of proportioning based on minimum voids is to assume that the particles of fine aggregate should fill the voids in the coarse aggregate and that the particles of the cement will fill the voids in the fine aggregate. About 5 to 10 per cent 182additional fine aggregate is generally added to push the particles of the coarse aggregate apart and thus give a more easily worked concrete and one freer from void spaces. This method is inaccurate, principally because of the effect of the moisture on the volume of the voids, and because the effect on the volume by the addition of water is unknown.
Trial mixtures may be made by carefully weighing each of the ingredients and then combining them to give a workable concrete. Using a given amount of cement, the proportion of ingredients, of the same total weight, which will give the least volume and therefore the densest concrete is adopted. When making the comparison the consistency of the mixes must be maintained constant.
Proportioning may be based on an ideal sieve analysis curve of the mixed cement and aggregates. The sieve analysis of the aggregates is made by screening a predetermined weight of the sample through a series of 5 to 8 sieves graded in size from slightly below the size of the largest particle to slightly above the smallest particle of the aggregate. The analysis is then expressed in the form of a curve. The ideal curve, according to Fuller,[56] is shown in Fig. 77.
Fig. 77.—Gravel Analysis.
The dotted line indicates the ideal combination of the coarse and fine portions. The heavy full line indicates the combination attained.
183The method of proportioning concrete by surface areas is based on the theory that the strength of a concrete depends on the amount of cement used in proportion to the surface area of the aggregates.[57]
The proportioning of concrete on the basis of a water-cement ratio and a fineness modulus was introduced by Prof. D. A. Abrams.[58] It is based on the theory that with fixed conditions of aggregate, moisture, etc., the ratio of water to cement determines the strength of the concrete.
A method of proportioning concrete by determining experimentally the voids in mortars made up with a given amount of sand and definite proportions of cement, and then calculating the voids in the concrete made up by adding a definite amount of coarse aggregate to the mixture, has been developed.[59] The method is based on the theory that the strength of the concrete is a known function of the ratio of the volume of cement to the volume of the voids in the concrete. The effect of varying the proportion of the ingredients, including an increase in the amount of mixing water beyond that required to give the densest mixture, may be found by the method, and a comparison may be made of results obtainable with different classes of fine and coarse aggregates.
Arbitrarily selected proportions, proportions based on voids, and proportions based on trial mixtures are usually satisfactory for small jobs where the amount of materials involved is not large. Where the saving in materials will permit, more accurate methods should be used. The methods can be studied more fully by reference to the original articles quoted in the footnotes, or to the following texts:
18494. Waterproofing Concrete.—The waterproofing of concrete is most satisfactorily done by making dense mixtures. In practice such substances as hydrated lime, clay, alum and soap, and proprietary compounds such as Ceresit, Medusa, etc., are frequently mixed with the concrete under the theory that these very fine substances will fill any remaining voids and render the concrete impervious. The specifications of the Joint Committee issued on June 4, 1921, are much briefer and contain less detailed instruction than those issued earlier.[60] The earlier instructions follow.
Many expedients have been resorted to for making concrete impervious to water. Experience shows, however, that when mortar or concrete is proportioned to obtain the greatest practicable density and is mixed to the proper consistency, the resulting mortar or concrete is impervious under moderate pressure.
On the other hand concrete of dry consistency is more or less pervious to water, and, though compounds of various kinds have been mixed with the concrete or applied as a wash to the surface, in an effort to offset this defect, these expedients have generally been disappointing, for the reason that many of these compounds have at best but temporary value, and in time lose their power of imparting impermeability to the concrete.
In the case of subways, long retaining walls, and reservoirs, provided the concrete itself is impervious, cracks may be so reduced, by horizontal and vertical reinforcement properly proportioned and located, that they will be too minute to permit leakage, or will be closed by infiltration of silt.
Asphaltic or coal tar preparations applied either as a mastic or as a coating on felt cloth or fabric, are used for waterproofing, and should be proof against injury by liquids or gases.
For retaining and similar walls in direct contact with the earth, the application of one or two coatings of hot coal tar pitch, following a painting with a thin wash of coal tar dissolved in benzol, to the thoroughly dried surface of concrete is an efficient method of preventing the penetration of moisture from the earth.
Tar paper and asphaltic compounds are not often used in sewer work as absolute imperviousness is seldom necessary.
95. Mixing and Placing Concrete.—Careful workmanship is desirable in the mixing and placing of concrete in sewers since 185water-tight construction is desired. Because of the difficulty of inspecting concrete in wet, dark and crowded excavations, and the careless habits of workmen experienced in concrete sewer construction, the highest class of concrete work cannot be expected. The situation is met by designing thick walls as shown in the sections illustrated in Fig. 22 and 23.
In the report of the Joint Committee on Concrete and Reinforced Concrete in Transactions of the American Society of Civil Engineers for 1917, on page 1101 the recommendation is made concerning the mixing and placing of concrete as follows:[61]
The mixing of concrete should be thorough and should continue until the mass is uniform in color and is homogeneous. As the maximum density and greatest strength of a given mixture depends largely on thorough and complete mixing, it is essential that this part of the work should receive special attention and care.
Inasmuch as it is difficult to determine by visual inspection whether the concrete is uniformly mixed, especially where aggregates having the color of cement are used, it is essential that the mixing should occupy a definite period of time. The minimum time will depend on whether the mixing is done by machine or hand.
(a) Measuring Ingredients: Methods of measurement of the various ingredients should be used which will secure at all times separate and uniform measurements of cement, fine aggregate, coarse aggregate and water.
(b) Machine Mixing: The mixing should be done in a batch machine mixer of a type which will insure the uniform distribution of the materials throughout the mass, and should continue for the minimum time of 1½ minutes after all the ingredients are assembled in the mixer. For mixers of 2 or more cubic yards capacity, the minimum time of mixing should be 2 minutes. Since the strength of the concrete is dependent on thorough mixing, a longer time than this minimum is preferable. It is desirable to have the mixer equipped with an attachment for automatically locking the discharging device so as to prevent the emptying of the mixer until all the materials have been mixed together for the minimum time required after they are assembled in the mixer. Means should be provided 186to prevent aggregates being added after the mixing has commenced. The mixer should also be equipped with water storage, and an automatic measuring device which can be locked if desired. It is also desirable to equip the mixer with a device recording the revolutions of the drum. The number of revolutions should be so regulated as to give at the periphery of the drum a uniform speed. About 200 feet per minute seems to be the best speed in the present state of the art.
(c) Hand Mixing: Hand mixing should be done on a water-tight platform and especial precautions taken after the water has been added, to turn all the ingredients together at least 6 times, and until the mass is homogeneous in appearance and color.
(d) Consistency: The materials should be mixed wet enough to produce a concrete of such a consistency as will flow sluggishly into the forms and about the metal reinforcement when used, and which at the same time can be conveyed from the mixer to the forms without separation of the coarse aggregate from the mortar. The quantity of water is of the greatest importance in securing concrete of maximum strength and density; too much water is as objectionable as too little.
(e) Retempering: The remixing of concrete and mortar that has partly reset should not be permitted.
(a) Methods: Concrete after the completion of the mixing should be conveyed rapidly to the place of final deposit; under no circumstances should concrete be used that has partly set.
Concrete should be deposited in such a manner as will permit the most thorough compacting such as can be obtained by working with a straight shovel or slicing tool kept moving up and down until all the ingredients are in their proper place. Special care should be exercised to prevent the formation of laitance; where laitance has formed it should be removed, since it lacks strength and prevents a proper bond in the concrete.
Care should be taken that the forms are substantial and thoroughly wetted (except in freezing weather) or oiled, and that the space to be occupied by the concrete is free from all debris. When the placing of concrete is suspended, all necessary grooves for joining future work should be made before the concrete has set.
When work is resumed concrete previously placed should be roughened, cleansed of foreign material and 187laitance, thoroughly wetted and then slushed with a mortar consisting of one part Portland cement and not more than 2 parts of fine aggregate.
The surfaces of concrete exposed to premature drying should be kept covered and wet for at least 7 days.
Where concrete is conveyed by spouting, the plant should be of such a size and design as to insure a practically continuous stream in the spout. The angle of the spout with the horizontal should be such as to allow the concrete to flow without separation of the ingredients; in general an angle of about 27 degrees or 1 vertical to 2 horizontal is good practice. The spout should be thoroughly flushed with water before and after each run. The delivery from the spout should be as close as possible from the point of deposit. Where the discharge must be intermittent, a hopper should be provided at the bottom. Spouting through a vertical pipe is satisfactory when the flow is continuous; when it is checked and discontinuous it is highly objectionable unless the flow is checked by baffle plates.
(b) Freezing Weather: Concrete should not be mixed or deposited at a freezing temperature, unless special precautions are taken to prevent the use of materials covered with ice crystals or containing frost, and to prevent the concrete from freezing before it has set and sufficiently hardened.
As the coarse aggregate forms the greater portion of the concrete, it is particularly important that this material be warmed to well above the freezing point.
The enclosing of a structure and the warming of a space inside the enclosure is recommended, but the use of salt to lower the freezing point is not recommended.
(c) Rubble Concrete: Where the concrete is to be deposited in massive work, its value may be improved and its cost materially reduced by the use of clean stones saturated with water, thoroughly embedded in and completely surrounded by concrete.
(d) Under Water: In placing concrete under water, it is essential to maintain still water at the place of deposit. With careful inspection the use of tremies, properly designed and operated, is a satisfactory method of placing concrete through water. The concrete should be mixed very wet (more so than is ordinarily permissible) so that it will flow readily through the tremie and into place with practically a level surface.
The coarse aggregate should be smaller than ordinarily used and never more than one inch in diameter. The use of gravel facilitates the mixing and assists the flow. The mouth of the tremie should be buried in the concrete 188so that it is at all times entirely sealed and the surrounding water prevented from forcing itself into the tremie. The concrete will then discharge without coming in contact with the water. The tremie should be suspended so that it can be lowered quickly when it is necessary either to choke off or to prevent too rapid flow. The lateral flow preferably should not be over 15 feet.
The flow should be continuous in order to produce a monolithic mass and to prevent the formation of laitance in the interior.
In case the flow is interrupted it is important that all laitance be removed before proceeding with the work.
In large structures it may be necessary to divide the mass of concrete into several small compartments or units to permit the continuous filling of each one. With proper care it is possible in this manner to obtain as good results under water as in the air.
A less desirable method is the use of the drop bottom bucket. Where this method is used the bottom of the bucket should be released when in contact with the surface of the place of deposit.
Concrete sewers should be constructed in longitudinal sections in a continuous operation without interruption for the entire invert, side walls, or arch. In pouring the concrete it should be kept level in the forms and should rise evenly on each side of the sewer. All rough places in the concrete should be finished smooth by brushing with a grout of neat cement and water and honeycombs should be filled with neat cement or a one-to-one mortar.
96. Sewer Brick.—The quality of brick used in sewers is seldom specified with the minute care that is taken in the specifications for concrete, iron, and certain other materials of construction, as inferior materials in brick are more easily detected. The specifications of the Baltimore Sewerage Commission for sewer brick are:
Sewer brick shall be whole, new bricks of the best
quality, of uniform standard size, with straight and parallel
edges and square corners: they shall be of compact texture,
burned hard and entirely through, free from injurious
cracks and flaws, tough and strong, and shall have a clear
ring when struck together. The sides, ends and faces of
all bricks shall be plane surfaces at right angles and parallel
to each other. Bricks of any one make shall not vary
more than 1
16th of an inch in thickness, nor more than
1891⅛th of an inch in width or length, from the average of the
samples submitted for approval.
The truest bricks shall be used in the face of the masonry and the exposed surfaces shall be true and smooth planes.
All bricks delivered for use shall be culled by the Contractor when required. No brick thrown out in the culling shall be used in any work done under any contract of the Sewerage Commission, except that the best of the culls may be used in manholes, above the level of the top of the sewer, if permitted by the Engineer.
The average amount of water absorbed by the bricks, after being thoroughly dried and then immersed for 24 hours, shall not exceed 6 per cent. All bricks shall be uniform in quality and percentage of absorption.
Whenever vitrified bricks are required in the invert of the sewer, they shall be smooth, hard, tough, and of such durability as will fit them for this use. They shall be of standard size, well and uniformly burned, thoroughly vitrified throughout, and free from warps, cracks, and other defects. The surfaces and edges shall be true and straight and the corners sharp and square. They shall be in every respect satisfactory to the Engineer, and in all respects equal to the sample in the office of the Engineer.
The remaining paragraphs of the specifications deal with the manner in which samples shall be submitted and the necessity for conformity between the samples submitted and the bricks used.
A common size of brick in use for sewers is 2¼ × 4 × 8¼ inches, but the variations in size are many. The bricks in use on any one job should be as near the same size as possible as the extra mortar filling necessary to make up for small brick detracts from the strength of the sewer. Small brick are undesirable as the cost of laying small and large bricks is the same, but the thickness of the finished sewer is less. Sewer brick should not absorb more than 10 to 20 per cent moisture by volume, in 24 hours; except the special paving brick used to prevent erosion at the invert which should absorb less than 5 per cent moisture.
97. Vitrified Sewer Block.—Blocks and bricks are manufactured in a manner similar to the manufacture of vitrified sewer pipe described in Art. 91. J. M. Egan describes two types of sewer blocks[62] as follows:
There are on the market two designs of blocks, one being a single-ring block and the other a double-ring block. 190The former has a ship-lap joint on the ends and a tongue-and-groove joint on the sides. In the double block the laps and joints are made in the construction of the sewer and the blocks are placed one on top of the other as in a two ring brick sewer. The blocks are hollow longitudinally with web braces. They are made for sewers from 30 inches to 108 inches in diameter and weigh from 40 to 120 pounds. They are 18 inches to 24 inches long, 9 to 15 inches wide, and 5 to 10 inches thick. Short lengths are made for convenience in construction and for use on sharp curves. Special blocks are made for connections and junctions.
A special block is also made for inverts, which has occasionally been used with brick sewers to avoid the difficulty of constructing with brick at this point. Such blocks are objectionable, as they leave a line of weakness along the longitudinal joint so formed. They are not used frequently in present day practice.
Vitrified blocks are generally cheaper than bricks, but they do not make so strong a structure. In some cases it is possible to lay vitrified block without the expense of high-priced bricklayers, thus saving on the cost of the sewer and obtaining a conduit with a smoother interior finish.
98. Cast Iron, Steel, and Wood.—Cast iron, steel, and wood pipe belong more to the field of waterworks than of sewerage, as they are not extensively used in the construction of sewers. There are, however, some special conditions under which these materials may be serviceable.
The iron used in cast-iron pipe for sewers, and in castings for manhole covers, inlet frames, etc., is seldom carefully or definitely specified. The standard specifications of the American Water Works Association with regard to the quality of iron for water pipe are:
All pipe and special castings shall be made of cast iron of good quality and of such character as shall make the metal of the castings strong, tough, and of even grain and soft enough to satisfactorily admit of drilling and cutting. The metal shall be made without the admixture of cinder iron or other inferior metal, and shall be remelted in a cupola or air furnace.
The specifications of the Sanitary District of Chicago for the quality of iron to be used in manhole covers, etc., are given on page 101.
191Although sewer pipes are not ordinarily subjected to internal pressure, cast-iron pipe for sewers should be as heavy or heavier than water pipe to resist the corrosive action of the sewage and the external stresses that are to be imposed upon it. The sizes and details of standard cast-iron pipe used for both water works and sewerage can be found in specification of the American and New England Water Works Associations.
The quality of steel used for reinforcing concrete should be carefully specified because of the possibility of the substitution of inferior material. The specifications for “Billet Steel Concrete Reinforcement Bars,” of the American Society for Testing Materials[63] are the standard for engineering practice, or the following specifications may be used:
All reinforcement shall be free from excessive rust, scale, paint, or coatings of any character which will tend to destroy the bond. The bars shall be rolled from new billets. No rerolled material will be accepted. All reinforcement bars shall develop an ultimate tensile strength of not less than 70,000 pounds per square inch. The test specimen shall bend cold around a pin, whose diameter is two times the thickness of the bar, 180 degrees without cracking on the outside portion. The reinforcing bars shall in all respects fulfill the requirements of the standard specifications of the American Society for Testing Materials for Billet Steel Concrete Reinforcing Bars serial designation A 15–14.
The steel used in pipe should be a soft, open-hearth steel with an ultimate tensile strength of 60,000 pounds per square inch, an elastic limit of 30,000 pounds per square inch, an elongation in 8 inches before fracture between 22 and 25 per cent, and a reduction in area before fracture of 50 per cent. The working strength of the steel is taken at 16,000 to 20,000 pounds per square inch in tension, 10,000 to 12,000 pounds per square inch in shear, and 20,000 to 24,000 pounds per square inch in bearing. A liberal allowance should be made for corrosion. The standard specifications for Open-Hearth Boiler Plate and Rivet Steel of the American Society for Testing Materials, Aug. 16, 1919, include “flange steel,” which is suitable for the manufacture of plates, and extra soft steel which is suitable for rivets.
Steel pipe should be coated both inside and out to protect it 192against corrosion. The various proprietary coatings are mainly coal tar pitches, or mixtures of coal tar pitch and asphalt. A coal tar pitch is a distillate of coal tar from which the naphtha has been removed and to which about one per cent of heavy linseed oil has been added. The coating is applied to the pipe at a temperature of about 300 degrees Fahrenheit, by dipping hot pipe in the heated coating material. The pipe should be carefully cleaned and all rust and scale removed before it is dipped. In some cases the steel is pickled before dipping. This consists in rolling the cold plates to a short radius to loosen the scale, heating them to about 125 degrees, and dipping them in a warm 5 per cent acid solution for about 3 minutes, and finally rinsing in a weakly basic wash water.
The woods commonly used for the manufacture of wood pipe are spruce, Oregon fir, Douglas fir, and California redwood. Wood pipe lines have been constructed of other kinds of lumber but only in more or less unusual conditions. The following has been abstracted from the specifications for California redwood given by J. F. Partridge.[64]
The staves shall be of clear, air-dried, California redwood, seasoned at least one year in the open air, and shall be free from knots (except small knots appearing on one face only), sap, dry rot, wind shakes, pitch, pitch seams, pitch pockets, or other defects which would materially impair their strength or durability. The sides of the staves shall be milled to conform to the inside and outside radii of the pipe; and the edges shall be beveled to true radial planes. The staves shall be milled from stock sizes of lumber, the net finished thickness of the stave, for the various diameters of pipe, shall be as given in Table 40. The ends shall be cut square and slotted to receive the metallic tongues which form the butt joints. The slots shall appear in the same position on each stave, and shall be cut to make a tight fit with the tongues in all directions. The staves shall have an average length of at least 15 ft. 6 in. and not more than one per cent shall have a length of less than 9 ft. 6 in. Staves shorter than 8 ft. will not be accepted.
The bands shall be spaced on the pipe with a factor of safety of at least four, and shall consist of round, mild steel rods, connected with malleable iron shoes. Either 193open-hearth or Bessemer steel may be used.... The ultimate strength shall be from 55,000 to 65,000 lb. per sq. in.
The original reference should be consulted for complete details and for specifications for various kinds of wood and classes of pipe. The discussion following the specifications is of value.
Machine-made wood pipe is superior to stave pipe put together in the field. It is seldom manufactured in sizes large enough for use in sewers, which results in the almost exclusive use of field constructed stave pipe. The steel bands used to hold the staves together should be coated similarly to steel plates. All lumber, except California redwood should receive a preservative coating of creosote[65] or other material. One of the best methods of preserving the wood is to keep it submerged and to maintain the pipe under internal pressure.
| TABLE 40 | |||||
|---|---|---|---|---|---|
| Details of Design for Continuous Stave Wood Pipe | |||||
| Classes A, B, and C | |||||
| (By J. F. Partridge, Trans. A. S. C. E., Vol. 82, page 461) | |||||
| Diameter, Inches | Stave Thickness, Standard, Inches | Stock Size of Lumber, Inches | Size of Band, Inches | Top Width of Staves, Standard, Inches | Spacing of Bands for 100 Feet Head |
| 12 | 1⅜ | 2 × 4 | ⅜ | 3.56 | 6.38 |
| 18 | 1–7 16 |
2 × 4 | 7 16 |
3.66 | 5.76 |
| 24 | 1–7 16 |
2 × 4 | 7 16 |
3.70 | 4.34 |
| 30 | 1½ | 2 × 6 | ½ | 5.48 | 4.53 |
| 36 | 1–9 16 |
2 × 6 | ½ | 5.62 | 3.77 |
| 42 | 1⅝ | 2 × 6 | ½ | 5.51 | 3.23 |
| 48 | 1⅝ | 2 × 6 | ½ or ⅝ | 5.60 | 2.84 or 4.41 |
| 60 | 2½ | 3 × 6 | ⅝ | 5.56 | 3.54 |
| 72 | 3½ | 4 × 6 | ⅝ or ¾ | 5.69 | 2.95 or 4.24 |
| 84 | 3½ | 4 × 6 | ¾ | 5.65 | 3.63 |
| 120 | 3⅝ | 4 × 6 | ¾ | 5.68 | 2.54 |
| 144 | 3⅝ | 4 × 6 | ¾ or ⅞ | 5.64 | 2.12 or 2.89 |
99. Stresses in Buried Pipe.—The stresses which sewer pipe should be designed to resist are: internal bursting pressure, for sewers flowing under pressure; stresses due to handling, for precast pipe; temperature stresses; and external loads. The latter is by far the most important and frequently is the only stress considered in design.
The thickness of a pipe to resist internal stress should be
The derivation of this expression is simple. The stresses due to handling cannot be computed and are cared for by a thickness of material dictated by experience. These thicknesses are given for vitrified clay and cement pipe in the specifications in the preceding chapter. Temperature stresses are not allowed for in the design of the pipe ring, but allowance must be made for them in long rigid pipe lines exposed to wide variations in temperature. Such a condition seldom exists in sewerage works.
The external forces are ordinarily the controlling features in the design of sewer rings. The simplest problems arise in the design of a circular pipe. If the external loading is uniform about the circumference of the pipe the internal stresses will all be compression. Almost all other forms of loading will cause bending moments resulting in tension and compression in different parts of the pipe. The maximum bending is caused by two concentrated loads diametrically opposed. As such a condition is extreme it is not cared for in ordinary design, but a loading between 195this condition and perfect distribution is assumed, as explained in Art. 103.
100. Design of Steel Pipe.—The stresses which may occur in steel sewer pipes are commonly caused by the internal or bursting pressure of the contained liquid. Occasionally a steel pipe may be used as a bridge or as a stressed member of a bridge, but steel pipes should not be used to withstand compression normal to the axis. In order to avoid such stresses the bursting tensile stresses should exceed the external compressive stresses. Such a condition in design requires that buried pipes shall never be emptied, a condition that cannot always be fulfilled. Precaution should be taken, by the installation of proper valves, to prevent the emptying of the pipe at so rapid a rate that a vacuum is created resulting in the collapse of the pipe.
Steel pipes are ordinarily made of plates curved to the proper diameter, the edges being held together by rivets. The design of the pipe consists in the determination of the thickness of the plate and the design of the riveted joint. The longitudinal joint and the thickness of the plate are first designed. The design of the joint consists in determining the diameter and pitch of the rivets and the thickness of the plate so that the full strength of the uncut metal shall be developed as nearly as possible under bearing, tearing, and shearing. This is done by making the efficiency of the joint the same under all stresses. The efficiency of the joint is the ratio of the strength of the joint under any kind of stress to the strength in tension of the unpunched plate. Properties of riveted joints are given in Table 41.
The diameter of the rivet holes should be computed as 1
16 of
an inch larger than the diameter of the rivets. Rivets and plates
should be designed for the nearest or next largest commercial
size, and a generous allowance for corrosion should be made in
determining the thickness of the plate. The distance from the
edge of the plate to the side of the rivet should not be less than
1½ times the diameter of the rivet. The unit-strengths of the
metal are given in the preceding chapter.
The transverse joint must be designed empirically as the stresses in it are indeterminate. The common form of joint for pipes less than 48 inches in diameter is a single-riveted lap joint, and for larger pipes or for pipes exposed to unusual stresses, a double riveted lap joint is used. The same size rivets are used as 196in the longitudinal joint. The maximum permissible distance between rivets should be used in the transverse joint.
| TABLE 41 | |||||
|---|---|---|---|---|---|
| Properties of Riveted Joints | |||||
| (Chicago Bridge and Iron Works) | |||||
| Type of Joint | Thickness Plate, Inch | Diameter of Rivet, Inch | Pitch, Inches | Efficiency of Joint, Per Cent | Thickness Butt Plate, Inches |
| Single-riveted lap | ¼ | ⅝ | 1.88 | 49 | |
| ¼ | ¾ | 2.25 | 50 | ||
| 5 16 |
⅞ | 2.63 | 50 | ||
| Double riveted lap | ¼ | ⅝ | 2.50 | 70 | |
| 5 16 |
¾ | 3.00 | 71 | ||
| ⅜ | ⅞ | 3.40 | 71 | ||
| Triple riveted lap | ¼ | ½ | 2.39 | 74 | |
| 5 16 |
⅝ | 2.96 | 74 | ||
| ⅜ | ¾ | 3.53 | 75 | ||
| 7 16 |
⅞ | 4.09 | 76 | ||
| Quadruple riveted lap | ⅜ | ⅝ | 3.20 | 77 | |
| 7 16 |
¾ | 3.90 | 78 | ||
| Double riveted butt | ½ | ⅞ | 3.62 | 72 | ⅜ |
| 9 16 |
⅞ | 3.62 | 72 | ⅜ | |
| ⅝ | ⅞ | 3.62 | 72 | ⅜ | |
| 11 16 |
⅞ | 3.62 | 72 | 7 16 |
|
| ¾ | 1 | 4.12 | 73 | 7 16 |
|
| ⅞ | 1 | 3.82 | 71 | ½ | |
| 1 | 1 | 3.48 | 68 | 9 16 |
|
| Triple riveted butt | ⅝ | ⅞ | 4.94 | 80 | ½ |
| ¾ | 1 | 5.62 | 80 | 9 16 |
|
| ⅞ | 1 | 5.16 | 78 | 9 16 |
|
| 1 | 1 | 4.66 | 76 | 9 16 |
|
| Quadruple riveted butt | ¾ | 1 | 7.13 | 84 | ¾ |
| ⅞ | 1 | 6.51 | 83 | 11 16 |
|
| 1 | 1 | 5.84 | 81 | ⅝ | |
197Pipes used as compression members of a bridge are stiffened by riveting standard rolled steel sections longitudinally on the pipe.
Fig. 78.—Lock Bar Pipe.
Lock Bar Pipe is a steel pipe with a special form of joint made by the East Jersey Pipe Corporation. It is arranged as shown in Fig. 78 and has the advantage of developing the full strength of the plate. It is equivalent to a joint with 100 per cent efficiency, which permits the use of thinner plates.
101. Design of Wood Stave Pipe.—In the design of wood stave pipe[66] the entire bursting pressure is taken up by steel bands wrapped around the outside of wood staves which make up the shell of the pipe. The pipe is not designed to resist external loads except those which may be overcome by the internal pressure in the pipe. The thickness of the staves is fixed by experience. The sizes of staves and bands recommended by J. F. Partridge[67] are given in Table 40. The size of the steel bands can be determined from the expression;
The preceding expression can be derived easily by the application of the laws of mechanics, and from it the 198expression for the distance between bands follows logically. It is,
Fig. 79.—Shoe for Wood Stave Pipe.
Transverse joints between staves are closed by inserting metal strips between them, or by shaping the edges irregularly so that they fit closely together with an irregular joint. Transverse joints between all staves at any one point are avoided by splitting the joints between staves. Longitudinal joints between staves are usually made smooth and are closed by steel bands which are drawn tight about the pipe by inserting the ends in coupling shoes as shown in Fig. 79.
Fig. 80.—B in Formula W = CwB2
102. External Loads on Buried Pipe.—Prof. Anston Marston and H. C. Anderson published[68] the results of a series of experiments on the loads on buried pipes which are of extreme value in the design of sewer pipe. The load on the pipe is given by the empirical expression W = CwB2, in which w is the weight of the backfilling material in pounds per cubic foot, B is the width of the trench in feet at the elevation of the end of a radius making an angle of 45 degrees upwards with the horizontal diameter of the pipe as illustrated in Fig. 80, and C is a coefficient dependent on the character of the backfill and the ratio of the 199width to the depth of the trench. Values of C are given in Table 42. The weights of various classes of backfilling are given in Table 43.
| TABLE 42 | ||||
|---|---|---|---|---|
| Approximate Safe Working Values of C in the Expression W = CwB2 | ||||
| From Bulletin No. 31 of the Engineering Experiment Station, Iowa State College of Agriculture. | ||||
| Ratio of Depth to Width | Approximate Values of C | |||
| Damp Top Soil and Dry and Wet Sand | Saturated Top Soil | Damp Yellow Clay | Saturated Yellow Clay | |
| 0.5 | 0.46 | 0.47 | 0.47 | 0.48 |
| 1.0 | 0.35 | 0.86 | 0.88 | 0.90 |
| 1.6 | 1.16 | 1.21 | 1.25 | 1.27 |
| 3.0 | 1.47 | 1.51 | 1.56 | 1.62 |
| 2.6 | 1.70 | 1.77 | 1.83 | 1.91 |
| 3.0 | 1.90 | 1.99 | 2.08 | 2.19 |
| 3.6 | 2.08 | 2.18 | 2.28 | 2.43 |
| 4.0 | 2.22 | 2.35 | 2.47 | 2.65 |
| 4.6 | 2.34 | 2.49 | 2.63 | 2.85 |
| 6.0 | 2.45 | 2.61 | 2.78 | 3.02 |
| 6.5 | 2.54 | 2.72 | 2.90 | 3.18 |
| 6.0 | 2.61 | 2.81 | 3.01 | 3.32 |
| 6.6 | 2.68 | 2.89 | 3.11 | 3.44 |
| 7.0 | 2.73 | 2.95 | 3.19 | 3.55 |
| 7.5 | 2.78 | 3.01 | 3.27 | 3.66 |
| 8.0 | 2.82 | 3.06 | 3.33 | 3.74 |
| 8.5 | 2.85 | 3.10 | 3.39 | 3.82 |
| 9.0 | 2.88 | 3.14 | 3.44 | 3.89 |
| 9.5 | 2.90 | 3.18 | 3.48 | 3.96 |
| 10.0 | 2.92 | 3.20 | 3.52 | 4.01 |
| 11.0 | 2.95 | 3.25 | 3.58 | 4.11 |
| 12.0 | 2.97 | 3.28 | 3.63 | 4.19 |
| 13.0 | 2.99 | 3.31 | 3.67 | 4.25 |
| 14.0 | 3.00 | 3.33 | 3.70 | 4.30 |
| 15.0 | 3.01 | 3.34 | 3.72 | 4.34 |
| ∞ | 3.03 | 3.38 | 3.79 | 4.50 |
| TABLE 43 | |
|---|---|
| Approximate Weights of Ditch Filling Material to be Used in the Expression W = CwB2[69] | |
| Ditch Filling | Pounds per Cubic Foot |
| Partly compacted top soil (damp) | 90 |
| Saturated top soil | 110 |
| Partly compacted damp yellow clay | 100 |
| Saturated yellow clay | 130 |
| Dry sand | 100 |
| Wet sand | 120 |
200Where surface loads are to be carried on the sewer trench the proper proportion of the load to be carried by the sewer is determined by the expression Lp = CL, in which Lp is the equivalent backfill load per unit length of the trench, L is the surface load per unit length of the trench, and C is a coefficient in which allowance is made for the character of the backfilling, the ratio of depth to width of trench, and the character of the load, whether long or short. A long load is a load extending along the length of the trench such as a pile of building material. A short load is one extending across the trench and for only a short distance along it, such as that caused by a street car or road roller crossing the trench. Values of C are given in Table 44 for long loads, and in Table 45 for short loads. Values of long and short loads occasionally met in practice are given in Tables 46 and 47 respectively.
| TABLE 44 | ||||
|---|---|---|---|---|
| Ratio of Load on Pipe to Long Load on Trench[70] | ||||
| Ratio of Depth to Width | Sand and Damp Top Soil | Saturated Top Soil | Damp Yellow Clay | Saturated Yellow Clay |
| 0.0 | 1.00 | 1.00 | 1.00 | 1.00 |
| 0.5 | 0.85 | 0.86 | 0.88 | 0.89 |
| 1.0 | 0.72 | 0.75 | 0.77 | 0.80 |
| 1.5 | 0.61 | 0.64 | 0.67 | 0.72 |
| 2.0 | 0.52 | 0.53 | 0.59 | 0.64 |
| 2.5 | 0.44 | 0.48 | 0.52 | 0.57 |
| 3.0 | 0.37 | 0.41 | 0.45 | 0.51 |
| 4.0 | 0.27 | 0.31 | 0.35 | 0.41 |
| 5.0 | 0.19 | 0.23 | 0.27 | 0.33 |
| 6.0 | 0.14 | 0.17 | 0.20 | 0.26 |
| 8.0 | 0.07 | 0.09 | 0.12 | 0.17 |
| 10.0 | 0.04 | 0.05 | 0.07 | 0.11 |
For example, let it be desired to determine the load on a 72–inch concrete sewer with a 9–inch shell under the following conditions: depth of backfill over the top of the pipe, 15 feet; character of backfill, saturated yellow clay; superimposed load, pile of building brick 6 feet high. The ratio of the depth of backfill to the width of the trench is 15 ÷ 9 or 1.67. The coefficient in the expression CwB2 is 1.39, from Table 42. The weight of saturated yellow clay is 130 pounds per cubic foot, from Table 43. Therefore the load per foot length of the sewer due to the backfill is:
| 201 | ||||||||
| TABLE 45 | ||||||||
|---|---|---|---|---|---|---|---|---|
| Ratio of Load on Pipe to Short Load on Trench[71] | ||||||||
| Ratio of Height to Width of Trench | Sand and Damp Top Soil | Saturated Top Soil | Damp Yellow Clay | Saturated Yellow Clay | ||||
| Length of Load Equal to | ||||||||
| Width of Trench | ⅒ Width of Trench | Width of Trench | ⅒ Width of Trench | Width of Trench | ⅒ Width of Trench | Width of Trench | ⅒ Width of Trench | |
| 0.0 | 1.00 | 1.00 | 1.00 | 1.00 | 1.00 | 1.00 | 1.00 | 1.00 |
| 0.5 | 0.77 | 0.12 | 0.78 | 0.13 | 0.79 | 0.13 | 0.81 | 0.13 |
| 1.0 | 0.59 | 0.02 | 0.61 | 0.02 | 0.63 | 0.02 | 0.66 | 0.02 |
| 1.5 | 0.46 | 0.48 | 0.51 | 0.54 | ||||
| 2.0 | 0.35 | 0.38 | 0.40 | 0.44 | ||||
| 2.5 | 0.27 | 0.29 | 0.32 | 0.35 | ||||
| 3.0 | 0.21 | 0.23 | 0.25 | 0.29 | ||||
| 4.0 | 0 12 | 0.12 | 0.16 | 0.19 | ||||
| 5.0 | 0.07 | 0.09 | 0.10 | 0.13 | ||||
| 6.0 | 0.04 | 0.05 | 0.06 | 0.08 | ||||
| 8.0 | 0.02 | 0.02 | 0.03 | 0.04 | ||||
| 10.0 | 0.01 | 0.01 | 0.01 | 0.02 | ||||
| TABLE 46 | |
|---|---|
| Weights or Common Building Material When Piled for Storage. Pounds per Cubic Foot | |
| Brick | 120 |
| Cement | 90 |
| Sand | 90 |
| Broken stone | 150 |
| Lumber | 35 |
| Granite paving | 160 |
| Coal | 50 |
| Pig iron | 400 |
The pressure of the pile of brick per square foot of trench
area is, from Table 46, 120 × 6 = 720 pounds per square
foot. The value of C from Table 44, is about 0.70. Therefore
Lp is 0.7 × 9 × 720 = 4536 pounds. The equivalent
depth of backfill weighing 130 pounds per cubic foot is
4536
130 × 9 = 3.88 foot. The total equivalent depth of backfill
202is therefore 3.88 + 15 = 18.88 feet. The ratio of depth
to width is 18.88
9 = 2.98. The coefficient C in the expression
W = CwB2 is 2.17. The total load per foot length of
sewer is therefore W = 2.17 × 130 × 81 = 22,800 pounds.
| TABLE 47 | |
|---|---|
| Weights of Short Loads on Sewer Trenches | |
| (Adapted from Specifications of the American Bridge Company for Bridges) | |
| Street railways, heavy | A load of 24 tons on 2 axles on 10 foot centers. |
| Street railways, light | A load of 18 tons on 2 axles on 10 foot centers. |
| For city streets, heavy traffic | A load of 24 tons on 2 axles 10 feet apart and 5 foot gage. |
| For city streets, moderate traffic | A load of 12 tons on 2 axles 10 feet apart and 5 foot gage. |
| For city streets, light traffic or country roads | A load of 6 tons on 2 axles 10 feet apart and 5 foot gage. |
| Road rollers | Total weight 30,000 pounds. Weight on front wheel, 12,000 pounds, and on each of two rear wheels, 9,000 pounds. Width of front wheel, 4 feet and of each of two rear wheels 20 inches. Distance between front and rear axles 11 feet. Gage of rear wheels, 5 feet, c. to c. |
103. Stresses in Circular Ring—In Fig. 81a the loads shown indicate the distribution ordinarily assumed in sewer design, the forces being uniformly distributed across the diameter. To find the bending moment in the pipe caused by this loading, let ab in Fig. 81b represent a section of a pipe loaded with equally distributed horizontal and vertical forces. Then the vertical component on a strip of differential length ds is wds cos Θ and the horizontal component is wds sin Θ and resolving, the resultant normal to the surface is wds, in which w is the intensity per unit length of the horizontal and vertical forces and Θ is the angle which the tangent to ds makes with the horizontal. Thus the loading of the nature shown in Fig. 81b is equivalent to a loading of equally distributed normal forces which give no moment in the ring.
Fig. 81.—Distribution of Stresses on Buried Pipe.
Considering a ring subjected to vertical forces only, the
moments will be as shown in Fig. 81c and if loaded with horizontal
forces only, the moments will be as shown in Fig. 81d. Because
of the symmetry of the figure, moment (1) equals moment (4)
but is opposite in direction and moment (2) equals moment (3)
but is opposite in direction. When the horizontal and vertical
forces are combined on the same ring as in Fig. 81b these moments
cancel each other as has been proven. Therefore moment (1)
equals moment (2) and moment (3) equals moment (4). Then
in Fig. 81e, Ma = Mb. Now ∑M = O for conditions of equilibrium,
therefore Ma + Mb + (W
2)(d
4) = O and solving Ma = Wd
16. This
moment occurs at the ends of the horizontal and vertical diameters
and causes tension on the inside of the pipe at the top and on the
outside at the ends of the horizontal diameter. There will also
be compression at each end of the horizontal diameter equal to
one-half of the total load on the pipe. If the material of the
pipe is homogeneous, the maximum fiber stress f can be found
through the expression f = My
I ± P
A in which M is the bending
moment, y is the distance from the neutral axis to the extreme
fiber of a cross-section of the shell of the pipe of unit length, I is the
moment of inertia of this cross-section about its neutral axis, P is
one-half the total load on the pipe, and A is the area of the cross-section.
For reinforced concrete, the standard formulas should
be used with this expression for M. The stresses in a circular
ring subjected to other distributions of loads are shown in Table
48. An exhaustive study of the stresses in circular rings was
published by Prof. A. N. Talbot in Bulletin No. 22 of the Engineering
Experiment Station at the University of Illinois, 1908.
| 204 | |||||||
| TABLE 48 | |||||||
|---|---|---|---|---|---|---|---|
| Maximum Stress in Flexible Rings Due to Different Loadings | |||||||
| (From Marston) | |||||||
| Symmetrical Vertical Loadings | Moment at Crown of Sewer | Moment at End of Horizontal Diameter | Compressive Thrust at Crown | Compressive Thrust at End of Horizontal Diameter | Shear at Crown | Shear at End of Horizontal Diameter | |
| Character | Width | ||||||
| Concentrated | 0° | + .318RW 12 |
- .182RW 12 |
0.000 | + .500W 12 |
0.500W 12 |
0.000 |
| Uniform | 60° | + .207RW 12 |
- .168RW 12 |
0.000 | + .500W 12 |
0.000W 12 |
0.000 |
| Uniform | 90° | + .169RW 12 |
- .154RW 12 |
0.000 | + .500W 12 |
0.000W 12 |
0.000 |
| Uniform | 180° | + .125RW 12 |
- .125RW 12 |
0.000 | + .500W 12 |
0.000W 12 |
0.000 |
| R = the radius of the pipe, W = total weight of ditch filling and superimposed load plus ⅝ of the weight of the pipe itself (usually neglected), expressed in pounds per foot length of pipe. Moments are inch-pounds per inch length of pipe. Shears and thrusts are in pounds per inch length of pipe. | |||||||
104. Analysis of Sewer Arches.—The preceding method for the determination of the stresses in a sewer ring has referred only to a circular pipe uniformly loaded. Other methods must be used if the pipe is not circular or the load is not uniformly distributed. The simplest method, is the static or so-called vouissoir method. In this method the arch is assumed to be fixed at both ends, presumably at the springing line or line of intersection between the inside face of the arch and the abutment, and it is so designed that the resultant of all the forces acting on any section shall lie within the middle third of that section.
Fig. 82.—Voussoir Arch Analysis.
Fig. 83.—Force Polygon for Voussoir Arch Analysis.
To design an unreinforced sewer arch by the vouissoir method, a desired arch is drawn to scale in apparently good proportions for the loadings anticipated. The arch is then divided into any number of sections of equal or approximately equal length called vouissoirs, and the line of action of the resultant load, including the weight of the vouissoir is drawn above each vouissoir as shown in Fig. 82. The forces are assumed to act as shown in the figure. In symmetrically loaded sewer arches there is no vertical reaction at the crown. The resultant R is assumed to act at the lower middle third of the skewback, which is the inclined joint between the arch and the abutment. The upper horizontal force H is assumed to act at the upper middle third of the middle or crown section. The magnitude of H is computed by equating the sum of the moments of all forces about the point of application of R at the skewback to zero, and solving. The force polygon is then drawn as shown in Fig. 83, and the equilibrium polygon is completed in Fig. 82 with its rays parallel to the corresponding strings drawn from the end of H as origin in Fig. 83. If the equilibrium polygon line, called the resistance line, lies wholly within the middle third of each vouissoir, the arch is satisfactory to support the assumed load without reinforcement. If any portion of the resistance line lies outside of the middle third, an attempt should be made to find a resistance line which lies wholly within the middle third. The true resistance line is that which deviates the least from the neutral axis of the arch. To approximate more nearly the true resistance line find two points at which the resistance line already drawn deviates the most from the neutral axis of the arch. Select points M and N on these joints, M being nearer the crown than N. Then let W1 and W2 be the sum of all the loads between the crown and M and N respectively, y represent the vertical distance from the crown to N, and y′ represent the vertical distance between M and N, and x1 and x2 represent the horizontal distance from W1 and W2 to M and N respectively. Then the horizontal thrust, H, and a, the distance from the crown to the point of application of H, are,
206A resistance line should be drawn with this new horizontal thrust. If no resistance line can be found lying wholly within the middle third, new sections should be designed until a resistance line can be drawn lying wholly within the middle third—unless the arch is to be reinforced. A number of satisfactory arches should be designed and the easiest one to build should be selected. This method is limited in its application to sewer arches with rigid side walls and it cannot be extended to include the invert. Although an approximate method it is accurate within less than 10 per cent of the true stresses and is usually quite close.
Fig. 84.—Method for Dividing Arch into Proportion I
S.
The elastic method for the design of arches locates the true
line of resistance without approximations and is more accurate
though not so simple to apply as the static or vouissoir method.
In this method a desired form of arch is drawn as in the static
method and subdivided into vouissoirs so that the distance S
along the neutral axis between joints is such that the ratio I
S
shall be the same for all vouissoirs. I is the average of the
moments of inertia of the surfaces of the two limiting joints about
the neutral axis. If the thickness of the arch is constant the
distance between joints will be the same. The method for dividing
the arch into sections such that the ratio I
S shall be a constant[73]
is as follows: divide the half arch axis into any number of
equal parts; measure the radial depth at each point of division;
lay off the length of the arch axis to scale on a straight line;
divide this line into the same number of equal parts as the half
arch, as shown in Fig. 84; at each point erect a perpendicular
207equal in length by scale to the moment of inertia at the corresponding
point on the arch section; draw a smooth curve through the
tops of these lines; draw a line ab at any slope from the center of
the original straight line to the curve, and then a line bc back to
the straight line to form an isosceles triangle abc; continue forming
these triangles in a similar manner thus dividing the original
straight line in the required ratio. The distance between joints
is represented by the bases of the triangles. By construction the
altitude of the triangle represents the average moment of inertia
between the two limiting joints. The base of each isosceles
triangle is S, and I
S = ½ tan α in which α is the base angle of all
the isosceles triangles.
Fig. 85.—Elastic Arch Analysis.
The following steps in the procedure are taken from the second edition of the American Civil Engineers Pocket Book, p. 634:
In Fig. 85 let the middle points of the joints be marked 1, 2, 3, etc. and the coordinates x and y from the crown be found for each by computation or measurement. For a load W placed at one of these points, let z denote the distance from it, toward the nearest skewback, to another middle point. Let ∑zx be the sum of the products of all the values of z by the corresponding x, and ∑zy be the sum of all the products of z by the corresponding y; that is, each z in the last two summations is multiplied by the x or y of the point back of W which corresponds to z.
For a single load W on the left semi-arch of Fig. 85 the following formulas are deduced from the elastic theory, 208n being the number of parts into which the semi-arch is divided.
For symmetrical loading such as W on the left and W on the right the horizontal thrust and crown moment due to both loads are double those found by the above formulas, while the crown shear V0 is zero. For several loads unsymmetrically placed the formulas are to be applied to each in succession and the results added algebraically, the value of V0 being taken as negative for the left semi-arch and positive for the right semi-arch.
For any joint whose middle point is at a distance x from the crown
where ∑W is the sum of all the loads between the joint and the crown and ∑Wz is the sum of the moments of those loads with respect to the middle of the joint. The components of the resultant thrust normal and parallel to the joints are,
in which θ is the angle which the plane of the joint makes with the vertical.
The distances from the neutral axis to the resistance line are,
The resistance line should be located as in the vouissoir method and if not within the middle third a new design should be studied.
209105. Reinforced Concrete Sewer Design.—The method to be followed in the design of reinforced concrete arches is similar except that the moment of inertia should include both the concrete and the steel, that is,
in which I is the moment of inertia to be employed, Ic is the moment of inertia of the concrete, Is is the moment of inertia of the steel, and n is the ratio of their moduli of elasticity, generally taken as 15. All of the moments of inertia are referred to the neutral axis of the beam. The reinforcement called for in precast circular pipes is given in Table 39. Sewers cast in place are ordinarily designed to avoid reinforcement, except where the depth of cover is small and the sewer may be subjected to superimposed loads.
Concrete sewers are sometimes reinforced longitudinally, with expansion joints from 30 to 50 feet apart. This reinforcement is to reduce the size of expansion and contraction cracks by distributing them over the length of a section. The pipe is divided into sections to concentrate motion due to expansion or contraction at definite points where it can be cared for.
The amount of longitudinal reinforcement to be used is a matter of judgment. It varies in practice from 0.1 to 0.4 per cent of the area of the section. Since the coefficients of expansion of concrete and of steel are nearly the same, movements of the structure are as important as the stresses due to changes in temperature.
Because of the uncertain and difficult conditions under which concrete sewers are frequently constructed it is advisable to specify the best grade of concrete and not to stress the concrete over 450 pounds per square inch in compression, with no allowable stress in tension. The concrete covering of reinforcing steel should be thicker than is ordinarily used for concrete building design, because of the possibility of poor concrete allowing the sewage to gain access to the steel, resulting in more rapid deterioration than would be caused by exposure to the atmosphere. A minimum covering of about 2 inches is advisable, except in very thin sections not in contact with the sewage. A minimum thickness of concrete of about 9 inches is frequently used in design, although crown thicknesses of 4½ inches have been used with 210success. Greater thicknesses should be used near the surface, particularly in locations subjected to heavy or moving loads.
Brick linings are often provided for the invert where moderately high velocities of about 10 feet per second when flowing full are to be expected. For velocities in the neighborhood of 20 feet per second the invert should be lined with the best quality vitrified brick. Although concrete may erode no faster than brick under the same conditions, brick linings are more easily replaced and at a smaller expense.
106. Importance of the Subject.—Sewers may be constructed by day labor or by contract. Under the day labor plan a city official or commission is charged with the purchase of material, the hiring and firing of employees, and the management of the work. Under the contract system a private individual or company contracts to supply all the material and labor necessary for the completion of the work.
Under the day labor plan all persons engaged are “working for the City.” There is not the same sense of individual responsibility, the same incentive to economize, the same feeling of loyalty that is inspired by work under the personality of a contractor. Under either the day labor or contract plan unscrupulous politics are likely to enter into the relations of the employees of the city and the city officials or between the contractor and the city officials. Neither the day labor nor the contract plan offer a sure cure for unscrupulous political misdealings. Under the contract plan the contractor is led to keep his bid as low as possible, realizing the competition of other bidders, and during construction he will obtain greater efficiency from his labor because of their realization of the different conditions under which they are working. In some states and cities it is illegal for the municipality to do sewer construction except under the contract method.
The contract method is therefore used in the majority of cases, and it is to the interest of the engineer that he be acquainted with the essentials of contracts and specifications necessary for the proper prosecution of sewer construction.
107. Scope of Subject.—The making of a contract is one of the most common episodes of every day life. The contract may be an informal verbal agreement to meet at a certain place at a certain time, or it may be a formal document hedged about by confusing legal phraseology and bearing varieties of penalties and 212dire consequences in the event of its breach. The purpose of this chapter is to explain only those general features of an engineering contract which have particular bearing upon sewerage construction. Only the most essential points can be touched in the limited space available to this subject, it being presumed that the engineer is previously grounded in the principles of business law.[74]
108. Types of Contracts.—Contracts are known as lump sum, cost-plus, unit-price, and by other titles indicating the method of payment.
A lump sum contract is one in which a stated amount is fixed upon, before the execution of the contract, to be paid for all the work to be done and materials to be furnished under the contract. Such an arrangement is not advisable for a sewer contract, as the cautious contractor will bid high enough to protect himself in the event of any probable emergency. The principal must therefore pay whether the emergency or unforeseen difficulty is met or not. The advantage of this type of payment is that the principal knows exactly the cost of the work to him before construction is commenced.
Cost-plus contracts are those in which the cost of the work to the contractor is to be paid by the principal, plus, (a) a fixed sum of money, (b) a percentage of the cost of the work, (c) a percentage of the cost of the work but with a fixed limit, (d) a percentage of the difference between the cost of the work and some fixed sum, or other variations of this principle. Such contracts have the advantage that the principal assumes all the risk in construction and therefore pays for only those contingencies which actually arise. Except for the last named form, they have the disadvantage that there is little or no incentive for the contractor to keep the cost of the work down. They are most successful where the contractor can be selected by the principal, but where 213it is necessary to let contracts to the lowest bidder, the “cost-plus” contract is not easily managed. In most states a municipality cannot make a cost-plus contract.
A unit-price contract is one in which the amount to be paid is fixed in proportion to the amount of work done or materials supplied. This type of contract is the most suitable for sewer construction for a municipality where the contract must be let to the lowest bidder. The contractor is protected in the event of many unforeseen emergencies and the principal is protected against a raise in bids to cover such emergencies and against increase in the cost of the work in order to increase the profits under a “cost-plus” contract.
It is sometimes desirable for the principal to furnish a portion of the materials, the bidders being notified beforehand that this material will be furnished. In this manner the quality of material is assured, contractors with the necessary skill but small capital may be attracted to bid, and uncertainties in the procuring of materials is eliminated.
109. The Agreement.—A contract is an agreement between two or more interested parties to do a certain thing. A contract for the construction of a sewer is an agreement between a municipality or individual desiring sewerage facilities and a company or individual engaged in the construction of sewers. The latter promises to construct a sewer in return for which the former promises to pay a certain amount of money.
The various portions of the agreement which are bound together as the complete contract are: I. The Advertisement, II. Information and Instructions for Bidders, III. Proposal, IV. General Specifications, V. Technical Specifications, VI. Special Specifications, VII. Contract, VIII. Bond, and IX. Contract Drawings. These should be fastened together in pamphlet form and constitute the complete instrument called the contract. No binding contract and specifications can be drawn upon logical deductions alone as legal precedent and tried methods must be followed to insure success. To draw up an original contract requires the combined knowledge of an engineer and a lawyer. The engineer of to-day writes his specifications by copying copiously from specifications used on work which has been completed successfully. In order that selections may be made with judgment and discrimination some examples have 214been selected from existing published specifications and contracts.
110. The Advertisement.—This should contain: (1) A heading indicating the type of work, (2) A statement as to when, where and how bids will be received and opened, (3) A brief description of the character and amount of work to be done, (4) The method of payment, (5) The conditions under which further information can be obtained, (6) A statement as to the amount of money which must be deposited with the bid, and (7) Any other pertinent facts concerning the work.[75] An example of an advertisement follows;
Bids for the construction of the Turkey Creek Sewer, two sewage pumping stations to be used in connection therewith, and certain laterals and extensions of existing sewers thereto, for Kansas City, Missouri, will be received up to 2 p.m. August 19, 1919, at the office of the Board of Public Works, City Hall, Kansas City, Missouri.
The main sewer will be about one and one-fifth miles long, and the laterals and extensions about three and one-half miles: the main sewer will be constructed of reinforced concrete, the laterals and extensions will consist of concrete, segment blocks, and clay pipe.
This work is estimated to cost from $1,500,000 to $1,750,000. Payment for the work will be made in four year special tax bills, bearing 7 per cent interest, payable one-fourth each year. Time 600 working days, barring strikes, bad weather, etc.
Bidders are required to deposit $15,000 in cash or a certified check with bid, to insure signing of contract when let. Same to be returned on execution of the contract or rejection of bid.
Complete plans and specifications for the work may be had and all information obtained by seeing or writing to A. D. Ludlow, Engineer of Sewers, City Hall, Kansas City, Missouri. Twenty-five ($25.00) Dollars will be required to be deposited for a set of the plans, but $20.00 thereof will be refunded upon return of the plans in good condition.
There are usually legal restrictions which require that the advertisement be inserted a certain number of times in specified newspapers or other advertising mediums before the opening of bids. If the contract is of sufficient size to attract outside contractors, 215the advertisement should be inserted in engineering and contracting journals of wide circulation. Although the advertisement appears separately from the other portions of the contract, a copy is usually bound in as the first page of the pamphlet containing the contract and specifications and is made an integral part thereof.
111. Information and Instructions for Bidders.—This is somewhat on the order of an introduction to the pamphlet in which the specifications, contract, and contract drawings are published. As examples of the type of information and instructions given to prospective bidders the abstracts below have been taken from the “Contract, Specifications, Bond, and Proposal for the North Shore Sanitary Intercepting Sewer” by the Sanitary District of Chicago. The information and instructions to bidders can be divided into the following sections: 1st. Examination of Site, 2nd. Character and Quantity of Work, 3rd. Qualification for Bidding, 4th. Instructions for Making out Proposal, 5th. Certified Check, and 6th. Rejection of Bids.
Requirements for Bidding and Instructions To Bidders
Bidders are required to submit their bids upon the following express conditions:
Bidders must carefully examine the entire sites of the work and the adjacent premises, and the various means of approach to the sites, and shall make all necessary investigations to inform themselves thoroughly as to the facilities for delivering and handling materials at the sites and to inform themselves thoroughly as to all the difficulties that may be involved in the complete execution of all work under the attached contract in accordance with the specifications hereto attached.
Bidders are also required to examine all maps, plans, and data mentioned in the specifications, contract or proposal as being on file in the office of the Chief Engineer, for examination by bidders. No plea of ignorance of conditions that exist or that may hereafter exist or of conditions or difficulties that may be encountered in the execution of the work under this contract, as the result of a failure to make the necessary examinations and investigations, will be accepted as an excuse for any failure or omission on the part of the Contractor to fulfill in every detail all of the requirements of said contract, specifications 216and plans, or will be accepted as a basis for any claims whatsoever for extra compensation. Upon application all information in the possession of the Chief Engineer will be shown to bidders, but the correctness of such information will not be guaranteed by the Sanitary District.
The following schedule of quantities, although stated with as much accuracy as is possible in advance, is approximate only, and is assumed solely for the purpose of comparing bids.
Then follows an itemized schedule of the quantity of work to be done after which comes the following:
Bidders must determine for themselves the quantities of work that will be required, by such means as they may prefer, and shall assume all risks as to variations in the quantities of the different classes of work actually furnished under the contract. Bidders shall not at any time after the submission of this proposal, dispute or complain of the aforesaid schedules of quantities or assert that there was any misunderstanding in regard to the amount or the character of the work to be done, and shall not make any claims for damages or for loss of profits because of a difference between the quantities of the various classes of work assumed for comparison of bids and the quantities of work actually performed.
Proposals that contain any omissions, erasures, or alterations, conditions or items not called for in the contract and plans attached hereto, or that contain irregularities of any kind, will be rejected as informal.
Bids manifestly unbalanced will not be considered in awarding the contract.[76]
No bid will be accepted unless the party making it shall furnish evidence satisfactory to the Board of Trustees of the Sanitary District of Chicago of his experience and familiarity with work of the character specified and of his financial ability to successfully and properly prosecute the proposed work to completion within the specified time.
Each bid shall be accompanied by a certified check, or cash, to the amount of ten (10) per cent of the total amount of said bid figured on the quantities given herewith, 217the lowest alternative total being allowed. Said amounts deposited with bids, shall be held until all of the bids have been canvassed and the contract awarded and signed. The return of said check or cash to the bidder to whom the contract for said work is awarded will be conditioned upon his appearing and executing a contract for the work so awarded and giving bond satisfactory to said Board of Trustees, for the fulfillment of each contract in the amount of fifty (50) per cent of the amount of each contract.
The said Board of Trustees reserves the right to reject any or all bids.
Accompanying the contract form are plans which, together with the specifications, show the work on which said tenders are to be made.
The proposal must not be detached herefrom or from the contract by any bidder when submitting a bid.
112. Proposal.—The proposal is a blank printed form on which the bidder is required to enter the prices for which he proposes to do the work. The proposal blank is necessary in order that the bids may be sufficiently uniform for proper comparison. Sewers are often paid for, particularly for small sizes, per foot of completed sewer as measured along the center line of the pipe parallel to the surface of the ground with the exterior length of manholes and other structures deducted. Sometimes, under other conditions, a different rate is allowed for each additional two feet of depth of sewer, and special structures, such as manholes, catch-basins, flush-tanks, etc., are paid for at a unit price according to the depth. Water connections to flush-tanks are paid for per foot of length of service pipe laid. In especially large or difficult work, materials are paid for at a unit-price, for example, per cubic yard of excavation, per cubic yard of concrete, per thousand feet board measure of lumber, etc.
The following example is taken from the contract for the North Shore Intercepting Sewer previously quoted, to indicate the type of Proposal used:
For the Construction of the North Shore Intercepting Sewer
To the Honorable, the President and the Board of Trustees of the Sanitary District of Chicago:
Gentlemen:__The undersigned hereby certi____ that ____ ha____ examined the specifications and form of contract and the accompanying plans for the construction of the North Shore Intercepting sewer, and ha____ also examined the premises at and adjacent to the sites of the proposed work, as herein described, and the means of approach to the said sites.
The undersigned ha____ also examined the foregoing “Requirements for Bidding and Instructions to Bidders” and propose ____ to do all the work called for in said specifications and contract, and shown on said plans, and to furnish all materials, tools, labor and all appliances and appurtenances necessary to the full completion of said work at the rates and prices for said work as follows, to_wit:
(1a) For six (6) by nine (9) foot concrete sewer, complete in place, as specified, the sum of ____ Dollars and ____ cents ($ ____ ) per linear foot.
(6a) For manholes, concrete, complete in place, as specified the sum of ____ Dollars and ____ cents ($ ____ ) each.
The following plans showing the work to be performed in accordance with the attached specifications, have been examined by the undersigned in preparing the foregoing proposal, to-wit: ____ ____ In accordance with the requirements set forth in the attached Information and Instructions for Bidders, there is deposited herewith the sum of ____ ____ Dollars and ____ cents ($ ____ ) which under the terms therein mentioned entitle ____ to bid on said work, the said sum to be refunded to ____ ____ upon the faithful performance of all conditions set forth in the Information and Instructions for Bidders.
219Blanks are provided for each item. No place is left at the end for a summary. The proposal ends with an acknowledgment that the contract has been examined completely and all preliminary directions therein have been complied with. A blank is prepared for inserting the amount of the required certified check, and finally for the signature of the bidders.
113. General Specifications.—The specifications, both general and technical, are occasionally incorporated in the contract form, but more frequently they are printed separately and are bound in the pamphlet preceding the contract. The general specifications relate to the conditions under which all work must be performed and are as applicable to the construction of a pumping station as to the smallest lateral, unless otherwise specified. It is not possible to include a complete set of General Specifications in the limited space of this text, but the more important specifications will be emphasized by examples taken from specifications in use.[77]
The subjects covered in General Specifications are:
The following examples cover the subjects named in the preceding titles:
1. Definitions. The word Engineer whenever not qualified shall mean the Chief Engineer of the Commission, acting either directly or through his properly authorized agents, such agents acting severally within the scope of the particular duties entrusted to them.
This article may include words that may be in dispute or ambiguous such as: Board of Trustees, Elevation, City, Contractor, Rock, Earth, etc., etc.
2. Disputes. To prevent disputes and litigations, the Engineer shall in all cases determine the amount, quality, and acceptability of the work which is to be paid for under the contract; shall decide all questions in relation to said work and the performance thereof, and shall in all cases decide every question which may arise relative to the fulfillment of the contract on the part of the Contractor. His determination, decision and estimate shall be final and conclusive, and in case any question shall arise between the parties touching the contract, such determination, decision, and estimate shall be a condition precedent to the right of the Contractor to receive any moneys under the contract.
3. Duties of the Engineer. The Engineer shall make all necessary explanations as to the meaning and intentions of the specifications and shall give all orders and directions, either contemplated therein or thereby, or in every case in which a difficulty or unforeseen condition shall arise in the performance of the work. Should there be any discrepancies in or between, or should any misunderstanding arise as to the import of anything contained in the plans and specifications, the decision of the Engineer shall be final and binding. Any errors or omissions in plans and specifications may be corrected by the Engineer, when such corrections are necessary for the proper fulfillment of their intentions as construed by him.
2214. Duties of the Contractor. The Contractor shall do all the work and furnish all the labor, materials, tools and appliances necessary or proper for performing and completing the work required by the contract, in the manner called for by the specifications, and within the contract time. He shall complete the entire work at the prices agreed upon and fixed therefor to the satisfaction of the Commission and its Chief Engineer and in accordance with the specifications, the drawings, and such detailed drawings as may be furnished from time to time, together with such extra work as may be required for the performance of which written orders may be given and received as hereinafter provided.
The Contractor shall place sufficient lights on or near the work and keep them burning from twilight to sunrise; shall erect suitable railings, fences or other protections about all open trenches, and provide all watchmen on the work, by day or night, that may be necessary for the public safety. The Contractor shall, upon notice from the Engineer that he has not satisfactorily complied with the foregoing requirements, immediately take such methods and provide such means and labor to comply therewith as the Engineer may direct, but the Contractor shall not be relieved of this obligation under the contract by any such notice or directions given by the Engineer, or by neglect, failure, or refusal on the part of the Engineer to give such notice and directions.
The Contractor shall furnish such stakes and the necessary labor for driving them as may be required by the Engineer. He shall maintain the stakes when set, with reasonable diligence, and stakes misplaced due to the carelessness of the Contractor or his workmen shall be reset under the direction of the Engineer, at the Contractor’s expense.
5. Night, Sunday, and Holiday Work:[78] No night, Sunday, nor holiday work requiring the presence of an engineer or inspector will be permitted except in case of emergency, and then only to such an extent as is absolutely necessary and with the written permission of the Engineer; provided that this clause shall not operate in the case of a gang organized for regular and continuous night, Sunday, or holiday work.
6. Absence of Engineer or Inspector. Any work done without lines, levels, and instructions having been given by the Engineer or without the supervision of an assistant 222or inspector, will not be estimated or paid for except when such work is authorized by the Engineer in writing. Work so done may be ordered removed and replaced at the Contractor’s sole cost and expense.
7. Absence of Contractor. During the absence of the Contractor he shall at all times have a duly authorized representative on the work. The Contractor shall give written notice to the Commission of the name and address of said representative and shall state where and how such representative can be reached, at any and all hours, whether by day or night.
Whenever the Contractor or his representative is not present at any place on the work where it may be necessary to give orders or directions, such orders or directions will be given by the Engineer and they shall be received and promptly obeyed by the superintendent or foreman who may have immediate charge of the particular work in relation to which the order may be given.
8. Commencing Work. The Contractor agrees to begin the work covered by this contract within —— days of the execution of the contract and to prosecute the same with all due diligence and to entirely complete the work within —— days.
It is understood and agreed that time is of the essence of this contract, and that a failure on the part of the Contractor to complete the work herein specified within the time specified will result in great loss and damage to said Sanitary District and that on account of the peculiar nature of such loss it is difficult, if not impossible, to accurately ascertain and definitely determine the amount thereof.
9. Liquidated Damages. It is therefore covenanted and agreed that in case the said Contractor shall fail or neglect to complete the work herein specified on or before the date hereinbefore fixed for completion, the said Contractor shall and will pay the said Sanitary District the sum of —— Dollars for each and every day the Contractor shall be in default in the time of completion of this contract.
Said sum of —— Dollars per day is hereby agreed upon, fixed and determined by the parties hereto as the liquidated damages which said Sanitary District will suffer by reason of such defaults, and not by way of a penalty.
10. Changes in Plans. The Board reserves the right to change the alignment, grade, form, length, dimensions or materials of the sewers or any of their appurtenances, whenever any condition or obstructions are met that 223render such changes desirable or necessary. In case the alterations thus ordered make the work less expensive to the Contractor a proper deduction shall be made from the contract prices and the Contractor shall have no claim on this account for damages or for anticipated profits on the work that may be dispensed with. In case such alterations make the work more expensive, a proper addition shall be made to the contract prices. Any deduction or addition as aforesaid shall be determined and fixed by the Engineer.
11. Extensions and Additions. In the event that any material alterations or additions are made as herein specified which in the opinion of the Engineer will require additional time for execution of all the work under this contract, then, in that case the time of completion of the work shall be extended by such a period or periods of time as may be fixed by said Engineer and his decision shall be final and binding upon both parties hereto, provided that in such case the Contractor, within four (4) days after being notified in writing of such alterations and additions, shall request in writing an extension of time, but the provisions of this paragraph shall not otherwise alter the provisions of this contract with reference to liquidated damages, and the said Contractor shall not be entitled to any damages or compensation from the said Sanitary District on account of such additional time required for the execution of the work.
12. Inspection. All materials of whatsoever kind to be used in the work shall be subject to the inspection and approval of the Engineer and shall be subject to constant inspection before acceptance. Any imperfect work that may be discovered before its final acceptance shall be corrected immediately, and any unsatisfactory materials used in the work or delivered at the site shall be rejected and removed on the requirement of the Engineer. The inspection of any work shall not relieve the Contractor of any of his obligations to perform proper and satisfactory work as herein specified, and all work which, during the progress and before the final acceptance, may become damaged from any cause, shall be removed and replaced by good and satisfactory work without extra charge therefor. The Engineer and his assistants shall have at all times free access to every part of the work and to all points where material to be used in the work is manufactured, procured or stored and shall be allowed to examine any material furnished for use in the work under this contract.
All inspection of any and all material furnished for use in work to be performed under this contract shall be made 224at the site of the work after the delivery of the material, provided, that, if requested by the Contractor the Engineer may at his option perform, or have performed, inspection of materials at points other than the site of the work. In any such case the Contractor shall pay the Sanitary District the extra cost of such inspection, including the necessary expenses of the inspector for the extra time expended in performing any such inspection at said other points.
13. Legal Requirements. The Contractor shall keep himself fully informed of all existing and future national and state laws and local ordinances and regulations in any manner affecting those engaged or employed in the work, or the materials used in the work, or of all such orders and degrees of bodies or tribunals having any jurisdiction or authority over the same, and shall protect and indemnify the party of the first part against any claim or liability arising from or based on the violation of such law, ordinance, regulation, order or decree, whether by himself or his employees.
14. Damages. If any damage shall be done by the Contractor or by any person or persons in his employ to the owner or occupants of any land or to any real or personal property adjoining, or in the vicinity of the work herein contracted to be done or to the property of a neighboring contractor the Engineer shall have the right to estimate the amount of said damage and to cause the Sanitary District to pay the same to the said owner, occupant, or contractor, and the amount so paid shall be deducted from the money due said Contractor under this contract. Said Contractor covenants and agrees to pay all damages for any personal injury sustained by any person growing out of any act or doing of himself or his employees that is in the nature of a legal liability, and he hereby agrees to indemnify and save the Sanitary District harmless against all suits or actions of every name and description brought against said Sanitary District, for or on account of any such injuries, or such damages received or sustained by any person or persons; and the said Contractor further agrees that so much of the money due to him under this contract, as shall be considered necessary by the Board of Trustees of said Sanitary District, may be retained by the Sanitary District until such suit or claim for damages shall have been settled, and evidence to that effect shall have been furnished to the satisfaction of said Board of Trustees.
15. Patents. It is further agreed that the Contractor shall indemnify, keep and save harmless said Sanitary District from all liabilities, judgments, costs, damages and 225expenses which may in any wise come against said Sanitary District, or which may be the result of an infringement of any patent by reason of the use of any materials, machinery, devices, apparatus, or process furnished or used in the performance of this contract, or by reason of the use of designs furnished by the Contractor and accepted by the Sanitary District, and in the event of any claim or suit or action at law or in equity of any kind whatsoever being made or brought against said Sanitary District, then the Sanitary District shall have the right to retain a sufficient amount of money in the same manner and upon the conditions as hereinafter specified.
16. Abandonment of Contract. If the work to be done under the contract shall be abandoned by the Contractor, or if at any time the Engineer shall be of the opinion, and shall so certify, in writing, to the Commission, that the performance of the contract is unnecessarily or unreasonably delayed, or that the Contractor is willfully violating any of the conditions of the specifications, or is executing the same in bad faith, or not in accordance with the terms thereof, or if the work be not fully completed within the time named in the contract for its completion, the Commission may notify the Contractor to discontinue all work thereunder, or any part thereof, by a written notice served upon the Contractor, as herein provided; and thereupon the Contractor shall discontinue the work, or such part thereof, and the Commission shall thereupon have the power to contract for the completion of said work in the manner prescribed by law, or to procure and furnish all necessary materials, animals, machinery, tools and appliances, and to place such and so many persons as it may deem advisable to work at and complete the work described in the specifications, or such part thereof, and to charge the entire cost and expense thereof to the Contractor. And for such completion of the work or any part thereof, the Commission may for itself or its contractors, take possession of and use or cause to be used any or all such materials, animals, machinery, tools and implements of every description as may be found on the line of the said work. The cost and expense so charged shall be deducted from, and paid by the City out of such moneys as may be due or may become due to the Contractor, under and by virtue of the contract. In case such expense shall exceed the amount which would have been payable under the contract, if the same had been completed by the Contractor, he shall pay the amount of such excess to the City. When any particular part of the work is being carried on by the Commission, by contract or otherwise, under the provisions 226of this clause of the contract, the Contractor shall continue the remainder of the work in conformity with the terms of his contract, and in such manner as in no wise to hinder or interfere with the persons or workmen employed by the Commission by contract or otherwise as above provided, to do any part of the work or to complete the same under the provisions hereof.
17. Estimates. The Engineer shall from time to time as the work progresses, on or about the last day of each month, make in writing an estimate, such as he shall believe to be just and fair, of the amount and value of the work done and the materials incorporated into the work by the Contractor under the specifications, provided however that no such estimate shall be required to be made when, in the judgment of the Engineer the total value of the work done and the materials incorporated into the work since the last preceding estimate is less than —— dollars. Such estimates shall not be required to be made by strict measurements, but they may be approximate only.
The Contractor shall not be entitled to demand from the Commission as a right, a detailed statement of the measurements or quantities entering into the several items of the monthly estimates, but he will be given such opportunities and facilities to verify the estimates as may be deemed reasonable by the Commission.
When in the opinion of the Engineer, the Contractor shall have completely performed the contract on his part, the Engineer shall make a final estimate, based on actual measurements, of the whole amount of the work under and according to the terms of the contract, and shall certify to the Commission in writing, the amount of the final estimate at the completion of the work. After the completion of the work the City shall pay to the Contractor the amount remaining after deducting from the total amount or value of the work, as stated in the final estimate, all such sums as have theretofore been paid to the Contractor under any of the provisions of the contract, except such sums as may have been paid for extra work, and also any sum or all sums of money which by the terms thereof the City is or may be authorized to reserve or retain; provided that nothing therein contained shall affect the right of the City, hereby reserved, to reject the whole or any portion of the aforesaid work, should the said certificate be found or known to be inconsistent with the terms of the contract or otherwise improperly given. All monthly estimates upon which partial payments have been made, being merely estimates, shall be subject to correction in the final estimate, which final estimate may be 227made without notice thereof to the Contractor, or of the measurements upon which it is based.
18. Extra Work. The Contractor shall do any work not herein otherwise provided for, when and as ordered in writing by the Engineer or his agents specially authorized thereto in writing, and shall when requested by the Engineer so to do, furnish itemized statements of the cost of the work ordered and give the Engineer access to accounts, bills, vouchers, etc. relating thereto. If the Contractor claims compensation for extra work not ordered as aforesaid, or for any damages sustained, he shall within one week after the beginning of any such work or the sustaining of any such damage, make a written statement of the nature of the work performed or the damage sustained, to the Engineer, and shall, on or before the fifteenth day of the month succeeding that in which any such extra work shall have been done or any such damage shall have been sustained, file with the Engineer an itemized statement of the details and amount of any such work or damage; and unless such statement shall be made as so required, his claim for compensation shall be forfeited and he shall not be entitled to payment on account of any such work or damage.
For all such extra work the Contractor shall receive the reasonable cost of said work, plus fifteen (15) per cent of said cost.
19. Competent Employees. The Contractor shall employ only competent skillful men to do the work; and whenever the Engineer shall notify the Contractor, in writing, that any man employed on the work is, in his opinion unsatisfactory, such man shall be discharged from the work and shall not again be employed on it, except with the consent of the Engineer.
20. Money Retained. Upon the completion of the work and its acceptance by the City, the City shall reserve and retain five (5) per cent of the total value of the work done under the contract as shown by the final estimate, over and above any and all other reservations which the city by the terms thereof is entitled or required to retain and shall hold the said five (5) per cent for a period of nine (9) months from and after the date of completion and acceptance, and the City shall be authorized to apply such part of said five (5) per cent so retained to any and all costs of repairs and renewals as may become necessary during such period of nine (9) months, due to improper work done or materials furnished by the Contractor, if the Contractor shall fail to make such repairs or renewals within twenty-four (24) hours after receiving notice from the City so to do.
228Upon the expiration of said nine (9) months from and after the completion and acceptance of the work, the City shall pay to the Contractor the said five (5) per cent hereby retained, less such sums as may have been retained hereunder.
21. Unpaid Claims against Contractor. The Contractor shall furnish the City with satisfactory evidence that all persons who have done work or furnished materials under the contract, and have given written notices to the City, before and within ten (10) days after the final completion and acceptance of the whole work under the contract, that any balance for such work or materials is due and unpaid, have been fully paid or satisfactorily secured. And in case such evidence is not furnished as aforesaid, such amount as may be necessary to meet the claims of the persons aforesaid shall be fully discharged or such notices withdrawn.
22. Delays and Difficulties. The Contractor shall not be entitled to any claims for damages on account of postponement or delay in the work occasioned by forces beyond the control of the City, nor for postponement or delay in the work where ten (10) days written notice has been given the Contractor of such postponement or delay, nor where unforeseen difficulties are encountered in the prosecution of the work. In the event of a postponement or delay ordered in writing by the City the time of completion of the contract shall be extended a number of days equal to the number of days that the work has been postponed or delayed.
23. Assignment of Contract. The Contractor shall not assign by power of attorney or otherwise, nor sublet the work or any part thereof, without the previous written consent of the party of the first part, and shall not either legally nor equitably assign any of the moneys payable under this agreement or his claim thereto unless by and with the consent of the party of the first part.
24. Cleaning Up. On or before the completion of the work, the Contractor shall, without charge therefor, tear down and remove all buildings and other structures built by him, shall remove all rubbish of all kinds from any grounds which he has occupied, and shall leave the line of the work in a clean and neat condition.
25. Access to Work and Other Contractors. The Commission and its engineers, agents and employees may at any time and for any purpose enter upon the work and the premises used by the Contractor, and the Contractor shall provide proper and safe facilities therefor. Other contractors of the Commission may also when so authorized 229by the Engineer, enter upon the work and the premises used by the Contractor for all the purposes which may be required by their contracts. Any differences or conflicts which may arise between this Contractor and other contractors of the Commission in regard to their work shall be adjusted and determined by the Engineer.
26. The Contract. It is understood and agreed by the City and the Contractor that the terms of this contract are embodied and included in the Advertisement, Information and Instructions to Bidders, Proposal, Specifications of every nature, the Bond and the contract drawings hereto attached.
These few articles have been given as examples of some of the essential subjects to be treated in general specifications. It is to be understood that these examples do not represent a complete set of general specifications and items have been omitted the absence of which in a complete contract might be injurious to the successful completion of the work.
114. Technical Specifications.—These ordinarily follow the general specifications and have to do with the quality of materials, the manner of putting them together, and the method of doing the work. The subject headings in the Technical Specifications on the Baltimore Sewerage Commission are:
Each of these subjects is treated in the appropriate section of this book.
An important part of each section of the technical specifications is the clause providing for the method of payment for the work specified. This is usually the last clause in the section. 230For example, the last clause in the Baltimore Specifications relating to Rock Excavation, is:
“Payment will be made for the number of cubic yards of rock measured and allowed as above specified at the price of four dollars and fifty cents ($4.50) per cu. yd., measured in place. Payment for rock excavation will be made in addition to the prices bid for excavation.”
115. Special Specifications.—These have to do with problems, methods of construction, or materials peculiar to certain contracts or certain portions of the work. It frequently occurs that the construction of sewerage works will be let out under a number of contracts, or bids will be called for on different alternatives to which the entire Advertisement, Information and Instructions for Bidders, Proposal, and General Specifications are applicable. The special specifications will apply only to the contract in question, e.g., in some work done under the direction of the author, the sewer on one contract came within twelve inches of the surface of a highway. The special specification relating to this piece of construction, was:
“Where crossing under the Chicago Road the pipe sewer shall be embedded in concrete as shown on the contract drawings. The concrete for this purpose shall be mixed in the proportions of one (1) part cement, three (3) parts fine aggregate, and six (6) parts coarse aggregate. Payment for the concrete so used will be made at the unit price stated in the accompanying Proposal.”
In order to avoid confusion the special specifications are either incorporated directly in the Contract form, or follow the Technical Specifications and are grouped according to the contracts to which they apply.
116. The Contract.—The contract is a brief instrument which includes a simple statement of the obligations of each party involved. The following is an example of a form in successful use:
This agreement made and entered into this ____ day of ____ in the year one thousand nine hundred and ____ by and between the City of ____ by its duly constituted or elected authorities herein acting for the City of ____ without personal liability to themselves, party of the first part, hereinafter designated 231as the City, and ____ party of the second part hereinafter designated as the Contractor.
Witnesseth, that the parties to these presents each in consideration of the undertakings, promises and agreements on the part of the other herein contained, have undertaken, promised and agreed, and do hereby undertake, promise and agree, the party of the first part for itself, its successors and assigns, and the part ____ of the second part for ____ and ____ heirs, executors, administrators and assigns as follows, to-wit:
Art. I. To be bounden by all the articles of the General, Technical, and Special Specifications applicable, and by the terms of the Advertisement, Information and Instructions for Bidders, Proposal and Contract Drawings hereto attached, and which are understood and acknowledged to be an integral part of this contract.
Art. II. The work to be completed under this contract is ____
Art. III. The City shall pay and the Contractor shall receive as full compensation for everything furnished and done by the Contractor under this contract, including all work required but not specifically mentioned in the following items, and also for all loss or damage arising from the nature of the work aforesaid, or from the action of the elements, or from any unforeseen obstruction or difficulty encountered in the prosecution of the work and for well and faithfully completing the work as herein provided, as follows:
Then follows a copy of the Proposal with the prices bid. The contract closes with the final clause:
In witness whereof the said City of ____, party of the first part have hereunto set their hands and seals, and the Contractor has also hereunto set his hand and seal and the party of the first part and the Contractor have executed this agreement in duplicate, one part to remain with the party of the first part and one to be delivered to the Contractor this ____ day of ____ in the year one thousand nine hundred and ____
232117. The Bond.—The bond called for in the Information and Instructions for Bidders is bound in the pamphlet following the Contract. No uniform practice is followed in the amount of the bond required. It varies from 50 to 100 per cent of the contract price and may be stated as a lump sum before the contract price is known. There is a possibility that the Contractor may fail before he has commenced work and the City may be unable to procure another contractor to take up the work. The City should then be protected by a 100 per cent bond. Such a contingency is remote. The Contractor seldom fails until work is well under way, and other contractors are usually available, although the failure of one contractor tends to increase the bids of other contractors for the same work. In fixing the amount of the bond the judgment of the Engineer is called into play in order that the amount may be as low as possible in fairness to the Contractor, and high enough to protect the interests to the City. By reducing the amount of the bond the expense to the City is also reduced as the City ultimately must pay its cost.
Upon the acceptance of the bond and the execution of the Contract, the Engineer’s duties take him out of the designing office and into the construction field.
118. Elements.—The principal elements in construction are: labor, materials, tools, and transportation. The lack of or inadequateness of any one of these detracts from the effectiveness of the others. The engineer should assure himself of the completeness of his plans or those of the contractor on each of these points. The disposition of labor and the handling of materials to obtain the largest amount of good with the least expenditure of money and effort are problems which must be solved by the engineer or the contractor during construction.
119. Duties.—The duties of the engineer during construction consist in giving lines and grades; inspecting materials; interpreting the contract, specifications and drawings; making decisions when unexpected conditions are encountered; making estimates of work done; collecting cost data; making progress reports; keeping records; and in guarding the interests of the City.
120. Inspection.—In the inspection of workmanship and materials, the engineer is assisted by a corps of inspectors and assistants who act under his direction. The duties of the inspector are to be present at all times that work is in progress and to act for the engineer in enforcing the terms of the contract, the details of the drawings, and the tests applicable to the workmanship and materials that he is delegated to inspect. He should have a copy of the contract, or that portion of it which pertains to his work, available at all times. He should examine all materials as they are delivered on the job and see that rejected materials are removed at once. An ordinary recourse of some foremen will be to place rejected material to one side until a brief absence of the inspector will present the opportunity for the use 234of the rejected material. The methods to be followed in the inspection of materials and workmanship should be such as to discover discrepancies between the specifications and the materials delivered or the work done. Other duties of the inspector are: to record the location of house connections or to drive a stake over them for subsequent location by the engineer; to see that plugs are put in the branches left for future house connections; to inspect the workmanship in the making of joints in pipe sewers; to protect the line and grade stakes from displacement; to check the size, depth, and grade of sewers and elevations of special structures, etc.
Dishonest and unscrupulous workmen have many tricks to get by the inspector. These tricks are best learned by experience as no academic list can impress them properly on the memory. The position of the inspector is not always enviable. He must hold the respect of the workmen, of the contractor, and of the engineer. To do this he must not be unreasonable or arbitrary in his decisions, but when a decision is once made he must be firm in following up its enforcement. He must be careful not to give directions whose fulfillment he cannot enforce, nor for which he cannot give adequate reason to his superiors. His integrity must never be questioned. He must not allow himself to become under obligations to the contractor by the acceptance of favors he cannot return except at the expense of his employer, yet at the same time he must not appear priggish by the refusal of all favors or social invitations. In brief he must be friendly without being intimate, independent without being aloof, and firm without being arbitrary.
The engineer must support his inspectors in their decisions or discharge them if he cannot.
121. Interpretation of Contract.—In interpreting the contract, specifications and drawings, the engineer is supposedly an impartial arbiter between the interests of the city and the contractor. His decisions, as to the meaning of the contract, must be founded on his engineering judgment, and should aim to produce the best results without demanding more from the contractor than, in his honest opinion, it is the intention of the contract to demand. However conscientiously he may attempt to remain impartial, and in spite of the honesty of the contractor, his position, as an employee of the city will almost invariably cause him 235to favor the city in his decisions on close points. The experienced contractor knows this and fixes his bid accordingly, the personality of the engineer sometimes acting as an important factor in the amount of the bid. The situation arises through the character of the contract, and not through a lack of moral integrity on the part of anyone concerned.
122. Unexpected Situations.—When unexpected or uncertain conditions are encountered in construction the engineer should visit the spot at once and should advise or direct, according to the terms of the contract, the procedure to be followed. Such conditions may be the encountering of other pipes, quicksand, rock, etc. Each case is a problem in itself. Water, gas, telephone and electric wire conduits can be moved above or below the sewer being constructed with comparative ease. Other sewers, if smaller, may be permitted to flow temporarily across the line of the sewer under construction and finally discharge into the completed sewer, or one sewer must be made to pass under the other, either as an inverted siphon or by changing the grade of one of the sewers. Rock, or other material for which a special rate of payment is allowed, must be measured as soon as uncovered in order to avoid delaying the work or losing the record of the amount removed. When quicksand is met special precautions must be taken to safeguard the sewer foundation and to insure that the sewer will remain in place until after the backfilling is completed. These precautions are described in Art. 135.
123. Cost Data and Estimates.—Cost account keeping and the making of monthly or other estimates are closely connected. Cost accounts are of value in estimating the amount of work done to date, and in making preliminary estimates of the cost of similar work. Although the engineer is not always required to keep such accounts, they are usually of sufficient value to pay for the labor of keeping them. Under some contracts the contractor’s accounts are open to examination by the engineer. Usually, however, he must depend on reports from the inspectors for information concerning the man-hours required on different pieces of work, and on his own measurements of materials used and his knowledge of their unit costs, in order to make up an estimate of total cost.
The measurement of a completed structure and a summary of the materials used in its construction may act as a check on the use of proper materials as called for in the contract. For example, 236if it is known that 2,000 bricks are required for the construction of a manhole and if only 15,000 have been used in the construction of ten manholes, it is probable that some or all of the manholes have been skimped. Similar conditions may show in the proportions of concrete, backfilling in tunnels, sheeting to be left in place, etc.
The statement of a few principles of cost accounting, and the illustration of a few blanks in use should be sufficiently suggestive to lead a resourceful engineer in the right direction.[79] Costs should be divided into four general classifications: labor, materials, equipment, and overhead. Labor should be subdivided under its several different classifications arranged in accordance with rates of pay. The number of laborers under each classification and the amount of work done per day should be recorded. Fig. 86 is an example of a form which may be used for such a purpose.
Fig. 86.—Foreman’s Daily Payroll Report.
From Engineering and Contracting, 1907.
Materials may be recorded as they are delivered on the job, as they are used, or in both cases. Measurements are usually easier to make at the time of delivery, but records made at the time 237materials are used are more serviceable. For example, 100 barrels of cement may be delivered on a job in November, 50 of them are used before the job freezes up and the other 50 are held over until spring. It would be misleading to charge 100 barrels used in November. Fig. 87 is a form in use for an inspector’s report on materials. The total cost must be made up in the office from these records and a knowledge of unit costs.
Fig. 87.—Foreman’s Daily Material Report.
From Engineering and Contracting, 1907.
Equipment consists of tools, animals, machinery, and apparatus used in construction. Only equipment that is actually used should be charged to the job and a credit should be made at the completion of the job for the fair value of the equipment remaining after the completion of the work.
Overhead charges include the expense of the office force, superintendence, and miscellaneous items such as insurance, rent, 238transportation, etc., which cannot be charged to any particular portion of the work but are equally applicable to all portions. It happens frequently that many jobs are handled in the same main office. The division of overhead becomes more difficult and is frequently arranged on an arbitrary basis, e.g., each job may be charged the proportion of overhead that its contract price bears to the total contract prices being performed under that office. This rule may be modified when it becomes evident that some job is taking distinctly more than its share of the overhead.
Estimates of work done in any period can be made with the above data in hand by subtracting the total costs of the work up to the beginning of the period from the total costs up to the end of the period. Fig. 88 shows a sample blank from the final estimate sheets used at Scarsdale, N. Y.
124. Progress Reports.[80]—These are kept by the engineer in order that he may see that the work is progressing as called for in the contract, and any portion which is lagging behind without reason may be pushed. Such reports are most useful when the information is expressed graphically, as the eye quickly catches points where the work is falling behind schedule.
125. Records.—The contract drawings are supposed to show exactly where and how construction is to be done. Due to unexpected contingencies changes occur, of which a record should be made and preserved. These records may be kept in a form similar to the contract drawings, or if the changes are not extensive, they can be recorded on the original contract drawings. The location of house and other connections should be recorded in a separate note book available for immediate consultation. The engineer should keep a diary of the work in which are recorded events of ordinary routine as well as those of special interest and importance. This diary should be illustrated by photographs showing the condition of the streets before and after construction, methods of construction, accidents, etc. Such accounts are of great value in defending subsequent litigation and their existence sometimes prevents litigation. A contractor may wait a year or so after the completion of a piece of work until the engineer and other city officials have broken their connection with the city. Suit is then brought against the city and unless good records are available the administration may be forced to buy the claimant off or may elect to enter court, only to be beaten.
Fig. 88.—Samples of Cost Record Forms.
From Engineering and Contracting, 1909.
126. Specifications.—The following abstracts have been taken from the specifications on Excavation by the Baltimore Sewerage Commission as illustrative of good practice. In conducting the work the contractor shall:
... remove all paving, or grub and clear the surface over the trench, whenever it may be necessary and shall remove all surface materials of whatever nature or kind. He shall properly classify the materials removed, separating them as required by the Engineer; and shall properly store, guard, and preserve such as may be required for future use in backfilling, surfacing, repaving or otherwise. All macadam material removed shall be separated and graded into such sizes as the Engineer may direct and materials of different sizes shall be kept separate from each other and from any and all other materials.
All the curb, gutter, and flag-stones and all paving material which may be removed, together with all rock, earth and sand taken from the trenches shall be stored in such parts of the carriageway or such other suitable place, and in such manner as the Engineer may approve. The Contractor shall be responsible for the loss of or damage to curb, gutter and flag-stones and to paving material because of careless removal or wasteful storage, disposal, or use of the same.
... When so directed by the Engineer the bottom of the trench shall be excavated to the exact form of the lower half of the sewer or of the foundation under the sewer.
The bottom width of the trench for a brick or concrete sewer shall be ... not less in any case than the overall width of the sewer, as shown on the plans. In case the trench is sheeted this minimum width will be measured between the interior faces of the sheeting as driven, but in no case shall bracing, stringers, or waling strips be left within any portion of the masonry of the sewer except by permission of the Engineer; and such braces, stringers and waling strips shall not, in any case, be allowed to remain within the neat lines of the masonry as shown on the plans. In case that the distance between faces of the sheeting is less than that called for by the width of the 241sewer to be laid in the trench, the Engineer may direct the sheeting to be drawn and redriven, or otherwise changed and altered; or he may direct that the sewer be reinforced in such manner and to such an extent as he may deem necessary without compensation to the Contractor, even though such narrower trench was not caused by negligence or other fault on the part of the Contractor.
Trenches for vitrified pipe shall be at all points at least six inches wider in the clear on each side than the greatest external width of the sewer, measured over the hubs of the pipe.... Bell holes shall be excavated in the bottoms of trenches for vitrified pipe sewers wherever necessary.
Not more than three hundred feet of trench shall be opened at any one time or place in advance of the completed building of the sewer, unless by written permission of the Engineer and for a distance therein specified....
The excavation of the trench shall be fully completed at least twenty feet in advance of the construction of the invert, unless otherwise ordered.
During the progress of construction the Contractor will be required to preserve from obstruction all fire hydrants and the carriageway on each side of the line of the work.
The streets, cross-walks, and sidewalks shall be kept clean, clear, and free for the passage of carts, wagons, carriages and street or steam railway cars, or pedestrians, unless otherwise authorized by special permission in writing from the Engineer. In all cases a straight and continuous passageway on the sidewalks and over the cross walks of not less than three feet in width shall be preserved free from all obstruction.
Where any cross walk is cut by the trench it shall be temporarily replaced by a timber bridge at least three feet wide, with side railings, at the Contractor’s expense. The placing of planks across the trench without proper means of connection or fastenings, or pipe or other material, or the using of any other makeshift in place of properly constructed bridges, will not be permitted.
This is equally applicable to certain wagon bridges to be fixed upon by the Engineer, on the basis of traffic requirements.
In streets that are important thoroughfares or in narrow streets the material excavated from the first one hundred feet of any opening or from such additional length as may be required, shall upon the order of the Engineer, be removed by the Contractor, as soon as excavated. The material subsequently excavated shall be used to refill the trench where the sewer has been built.
242The preceding specifications are applicable to open-trench excavation. Rigid restrictions are placed about tunneling because of the greater difficulty of doing good work, the greater danger to life and property and the possibility of later surface subsidence if the backfilling is done improperly. A common clause in specifications is:
All excavations for sewers and their appurtenances shall be made in open trenches unless written permission to excavate in tunnel shall be given by the Engineer.
127. Hand Excavation.—Earth excavation by pick and shovel is the simplest and most primitive mode of excavation. Only small jobs are handled in this manner in order to save the investment necessary in machines or the expense of hiring and moving one to the work. The tools used in the hand excavation of trenches are: picks, pickaxes, long-handled and short-handled pointed shovels, square-edged long- and short-handled shovels, scoop shovels, axes, crowbars, rock drills, mauls, sledges, etc. The excavating gangs are divided up into units of 20 to 50 men under one foreman or straw boss, and among the men may be a few higher priced laborers who set the pace for the others. Each laborer on excavation should be provided with a shovel, the style being dependent on the character of the material being excavated and the depth of the trench. In stiff material and deep trenches requiring the lifting of the material in the shovel, long-handled pointed shovels should be used. In loose sandy material loaded directly into buckets short-handled, square pointed shovels are satisfactory. Picks are used in cemented gravels or where hard obstructions prevent cutting down with the edge of the shovel. Very stiff but not hard material can be cut out in chunks with a pickaxe and thrown from the trench or into a bucket with a scoop shovel. Scoop shovels are also useful in wet running quicksand. The number of picks, axes, crowbars, and other tools must be proportioned according to the material being excavated. Under the worst conditions of excavation in a hard cemented gravel it may be necessary to provide each man with a pick as well as a shovel, whereas in sand only a shovel is necessary. Two or three crowbars, axes, a length of chain, two or three screw jacks, etc., are provided per gang in case of an unexpected encounter with an obstruction in the trench, such as a boulder, a tree stump, a length of pipe, etc.
243In laying out the work the foreman marks the outlines of the trench on the ground by means of a scratch made with a pick, chalk marks, tape, or other devices. These marks are measured from offset or center stakes set by the engineer. Center stakes are less conducive to error but are more likely to be disturbed before use than are offset stakes, but careless foremen make more errors with offset than with center stakes. The inspector should assist or be present at the laying out of the trench. After the trench has been laid out each laborer should be given a certain specific portion of it to dig and this portion is marked out on the ground. In this way a check can be kept upon the performance of each laborer and the knowledge of this fact tends to a uniformly better performance. The amount of work that can be performed by one man with a pick and shovel is as shown in Table 49. Some men may exceed these rates, many will not attain them. The allotted task must be gaged on the character of the ground in order that the tasks may be equal and a spirit of competition fostered. The hard worker will set the pace for the lazy man. Some contractors have adopted the expedient of dismissing laborers for the day as soon as the allotted task is done.
| TABLE 49 | |
|---|---|
| Amount of Material Moved by One Man with a Pick and Shovel | |
| (From H. P. Gillette) | |
| Material | Cubic Yard per hour |
| Hardpan | 0.33 |
| Common earth | 0.8 to 1.2 |
| Stiff clay | 0.85 |
| Clay | 1.00 |
| Sand | 1.25 |
| Sandy soil | 0.8 to 1.2 |
| Clayey earth | 1.3 |
| Sandy soil (frozen) | 0.75 |
The opening of the trench may be facilitated by breaking ground with a plow. In hard ground or on paved roads it may be necessary to cut through the surface crust with a hammer and drill, although in some cases a plow can be used successfully. Frozen ground can be thawed by building fires along the line of the trench, or greater economy may be achieved by placing steam pipes along the surface with perforations about every 18 inches 244and either boxing them on the top and sides or burying them in the frozen earth with a covering of sand. Another arrangement is to blow steam into a line of bottomless boxes in which each box is about 8 feet long. Holes are left in the top of the boxes into which the pipe is shoved, and after its withdrawal the holes are covered. Blasting of frozen earth is sometimes successful but cannot be resorted to in built up districts where it is unsafe unless properly controlled. Once the frost crust is broken through it can be attacked from below and frequently broken down by undermining.
A laborer cannot dig and raise the earth much more than to the height of his head, and preferably not quite so high, without tiring quickly. After the trench has passed a depth of 4 feet he cannot throw the earth clear of the trench. An additional laborer is needed then at the surface to throw the earth back. He should shovel the earth from a board platform placed at the edge of the trench as a protection to the bank. When the trench passes the 6–foot depth a staging is put in about 4 feet from the top on which the lowest laborer piles his materials. It is then passed up to the surface by a second laborer on the staging, and a third laborer on the surface throws the material back clear of the trench. Stagings are put in about every 5 or 6 feet for the full depth of the trench.
When the trench has come within half the diameter of the pipe of the final grade, if the material is sufficiently firm, the remainder of the trench should be cut to conform to the shape of the lower half of the outside of the pipe, with proper enlargements for each bell.
128. Machine Excavation.—On work of moderately large magnitude excavation by machine is cheaper than by pick and shovel alone. In comparing the cost of excavation by the two methods all items such as sheeting, pipe laying, backfilling, etc., should be included, since these items will be affected by the method of excavation. The cost of setting up and reshipping the machine must be included as this is frequently the item on which the use of the machine depends. Because of the cost of setting up and shipping, which must be distributed over the total number of yards excavated, the cost per cubic yard of excavating by machine varies with the number of cubic yards excavated. The point of economy in the use of a machine is reached when the cost by hand 245and by machine are equal. For all work of greater magnitude, excavation by machine will prove cheaper.[81] Items favoring the use of machinery which may cause its adoption for small jobs are: its greater speed, reliability, ease in handling, economy in sheeting, economy in labor, and small amount of space needed making it useful in crowded streets. Continuous bucket machines, drag lines, and occasionally steam shovels are not adapted to conditions where rocks, pipes and other underground obstacles are frequently met.
The following problem is an example of the work necessary in making a comparison of the relative economy of machine and hand excavation:
It is assumed that a man can excavate 15 feet of trench 30 inches wide and 8 feet deep in 10 hours. He receives 55 cents per hour for his work. A machine costing $10,000 has a life of 6 years. It can be kept busy 150 days in the year. When operating it costs $1.25 per hour for the operator, fuel and repairs. It will excavate 800 linear feet of 30 inch trench to a depth of 8 feet in 10 hours. It is assumed that capital is worth 10 per cent on such a venture and that the sinking fund will draw 10 per cent. If the cost of moving and setting up the machine is $1,800, how many cubic yards of excavation must there be to make excavation by machine economical? Costs of sheeting, pumping, etc., are assumed to be the same for machine or hand work.
Solution.—For hand work the man excavated 1.11 cubic yard per hour at 55 cents. The relative cost of hand excavation is then 50 cents per cubic yard.
The cost of machine work will be divided into: interest on first cost; operation and repairs; and sinking fund for renewal. The interest on the first cost of $10,000 at 10 per cent is $1,000 per year. The machine works 1,500 hours in the year. Therefore the cost per hour is $0.67.
The sinking fund payment, as found from sinking fund tables or the accumulation of $10,000 in. 6 years, is $1,300 per year or per hour for 1,500 hours is $0.87.
The cost of operation per hour is given as $1.25.
The total cost per hour is therefore $2.79.
The machine excavated 59.3 cubic yards per hour which makes the cost, exclusive of moving, equal to $0.47 246per cubic yard. In order to equalize the cost of machine and hand excavation the cost of moving the machine must be divided among a sufficient number of cubic yards so that the cost per cubic yard shall be 3 cents. The cost of moving is given as $1,800. This amount divided among 60,000 cubic yards equals 3 cents per cubic yard. Therefore the job must provide at least 60,000 cubic yards of excavation in order that the use of the machine shall be justifiable from the viewpoint of economy alone.
129. Types of Machines.—Machines particularly adapted to the excavation of sewer and water pipe trenches are of four types: (1) continuous bucket excavators; (2) overhead cableway or track excavators; (3) steam shovels; and (4) boom and bucket excavators. Other types of excavating machinery can be used for sewer trenches under special conditions. Machines are ordinarily limited to a minimum width of trench of 22 inches. Between widths of 22 inches and 36 inches the limit of depth for the first class of machines is about 25 feet. For other types of machines there is no definite limit, though the economical depth for open cut work seldom exceeds 40 feet.
130. Continuous Bucket Excavators.—Continuous bucket excavators are of the types shown in Figs. 89 and 90. The buckets which do the digging and raising of the earth may be supported on a wheel as in Fig. 89 or on an endless chain as in Fig. 90. The support of the wheel or endless chain can be raised or lowered at the will of the operator so as to keep the trench as close to grade as can be done by hand work. In some machines the shape of the buckets can be made such as to cut the bottom of the trench, in suitable material, to the shape of the sewer invert. In operation, the buckets are at the rear of the machine and revolve so that at the lowest point in their path they are traveling forward. The excavated material is dropped on to a continuous belt which throws it on the ground clear of the trench, into dump wagons, or on to another continuous belt running parallel with the trench to the backfiller, by means of which the excavated material is thrown directly into the backfill without rehandling. The body of the machine supporting the engine travels on wheels ahead of the excavation and is kept in line by means of the pivoted front axle. When obstacles are encountered the excavating wheel or chain is raised to pass over the obstacle, and allowed to dig itself in on the other side.
Fig. 89.—Buckeye Wheel Excavator.
Courtesy, Buckeye Traction Ditcher Co.
Fig. 90.—Buckeye Endless-chain Excavator.
Courtesy, Buckeye Traction Ditcher Co.
Fig. 91.—Movable Sheeting Fastened to Traction Ditcher.
From Eng. News-Record, Vol. 82, 1919, p. 740.
Wheel excavators are not adapted to the excavation of sewer trenches over 3 to 4 feet in width and 6 to 8 feet in depth. The endless-chain excavators are suitable for depths of 25 feet with widths from 22 to 72 inches, and due to the arrangement permitting buckets to be moved sideways they will cut trenches of different widths with the same size buckets. This is an advantage where there are to be irregularities in the width of the trench such as for manholes or changes in size of pipe. With excavating machines pipe can be laid within 3 feet of the moving buckets and the trench backfilled immediately, thus making an appreciable saving in the amount of sheeting. In the construction of trenches for drain tile at Garden Prairie, Illinois, the sheeting was built in the form of a box or shield fastened to the rear of the machine and pulled along after it as is shown in Fig. 91.
The performance of this type of excavating machine under suitable conditions is large. A remarkable record was made by Ryan and Co. in Chicago,[82] with an excavating machine. 1338 feet of 32–inch trench were excavated to an average depth of 8½ feet in 7 hours, or an average of 160 cubic yards per hour. More could have been accomplished if it had not been for delays in supplies. Another crew at Greeley, Colorado,[83] with a Buckeye endless-chain ditcher weighing 17 tons and costing $5200, averaged 232 cubic yards per day for 300 days, and the cost was 10.7 cents per cubic yard. A 15–ton Austin excavator can be expected to remove 300 to 500 cubic yards per day.
The cost of operation of the machines is made up of items listed in Table 50. The figures given are merely suggestive.
| 249 | |||
| TABLE 50 | |||
|---|---|---|---|
| Cost of Operating Ditching Machine | |||
| Per Day | Total | ||
| Labor: | |||
| 1 Operator at $150 per month | $6.00 | ||
| 1 Assistant Operator at $120 per month | 4.00 | ||
| 4 laborers at 4.00 per day | 16.00 | ||
| $26.00 | |||
| Fuel: | |||
| 20 Gallons of gasoline at 28 cents | 5.60 | 5.60 | |
| Miscellaneous: | |||
| Oil, waste, etc. | 1.20 | ||
| Repairs and maintenance | 10.00 | ||
| Interest, 6 per cent on $10,000 for 150 days | 4.00 | ||
| Depreciation, 200 working days per year and an 8 year life | 11.11 | 26.31 | |
| Total cost per day | $57.91 | ||
| TABLE 51 | |||
|---|---|---|---|
| Comparison of Cost of Hand Excavation and Machine Excavation with Continuous-bucket Excavator | |||
| Hand Work | Per Day, Dollars | Machine Work | Per Day, Dollars |
| Foreman | 4.00 | Engineer | 4.00 |
| Timberman | 3.00 | Fireman | 2.50 |
| Helper | 2.50 | Coal | 5.00 |
| 4 Laborers at $2.00 | 80.00 | Team | 4.00 |
| Foreman | 4.00 | ||
| Pipe layer | 3.00 | ||
| Helper | 2.50 | ||
| 2 Teams backfilling | 8.00 | ||
| 2 Helpers | 4.00 | ||
| Interest, depreciation and repairs | 10.00 | ||
| Total | 95.00 | Total | 54.50 |
250In making a comparison of the cost of hand and machine excavation the figures given in Table 51 are from “Excavating Machinery” by McDaniel, who quotes the cost of machine excavation from the manufacturers of the Parsons machine issued as the result of several years’ experience with their excavator. In the comparison the hand crew is assumed to dig 315 linear feet of trench 28 inches wide by 12 feet deep in a day of 10 hours. This assumes that each man will excavate 7 cubic yards per day. The machine is assumed to excavate 250 feet of the same trench. The comparison indicates that an excavator will work at about 50 per cent of the cost of hand excavation, if the cost of moving the machine is not included.
Fig. 92.—Carson Excavating Machine on Trench Excavation in South Milwaukee.
Courtesy, Mr. C. F. Henning.
131. Cableway and Trestle Excavators.—Cableway and trestle excavators are most suitable for deep trenches and crowded conditions. They should not be used for trenches much less than 8 feet in depth. They differ from the continuous bucket excavators in that the actual dislodgment of the material is done by pick and shovel, the excavated material being thrown by hand into the buckets of the machine. A machine of the Carson type is shown in Fig. 92. The machine consists of a series of demountable frames held together by cross braces and struts to form a semirigid structure. An I beam or channel extending the length of 251the machine is hung closely below the top of the struts. The lower flange of this beam serves as a track for the carriages which carry the buckets. All the carriages are attached to each other and to an endless cable leading to a drum on the engine. This cable serves to move the buckets along the trench. The buckets are attached to another cable which is wound around another drum on the engine and serves to lower or raise all the buckets at the same time. In operation there are always at least two buckets for each carriage, one in the trench being filled and the other on the machine being dumped. There should be a surplus of buckets to replace those needing repairs.
The machines may be from 200 to 350 feet in length, and the number of buckets which can be lifted at one time varies from one to a dozen or more. On trenches over 5 to 6 feet in width a double line of buckets is sometimes used. The entire machine rests on rollers and straddles the trench. It is moved along the trench by its own power, either by gearing or chains attached to the wheels, or by a cable attached to a dead-man ahead.
The Potter trench machine differs from the Carson in that only 2 buckets are used at a time and these are carried on a car which travels on a track on top of the trestle. The movement of the buckets and the car are controlled by 2 dump men who ride on the car and who can raise or lower the buckets independently.
The organization needed to operate these machines is: a lockman who locks and unlocks the buckets on the cable, a dumper, as many shovelers as there are buckets on the machine, and an engineman who is usually his own fireman. From 50 to 400 cubic yards of material can be excavated in a day with one of these machines, dependent on the character of the material and the depth of the trench. H. P. Gillette in his Handbook of Cost Data reports that about 190 cubic yards were excavated per day with a Potter machine. The machine was 370 feet long. Six ¾-yard buckets were used, 4 in the trench and 2 on the carrier. The trench was 10½ feet wide and 18 feet deep in wet sand and soft blue clay. The organization consisted of an engineman, a fireman, 2 dumpmen on the carrier, and from 17 to 21 excavating laborers depending on the kind and the amount of the excavation. In general the capacity of such machines is limited by the amount of material which can be shoveled into them by hand.
252132. Tower Cableways.—These are essentially of the same class as the trestle cableway machines. They differ in that the carriage supporting the buckets travels on a cable suspended between 2 towers instead of on a track supported on a trestle. As a rule only one bucket is handled in the machine at a time. They are used in sewer work only in exceptional cases as the towers must be taken down and re-erected each time that there is an advance in the trench greater than the distance between the towers.
133. Steam Shovels.—The use of steam shovels for the excavation of sewer trenches is becoming more prevalent because of their growing dependability and durability as compared with other machines, their adaptability for small trenches, and the relatively large number of widely different uses to which they can be put. In excavating a trench the shovel straddles the trench and runs on tractors, wheels, or rollers on either side of it. The shovel cuts the trench ahead of it. As a result it is difficult to set sheeting and bracing close to the end of the trench while the shovel is operating. Steam shovels are therefore not suitable for excavation in unstable material, unless the sheeting is driven ahead of the excavation. It is only in the softest ground that ordinary wood sheeting can be driven ahead of the excavation. Steel sheet piling is more suitable for such use. Fig. 93[84] shows a shovel at work on a trench in Evanston, Illinois.
Shovels are equipped with extra long dipper handles to adapt them to trench excavation. The dipper handle in the picture is longer than the standard for this type of machine. The method of supporting the shovel can be seen in the picture under the machine and the method of bracing and of finishing the trench by hand work are also shown. The excavated material is taken out in the shovel and dropped on the bank or into wagons.
The limiting depth to which trenches can be excavated by steam shovels is about 20 to 25 feet, where the trench is too narrow for the shovel to enter. Wider trenches are cut in steps of about 15 feet, the shovel working in the trench for additional depths. Shovels are now made to cut trenches as narrow as a man can enter to lay pipe. The greatest width that can be cut from one position of the shovel is from 15 to 40 feet, dependent on the size of the shovel. Occasionally a combination of a drag line 253and a steam shovel can be used, as on the construction of the Calumet sewer in Chicago. On this work the first step was cut by a steam shovel. It was followed by a drag line resting on the step thus prepared, and excavating the remaining distance to grade. The depth of the trench in this work averaged about 25 to 30 feet.
Fig. 93.—Steam Shovel at Work on Sewer Trench for North Shore Intercepting Sewer, Evanston, Illinois.
Steam shovels are rated according to their tonnage and the capacity of the dipper in cubic yards. Both are necessary as the size of the dipper is varied for the same weight of machine, dependent on the character of the material being excavated. For rock the dipper is made smaller than for sand. Gillette in his Hand Book of Cost Data gives the coal and water consumption of steam shovels as shown in Table 52. The performance of steam shovels is recorded in Table 53. The conditions of the work have a marked effect on the output of the shovel. A shovel in a thorough cut, i.e., in a trench just wide enough for the shovel to turn 180 degrees but too narrow to run cars or wagons along side of it, will perform less than one-half of the work that it can perform in a side cut, i.e., where the cars can be run along side the shovel which turns less than 90 degrees.
| 254 | ||||||
| TABLE 52 | ||||||
|---|---|---|---|---|---|---|
| Coal and Water Consumption by Steam Shovels | ||||||
| (From Handbook of Cost Data, by H. P. Gillette) | ||||||
| Weight in tons | 35 | 45 | 55 | 65 | 75 | 90 |
| Dipper, cubic yards | 1¼ | 1½ | 1¾ | 2 | 2½ | 3 |
| Coal, tons per 10 hour day | ¾ | 1 | 1¼ | 1½ | 2 | 2¼ |
| Water, gallons per 10 hour day | 1500 | 2000 | 2500 | 3000 | 4000 | 4500 |
| TABLE 53 | |||||||
|---|---|---|---|---|---|---|---|
| Performance by Steam Shovels | |||||||
| Weight in Tons | Dipper Cubic Yards | Depth of Cut, Feet | Width of Cut | 10–Hour Performance | Cost in Cents, per Cubic Yard | Authority | Remarks |
| 25 | 1 | 9 | 36 in. | 85 | 22.6 | R. T. Dana Eng. Rec., 69:581 | 1 |
| 25 | 1 | 8 | 35 in. | 96 | 23.5 | do. | 2 |
| 70 | 2 | 26 | 16 ft. | 569 | 6.7 | do. | 3 |
| 30 | 1 | 15–18 | 60 in. | 300 | A. B. McDaniel Excavating Machinery | 4 | |
| 15 | ⅝ | 14 | 134 ft. | 400 | Eng. Cont’r, 8–25–09 | 5 | |
| 8 | 36 | Very wide | 16 yd. cars | Marion Steam Shovel Co. | 6 | ||
| 55 | 296 | H. P. Gillette’s Cost Data | 7 | ||||
| 65 | 2¼ | 280 | do. | ||||
| Greater than 78 in. | 700 | 30.6 | G. C. D. Lenth, Eng. News-Record, 85:22 | 8 | |||
255134. Drag Line and Bucket Excavators.—A drag line excavator is shown in Fig. 94. The back of the bucket is attached to a drum on the engine by means of a cable passing over the wheel in the end of the long boom. The front of the bucket is attached by another cable directly to another drum on the engine. In operation the bucket is raised by its rear end and dropped out to the extremity of the boom. It is then dragged over the ground towards the machine, digging itself in at the same time. When filled the bucket is raised by tightening up on the two cables, swung to one side by means of the movable boom, and dumped.
Fig. 94.—Drag Line at Work on Trench for Drain Tile.
Drag line excavators will perform as much work as steam shovels under favorable conditions. They are less expensive in first cost and operation, and are equally reliable but they are not adapted to the more difficult situations where steam shovels can be used to advantage. Drag lines are suitable only for relatively wide trenches in material requiring no bracing, and in a locality where relatively long stretches of trench can be opened at one time.
The bucket excavator differs from the drag line in that the bucket can be lifted vertically only and the types of buckets used in the two types of machine are different. The bucket may be self filling of the orange-peel or clam-shell type, or a cylindrical container which must be filled by hand. A drag line can be 256easily converted into a boom and bucket excavator. Boom and bucket excavators are well adapted to use in deep, closely braced trenches and shafts.
135. Excavation in Quicksand.[85]—A sand or other granular material in which there is sufficient upward flow of ground water to lift it, is known as quicksand. Its most important property, from the viewpoint of sewer construction, is its inability to support any weight unless the sand is so confined as to prevent flowing of the sand, or unless the water is removed from the sand.
Excavation in quicksand is troublesome and expensive and is frequently dangerous. The material will flow sluggishly as a liquid, it cannot be pumped easily, and its excavation causes the sides of the trench to fall in or the bottom to rise. The foundations of nearby structures may be undermined, causing collapse and serious damage. These conditions may arise even after the backfilling has been placed unless proper care has been taken. The greatest safeguard against such dangers is not only to exercise care in the backfilling to see that it is compactly tamped and placed, but to leave all sheeting in position after the completion of the work.
The ordinary method of combating quicksand and in conducting work in wet trenches is to drive water-tight sheeting 2 or 3 feet below the bottom of the trench, and to dewater the sand by pumping. When dry it can be excavated relatively easily. A more primitive but equally successful method is to throw straw, brickbats, ashes, or other filling material into the trench in order to hold the excavation once made, or this may supplement the attempts at pumping, or the wet sand may be bailed out in buckets. Successful excavation in quicksand requires experience, resourcefulness. and a careful watch for unexpected developments. The well points described in Art. 142 are used for dewatering quicksand.
136. Pumping and Drainage.—Ground water is to be expected in nearly all sewer construction and provision should be made for its care. Where geological conditions are well known or where previous excavations have been made and it is known that no ground water exists it may be safe to make no provision for encountering ground water. Where ground water is to be expected 257the amount must remain uncertain within certain rather wide limits until actually encountered.
In order to avoid the necessity for pumping, or working in wet trenches it is sometimes possible to build the sewer from the low end upwards and to drain the trench into the new sewer. The wettest trenches are the most difficult to drain in this manner as the material is usually soft and the water so laden with sediment as to threaten the clogging of the sewer. It is undesirable to run water through the pipes until the cement in the joints has set. This necessitates damming up the trench for a period which may be so long as to flood the trench or delay the progress of the work. If it is not possible to drain the trench through the sewer already constructed the amount of water to be pumped can be reduced by the use of tight sheeting.
Fig. 95. Improvised Trench Pump.
Pumps for dewatering trenches must be proof against injury by sand, mud, and other solids in the water. For this purpose pumps with wide passages and without valves or packed joints are desirable. The types of pumps used are: simple flap valve pumps improvised on the job, diaphragm pumps, jet pumps, steam vacuum pumps, centrifugal pumps, and reciprocating pumps. All are of the simplest of their type and little attention is paid to the economy of operation because of the temporary nature of their service.
137. Trench Pump.—A simple pump which can be improvised on the job is shown in section in Fig. 95. Its capacity is about 20 gallons per minute but its operation is backaching work. It is inexpensive, quickly put together and may be a help in an emergency. It is to be noted that the passages are large and straight, that there are no packed joints, and that the velocity of flow is so small that it is not liable to clogging by picking up small objects.
Fig. 96.—Diaphragm Pump
Courtesy, Edson Manufacturing Co.
138. Diaphragm Pump.—The type of pump shown in Fig. 96 is the most common in use for draining small quantities of water from excavations. It is known as the diaphragm pump from the large rubber diaphragm on which the operation depends. The pump is made of a short cast-iron cylinder, divided by the rubber diaphragm or disk to the center of which the handle is connected. The valve is shown at the center of the disk. As the diaphragm is lifted the valve remains closed, creating a partial vacuum in the suction pipe and at the same time discharging the water which passed through the valve on the previous down stroke. When the valve is lowered the foot valve on the suction pipe closes, holding the water in place, and the valve in the pump opens allowing the water to flow out on top of the disk to be discharged on the next up stroke. Table 54 shows the capacities of some diaphragm pumps as rated by the manufacturers. The smaller sizes are the more frequently used and are equipped with a 3–inch suction hose with strainer and foot valve. They are not adapted to suction lifts over 10 to 12 feet. Where greater lifts are necessary one pump may discharge into a tub in which the foot valve of a higher pump is submerged.
| TABLE 54 | |||
|---|---|---|---|
| Capacities of Diaphragm Pumps | |||
| Diameter of Cylinder, Inches | Diameter of Suction, Inches | Length of Stroke in Inches | Capacity per Stroke, Gallons |
| 6 | 3 | 4 | 0.49 |
| 8½ | 4 | 6 | 1.47 |
| 9[86] | 2½ | 0.75 | |
| 12½[86] | 3 | 1.25 | |
| 12½[86] | Power driven by 1 horse-power engine | 0.58[87] | |
Fig. 97.—McGowan Steam Jet Pump.
Courtesy, The John H. McGowan Co.
139. Jet Pump.—The simplicity of the parts of the jet pump is shown in Fig. 97. It has a distinct advantage over pumps containing valves and moving parts in that there are no obstructions offered to the passage of solids as well as liquids through the pump. It is not economical in the use of steam, however. It operates by means of a steam jet entering a pipe at high velocity through a nozzle. This action causes a vacuum which will lift water from 6 to 10 feet. The lower the suction lift, however, the greater the efficiency of the work. The sizes and capacities of jet pumps as manufactured by the J. H. McGowan Co. are shown in Table 55.
| TABLE 55 | ||||
|---|---|---|---|---|
| Capacities of Jet Pumps | ||||
| (J. H. McGowan Co.) | ||||
| Size of Pump and Suction Pipe, Inches | Discharge Pipe, Inches | Steam Pipe, Inches | Capacity, Gallons per Minute | Approximate Horse-power Required |
| ¾ | ½ | ⅜ | 8 | 2 |
| 1 | ¾ | ½ | 15 | 3 |
| 1¼ | 1 | ½ | 20 | 4 |
| 1½ | 1¼ | ¾ | 30 | 6 |
| 2 | 1½ | ¾ | 40 | 8 |
| 2½ | 2 | 1 | 50 | 10 |
| 3 | 2½ | 1 | 60 | 15 |
| 4 | 3½ | 1¼ | 85 | 25 |
140. Steam Vacuum Pumps.—This type of pump depends on the condensation of steam in a closed chamber to create a vacuum which lifts water into the chamber previously occupied by the 260steam and from which the water is ejected by the admission of more steam. The best known pumps of this type are the Pulsometer, manufactured by the Pulsometer Steam Pump Co., the Emerson, manufactured by the Emerson Pump and Valve Co., and the Nye Pump, manufactured by the Nye Steam Pump and Machinery Co.
Fig. 98.—Pulsometer Steam Vacuum Pump.
A section of a Pulsometer is shown in Fig. 98. It consists of two bottle-shaped chambers A and B with their necks communicating at the top and each opening into the outlet chamber O through a check valve. Steam is admitted at the top and enters chamber A or B according to the position of the steam valve C as shown. This steam valve is a ball which is free to roll either to the right or left and forms a steam-tight joint with whichever seat it rests upon. In normal operation chamber A would be filled with water as the steam enters the cylinder. At the same time a check valve at the top opens to admit a small quantity of air which forms a cushion insulating the steam from the water, reduces the condensation of the steam, and serves as a cushion 261for the incoming water on the opposite stroke. The pressure of the steam depresses the surface of the water without agitation and forces the water through the check valve F into the discharge chamber O. When the water falls to the level of the discharge chamber the even surface is broken up and the intimate contact of the steam and water condenses the former instantaneously. This forms a vacuum in chamber A which, assisted by a slight upward pressure in chamber B caused by the incoming water, immediately pulls the ball C over to the other seat and directs the steam into chamber B. The vacuum in chamber A now draws up a new charge of water through the suction pipe into the chamber.
Fig. 99.—Emerson Steam Vacuum Pump.
A section of the Emerson pump is shown in Fig. 99. The pump consists of two vertical cylinders B and C. Each chamber has a suction valve L at the bottom, opening upward from a common chamber from which the discharge pipe U extends. On the top of each chamber is a baffle plate G which operates to distribute the steam evenly to the two chambers and to prevent it from agitating the surface of the water in the chambers. A condenser nozzle F is connected with the bottom of the opposite chamber by a pipe into which a check valve opens upward. As the pressure in the chamber alternates water will be injected through F into the opposite chamber and condense the steam therein, promptly forming a vacuum. An air valve P admits a small quantity of air while the chamber is filling with water, the air acting as an insulating cushion as in the Pulsometer. Valve O, just above the top connection S is used to regulate the amount of steam that 262enters the pump. The top connection S has two ports, one leading to each chamber. An oscillating valve enclosed in it admits the steam through these ports to the two chambers alternately. This valve is driven by a small three-cylinder engine, the crank shaft of which extends into the top connection in the center of the bearing on which the valve oscillates. A positive geared connection is made between the valve and the engine and so arranged that the engine will run faster than the valve.
The action of these pumps consists of alternately filling and emptying the two chambers. They will continue operation without attention or lubrication so long as the steam is turned on. In view of the simplicity of their operation and make-up, their ability to handle liquids heavily charged with solids, and their reasonable steam consumption these pumps are widely used for pumping water in construction work. They have an added advantage that no foundation or setting is required for them as they can be hung by a chain from any available support.
These pumps are manufactured in sizes varying from 25 to 2500 gallons per minute at a 25–foot head, and with a steam consumption of about 150 pounds per horse-power hour. They reduce about 4 per cent in capacity for each 10 feet of additional lift. They will operate satisfactorily between heads of 5 to 150 feet, with a suction lift not to exceed 15 feet. Lower suction lifts are desirable and the best operation is obtained when the pump is partly submerged. The steam pressure should be balanced against the total head. It varies from 50 to 75 pounds for lifts up to 50 feet, and increases proportionally for higher lifts. The dryer the steam the lower the necessary boiler pressure.
141. Centrifugal and Reciprocating Pumps.—The details of these pumps, their adaptability to various conditions, and their capacities are given in Chapter VII. The centrifugal is better adapted to trench pumping as it is not so affected by water containing sand and grit, but for clear water, high suction lifts and fairly permanent installations, reciprocating pumps can be used with satisfaction.
142. Well Points.—In dewatering quicksand a method frequently attended with success is to drive a number of well points into the sand and connect them all to a single pump. Figure 100 shows a well point system used on sewer work in Indiana. The well points are 3 feet apart and are connected to a 2½-inch header 263which in turn is connected to six Nye pumps, each with a capacity of 200 gallons per minute for a lift of 50 feet. The number and size of well points and pumps to use will depend on conditions as met on the job. On a piece of work in Atlantic City[88] the equipment consisted of two complete outfits each comprising one hundred 1½ inch by 36–inch No. 60 well points, one hundred 6–foot lengths of rubber hose, about 600 feet of suction main, one hundred valved T connections, and a 7 × 8–inch Gould Triplex Pump with a capacity of 200 gallons per minute, belted to a 7½ horse-power motor.
Fig. 100.—Well Points Pumped by Nye Steam Vacuum Pump.
143. Rock Excavation.—A common definition of rock used in specifications is: whenever the word Rock is used as the name of an excavated material it shall mean the ledge material removed or to be removed properly by channeling, wedging, barring, or blasting; boulders having a volume of 9 (this volume may be varied) cubic feet or more, and any excavated masonry. No soft disintegrated rock which can be removed with a pick, nor loose shale, nor previously blasted material, nor material which may have fallen into the trench will be measured or allowed as rock.
Channeling consists in cutting long narrow channels in the rock to free the sides of large blocks of stone. The block is then loosened by driving in wedges or it is pried loose with bars. It is a method used more frequently in quarrying than in trench excavation 264where it is not necessary to preserve the stone intact. In blasting, a hole is drilled in the rock, and is loaded with an explosive which when fired shatters the rock and loosens it from its position.
Fig. 101.—Plug and Feathers for Splitting Rock.
In drilling rock by hand the drill is manipulated by one man who holds it and turns it in the hole with one hand while striking it with a hammer weighing about 4 pounds held in the other hand, or one man may hold and turn the drill while one or two others strike it with heavier hammers. In churn drilling a heavy drill is raised and dropped in the hole, the force of the blow developing from the weight of the falling drill. Hand drills are steel bars of a length suitable for the depth of the hole, with the cutting edge widened and sharpened to an angle as sharp as can be used without breaking. The drill bar is usually about ⅛th of an inch smaller than the diameter of the face of the drill.
Wedges used are called plugs and feathers. They are shown in Fig. 101 which shows also the method of their use. The feathers are wedges with one round and one flat face on which the flat faces of the plug slide.
144. Power Drilling.—In power drilling the drill is driven by a reciprocating machine which either strikes and turns the drill in the hole, or lifts and turns it as in churn drilling, or the drill may be driven by a rotary machine which is revolved by compressed air, steam, or electricity. There are many different types of machines suitable for drilling in the different classes of material encountered and for utilizing the various forms of power available.
A jack hammer drill is shown in Fig. 102. In its lightest form the drill weighs about 20 pounds and is capable of drilling ⅞-inch holes to a depth of 4 feet. Heavier machines are available for drilling larger and deeper holes. The same machine can be adapted to the use of steam or compressed air. When in use the point of the drill is placed against the rock and a pressure on the 265handle opens a valve admitting air or steam. The piston is caused to reciprocate in the cylinder, striking the head of the drill at each stroke. The drill is revolved in the hole by hand or by a mechanism in the machine. A hollow drill can be used by means of which the operator admits air or steam to the hole, thus blowing it out and keeping it clean. These machines have the advantage of small size, portability and simplicity. They can be easily and quickly set up and the drills can be changed rapidly. Their undesirable features are the vibration transmitted to the operator and the dust raised in the trench.
Fig. 102.—Jack Hammer Rock Drill.
Fig. 103.—Tripod Drill.
A type of drill heavier and larger than the jack hammer drill is shown in Fig. 103. It requires some form of support such as a tripod, or in tunnel work it can be braced against the roof or sides. Some data on steam and air drills are given in Table 56. The effect of the length of the transmission pipe, temperature of the outside air, pressure at the boiler or compressor, etc., will have a marked effect on the amount of steam or air to be delivered to the drill. Compressed air is affected more than steam by these outside factors, but it has an advantage in that as it loses in pressure it increases in volume so that the loss of power is not so marked. Gillette states:
266We may assume that a cubic foot of steam will do practically the same work in a drill as a cubic foot of compressed air at the same pressure, because neither the steam nor the air acts expansively to any great extent in a drill cylinder, due to the late cut-off. This being so ... one pound of steam is equivalent to nearly 30 cubic feet of free air ... all at the same pressure of 75 pounds per square inch. If a drill consumes at the rate of 100 cubic feet of free air per minute ... it would therefore consume 240 pounds of steam (at 75 pounds pressure) per hour.... Where not more than three or four drills are to be operated, probably no power can equal compressed air generated by gasoline. It will require 12 horse-power to compress air for each drill, hence 1½ gallons of gasoline will be required per hour per drill while actually drilling.
| TABLE 56 | ||||||
|---|---|---|---|---|---|---|
| Data on Rock Drills | ||||||
| (From H. P. Gillette) | ||||||
| Diameter of cylinder in inches | 2¼ | 2½ | 2¾ | 3⅛ | 3¼ | 3⅜ |
| Length of stroke in inches | 5 | 6 | 6½ | 6⅝ | 6⅝ | 7¼ |
| Length of drill from end of crank to end of piston | 36 | 43 | 50 | 50 | 50 | 52 |
| Depth of hole drilled without change of bit, inches | 15 | 20 | 24 | 24 | 24 | 24 |
| Diameter of supply inlet. Standard pipe, inches | ¾ | ¾ | ¾ | 1 | 1 | 1¼ |
| Approximate strokes per minute with 60 pound pressure at the drill | 500 | 450 | 375 | 350 | 325 | 300 |
| Depth of vertical hole each machine will drill easily, feet | 6 | 8 | 10 | 14 | 16 | 20 |
| Diameter of holes drilled, inches | ¾ to 1½ as desired | |||||
| Diameter of octagon steel, inches | ¾ to ⅞ | ⅞ to 1 | 1 to 1⅛ | 1⅛ to 1¼ | 1⅛ to 1¼ | 1¼ to 1⅜ |
| Best size of boiler to give plenty of steam at high pressure, horse-power | 6 | 8 | 8 | 9 | 10 | 12 |
| Best size of supply pipe to carry steam 100 to 200 feet, inches | ¾ | ¾ | ¾ | 1 | 1 | 1¼ |
| Weight of drill unmounted, with wrenches and fittings, hot boxed, pounds | 128 | 190 | 265 | 315 | 385 | 390 |
| Weight of tripod, without weights, not boxed, pounds | 80 | 160 | 160 | 160 | 210 | 275 |
| Weight of holding down weights, not boxed, pounds | 120 | 270 | 270 | 285 | 330 | 375 |
| Cubic feet of free air per minute required to run one drill at 100 pounds | 92 | 104 | 126 | 146 | 154 | 160 |
| For more than one drill, multiply the value in the above line by the following factors: For 2 drills, 1.8; 5 by 4.1; 10 by 7.1; 15 by 9.5; 20 by 11.7; 30 by 15.8; 40 by 21.4; 70 by 33.2. | ||||||
267Since gasoline air compressors are self regulating, when the drill is not using air very little gasoline is burned by the gasoline engine driving the compressor. A gasoline compressor possesses other very important economic advantages over a small steam-driven plant. First, there is the saving in wages of firemen and second, there is the saving in hauling and pumping of water and the hauling of fuel. The cost of gasoline is often less than the cost of coal for operating a small plant.
An electric drill[89] operated on the principle of the solenoid does away with motor, valves, pipes, vapor, freezing, and other difficulties attendant on the use of steam or air.
The rates of drilling in different classes of rock are shown in Table 57. Frequent changes of drills and relocation of tripods will materially reduce the performance of a drill, for as much as 45 minutes may be lost in making a new set up. In this the jack hammer drills show their advantage as no time is lost in a set up.
| TABLE 57 | ||
|---|---|---|
| Rates of Rock Drilling | ||
| Rates in Feet per Ten-hour Shift. Vertical Holes 10–20 Feet Deep. | ||
| (From Gillette) | ||
| Hard Adirondack granite | 48 | |
| Maine and Massachusetts granite | 45–50 | |
| Mica-schist of New York City. Possible | 60–70 | |
| Mica-schist of New York City. Average | 40–50 | |
| Hard, Hudson River trap rock 40 | ||
| Soft red sand stone of Northern New Jersey | 90 | |
| Hard limestone near Rochester, N. Y | 70 | |
| Limestone of Chicago Drainage Canal | 70–80 | |
| Douglass, Indiana, syenite. Difficult set ups | 36 | |
| Canadian granite on Grand Trunk R. R | 30 | |
| Windmill point, Ontario limestone: | ||
| 3⅝-inch drills | 75 | |
| 2¾-inch drills | 60 | |
| 2¼-inch drills | 37 | |
145. Steam or Air for Power.—The choice between steam or air is dependent on the conditions of the work. Steam is undesirable in tunnels on account of the heat produced. In open cut 268work it is at a disadvantage because of the loss of power due to radiation from the hose or pipe. The life of the hose is not so long as when air is used, escaping steam causes clouds of vapor which obscure the work, and serious burns may occur due to hot water thrown from the exhaust. It is advantageous since leaks may be easily discovered and remedied, it requires less machinery than air, and it is sometimes less expensive. With compressed air, gasoline or electric motors can be used for operating the compressors.
| TABLE 58 | ||||
|---|---|---|---|---|
| Rock Blasting | ||||
| (From Gillette) | ||||
| Character of Material | Powder Used per Hole | Depth of Hole, Feet | Distance Back of Face, feet | Distance Hole to Hole, feet |
| Limestone of Chicago Drainage Canal | 40 per cent dynamite | 12 | 8 | 8 |
| Sandstone | 200 pounds black powder | 20 | 18 | 14 |
| Granite | 2 pounds 60 per cent dynamite | 12 | 1½ | 4½ to 5 |
| Pit mining, Treadwell, Mine, Alaska | 12 | 2½ | 6 | |
146. Depth of Drill Hole.—The depth of the hole is dependent on the character of the work. The deepest holes can be used in open cut work where the shattered rock is to be removed by steam shovel. The face can be made 10 to 15 feet high. The depth of the hole in center cut tunnel facings are from 6 to 10 or even 12 feet. In the bench the depth is equal to the height of the bench. In narrow trenches where the rock is to be removed by derrick or thrown into a bucket by hand, the hole should be sufficiently deep to shatter the rock to a depth of at least 6 inches below the finished sewer. Frequently shooting to this depth at one shot cannot be done due to the built up condition of the neighborhood or other local factors. The depth of the hole in trench work should not much exceed the distance between holes. Deep holes 269are usually desirable as a matter of economy in saving frequent set ups, but the holes cannot be made much over 20 feet in depth without increasing the friction on the drill to a prohibitive amount.
147. Diameter of Drill Hole.—The diameter of the hole should be such as to take the desired size of explosive cartridge. The common sizes of dynamite cartridges are from ⅞ inch to 2 inches in diameter. In drilling, the diameter of the hole is reduced about one-eighth of an inch at a time as the drill begins to stick. This reduction should be allowed for, and experience is the best guide for the size of the hole at the start. In general the softer or more faulty or seamy the rock, the more frequent the necessary reductions in size of bit.[90] For hard homogeneous rock the holes can be drilled 10 feet or more without changing the size of the drill bit.
148. Spacing of Drill Holes.—The spacing of holes in open cut excavation is commonly equal to the depth of the hole. The character of the material being excavated has much to do with the spacing of the holes. The spacing, diameter and depth of holes used on some jobs is shown in Table 58. Gillette states:
It is obviously impossible to lay down any hard and fast rule for drill holes. In stratified rock that is friable, and in traps that are full of natural joints and seams, it is often possible to space the holes a distance apart somewhat greater than their depth, and still break the rock to comparatively small sizes upon blasting. In tough granite, gneiss, syenite, and in trap where joints are few and far between, the holes may have to be spaced 3 to 8 feet apart regardless of their depth for with wider spacing the blocks thrown down will be too large to handle with ordinary appliances. Since in shallow excavations the holes can seldom be much further apart than one to one and one-half times their depth we see that the cost of drilling per cubic yard increases very rapidly the shallower the excavation. Furthermore the cost of drilling a foot of hole is much increased where frequent shifting of the drill tripod is necessary.
The common practice in placing drill holes is to put down holes in pairs, one hole on each side of the proposed trench; and if the trench is wide one or more holes are drilled between these two side holes[91] but in narrow trench 270work, such as for a 12–inch pipe, one hole in the middle of the trench will usually prove sufficient.
The holes are spaced about 3 feet apart longitudinally. After the holes have been completed they should be plugged to keep out dirt and water.
149. Purposes and Types.—Sheeting and bracing are used in trenching to prevent caving of the banks and to prevent or retard the entrance of ground water. The different methods of placing wooden sheeting are called stay bracing, skeleton sheeting, poling boards, box sheeting, and vertical sheeting. Steel sheeting is usually driven to secure water-tightness and if braced the bracing is similar to the form used for vertical wooden sheeting.
150. Stay Bracing.—This consists of boards placed vertically against the sides of the trench and held in position by cross braces which are wedged in place. The purpose of the board against the side of the trench is to prevent the cross brace from sinking into the earth. The boards should be from 1½ × 4 inches to 2 × 6 inches and 3 to 4 feet long. The cross braces should not be less than 2 × 4 inches for the narrowest trenches and larger sizes should be used for wider trenches. The spacing between the cross braces is dependent on the character of the trench and the judgment of the foreman. Stay bracing is used as a precautionary measure in relatively shallow trenches with sides of stiff clay or other cohesive material. It should not be used where a tendency towards caving is pronounced. Stay bracing is dangerous in trenches where sliding has commenced as it gives a false sense of security. The boards and cross braces are placed in position after the trench has been excavated.
151. Skeleton Sheeting.—This consists of rangers and braces with a piece of vertical sheeting behind each brace. A section of skeleton sheeting is shown in Fig. 104 with the names of the different pieces marked on them. This form of sheeting is used in uncertain soils which apparently require only slight support, but may show a tendency to cave with but little warning. When the warning is given vertical sheeting can be quickly driven behind the rangers and additional braces placed if necessary. The sizes of pieces, spacing and method of placing should be the same as 271for complete vertical sheeting in order that this may be placed if necessary.
152. Poling Boards.—These are planks placed vertically against the sides of the trench and held in place by rangers and braces. They differ from vertical sheeting in that the poling board is about 3 or 4 feet long. It is placed after the trench has been excavated; not driven down with the excavation like vertical sheeting. An arrangement of poling boards is shown in Fig. 105. This type of support is used in material that will stand unsupported for from 3 to 4 feet in height. Its advantages lie in that no driving is necessary, thus saving the trench from jarring; no sheeting is sticking above the sides of the trench to interfere with the excavation; and only short planks are necessary.
Fig. 104.—Skeleton Sheeting.
Fig. 105.—Poling Boards.
Showing Different Types of Cross Bracing.
The method of placing poling boards is as follows: Excavate the trench as far as the cohesion of the bank will permit. Poling boards, 1½ inch to 2 inch planks, 6 inches or more in width, are then stood on end at the desired intervals along each side of the trench for the length of one ranger. The poling boards may be held in place by one or two rangers. Two are safer than one but may not always be necessary. If one ranger is to be used it is placed at the center of the poling board. After the poling boards are in position the rangers are laid in the trench and the cross 272braces are cut to fit. If wedges are to be used for tightening the cross braces, the cross braces are cut about 2 inches short. If jacks are to be used the braces are cut short enough to accommodate the jacks when closed, or adjustable trench braces may be used as shown in Fig. 106. The use of extension braces saves the labor of fitting wooden braces. With everything in readiness in the trench, the cross brace is pressed against the ranger which is thus held in place. The wedge or jack is then tightened holding the poling boards and cross brace in position.
Fig. 106.—Box Sheeting.
Showing Different Types of Cross Bracing.
153. Box Sheeting.—Box sheeting is composed of horizontal planks held in position against the sides of the trench by vertical pieces supported by braces extending across the trench. The arrangement of planks and braces for box sheeting is shown in Fig. 106. This type of sheeting is used in material not sufficiently cohesive to permit the use of poling boards, and under such conditions that it is inadvisable to use vertical sheeting which protrudes above the sides of the trench while being driven. This sheeting is put in position as the trench is excavated. No more of the excavation than the width of three or four planks need be unsupported at any one time. In placing the sheeting the trench is excavated for a depth of 12 to 24 inches. Three or four planks are then placed against the sides of the trench and are caught in position by a vertical brace which is in turn supported by a horizontal cross brace.
Fig. 107.—Vertical Sheeting.
154. Vertical Sheeting.—This is the most complete and the strongest of the methods for sheeting a trench. It consists of a system of rangers and cross braces so arranged as to support a solid wall of vertical planks against the sides of the trench. An arrangement of complete vertical sheeting is shown in Fig. 107. This type can be made nearly water-tight by the use of matched boards, Wakefield piling, steel piling, etc. Wakefield piling is made up of three planks of the same width and usually the same 273thickness. They are nailed together so that the two outside planks protrude beyond the inside one on one side, and the inside one protrudes beyond the two outside ones on the other side as shown in Fig. 108. The protruding inside plank forms a tongue which fits into the groove formed by the protruding outside planks of the adjacent pile.
Fig. 108.—Wakefield Sheet Piling.
Fig. 109. Section through Malleable Steel Driving Cap.
In placing vertical sheeting the trench is excavated as far as it is safe below the surface. Blocks of the same thickness as the sheeting are then placed against the bank at the middle and at the ends of two rangers on opposite sides of the trench. The ranger rest against blocks, and are held away from the sides of the trench by them. Cross braces are next tightened into position opposite the blocks to hold the rangers in place. After the skeleton sheeting is in place the planks forming the vertical sheeting are put in position with a chisel edge cut on the lower end of the plank, with the flat side against the bank. The planks should be driven with a maul, the edge of the plank following closely behind the excavation. In relatively dry work the driving of the plank is facilitated by excavating beneath the edge as it is driven. The upper end of the sheeting should be protected by a malleable steel or iron cap to prevent brooming of the lumber. A cap is shown in Fig. 109. A sledge hammer may be used for driving when the lumber is protected. If the sheeting is to start at the surface and is to be driven by hand, the first length should not exceed 4 feet unless a platform is erected for the driver. Succeeding lengths may be longer, the driver standing on planks supported on the cross braces in the trench. Steam hammers and pile drivers are sometimes used for driving sheeting.
274The framework of the sheeting should be placed with a cross brace for each end of each ranger and a cross brace for the middle of each ranger. If the ends of two rangers rest on the same cross brace an accident displacing one ranger will be passed on to the next and might cause a progressive collapse of a length of trench, whereas the movement of an independently supported ranger should have no effect on another ranger. The cross braces should have horizontal cleats nailed on top of them as shown in Fig. 107 to prevent the braces from being knocked out of place by falling objects. In driving vertical sheeting a vacant place will be left behind each cross brace corresponding to the original block placed to hold the ranger away from the bank. This is an undesirable feature in the use of vertical sheeting. It is ordinarily remedied by slipping in planks the width of the slot and wedging or nailing them against the convenient cross bracing. In extremely wet trenches, after all other pieces of vertical sheeting are in place, the original cleat behind the cross brace can be knocked out and a piece of sheeting slipped into this opening and driven. Care must be taken in this event not to drive the rangers down when driving the sheeting. If the bracing begins to drop, it should be supported by vertical pieces between the rangers and resting on a sill at the bottom of the trench.
Fig. 110.—Steel Clamp for Pulling Wood Sheeting.
155. Pulling Wood Sheeting.—Wood sheeting is pulled after the completion of the trench by a device shown in Fig. 110. In wet trenches where the removal of the sheeting would permit a movement of the banks, resulting in danger to the sewer or other structures, the sheeting should be left in place in the trench. If sufficient saving can be made the sheeting is cut off in the trench immediately above the danger line, usually the ground water line. The cutting is done with an axe or by a power driven saw devised for the purpose.
156. Earth Pressures.[92]—The various theories of earth pressure are so conflicting in their conclusions as to be confusing. Rankine’s theory, the most frequently used, assumes that the pressure increases with the depth, whereas Meem’s theory[93] leads 275to an opposite conclusion. The discussion following Meem’s article is very illuminating. It indicates that no matter how good the theory, practical experience together with the use of generous sizes and close spacing are the best guides for bracing trenches and coffer dams. All are not possessed with the desired practical experience and some basis on which to commence work is essential. Another factor affecting computations of sizes based on theory is the tendency in practice to use the same size material for rangers and braces on any one job for all except very deep trenches and other special cases. Occasionally where there is an independent brace for each end of each ranger, the brace is made thinner, but is of the same depth as the ranger.
The application of Rankine’s theory of earth pressure to the computation of the sizes of rangers and braces will be shown. His formula for the active earth pressure against a retaining wall is:
In studying the pressures for trenches the surface of the ground will be assumed as horizontal and the formula reduces to
157. Design of Sheeting and Bracing.—The trench shown in Fig. 111 is assumed to be constructed in moist sand weighing 110 pounds per cubic foot, with an angle of repose of 30 degrees. The material used for sheeting and bracing is yellow pine. The steps 276taken in the design of the sheeting and bracing for this trench are as follows:
Fig. 111.—Diagram for the Design of Wood Sheeting.
1. Earth Pressure.—Substituting the units given in the data, in Rankine’s formula for earth pressures,
Because the earth has been freshly cut and will not be kept open long enough to break up the cohesiveness of the banks it is customary to reduce the assumed pressure by dividing by 2, 3, or 4, according to the natural cohesiveness of the material. The cohesiveness of sand is not great, therefore the pressure will be assumed as one-half of the amount given by the formula, or
2. Thickness of Sheeting and Spacing of Rangers.—It is desirable to use the same thickness of sheeting throughout the depth of the trench. Computations should therefore be commenced at the bottom of the trench where the pressures are the greatest and the thickest sheeting will be required. It is necessary to determine by trial a spacing for the rangers and a thickness of sheeting so that the sheeting is stressed to its full working strength. Having determined the thickness of the sheeting at the bottom, the remainder of the computations consists in determining the spacing of the rangers.
In the example the lower ranger will be assumed as 3 feet from the bottom of the trench and the distance to the next ranger as 4 feet.
277The intensity of pressure at 22 feet 9 inches is 409.5 pounds per square foot.
The intensity of pressure at 26 feet 9 inches is 481.5 pounds per square foot.
The distribution of pressures is shown by the diagram on Fig. 111. The maximum bending moment is slightly below the point midway between the rangers and for a 12–inch strip is 10,500 inch-pounds.
Assuming 3 inch sheeting the maximum fiber stress is:
The working strength of yellow pine as given in Table 59, is 1200 pounds per square inch. Thinner sheeting should therefore be used.
| TABLE 59 | ||||||
|---|---|---|---|---|---|---|
| Working Unit Stresses for Timber | ||||||
| The most used value in the Building Codes of Baltimore, Boston, Cincinnati, Chicago, District of Columbia, and New York City | ||||||
| Wood | Tension, lb. sq. in. | Compression With Grain, lb. sq. in. | Compression Across Grain, lb. sq. in. | Transverse Bending, lb. sq. in. | Shear With Grain, lb. sq. in. | Shear Across Grain, lb. sq. in. |
| Yellow pine | 1200 | 1000 | 600 | 1200 | 70 | 500 |
| White pine | 800 | 800 | 400 | 800 | 40 | 250 |
| Spruce and Va. pine. | 800 | 800 | 400 | 800 | 50 | 320 |
| Oak | 1000 | 900 | 800 | 1000 | 100 | 600 |
| Hemlock | 600 | 500 | 500 | 600 | 40 | 275 |
| Chestnut | 600 | 500 | 1000 | 800 | 150 | |
| Locust | 1200 | 1000 | 1200 | 100 | 720 | |
| As published in American Civil Engineers Pocket Book. | ||||||
Assuming 2–inch sheeting, the fiber stress is 1,300 pounds per square inch. This stress is too large. By reducing the ranger spacing slightly the stress can be brought within the required limits.
Assuming a ranger spacing of 3 feet 9 inches the depth to the upper ranger is changed to 23 feet and the maximum stress in the 2782–inch sheeting becomes 1,140 pounds per square inch, a satisfactory result. The results for the computations for the other ranger spacings are shown in Table 60. The spacing of the rangers at the sheeting junctions is controlled by convenience and is not computed so long as it is obviously safe.
3. Size of Rangers.—The rangers will be assumed as 16 feet long with two end cross braces and one intermediate cross brace for each ranger. Starting as before at the bottom of the trench.
The area of the panel below the ranger and between cross braces is 24 square feet.
The average intensity of pressure is 28.25 × 18 = 508.5 pounds per square inch.
The load transmitted to the ranger is 6,000 pounds.
Similarly the load transmitted to the ranger from the panel above is 6,890 pounds.
The total distributed load on the ranger is 12,890 pounds.
If b is the vertical dimension of the ranger and d is the horizontal
dimension in inches, then from the beam theory, using f as
1,200 pounds per square inch, bd2 = M
200, in which M is expressed
in inch-pounds. The maximum bending moment is
An 8 × 10 inch beam will fulfill the conditions closely. Substituting these dimensions in the beam formula
= 1,160 pounds per square inch tension in outer fiber. The results of the computations for other rangers are shown in Table 60.
4. Size of Cross Braces.—The cross braces act as columns. The dimensions of the cross braces are determined by trial in such a manner that the vertical dimension of the brace is equal to the vertical dimension of the ranger and the compressive stress in pounds per square inch is computed from the expression,
| 279 | |||||||
| TABLE 60 | |||||||
|---|---|---|---|---|---|---|---|
| Computations for Sheeting and Bracing for Trench Shown in Fig. 111 | |||||||
| Material is moist sand weighing 110 pounds per cubic foot, with an angle of repose of 30°. Lumber is yellow pine, with working stress as given in Table 59. Working stresses for columns given as S(1 − l 60d). | |||||||
| Sheeting 2 inches × 12 Inches | Cross Braces | ||||||
| Depth | Maximum Bending Moment, Inch-Pounds | Maximum Fiber Stress, Pounds per Square Inch | Depth and Description | Total Load, Pounds | Size, Inches | Actual Intensity, Pounds per Square Inch | Allowable Intensity, Pounds per Square Inch |
| 23′–26.75′ | 9100 | 1140 | end at 26′ 9″ | 6,445 | 4 × 8 | 202 | 784 |
| 19′–23′ | 8800 | 1100 | int. at 26′ 9″ | 12,890 | 4 × 8 | 403 | 784 |
| 13′–17.5′ | 8550 | 1070 | end at 23′ 0″ | 6,393 | 4 × 8 | 200 | 784 |
| 8′–13′ | 7160 | 900 | int. at 23′ 0″ | 12,785 | 4 × 8 | 400 | 784 |
| 0′–6′ | 3000 | 375 | end at 19′ 0″ | 3,930 | 4 × 8 | 123 | 784 |
| int. at 19′ 0″ | 7,860 | 4 × 8 | 240 | 784 | |||
| end at 17′ 6″ | 3,566 | 4 × 8 | 112 | 684 | |||
| int. at 17′ 6″ | 7,132 | 4 × 8 | 224 | 684 | |||
| end at 13′ 0″ | 4,385 | 4 × 8 | 137 | 684 | |||
| int. at 13′ 0″ | 8,770 | 4 × 8 | 274 | 684 | |||
| end at 8′ 0″ | 2,270 | 4 × 6 | 96 | 687 | |||
| int. at 8′ 0″ | 4,540 | 4 × 6 | 189 | 667 | |||
| end at 6′ 0″ | 1,344 | 4 × 6 | 60 | 584 | |||
| int. at 6′ 0″ | 2,687 | 4 × 6 | 112 | 584 | |||
| end at 0′ 0″ | 432 | 4 × 6 | 18 | 584 | |||
| int. at 0′ 0″ | 863 | 4 × 6 | 36 | 584 | |||
| Rangers | |||||||||
|---|---|---|---|---|---|---|---|---|---|
| Depth | Area of Panel Below this Depth, Square Feet | Intensity of Pressure, Pounds per Square Inch | Total Load in Pounds | Load Transmitted to the Ranger from the | Size, Inches | Maximum Bending Moment in Thousand Inch-Pounds | Maximum Stress Pounds per Square Inch | ||
| Panel Below | Panel Above | Both Panels | |||||||
| 26′ 9″ | 24 | 508.5 | 12,200 | 6000 | 6890 | 12,890 | 8 × 10 | 155 | 1160 |
| 23′ 0″ | 30 | 448 | 13,440 | 6545 | 6240 | 12,785 | 8 × 10 | 153 | 1150 |
| 19′ 0″ | 32 | 378 | 12,100 | 5860 | 2000 | 7,860 | 8 × 10 | 94.3 | 708 |
| 17′ 6″ | 12 | 328.5 | 3,942 | 1942 | 5190 | 7,132 | 8 × 10 | 85.6 | 636 |
| 13′ 0″ | 36 | 274.5 | 9,880 | 4690 | 4080 | 8,770 | 8 × 10 | 105 | 790 |
| 8′ 0″ | 40 | 189 | 7,560 | 3480 | 1060 | 4,540 | 6 × 8 | 54.4 | 850 |
| 6′ 0″ | 16 | 126 | 2,020 | 960 | 1727 | 2,687 | 6 × 8 | 32.2 | 503 |
| 0′ 0″ | 48 | 54 | 2,590 | 863 | 0 | 863 | 6 × 8 | 10.4 | 161 |
The lower intermediate cross brace supports a length of 8 feet of the lower ranger on which the load has been found to be 12,890 pounds. The load on the end cross brace for the same ranger is one-half of this or 6,445 pounds. The length of each brace is 4 feet 4 inches. From Table 59, S1 is 1,000 pounds per square inch. From the column formula, S is 784 pounds per square inch.
A 4 × 8 inch cross brace is the smallest that is feasible. This is stressed only 12,890 pounds or 403 pounds per square inch, which is well within the permissible limits. The results of the other computations for cross braces are shown in Table 60.
158. Steel Sheet Piling.—This is coming into more general use with the increased cost of lumber and better acquaintance with its superiority over wood under many conditions. Although its first cost is higher than that of wood, the fact that with proper care it can be used almost an indefinite number of times renders it economical to contractors who may have an opportunity to make repeated use of it. The life of good yellow pine sheeting with the best of care may be as much as three or four seasons. With no particular care it will be destroyed at the first using. Fig. 112 shows various sections of steel piling used for trench sheeting. These forms are practically water-tight and aid materially in maintaining dry trenches. The piling can be made water tight by slipping a piece of soft wood between the steel sections when they are being driven, or by pouring in between the piles some dry material which will swell when wet. The piling is generally driven by a steam hammer and is pulled by attaching a ring through a bolt hole in the pile, or by grasping the pile with a clutch that tightens its grasp as the pull increases. An inverted steam hammer attached to the pile is sometimes used in pulling it. The impulses of the hammer together with a steady pull on the cable serve to drag out the most stubborn piece of piling.
Fig. 112.—Sections of Lackawanna Steel Sheet Piling.
159. Locating the Trench.—In order to locate a trench a line of stakes should be driven at about 50–foot intervals along the center line of the proposed sewer before excavation is commenced. Reference stakes or reference points to this line are located at some fixed offset or easily described point, or the stakes marking the center line of the trench may be driven at some constant offset distance one side of the trench, in order to avoid danger of loss or disturbance of the stakes. Grade or cut is seldom marked on the line of preliminary stakes, although the approximate cut may be indicated.
For hand excavation the foreman lays out the trench from these stakes. In machine work the operator guides the machine so as to follow the line of the stakes.
282160. Final Line and Grade.—After the excavation of the trench has proceeded to within a foot or two of the final depth, the grade and line are transferred to markers supported over the center of the trench. The markers are horizontal boards spanning the trench and held in position either by nails driven into stakes at the side of the trench, by nails driven into the sheeting, or by weights holding the boards on the ground. Two stakes driven in the ground at the side of the trench as shown in Fig. 113 are the common method of support. If the banks are too weak to stand under the jarring of the driving of the stakes, or pavement or other causes prevent their use the horizontal cross piece may be weighted down by bricks or a bank of earth. The cross pieces are located about every 25 feet along the trench and at any convenient distance above the surface of the ground. The nearer the ground the stronger the support but the greater the interference with work in the trench. The center line of the sewer is marked on the cross pieces after they are set, and vertical struts are nailed on them with one edge of the strut straight, vertical, and on the center line as shown in Fig. 1. The corresponding edge should be used on all struts in order to avoid confusion. The edge is placed in a vertical position by means of a plumb bob or carpenter’s level.
Fig. 113.—Methods for the Support of the Grade Line.
The cut to the invert of the sewer is recorded to an even number of feet where practicable by driving a nail in the upright strut so that the top edge of the nail is at the desired elevation above the sewer, or the upright is nailed with its top at the proper number of feet above the sewer invert. The cut is marked on the upright in feet, tenths, and hundredths from the recorded point to the elevation of the invert.
The inspector should watch these grade markers with care by sighting back along them to see that they are in line and have not 283moved. In quicksand or caving material the marks may move during the setting of the pipes and the levelman should be on the job constantly.
When excavation is being done by machine the depth of the excavation is controlled by the operator who maintains a sighting rod on the machine in line with the grade marks on the uprights.
Fig. 114.—Diagram Showing the Use of the Grade Rod for Fixing the Elevation of a Sewer.
161. Transferring Grade and Line to the Pipe.—In transferring grade and line to the sewer a light strong string is stretched tightly from nail to nail on the uprights marking the line and grade. A rod with a right angle projection at the lower end, as shown in Fig. 114, is marked with chalk or a notch at such a distance from the end that when the mark is held on the grade cord the lower portion of the rod which projects into the pipe will rest on the invert. The pipe is placed in line by hanging a plumb bob so that the plumb bob string touches the grade and center line cord. These marks are taken only as frequently as may be necessary to keep the sewer in line. An experienced workman can maintain the line by eye for considerable distances. Measurements should never be taken to the top of the pipe in order to determine position and grade as the variations in the diameter of the pipe may cause appreciable errors.
The position and elevation of the forms for brick, concrete, and unit block sewers are located by reference to the grade line, or they may be placed under the immediate direction of the survey party, or by specially located stakes. For large sewers requiring deep and wide excavation the grade and line stakes are driven in the bottom of the trench about a foot above the finished grade. This requires the constant presence of an engineer who is usually available on work of such magnitude.
162. Line and Grade in Tunnel.—In tunnels, line and grade are given by nails driven in the roof, the progress of excavation or 284the shield being followed by eye and the forms set by direct measurement to the nails.
163. Depth.—The depth at which it becomes economical to tunnel depends mainly upon the character of the material to be excavated and on the surface conditions. In soft dry material with unobstructed working space at the surface, open cut may be desirable to depths as great as 35 or 40 feet. Tunnels are cut in rock at depths of 15 feet or less. In some very wet and running quicksand encountered in the construction of sewers for the Sanitary District of Chicago it was found economical to tunnel at depths of 20 feet and less. Crowded conditions on the surface, expensive pavements, or extensive underground structures near the surface may make it advantageous to tunnel at shallower depths than would otherwise be economical. Winter is the best season for tunneling as the workmen are protected from the elements and labor is more plentiful.
164. Shafts.—In sinking a shaft in soft material, the excavation is usually done by hand, the material being thrown into a bucket which is hoisted to the surface and dumped. The size of the shaft is independent of the size of the sewer and depends principally on the machinery which it is necessary to lower into the tunnel. Ordinarily a shaft 6 feet in the clear is satisfactory. A method of timbering a shaft is shown in Fig. 115. Because of the timbering the shaft must be started sufficiently large at the top to finish with the desired dimensions at the bottom. This excess size is sometimes obviated by driving the sheeting at an angle to maintain the same size of shaft from top to bottom.
In timbering a shaft as shown in Fig. 115 the upper frame is staked securely in position at the surface of the ground. This frame is composed of timbers fastened together in the form of a square with the ends of the timbers extending about 12 inches on all sides. The protruding ends are used to hold the frame in position. Excavation is begun inside the frame, and sheeting is driven around the outside of it as excavation progresses. Only two or three men can work advantageously at one time in these small shafts. The second frame is made up of the same size timbers, but all are cut off flush with the outside of the square. The 285outside dimensions of this frame are such as to allow sheeting to be slipped in between it and the sheeting already driven. The frame is lowered into position and supported from the upper frame by vertical struts nailed to it. The lower end of the sheeting already driven is held out from the lower frame by blocks of the thickness of the next length of sheeting. These blocks are removed as the next length of sheeting is placed and driven. The driving of the sheeting is facilitated by excavating beneath it as it descends.
Fig. 115.—Section of Shaft Timbering.
Abbot, Journal Western Society of Engineers, Vol. 22.
The sizes of sheeting and timbering should be computed on the same basis as that for trench sheeting except that for depths greater than 30 to 35 feet Rankine’s Theory is not applicable and judgment must be relied on for computing the sizes for deep shafts. In stiff dry material the pressures will change very little as the depth increases. Sheeting is needed in shaft excavation in rock only to protect the workmen from falling fragments, but in sand, particularly in quicksand and in wet ground, the pressures increase directly with the depth and the sheeting should be computed accordingly. Care must be taken to prevent the formation of cavities behind the sheeting, to fill them if formed, and to see that all pieces of the sheeting and bracing have a firm bearing. It is difficult to prevent the collapse of the shaft once the movement of earth against the sheeting has commenced.
Shafts are also sunk in soft ground by constructing a concrete or metal shell resting on a cutting shoe on the surface. The material inside is dug out and the shell sinks of its own or added weight. The first section of the shell may be from 5 to 10 feet long. As this section sinks other sections are added. This is called the caisson method. It is advantageous in wet ground and 286when the shafts are to be left as a permanent manhole. If a permanent shaft is to be left in an excavation being braced with wood, the permanent lining should follow within 20 to 30 feet of the shaft excavation. This is done to avoid the difficulty of maintaining a great length of temporary wood shaft with the danger of collapse, or of blocks or other objects falling on the workers below.
The distance between shafts is controlled by the depth and size of the tunnel, surface conditions, and the character of the material being tunneled. Except where surface conditions are crowded the shallower the cover to the tunnel the more frequent the shafts. The advantage of frequent shafts lies in the possibility of removing excavated material from the tunnel promptly, and in making ventilation of the tunnel easier. The saving made by the construction of numerous shafts must be balanced against the extra cost of the shafts. For the shallowest tunnels the shafts are seldom placed closer than every 500 feet.
165. Timbering.—After the shaft has been excavated to the proper grade the tunnel is struck out either by cutting through the wooden sheeting or by removing portions of the caisson lining. Practically all tunnels except those in solid rock must be framed to some extent. Some of the types of frames used in tunnel construction are shown in Fig. 116. Different combinations of these may be used in different classes of materials. In solid rock which remains firm on exposure no timbering is necessary. Where the roof only need be supported and the sides are strong enough to be used for support, a timber “hitch” or frame supported on the sides of the tunnel may be used. This is suitable for loose rock roofs with solid rock sides. Timbering such as is shown in the lower left hand corner of Fig. 116 becomes necessary in extremely soft, wet, or swelling material, where the bottom and sides as well as the roof tend to push in. The remaining frame in Fig. 116 shows a form frequently used and lying between the two extremes indicated. In wet tunnels a channel may be cut in the bottom below the sill for drainage purposes as shown in this form. The needle beam method of timbering is also shown in Fig. 116. This method of timbering is used mainly near the heading because of the speed and ease with which it can be installed, but it is undesirable because of the space occupied.
The distance between frames is dependent on the size of the 287tunnel and the character of the material. It is seldom greater than 6 feet and the frames are sometimes placed touching each other. The size of the timbering is a matter of experience and is generally determined by the judgment of the responsible person in charge of the construction as the result of observation during the progress of the work.
The sheeting between frames is called poling boards, or spiling or lagging according as it is sharpened and driven ahead of the excavation or placed after the excavation has progressed. The horizontal strips placed between the frames to keep them apart are called wales.
Fig. 116.—Types of Frames and Timbering for Tunnels.
In cutting out from the shaft in soft materials requiring support, where the width of the tunnel is the same or smaller than that of the shaft, a frame with a maximum width four thicknesses of sheeting less than the width of the tunnel is set up against the lining of the shaft. The vertical side pieces of the tunnel frame rest on the bottom frame of the shaft as a sill and are securely wedged into position. As the lining of the shaft at the top is cut away the top poling boards of the tunnel are slipped in between the cap of the first tunnel frame and the shaft frame immediately above 288it. The poling boards are driven with an upward pitch so that there may be room to slip the second length of boards between the next tunnel frame and the first length of boards. The placing of the side sheeting follows in a similar manner. Excavation is then started and the poling boards driven to keep pace with it. The next frame is placed in position and the previous sheeting or boards wedged out a sufficient distance to allow the advance lining to be slipped in when the wedges are removed. Waling pieces are nailed firmly between the frames to hold them in position. The various phases in the driving of a 12–foot sewer tunnel in Seattle are shown in Fig. 117.
Fig. 117.—Stages of Sewer Tunneling.
Eng. Record, Vol. 69, 1914, p. 195.
In soft or running material it may be necessary to protect the face of the tunnel by horizontal boards, called breast boards, wedged back to the last frame placed. The excavation is performed by removing one board at a time, excavating behind it and then replacing it in the advance position. The advance is made from the top downwards. This represents the method pursued in the most difficult material where wooden sheeting without a shield is used. The timbering during the advance may be modified in any manner that the character of the material will permit. The timbering may lag behind the excavation a distance of two or more frames, or it may be omitted altogether. Heavier timbering may be necessary in soft, slipping or shattered rock.
Fig. 118.—Shield for Driving Milwaukee Sewer Tunnel.
Eng. News-Record, Vol. 80, 1918, p. 669.
166. Shields.—Shields are used in tunneling in soft wet material and are particularly suitable for work under air pressure. They are used in rock tunnels where water is anticipated or air pressure is used. The shields often save the expense and difficulty of timbering as the masonry of the sewer follows closely behind the shield. Fig. 118 shows the arrangement for a shield for tunneling in soft material in the construction of the Milwaukee sewers. The shield has an exterior diameter of 9 feet 4 inches and an overall length of 9 feet 8⅛ inches. The cutting edge section is 20 inches long. The shell is made of one inch plate to the back of the jack chambers and one-half inch plate in the tail. The shield is driven by ten 60–ton hydraulic jacks. The jacks 290are shown in position in the figure. These jacks rest against the finished tunnel lining and serve to consolidate it at the same time that they push the shield into the material to be excavated. The face of the tunnel is cut with a pick and shovel while the jacks are removed one at a time and a new ring of lining is put in place. The lining may be temporary timbering to receive the thrust of the jacks, but it is usually desirable that the permanent lining follow immediately behind the shield. Since the shield is larger than the outside of the lining the space left by its passage should be grouted immediately after it has passed.
167. Tunnel Machines.—Tunnel machines have been used successfully on sewer tunnels in soft materials, but not in rock.[95] The machines are of different types, but in general consist of a revolving cutting head, equipped with knives, and driven by an electric motor. The bearing on which the shaft for the cutting head rests is supported against the sides of the tunnel. The muck is carried away by means of a conveyor and dumped into muck cars without rehandling. Rapid progress can be made with these machines in suitable conditions.
Fig. 119.—Method of Drilling and Loading Rock Tunnel Face.
Courtesy, Aetna Power Co.
168. Rock Tunnels.—Tunnels in rock are advanced by drilling into the face as shown in diagrammatic form in Fig. 119. The 291holes near the center are driven in at an angle towards the center and to depths from 6 to 15 feet. The harder the rock the greater the angle with the tunnel. This is called the center cut. Other holes are driven near the outer edge of the tunnel and parallel to its axis. When fired, the wedge of rock between the center cut holes is thrown back into the tunnel and a delayed explosion then throws the sides into the hole thus made. A final delay thrusting shot throws the muck so formed away from the face of the tunnel. For tunnels up to 6 or 8 feet in height the entire bore is cut out in this fashion. For larger tunnels, the upper portion called the heading, is taken out in this way, and the remainder, called the bench, is taken out by drilling and blowing holes normal to the axis of the tunnel. The amount of powder necessary in the bench holes is much less than that required in the heading.
169. Ventilation.—No tunnel more than 50 feet long should be built without ventilation. A fair amount of air for ordinary conditions is 75 cubic feet of free air per minute per person in the tunnel, and double this amount for each animal. Where explosive gases are met, or under conditions where the tunnel is hot, five or six times as much air may be needed in order to cool the tunnel or to dilute the gases. In order that the air may be fresh and cool at the face of the tunnel where work is going on it should be conducted to the tunnel face in a pipe and blown out into the tunnel. Immediately following a blast at the face the current should be reversed so as to draw the poisonous gases out of the tunnel through the duct. The high pressure air line leading to the drills should be opened at the same time to create a current towards the face in order to accelerate the clearing of the air at the heading. The capacity of the air machines should be sufficient to exhaust four times the volume of the gases created by the explosion, in 15 minutes. This will ordinarily call for a capacity of about 4,000 cubic feet of free air per minute. If the same blower is to be used for exhausting the gases as for ventilation while work is going on, it should have a high overload capacity to care for this situation. The air line should be arranged to allow for reversal of flow.
The diameter of the air pipe should be determined by a study of the saving of the cost and operation of the air equipment compared to the increased cost of a larger pipe line. Other factors affecting the size of the pipe line to be used are: the available space in the tunnel, the temporary character of the installation, 292the use of the exhaust from high-pressure air machines for the purpose of ventilation, etc. Cast-iron, spiral-riveted galvanized sheet iron, and canvas pipes have been used for conducting low-pressure ventilating air.
Ventilation in tunnels working under air pressure is supplied from the compressors, and the air is delivered near the face of the heading, except that being used in the locks. In tunnels using air drills, the air for the drills is conducted through a separate pipe as it is not economical to compress the ventilating air to the pressure necessary to operate the drills.
170. Compressed Air.—Compressed air is used in tunnel work to prevent the entrance of water into the tunnel and to keep the work dry. The pressure of air used is closely that of the pressure of the ground water but in a large tunnel or a tunnel with a weak roof the pressure may be somewhat lower on account of the danger of blowing through the roof. It is evident that the water pressure cannot be balanced at the top and the bottom of the tunnel. To balance it at the bottom makes a blow out near the top more probable. To balance the pressure at the top may leave the bottom wet. Judgment and care must be exercised during construction and if the pressure is balanced at or near the bottom the roof must be carefully guarded by grouting and puddling with clay, or the surface, particularly if under water, may be covered with a clay bank. If the cavities in the tunnel lining are large, sawdust can be mixed with the grout to advantage, the mixture being pumped through holes in the roof by hand or power operated force pumps. “Blows” must be carefully guarded against as they endanger the lives of the workmen and threaten the loss of the tunnel. The pressure and volume of air supplied for some large subaqueous tunnels is shown in Table 61.
Labor under compressed air is arduous and dangerous with the best of safeguards.[96] Pressure more than about 43 pounds per square inch cannot be used and at this high pressure men cannot work more than four hours at a time. Little or no distress is noted at pressures less than 15 pounds.
| 293 | |||||
| TABLE 61 | |||||
|---|---|---|---|---|---|
| Volume and Pressure of Compressed Air in Tunnels | |||||
| (American Civil Engineers Pocket Book) | |||||
| Tunnel | Maximum Distance High Water to Invert, Feet | Minimum Cover in Feet | Maximum Air Pressure, Pounds per Square Inch | Average Air Pressure, Pounds per Square Inch | Conditions and Cubic Feet of Free Air per Minute |
| City and South London | 34 | 42 | 15 | In water bearing-sand. 1660 cubic feet per minute per face. When grouted 1000 to 1300 cubic feet per minute per face | |
| Blackwall | 80 | 5 | 37 | 35 | 10,000 cubic feet per minute per face in open ballast for some time |
| Baker St. and Waterloo | 70 | 18 | 35 | 28 | In gravel, 3300 cubic feet of air per minute per face. Parallel tunnel 1650 cubic feet per min. per face |
| Greenwich | 70 | 30 | 28 | 20 | Average 83.5 per man per minute. Never less than 66.7 |
| Battery, East River. N. Y. | 94 | 12 | 42 | 26 | In sand. Two working faces. Maximum 32,000 |
| East River, N. Y., Penn. R.R. | 93 | 8 | 42 | 27 | Maximum for one face 25,000 cubic feet per minute for 24 hours. Capacity of plant for 8 faces, 80,400 cubic feet per minute |
| North River, N. Y., Penn. R.R. | 98 | 20 | 37 | 26 | Maximum in gravel 10,000 cubic feet per man per hour. Generally ranged between 1500 and 5000 |
Entrance and exit to the tunnel are gained through air locks. These are sheet iron cylinders concreted into the lining of the tunnel or shaft. Air-tight iron doors are provided at both ends, which open inwards towards the tunnel. On entering the lock from the outside the door to the tunnel is found tightly closed. The outside door is then closed by hand, the air valve is opened and air is admitted to the lock until the pressure on the lock side of the tunnel door equalizes that on the tunnel side and the tunnel door is swung open by hand. When the lock is open to the tunnel the pressure in the tunnel keeps the outside door closed. In order to leave the tunnel the process is reversed. Materials 294are passed through the lock by the lock tender or tenders who pass through the lock with the material if the pressure is low, or who manipulate the air outside of the lock if the pressure is high. If pressures of 30 to 40 pounds are being used, two or even three locks may be necessary.
171. Requirements.—The desirable features in an explosive to be used in trenching and tunneling in rock are: (1) stability in make up so as not to deteriorate in strength or to become dangerous during storage, (2) imperviousness to ordinary variations in temperature and moisture, (3) insensibility to ordinary shocks received in transportation and handling, (4) not too difficult of detonation, (5) convenient form for transportation and loading and for making up charges of different weights, (6) the non-formation of poisonous gases when fired, (7) imperviousness to water and usefulness in wet holes, (8) power without bulk, etc.
172. Types of Explosives.—Explosives which fill some or all these requirements can be divided into two classes, deflagrating and detonating. A deflagration is an explosion transmitted progressively from grain to grain. A detonation is a sudden disruption caused by synchronous vibrations of a wave-like character. The deflagrating explosives are represented by gun-powders and contractors’ powders. They must be carefully tamped in the hole to develop their full power and they must be ignited by a fuse or flame. They are valueless in water or moist holes. These powders are used mainly for loosening frozen earth, soft sandstone, cemented gravels and similar materials where a thrusting action rather than a disruption is desired. The detonating explosives are most commonly represented by the dynamites. These are exploded by a shock usually caused by another explosive which has been ignited by a fuse or electric spark, and which is known as the “detonator.” Detonating explosives are more powerful than deflagrating explosives and are used in all but the softest materials.
295Gunpowder.—This is a mechanical mixture of sulphur, charcoal, and saltpeter generally in the proportions of 10 parts sulphur, 15 parts charcoal, and 75 parts saltpeter (sodium nitrate). It weighs about 62½ pounds per cubic foot and produces about 280 times its own volume in gas at a pressure of 4.68 tons per square inch at a temperature of 32 degrees F., which amounts to a pressure of approximately 38 tons per square inch at the temperature of explosion of 4,000 degrees F.
Blasting Powder.—This is a mixture of 19 parts sulphur, 15 parts charcoal, and 66 parts saltpeter. These powders are made in different size angular polished grains, from the size of a pin head to sizes just passing a ⅜ to ½ inch hole. The larger the grains the slower the action of the powder.
Nitro-Substitution Compounds.—These compounds are formed by the action of nitric acid on hydrocarbons. Triton, T.N.T., or trinitrotoluene, made famous during the war, is an example of these compounds. It is made by the successive nitration of toluene, a coal tar derivative. It melts at 80 degrees C., is very stable, and is of great explosive strength. It is manufactured in a convenient form, being compressed into blocks about 2 inches square by about 4 inches long with a specific gravity of about 1.5. The blocks are usually copper plated to protect the T.N.T. from moisture. The more dense it is the less its sensitiveness. It is also put up in crystalline form in cartridges like dynamite, in which condition it is practically equal to 40 per cent dynamite. It can be cut with a knife, pounded with a hammer, and will burn freely and slowly in small quantities in the open air without exploding. It is suitable for all but the hardest rocks. It creates poisonous gases on detonation which are quickly dissipated in the open air but which render it unsuitable for use in tunnel work.
Nitro-glycerine.—This is formed by the action of nitric and sulphuric acids on animal compounds such as gelatine or glycerine. Nitro-glycerine is a yellowish, oily, highly unstable explosive liquid with a specific gravity of about 1.6. It will burn quietly when ignited in the open air. It will freeze at 41 degrees F., and will explode at 388 degrees F., or on concussion at a lower temperature. It develops about 1,500 times its volume in gas, which due to the heat of combustion is increased to about 10,000 times its volume. It is a very dangerous explosive to handle, and is unsuitable for use in the liquid form.
296Blasting Gelatine.—This is made by soaking guncotton in nitro-glycerine. Gelatine dynamite is a combination of blasting gelatine and an absorbent. Forcite is a gelatine dynamite in which the blasting gelatine, forming 50 per cent of the compound, contains 90 per cent nitro-glycerine and 2 per cent guncotton; and the absorbent, forming the other 50 per cent of the compound, contains 76 per cent of sodium nitrate, 3 per cent sulphur, 20 per cent of wood tar, and 1 per cent of wood pulp.
Blasting gelatine is packed in a jelly-like mass in metal lined wooden boxes. It is less sensitive than straight dynamite and is one of the most powerful explosives known. It can be made up to equal 100 per cent dynamite. It is suitable for use in the hardest rocks and for subaqueous work as it is not affected by moisture. It is suitable for use in tunnels as the amount of carbon monoxide, peroxide of nitrogen, hydrogen sulphide and other dangerous gases is comparatively low when fully detonated. Gelatine dynamite[98] is sold as 30 per cent to 70 per cent dynamite, the actual percentage of nitro-glycerine being less than the nominal quantity given.
Dynamite.—The dynamites are made by soaking nitro-glycerine in some absorbent. If the absorbent is some neutral substance such as infusorial earth the combination is known as a true dynamite. The false or active dynamites are those in which the absorbent is also an explosive compound. The false dynamites form the best known contractors’ explosives. Among the materials mixed with the nitro-glycerine are: magnesium carbonate, sulphur, wood meal, wood pulp, wood fiber, wood tar, nut galls, kieselguhr, sawdust, resin, pitch, sugar, charcoal, and guncotton. The strength of dynamites is noted by the per cent of nitro-glycerine and nitro substitutes contained. Dualin and Hercules powder both contain 40 per cent nitro-glycerine. Dualin contains 30 per cent sawdust and 30 per cent potassium nitrate, but the Hercules powder, which is stronger, contains 16 per cent sugar, 3 per cent potassium chlorate, 31 per cent potassium nitrate, and 10 per cent magnesium carbonate.
Dynamite is the most common explosive used on construction work. It is supplied in cylindrical sticks wrapped in paper, the diameter of the sticks varying between ⅞ and 2 inches. They are about 8 inches long. Forty per cent dynamite is the common 297strength found on the market. It is suitable for ordinary work in all but very hard rocks or very soft material. Direct contact with water separates the nitro-glycerine from the base and is dangerous when the explosive is used in wet places unless it is fired immediately after the hole is loaded. It freezes at about 42 degrees F., or at even higher temperatures and in the frozen state it is highly dangerous, requiring powerful detonators for firing, but exploding spontaneously from a slight jar, or the breaking of the stick. Special low-freezing dynamites are made that will not freeze above 35 degrees F.
Ammonia Compounds.—Ammonia dynamite is a combination of nitro-glycerine, ammonium nitrate and such other ingredients as sodium nitrate, calcium carbonate and combustible material. This form of explosive is advantageous for underground work because, like gelatine dynamite, its explosion does not create large quantities of poisonous gases. It has a low freezing point and is relatively low in cost. It is seriously affected by moisture, however, and can not be used in wet places. Ammonium nitrate explosives which do not contain nitro-glycerine include 70 per cent to 95 per cent ammonium nitrate and some combustible material. Ammonal is a special type of this class formed by a mixture of ammonium nitrate, aluminum, and triton. All of these explosives are deliquescent, insensitive to shock, and are cheaper than the dynamites.
173. Permissible Explosives.—As specified by the United States Bureau of Mines explosives whose rapidity, detonation, and temperature of explosion will not ignite explosive mixtures of pit gases and air are known as permissible explosives. They include nitrate explosives, ammonia dynamite, and others.
Gunpowder, triton, picric acid, blasting gelatine, dynamite, guncotton, etc., are not classed as permissible explosives.
174. Strength.—The relative weights for equal strength of various explosives are given in Table 62.
| 298 | |
| TABLE 62 | |
|---|---|
| Relative Weights of Explosives with the Same Strength as a Unit Weight of 40 Per Cent Dynamite | |
| Explosive | Relative Weight |
| Picric acid | 0.86 |
| Gun powder (well tamped) | 3.10 |
| Straight dynamite, 15% | 1.45 |
| Straight dynamite, 20 | 1.33 |
| Straight dynamite, 25 | 1.28 |
| Straight dynamite, 30 | 1.18 |
| Straight dynamite, 35 | 1.07 |
| Straight dynamite, 40 | 1.00 |
| Straight dynamite, 45 | 0.93 |
| Straight dynamite, 50 | 0.86 |
| Straight dynamite, 55 | 0.83 |
| Straight dynamite, 60 | 0.78 |
| Low-freezing dynamites are the same as straight dynamites | |
| Smokeless powder, well tamped | 0.74 |
| Triton | 0.86 |
| Blasting gelatine | 0.43 |
| Gelatine dynamite, 30% | 1.28 |
| Gelatine dynamite, 35 | 1.21 |
| Gelatine dynamite, 40 | 1.14 |
| Gelatine dynamite, 50 | 1.04 |
| Gelatine dynamite, 55 | 0.97 |
| Gelatine dynamite, 60 | 0.90 |
| Gelatine dynamite, 70 | 0.83 |
| Ammonia dynamites are the same as gelatine dynamites. | |
| Chlorates (sprengle) Rack-a-rock | 1.33 |
| Guncotton | 0.72 |
175. Fuses and Detonators.—The explosion of gunpowder and other deflagrating explosives is caused by the direct application of a flame led to the charge by a powder fuse, or they may be fired by a blasting cap which is itself exploded by the heat from a fuse or an electric spark. The powder fuse is a cord made up of a train of powder securely wrapped in a number of thicknesses of woven cotton or linen threads and usually made waterproof. Ordinary fuse burns at about 2 feet per minute but there may be wide variations from this rate due to the quality of the fuse, moisture, temperature, or pressure. Moisture tends to retard the rate, pressure to increase it. Instantaneous fuse will burn at about 120 feet per second. It is distinguished from the ordinary safety fuse both by eye and touch due to the rough red braid with which it is covered. It is used in firing a number of charges simultaneously. Powder fuses are lighted by the application of a flame or smoldering torch to the freshly cut or opened end exposing the powder grains. Cordeau Bickford is lead tubing filled with triton, in which the flame travels at about 17,000 feet per second. This is also used for igniting charges simultaneously.
The detonation of an explosive is caused by the shock or heat of the explosion of a more sensitive substance which has been exploded by a powder fuse or electric spark. The common method of detonating explosive charges is by the firing of a blasting 299cap. These caps are copper cylinders, closed at one end, about 1½ inches long and ¼ to ⅜ of an inch in diameter, or larger. They contain a mixture of about 85 per cent fulminate of mercury and 15 per cent potassium chlorate held in place by a wad of shellac, collodion, or paper. The strength of detonators is based on the weight of fulminate of mercury and is designated as shown in Table 63.
| TABLE 63 | |
|---|---|
| Strength of Blasting Caps | |
| Blasting Cap, Commercial Grade | Grains Fulminate of Mercury |
| 3X or Triple | 8.3 |
| 4X or Quadruple | 10.0 |
| 5X or Quintuple | 12.3 |
| 6X or Sextuple | 15.4 |
| 7X or Number 20 | 23.1 |
| 8X or Number 30 | 30.9 |
| Single strength | 12.3 |
| Double strength | 15.4 |
| Triple strength | 23.1 |
| Quadruple strength | 30.9 |
The force of the explosion is markedly affected by the strength of the caps, the effect being greater for low-grade powders. For 40 per cent dynamite the explosion caused by a 5X cap is 15 per cent stronger than that caused by a 3X cap. For 60 per cent dynamite the difference is only 6 per cent. The deterioration of the caps will reduce the strength of an explosion noticeably. With straight dynamite, 3X caps are generally used, but with gelatine dynamite 6X or heavier caps must be used. Caps may be tested by exploding them in a confined space and noting the report and the effect on the shell. A full strength cap will tear the shell into minute pieces, while a deteriorated cap will merely tear it into three or four large pieces. An ordinary blasting cap is shown in Fig. 120 together with other equipment for blasting.
Firing by electricity is generally safer and more satisfactory than by the use of ordinary caps and powder fuses. The explosion is more certain and its exact time is under the control of the operator. Fig. 121 shows a section through an electric blasting cap or 300detonator, commonly called an electric fuse. Delayed action electric detonators are made by inserting a slow-burning substance between the platinum bridge and the detonating substance. The time of delay is controlled by the depth of the slow-burning substance. Delayed action detonators are useful in tunnel work where it is desired to explode the charge in three or four stages in order that the debris from one charge may be out of the way of the following, and that the forces of the explosions may not serve to nullify each other.
Fig. 120.—Blasting Supplies.
Courtesy, Aetna Powder Co.
176. Care in Handling.—Some of the don’ts in the handling of explosives recommended by the U. S. Army Engineer Field Manual are: in the use of nitro-glycerine explosives of all kinds—
(a) Don’t store detonators with explosives. Detonators should be kept by themselves.
(b) Don’t open packages of explosives in a store house.
(c) Don’t open packages of explosives with a nail puller, pick or chisel. Packages should be opened with a hard wood wedge and mallet, outside of the magazine and at some distance from it.
(d) Don’t store explosives in a hot or damp place. All explosives spoil rapidly if so stored.
(e) Don’t store explosives containing nitro-glycerine so that the cartridges stand on end. The nitro-glycerine is more likely to leak from the cartridges when they stand on end than it is when they lie on their sides.
301(f) Don’t use explosives that are frozen or partly frozen. The charge may not explode completely and serious accidents may result. If the explosion is not complete the full strength of the charge is not exerted and larger quantities of harmful gases are given off.
Fig. 121.—Electric Fuse.
Full size.
(g) Don’t thaw frozen explosives in front of an open fire, nor in a stove, nor over a lamp, nor near a boiler, nor near steam pipes, nor by placing cartridges in hot water. Use a commercial or improvised thawer.
(h) Don’t put hot water or steam pipes in a magazine for thawing purposes.
(i) Don’t carry detonators and explosives in the same package. Detonators are extremely sensitive to heat, friction, or blows of any kind.
(j) Don’t handle detonators or explosives near an open flame.
(k) Don’t expose detonators or explosives to direct sunlight for any length of time. Such exposure may increase the danger in their use.
(l) Don’t open a package of explosives until ready to use the explosive, then use it promptly.
(m) Don’t handle explosives carelessly. They are all sensitive to blows, friction, and fire.
(n) Don’t crimp a detonator (blasting cap) around a fuse with the teeth. Use a cap crimper, which is supplied for this purpose.
(o) Don’t economize by using a short length of fuse.
(p) Don’t return to a charge for at least one-half hour after a miss fire. Hang fires are likely to happen.
(q) Don’t attempt to draw nor to dig out the charge in case of a miss fire.
Some of the positive rules in connection with the handling of explosives are: build the magazine on an earth foundation remote from any other structures, protect it with earth embankments that will direct the force of the explosion upwards, and build it of materials that will supply as few missiles as possible. Hollow tile brick, double-walled galvanized iron filled with sand, and similar constructions are satisfactory. The magazine may be 302heated by steam or hot-water pipes so located that explosives cannot come in contact with them, or by a cluster of incandescent bulbs, but if the explosives become frozen they must not be thawed out by turning on the steam or hot water. If powder or nitro-glycerine is dropped on the floor the magazine should be emptied, washed out with a hose and spots of nitro-glycerine scrubbed with a brush and a mixture of ½ gallon of wood alcohol, ½ gallon of water and 2 pounds of sodium sulphide. Frozen explosives may be thawed by spreading out on special shelves in a warm thaw house—not in the magazine proper, by burying in a manure pile so that the explosive may not become moistened, or more commonly by heating slowly in a water bath. This is a dry kettle in which the explosives are placed and covered. The kettle is then put in another containing water which is heated gently to about 120 degrees F. It should not be boiled.
In case of a miss fire, instead of digging out the old charge put a new charge on top of the old and fire the two simultaneously.
177. Priming, Loading, and Firing.—Priming is the act of placing the cap or detonator in the cartridge of explosive. The primer is either the cap or the cap and cartridge which are to be detonated by the fuse. If a cap and safety fuse are to be used the paper at the upper end of the cartridge is opened, a hole is poked in the explosive with the finger or a piece of wood, the cap and the attached fuse are pushed into the hole and gently embedded in the explosive so that the end of the cap is exposed sufficiently to prevent the fuse from igniting the dynamite directly. The paper is then folded up and tied firmly around the fuse with a piece of string. The result is shown in Fig. 122.
Fig. 122.—Dynamite Cartridge, Safety Fuse, and Cap.
In placing the fuse in the cap the end of the fuse is cut off square, and inserted in the open end of the cap, care being taken not to spill the loose grains of powder or to grind the fuse down on top of the cap. When the fuse is shoved firmly into place the upper portion of the copper cap is pressed or crimped with the cap crimpers shown in Fig. 120.
The number of primers to be used is dependent on the size 303and location of the charge, but in practically all sewer work only one primer is used to each hole. In bulky charges the primer should be placed near the center of the charge and the fuse so protected that it will not ignite the charge prematurely. In drill holes the primer is put in last with the cap end down.
In loading a hole, it is first pumped and cleaned out. This can be done satisfactorily with the end of a stick frayed out into a broom. Cartridges which very nearly fill the hole are dropped in one at a time and are pressed firmly together, with a light wooden tamping bar. They should not be pounded. After the primer is placed, a wad of clay or similar material is pressed gently into the hole against it and the hole is then filled with well-tamped clay. In tunnel work tamping is not so essential as an overcharge of powder is usually used and the time of tamping, which is worth more than two or three sticks of dynamite, is saved. In handling bulk explosives, such as gunpowder, they are poured into the hole, the fuse is set in the upper portion and the remainder of the hole is tamped with clay as for dynamite cartridges.
Fig. 123.—Methods for Cutting Safety Fuse for Splicing.
If a large number of charges are to be fired simultaneously with a safety fuse, the length of the fuse to each charge should be made equal or a safety fuse used to a common center and approximately equal lengths of instantaneous fuse or Cordeau Bickford used from there to the charge. In splicing the fuses for such connections they are cut diagonally as shown in Fig. 123 and bound together firmly with tape. Electric connections are particularly advantageous under such conditions as they avoid the dangers incidental to spliced fuses and are less expensive. In tunnel work simultaneous electric detonation is not desirable as the holes should be fired progressively: 1st, the cuts; 2nd, the relievers; 3rd, the backs; 4th, the sides; and 5th, the lifters. Different lengths of safety fuse, or delayed action electric fuses can be used for these delay shots.
In igniting a safety fuse an open flame such as that furnished by a match or candle is the most satisfactory. For electric fuses 304the current is generated by a magneto shown in Fig. 120. Pressing vigorously down on the handle closes the circuit and generates an electric current which heats the platinum bridges and explodes the charges. For the small number of charges used in ordinary construction they are connected in series so that if there is a broken connection anywhere no charge will be exploded. If many charges are to be fired and a line circuit is to be used, the final connection should not be made until just before the charge is to be fired in order to obviate the danger of stray currents firing the charge prematurely. Care should be taken to see that all connections are good and that there are no broken wires on the line.
178. Quantity of Explosive.—The quantity of explosive to be used can be determined satisfactorily only by experience on the job in question, as the factors affecting the necessary quantity are so diverse. The figures in Table 64 indicate the relative amounts needed under different conditions.
| TABLE 64 | ||||||
|---|---|---|---|---|---|---|
| Quantities of Explosives | ||||||
| Kind of Rock | Drift in Feet | Feet[99] of Hole | Black[99] Powder, Pounds | Dynamite[99], Pounds | Grade of Dynamite, Per Cent | Remarks |
| Limestone, Chicago Drainage Canal | 12 | 0.40 | 0.75 | 40 | Gillette | |
| Limestone for crushing | 6 | 1.00 | 0.70 | 40 | Gillette | |
| Limestone for cement | 20 | 0.37 | 50 | Gillette | ||
| Limestone, holes sprung | 15 | 0.40 | 0.26 | 50 | Gillette | |
| Sandstone, side cut | 20 | 0.10 | 1.0 | 0.10 | 40 | Gillette |
| Sandstone, thorough cut | 20 | 0.20 | 2.0 | 0.20 | 40 | Gillette |
| Shale, soft side cut | 24 | 0.08 | 0.7 | 0.03 | 40 | Gillette. Open cut |
| Shale, hard thorough cut | 24 | 0.20 | 1.5 | 0.10 | 40 | Gillette |
| Granite for rubble | 16 | 1.36 | 0.20 | 60 | Gillette | |
| Gneiss, New York City | 12 | 1.33 | 0.60 | 40 | Gillette | |
| Gneiss, New York City | 14 | 0.63 | 0.50 | 40 | Gillette | |
| Syenite, Treadwell Mine | 12 | 1.70 | 0.67 | 40 | Gillette | |
| Magnetic iron ore | 12½ | 0.32 | 0.44 | 52 | Gillette | |
| Trap, seamy | 14 | 0.35 | 0.20 | 75 | Gillette | |
| Trap, massive | 17 | 1.00 | 0.70 | 40 | Gillette | |
| Granite, Grand Trunk | 25 | 0.10 | 0.80 | 50 | 50% dynamite used to spring holes | |
| Clay, rock and Gypsum | Tunnel | 1.00 | ||||
| Hard shale | Tunnel | 2.07 | Grade varied ⅗ at 45%, ⅕ at 60%, some at 100% | |||
| Hard rocky slate | Tunnel | 1.60 | 3.57 | |||
| Hard rocky slate | Tunnel | 1.46 | 3.57 | |||
| Mill Creek sewer, St. Louis | Tunnel | 4.00 | 60 | Mun. Eng’g. Vol. 52, p. 14 | ||
179. The Trench Bottom.—It is customary to dig the bottom of the trench to conform to the shape of the lower 45 degrees to 90 degrees of the sewer if the character of the material will allow such construction. In soft material which will not hold its shape the sewer may be encased in concrete or a concrete cradle may be prepared for the pipe. In rock the trench is excavated to about 6 inches below grade and refilled with well-tamped earth so as to form a cradle giving bearing to 60 to 90 degrees of the pipe circumference. For large sewers to be constructed in the trench special foundations are sometimes built.
180. Laying Pipe.—Before the pipe is lowered into the trench the sections which are to be adjacent should be fitted together on the surface and the relative positions marked by chalk so that the same position can be obtained in the trench.
Small pipes are lowered into the trench and swung into position on a hook as shown in Fig. 124. Pipes up to 15 or 18 inches in diameter can be handled by the pipe layer and helper in the trench without assistance. Heavier pipes may be lowered into the trench by passing ropes around each end of the pipe. One end of the rope is fastened at the surface and the ropes are paid out by the men at the surface as the pipe is lowered. If the pipes have been fitted together and marked at the surface it is undesirable to use this method of lowering as the position in which the pipes arrive in the bottom of the trench can not be easily predicted. A cradle may be used for shoving the pipe into position as is shown in Fig. 125.
Fig. 124.—Hook for Lowering and Placing Sewer Pipe.
Fig. 125.—Cradle for Placing Sewer Pipe.
Pipes above 24 to 27 inches in diameter are too large to be handled from the side of the trench. A hook as shown in Fig. 124 is placed in the pipe so that it will be in the proper position when lowered. It is raised by a rope passing through a block at the peak of a stiff-legged derrick which spans the trench, or by a crane. If a derrick is used the rope passes to a windlass on the opposite side of the trench from the pipe. Mechanical power may be used for raising pipes too heavy to be raised by hand. The pipe is then lowered and swung into position while supported from the derrick. Excessive swinging is prevented by holding back on the guide rope as the pipe is raised and lowered.
Pipes are usually laid with the bell end up grade as it is easier to fit the succeeding pipe into the bell so laid and to make the joint, particularly on steep grades. The Baltimore specifications state:
The ends of the pipe shall abut against each other in such a manner that there shall be no shoulder or unevenness of any kind along the inside of the bottom half of the sewer or drain. Special care should be taken that the pipe are well bedded on a solid foundation.... The trenches where pipe laying is in progress shall be kept dry, and no pipe shall be laid in water or upon a wet bed unless especially allowed in writing by the Engineer. As the pipe are laid throughout the work they must be thoroughly cleaned and protected from dirt and water, no water being allowed to flow in them in any case during the construction except such as may be permitted in writing by the Engineer. No length of pipe shall be laid until the preceding length has been thoroughly embedded and secured in place, so as to prevent any movement or disturbance of the finished joint.
307The mouth of the pipe shall be provided with a board or stopper, carefully fitted to the pipe, to prevent all earth and any other substances from washing in.
181. Joints.—Pipes may be laid with open joints, mortar joints, cement joints, or poured joints. Open joints are used for storm sewers in dry ground close to the surface. Mortar and cement joints are commonly used on all sewers except in special cases. Cement joints are more carefully made than mortar joints and result in a greater percentage of water-tight joints. Poured joints are used in wet trenches where it is necessary to exclude ground water from the sewer.
A specification used in some cities for open joints is:
Pipes laid with open joints are to be laid with their inverts in the same straight line and shall be firmly bedded throughout their length on the bottom of the trench. No cement or mortar is to be used in the joints. Not more than ⅛ inch shall be left between the spigot end of the pipe and the shoulder of the hub of the pipe into which it fits. The joints shall be surrounded with cheese cloth, burlap, broken pipe, gravel or broken stone.
The purpose of the cheese cloth, etc., is to prevent fine earth from sifting into the pipe until the cheese cloth or other material has rotted away, by which time the earth has become arched over the opening.
Mortar joints are specified by Metcalf and Eddy as follows:
Before a pipe is laid the lower part of the bell of the preceding pipe shall be plastered on the inside with stiff mortar of equal parts of Portland cement and sand, of sufficient thickness to bring the inner bottoms of the abutting pipe flush and even. After the pipe is laid the remainder of the bell shall be thoroughly filled with similar mortar and the joint wiped inside and finished to a smooth bevel outside.
In some work a wood block or a stone is embedded in the mortar at the bottom of the joint to bring the spigot in place concentric with the next pipe.
Cement joints are specified in the Baltimore specifications as follows:
Cement joints shall be made with a narrow gasket of hemp or jute and cement mortar, and special care shall be taken to secure tight joints. The gasket shall be soaked 308in Portland cement grout and then carefully inserted between the bell and the spigot, and well calked with suitable hardwood or iron calking tools. It shall be in one continuous piece for each joint, and of such thickness as to bring the inverts of the two pipes smooth and even. The remainder of the joint shall be filled with cement mortar all around, on the bottom, top and sides, applied by hand with rubber mittens, well pressed into the annular space and beveled off from the outer edge of the bell to a distance of two inches therefrom, or to an angle of 45 degrees. The inside of each joint shall be thoroughly cleansed of all surplus mortar that may squeeze out in making the joint; and to accomplish this some suitable scraper or follower, or form shall be provided and always used immediately after each joint is finished.
Cement joints so made, form the most satisfactory joint for ordinary conditions and are the most frequently used. They are not always water-tight and can be penetrated by roots. Some roots are able to penetrate holes of almost microscopic size and to form growths in the sewer or to split the joints.
Poured joints are made by pouring some jointing compound, while in a fluid state, into the joint in which it hardens, thus sealing the joint. Water-tightness in sewer lines to exclude ground water has also been attempted by using the ordinary cement joint and surrounding the pipe with a layer of cement or concrete. This has not always been successful as it is difficult to obtain the proper class of workmanship in wet sewer trenches.
The requisite qualities of a poured jointing material are:
(1) It should make a joint proof against the entrance of water and roots.
(2) It should be inexpensive.
(3) It should have a long life.
(4) It should not deteriorate in sewage which may be either acid or alkaline.
(5) It should adhere to the surface of the pipe.
(6) It should run at a temperature below about 400° F., as too high temperatures will crack the pipe.
(7) It should neither melt nor soften at temperatures below 250° F. in order to maintain the joint if hot liquids are poured into the sewer.
(8) It should be elastic enough to permit slight movements of the pipes.
(9) It should not require great skill in using as it must be handled ordinarily by unskilled workers.
309The materials used for poured joints are: cement grout; sulphur and sand; and asphalt or some bituminous compound made of vulcanized linseed oil, clay, and other substances the resulting mixture having the appearance of vulcanized rubber or coal tar. The bituminous materials most nearly approach the ideal conditions.
Cement grout is made up of pure cement and water mixed into a soupy consistency. Its main advantages are its cheapness and ease in handling in wet trenches or difficult situations. The result is no better than a well made cement joint. There is no elasticity to the joint and a movement of the pipe will break it.
Sulphur and sand are inexpensive, comparatively easy to handle, and make an absolutely water-tight and rigid joint which is stronger than the pipe itself. It frequently results in the cracking of the pipe and is objected to by some engineers on that account. In making the mixture, powdered sulphur and very fine sand are mixed in equal proportions. It is essential that the sand be fine so that it will mix well with the sulphur and not precipitate out when the sulphur is melted. Ninety per cent of the sand should pass a No. 100 sieve and 50 per cent should pass a No. 200 sieve. The mixture melts at about 260° F. and does not soften at lower temperatures. For making a joint in an 8 inch pipe about 1½ pounds of sulphur, 1½ pounds of sand, ½ pound of jute, and 0.4 pound of pitch are used. The pitch is used to paint the surface of the joint while still hot in order to close up any possible cracks.
Among the better known of the bituminous joint compounds are: “G.K.” Compound made by the Atlas Company, Mertztown, Pa., Jointite and Filtite, manufactured by the Pacific Flush Tank Co., Chicago and New York, and some of the products of the Warren Brothers Co., Boston. These compounds fill nearly all of the ideal conditions except as to cost and ease in handling. They are somewhat expensive and if overheated or heated too long become carbonized and brittle. In cold weather they do not stick to the pipe well unless the pipe is heated before the joint is poured. On some work joints have been poured under water with these compounds, but success is doubtful without skillful handling. An overheated compound will make steam in the joint causing explosions which will blow the joint clean, 310and an underheated compound will harden before the joint is completed.
The materials should be heated in an iron kettle over a gasoline furnace or other controllable fire, until they just commence to bubble and are of the consistency of a thin sirup. Only a sufficient quantity of material for immediate use should be prepared and it should be used within 10 to 15 minutes after it has become properly heated. The ladle used should be large enough to pour the entire joint without refilling. There are other important points to be considered in pouring joints which can be learned best by experience.
The quantity of material necessary for making these joints, as announced by the manufacturers, is shown in Table 65.
| TABLE 65 | ||||||
|---|---|---|---|---|---|---|
| Quantity of Compound Needed for Poured Joints | ||||||
| Diameter of Pipe, in Inches | Quantity of Material in Pounds per Joint | |||||
| Standard Socket | Deep and Wide Socket | |||||
| Jointite | Filtite | G. K. | Jointite | Filtite | G. K. | |
| 6 | 0.82 | 0.72 | 0.42 | 1.46 | 1.28 | 0.72 |
| 8 | 1.06 | 0.95 | 0.73 | 1.82 | 1.60 | 1.25 |
| 10 | 1.30 | 1.15 | 0.89 | 2.26 | 1.98 | 1.52 |
| 12 | 2.08 | 1.82 | 1.42 | 2.65 | 2.32 | 1.80 |
| 15 | 2.52 | 2.20 | 1.74 | 3.20 | 2.80 | 2.20 |
| 18 | 3.02 | 2.64 | 2.58 | 3.75 | 3.29 | 3.25 |
| 20 | 3.44 | 3.00 | 2.86 | 4.30 | 3.78 | 3 60 |
| 22 | 3.62 | 3.16 | 3.13 | 4.62 | 4.07 | 3.97 |
| 24 | 4.03 | 3.50 | 3.41 | 4.91 | 4.31 | 4.27 |
In making a poured joint the pipes are first lined up in position. A hemp or oakum gasket is forced into the joint to fill a space of about ¾ of an inch. An asbestos or other non-combustible gasket such as a rubber hose smeared with clay is forced about ½ inch into the opening between the bell and the spigot and the compound is poured down one side of the pipe through a hole broken in the bell, until it appears on the other side, and the hole 311is filled. Occasionally the non-combustible gasket is wrapped tightly around the spigot of the pipe and pressed or tied firmly to the bell. In pouring cement grout joints a paper gasket is used which is held to the bell and spigot by draw strings. Greater speed in construction and economy in the use of materials are obtained by joining two or three lengths of pipe on the bank and lowering them into the trench as a unit. The pipes are set in a vertical position on the bank with the bell end up, one length resting in the other. The joint is calked with hemp and poured without the use of the gasket. The joint should always be poured immediately after being calked so that the hemp can not become water soaked. The asbestos gasket should be removed as soon as possible after the joint is poured in order to prevent sticking with resultant danger of breaking of the joint when attempting to pull the gasket free.
One man can pour about 33 eight-inch joints, and two men can complete about 26 twelve-inch joints per hour on the bank where conditions are more or less fixed.
182. Labor and Progress.—The labor required for the laying of pipe sewers, exclusive of excavation, bracing and backfilling, consists of pipe layers and helpers. For pipes 24 to 27 inches in diameter or smaller one pipe layer and one or more helpers are necessary, dependent on the size of the pipe and the depth of the trench. For larger pipes two pipe layers can work economically each working on one-half of the pipe and making half of the joint. The speed of pipe laying is ordinarily limited by the speed of the excavation, but on a job in Topeka, Kan.,[100] where the average day’s progress with a machine excavator was 200 to 500 feet of trench per day, the pace was limited by the speed of the pipe laying gang. This gang consisted of two pipe layers in the trench and two helpers on the surface. The sizes of pipes handled were from 8 to 27 inches.
183. The Invert.—In good firm ground the excavation is cut to the shape of the sewer and the bricks are laid directly on the ground, being embedded in a thick layer of mortar. After the foundation has been prepared and before the bricks are laid, 312two wooden templates, called profiles, are prepared, similar to that shown in Fig. 126, to conform to the shape of the inside and outside of the sewer. Each course of bricks is represented by a row of nails in the profile and each nail corresponds to a joint in the row. The two profiles are set true to line and grade. A cord is stretched tightly between the two lowest nails on opposite templates and a row of bricks is laid. The bricks are laid radially and on edge with their long dimension parallel to the axis of the sewer and with one edge just touching the string. As each one or two or three rows are completed the guide line is moved up to the next nails. When the bricks are laid on the ground all but large depressions are filled in with tamped sand or mortar by the masons. Approximately the same number of rows of bricks is kept completed on either side of the center line. The succeeding courses follow within three to five rows of each other, the only bond between courses being the mortar joint. This is called row lock bond and with few exceptions has been used on all brick sewers in the United States. As the sides of the sewer become higher during the construction, platforms must be built for the masons. These platforms are built of wood and rest directly on the green brickwork. They should be designed to spread the load as much as possible. The brickwork of the invert is continued up in this way to the springing line. As soon as one section is completed one profile is moved 10 to 20 feet ahead along the trench according to the standard length of sections, and set in position. The line is then strung from it to nails driven or pushed into the cement joints of the last completed section. Between work done on separate days the bricks are racked back in courses to provide a satisfactory bond.
Fig. 126.—Profile for Brick Sewers.
In ground too soft to support the brickwork directly a cradle is prepared by placing profiles in position in the sewer and nailing 2–inch planks to these profiles, first firmly tamping earth under the planks. The bricks are laid in this cradle in a manner similar to that explained for sewers with a firm foundation. In still softer ground it may be necessary to construct a concrete cradle to support the bricks.
184. The Arch.—The arch centering consists of a wooden form made up of wooden ribs as shown in Fig. 127. The center 313conforms to the shape of the inside of the arch with allowance for the thickness of the lagging. The lagging is nailed on the ribs in straight strips parallel to the axis of the sewer. The center is supported on triangular struts resting against the sides and on the bottom of the sewer and is lifted into position by wedges driven between it and the support. The centers may be placed immediately after the completion of the invert, or a day or two may be allowed to pass to give the invert an opportunity to set. After the centers are fixed in place the arch brick are carried up evenly on each side and are pounded firmly into place. The center is usually, but not always “struck” immediately, and the arch brick are cleaned and pointed up from the inside. The outside is covered with a layer of ¼ to ¾ of an inch of cement mortar and may be backfilled to the top of the arch in order to maintain the moisture of the mortar during setting and to press the bricks of the arch together firmly. The centers are sometimes made collapsible so that they can be carried or rolled through the finished brickwork to the advanced position. In “striking” the centers the wedges are removed and the wings folded in.
Fig. 127.—Centering for Brick Sewer.
In tunneling, the invert of the sewer is constructed in the same fashion as for open cut work. The arch centering is made in short sections and the bricks are put in position by reaching in over the end of the centering. All of the timbering of the tunnel is removed except the poling boards or lagging against which the bricks or mortar are tightly pressed, the boards being bricked in permanently.
185. Block Sewers.—Sewers made of unit blocks of concrete or vitrified clay are constructed in a similar manner to brick sewers. Fig. 128 shows the construction of a block sewer at Clinton, Iowa. In this sewer there are two rings; an inside one of solid blocks and an outside one of hollow blocks. Block sewers do not demand the skill in construction that is demanded by brick sewers, as the blocks are so cast that the joints are radial, whereas only experienced masons can lay bricks radially.
Fig. 128.—Segmental Block Sewer at Clinton, Iowa.
186. Organization.—The number of men employed on a brick or block sewer is proportioned according to the size of the sewer and the working conditions. The number of men working on different tasks usually bears the same ratio to the number of masons employed, regardless of the size of the work. These proportions are shown for different jobs, in Table 66.
| TABLE 66 | ||||||
|---|---|---|---|---|---|---|
| Organizations for the Construction of Brick and Block Sewers | ||||||
| Type of Work | General Ratio on Basis of Four Brick Layers | 15–foot, 5–ring Brick, Chicago | 66–inch Circular Brick, Gary | 84–inch Circular Brick, Gary | 84– to 108–inch Sewer Brick in Detroit Tunnel | 42–inch Lock-Joint Tile Block |
| Foreman | 1 | 1 | 1 | 1 | 1 | 1 |
| Brick layers | 4 | 12 | 6 | 6 | 5 | 2 |
| Helpers | 2 | 11 | 3 | 3 | 1 | |
| Scaffold men | 2 | 21 | 3 | |||
| Brick tossers | 2 | 7 | 15 | 2 | ||
| Brick carriers | 2 | 2 | 2 | |||
| Cement mixers | 2 | 6 | 6 | 5 | 1 | |
| Cement carriers | 2 | 10 | 8 | |||
| Form setters | 1 | 3 | 3 | |||
| Laborers | 1 | 8 | 19 | 3 | 14 | 7 |
| Source of Information | Municipal Engineering, Vol. 54, p. 228 | H. P. Gillette, Handbook of Cost Data | ||||
187. Rate of Progress.—In a general way it can be assumed that the laying of 1,000 bricks will require 3⅓ hours of the time of one mason, 10 man-hours for helpers and laborers, 2 barrels of cement, 0.6 cubic yard of sand, and about 10 feet board measure of centering. One thousand bricks will make about 2 cubic yards of brickwork. To the costs, as estimated on the basis of materials and labor, must be added about 15 per cent for overhead and an additional amount for the contractor’s profit. The number of bricks required in various size sewers is shown in Table 67. A mason can lay more bricks per hour in a large sewer than in a small one as there is a smaller percentage of face work, there is more room to work, and it is easier to lay the bricks radially. The number of bricks laid and the rate of progress on various jobs are shown in Table 68.
| TABLE 67 | ||||
|---|---|---|---|---|
| Brick Masonry in Circular Sewers. Cubic Yards per Linear Foot | ||||
| (From H. P. Gillette) | ||||
| Diameter, Feet and Inches |
One Ring (4½ Inches) |
Two Ring (9 Inches) |
Three ring (13½ Inches) |
|
| 2 | 0 | 0.103 | 0.240 | |
| 2 | 6 | 0.125 | 0.280 | |
| 3 | 0 | 0.147 | 0.327 | |
| 3 | 6 | 0.169 | 0.371 | |
| 4 | 0 | 0.191 | 0.415 | |
| 4 | 6 | 0.213 | 0.458 | |
| 5 | 0 | 0.234 | 0.501 | 0.802 |
| 5 | 6 | 0.256 | 0.545 | 0.867 |
| 6 | 0 | 0.278 | 0.589 | 0.933 |
| 6 | 6 | 0.633 | 1.000 | |
| 7 | 0 | 0.677 | 1.063 | |
| 7 | 6 | 0.720 | 1.128 | |
| 8 | 0 | 0.763 | 1.193 | |
| 8 | 6 | 0.807 | 1.260 | |
| 9 | 0 | 0.851 | 1.325 | |
| 9 | 6 | 0.895 | 1.390 | |
| 10 | 0 | 0.938 | 1.456 | |
188. Construction in Open Cut.—In the construction of sewer pipe of cement and concrete one of two methods may be employed; 1st, to manufacture the pipe in a plant at some distance 315from the place of final use, or 2nd, to manufacture the pipe in place. The methods of the manufacture of cement and concrete pipe which are to be transported to the place of use are treated in Chapter VIII. The process of constructing the pipes in place is ordinarily used for pipes 48 inches or more in diameter. For smaller sizes, brick, vitrified clay, and precast cement pipes are usually more economical.
The preparation of the foundation of a concrete sewer is similar to that for a brick sewer. If the ground is suitable the trench is shaped to the outside form of the sewer and the concrete poured directly on it. In soft material which would give poor support to a sewer with a rounded exterior, the bottom of the trench is cut horizontal and a concrete cradle of poorer quality than that in the finished sewer is poured on the soft ground, on a board platform, on piles, or on cribbing supported on piles.
If the invert of the sewer is so flat that the concrete will stand without an inside form the shape of the invert is obtained 316by a screed or straight-edge which is passed over the surface of the concrete and guided on two centers, or on one center and the face of the finished work. The construction of a flat invert sewer at Baltimore is shown in Fig. 1. The center for the concrete is shown in the foreground. When the concrete for the next section is poured it will be smoothed to shape by a screed or straight-edge resting on the face of the finished concrete and the center. The center is shaped to conform to that of the finished concrete. It is firmly staked in position and acts as a bulkhead for the concrete as it is poured, as well as a guide for the screed.
| TABLE 68 | |||||||||
|---|---|---|---|---|---|---|---|---|---|
| Rate of Progress on Brick Sewer Construction | |||||||||
| (Based on 8–hour day) | |||||||||
| Diameter of Sewer | Shape | Number Rings, Brick | Number Masons | Bricks per Mason per Day | Number Laborers | Feet Progress per Day | Location | Authority | Remarks |
| 7′ 0″ 8′ 11″ |
Circular and Oval | 2½ | 6 | 4710 | 39 | 60 | Gary | Gillette | 9–hour day |
| 4′ 0″ | Circular | 2 | 3 | 2500 | 36 | Metcalf and Eddy | General average | ||
| 6′ 8″ | Circular | 3 arch 1 invert |
18 | 62 | Denver | Gillette | Concrete invert | ||
| 2′ 9″ | Egg | 1 arch 2 invert |
2 | 3 | Springfield, Mass. | Eng. Con., Jan. 16, 1907 | |||
| 5′ 6″ | Circular | 2 | 6 | 4570 | 35 | 110 | Gary | Gillette | |
| 6′ 6″ | Circular | 4 | 4800 | Gillette | Exceptional speed | ||||
| 2′ 9″ | Circular | 2 | 2 | 2080 | 5 | 13.9 | Syracuse | Gillette | Tunnel 12–hour day |
| 16′ 0″ | Circular | 5 | 8 | 5 cu. yd. | 22 | Chicago | Gillette | First year | |
| 16′ 0″ | Circular | 5 | 12 | 70–75 | 35 | Chicago | Gillette | Second year | |
| 3′ 6″ | Egg | 2300 | St. Louis | Gillette | |||||
| 9′ 6″ | Circular | 3000 | 12.5 | Chicago | H. R. Abbott | ||||
| 3′ 6″ | Circular | blocks | 2 | 13 | 30 | Lock joint and tile. 10–hour day | |||
318If inside forms are to be used they are made as units in lengths of 12 or 16 feet for wooden forms, and 5 feet for steel forms. The inside form is supported by precast concrete blocks placed under it and which are concreted into the sewer. It is held in position by cleats nailed to the outside form, to the sheeting, or wedged against the outside of the trench. In some cases, particularly where steel forms are used, the inside form is hung by chains from braces across the trench as is shown in Fig. 129. The form is easily brought to proper grade by adjustment of the turnbuckles and is then wedged into position to prevent movement either sideways or upwards during the pouring of the concrete. It may be necessary to weight the forms down to prevent flotation. Cross bracing in the trench which interferes with the placing of the form is removed and the braces are placed against the form until the concrete is poured. They are removed immediately in advance of the rising concrete.
Fig. 129.—Blaw Standard Half Round Sewer Form, Suspended from Overhead Support.
Courtesy, Blaw Steel Form Co.
The sewer section may be built as a monolith, in two parts, or in three parts. In casting the sewer as a monolith the complete full round inside form is fixed in place by concrete blocks and wires. The full round outside form is completed as far as possible without interfering too much with the placing and tamping of the concrete. The concrete is poured from the top, being kept at the same height on each side of the form, and tamped while being poured. The remaining panels of the outside form are placed in position as the concrete rises to them. An opening is left at the top of the outside arch forms which is of such a 319width that the concrete will stand without support. The casting of sewers as a monolith is difficult and is usually undesirable because of the uncertainty of the quality of the work. It has the advantage, however, of eliminating longitudinal working joints in the sewers which may allow the entrance of water or act as a line of weakness.
Fig. 130.—Construction Joints for Concrete Sewers.
If the sewer is to be cast in two sections the invert is poured to the springing line or higher. A triangular or rectangular timber is set in the top of the wet concrete as shown in Fig. 130. When the concrete has set the timber is removed and the groove thus left forms a working joint with the arch. After the invert concrete has set, the arch centering is placed and the arch is completed. This is the most common method for the construction of medium-sized circular sewers.
Large sewers with relatively flat bottoms are poured in two or three sections. First the invert is poured without forms and is shaped with a screed. About 6 inches of vertical wall is poured at the same time. This acts as a support for the side-wall forms. The side walls reach to the springing line of the arch and are poured after the invert has set. At the third pouring the arch is completed. The sewer shown in Fig. 1 is being poured in two steps, as the side walls are so low that they are poured at the same time as the invert. A transverse working joint similar to one of the types used in Fig. 130 is set between each day’s work.
The length of the form used and the capacity of the plant should be adjusted so that one complete unit of invert, side wall, or arch can be poured in one operation. The forms are left in place until the concrete has set. Invert and side-wall forms are generally left in position for at least two days, and in cold weather longer. The arch forms are left in place for double this time. For example if 20 feet of invert and arch can be poured in a day, 60 feet of invert form and 100 feet of arch form will be required. As the forms are released they must be moved forward through those in place. For this reason collapsible or demountable forms are necessary and steel forms are advantageous. Wooden arch forms are sometimes dismantled and carried forward in 320sections, but are preferably designed to collapse as shown in Fig. 131, so that they can be pulled through on rollers or a carriage.
189. Construction in Tunnels.—In tunnels the invert and side walls are constructed in the same manner as for open cut work. The tunneling, which acts as the outside form, is concreted permanently in place. The concreting of a tunnel by hand is shown in Fig. 132. If the work is to be done by hand the concrete is thrown in between the ribs of the arch centering and behind the plates or lagging, which are set in advance of the rising concrete. The lagging plates are 5 feet long which makes it possible to throw the concrete in place at the arch, and to tamp it in place from the end. A bulkhead and a well-greased joint timber are placed in position as the concrete rises.
Fig. 131.—Section through a Collapsible Wood Form.
Pneumatic transmission of concrete is also used for filling the arch forms as well as the side walls and invert forms. In using this method the mixer may be placed at the surface or at the bottom of the shaft or other convenient permanent location which may be some distance from the form. The mixture is discharged into a pipe line through which it is blown by air to the forms. The starting pressure of about 80 pounds per square inch can be reduced after flow has commenced. In constructing the St. Louis Water Works tunnel the compressor equipment for moving the concrete had a capacity of 1,600 321cubic feet per minute at a pressure of 110 pounds. The tunnel is horseshoe shaped, 8 feet in height and with walls varying from 9 to 20 inches in thickness. The extreme travel of the concrete was 1,100 feet in an 8 inch pipe. The amount of air consumed at 110 pounds varied from 1.2 to 1.7 cubic feet of free air per linear foot of pipe. By the time the batch had been discharged the pressure had reduced to 25 to 40 pounds, depending on the length of the pipe. It is reported that a 6–inch pipe line would probably have given better results.
Fig. 132.—Ogier’s Run Intercepting Storm-Water Drain, Baltimore, Maryland.
Placing concrete in Arch. The steel lagging of the forms is carried up in sections as the concrete is deposited. The drain is horseshoe shaped, and is 12 feet 3 inches high and 12 feet 3 inches wide.
The end of the concrete conveying pipe is provided with a flexible joint the simplest form of which can be made by slipping a section of pipe of larger diameter over the end of the transmission line. The concrete is deposited directly on the invert or into the side-wall forms and can be blown into the arch forms for 20 to 25 feet.
190. Materials for Forms.—The materials used in forms for concrete sewers are: wood, wood with steel lining, and steel alone. The first cost of wood forms is lower than that of steel but their life is relatively short. If the forms are to be used a number of times steel is more economical. With proper care 322and repairs steel forms will outlast any other material. Because of the increasing price of lumber and improvements in steel forms, wood forms are not frequently used. A common type of specification under which forms are used is:
The material of the forms shall be of sufficient thickness and the frames holding the forms shall be of sufficient strength so that the forms shall be unyielding during the process of filling. The face of the form next to the concrete shall be smooth. If wooden forms are used the planking forming the lining shall invariably be fastened to the studding in horizontal lines, the ends of these planks shall be neatly butted against each other, and the inner surface of the form shall be as nearly as possible perfectly smooth, without crevices or offsets between the ends of adjacent planks. Where forms are used a second time, they shall be freshly jointed so as to make a perfectly smooth finish to the concrete. All forms shall be water-tight and shall be wetted before using.
Any material in contact with wet concrete should be oiled or greased beforehand in order to prevent adherence to the concrete.
191. Design of Forms.—The design of forms for reinforced
concrete work requires some knowledge of the strength of materials
and the theories of beams, columns, and arches. Forms can be
constructed without such knowledge but that they will be both
economical and adequate is an improbability. The ordinary
beam and column formulas are applicable to the design of forms.
The maximum bending moment for sheeting and ribs is taken as
wl2
8, where w is the load per unit length, and l is the length between
supports. Sanford Thompson recommends that the deflection be
calculated as wl3
128EI, in which E is the modulus of elasticity of
the material, and I is the moment of inertia of the cross-section
referred to the neutral axis. The horizontal pressure of the concrete
against the forms has been expressed empirically by E. B.
Smith,[101] as
Earlier investigators have usually concluded that the pressures were equal to those caused by a liquid weighing 144 pounds per cubic foot, but the tests of the United States Bureau of Public Roads, from which the above formula was devised, show the pressures to be decidedly below this amount under certain conditions.
Fig. 133.—Centering for Large Forms.
With these units and formulas the design of the lagging becomes a matter of substitution in, and the solution of, the equations produced.[102] The forces acting on the ribs are indeterminate. No more satisfactory design can be made for the ribs than to follow successful practice, or what is seldom done, to determine the stresses in the forms by the application of one of the theories for the solution of arch stresses. The sizes of the lumber used in the ribs varies from 1½ × 6 inches to 2 × 10 inches, depending on the size of the sewer. If vertical posts are used at the ends to support the arch forms they are computed as columns taking the full weight of the arch. If the span is so wide that radial supports are used as shown in Fig. 133 the load at the center is assumed as one-fourth of the weight of the arch.
192. Wooden Forms.—Norway and Southern pine, spruce, and fir are satisfactory for form construction. White pine is satisfactory but is generally too expensive. The hard woods are too difficult to work. The lumber should be only partly dried as kiln-dried lumber swells too much when it is moistened, warping the forms out of shape or crushing the lagging at the 324joints. Green lumber must be kept moist constantly to prevent warping before use and when it is used it does not swell enough to close the cracks. The lumber should be dressed on the face next to the concrete and at the ends. Either beveled or matched lumber may be used for lagging. The joint made by beveled lumber shown in Fig. 134 is cheaper but less satisfactory than a tongued and grooved joint.
![]() |
![]() |
![]() |
| Fig. 134.—Beveled Joint for Wood Fords. | Fig. 135.—Collapsible Wooden Invert Form for Concrete Sewers. | Fig. 136.—Support for Arch Centering. |
Fig. 137.—Wooden Forms Used in Tunnel, North Shore Sewer, Sanitary District of Chicago.
Journal Western Society of Engineers, Vol. 22, p. 385.
Types of wooden forms are shown in Figs. 135 and 136 for use in sewers to be built as monoliths or in two portions. Fig. 137 shows the details of a built-up wooden form used in tunnel work for a 42½ inch egg-shaped sewer.
325193. Steel-lined Wooden Forms.—Sheet metal linings are sometimes used on wooden forms. They permit the use of cheaper undressed lumber, demand less care in the joining of the lagging, and when in good condition give a smooth surface to the finished concrete. Their use has frequently been found unsatisfactory and more expensive than well-constructed wooden forms because of the difficulty of preventing warping and crinkling of the metal lining and in keeping the ends fastened down so that they will not curl. Sheet steel or iron of No. 18 or 20 gage (0.05 to 0.0375 of an inch) weighing 2 to 1½ pounds per square foot is ordinarily used for the lining.
Fig. 138.—Blaw Standard Full Round Telescopic Sewer Forms, Showing Knocked-Down Sections Loaded on a Truck.
Courtesy, Blaw Steel Form Co.
194. Steel Forms.—These are simple, light, durable, and easy to handle. The engineer is seldom called upon to design these forms as the types most frequently used are manufactured by the patentees and are furnished to the contractor at a fixed rental per foot of form, exclusive of freight and hauling from the point of manufacture. The forms can be made in any shape desired, the ordinary stock shapes such as the circular forms being the least expensive. The smaller circular forms are adjustable within about 3 inches to different diameters so that the same form can be used for two sizes of sewers. The same form can be used for arch and invert in circular sewers. Fig. 138 shows the 326collapsible circular forms and the manner in which they are pulled through those still in position. Fig. 129 shows a half round steel form swung in position by chains and turnbuckles from the trench bracing, and Fig. 139 shows the free unobstructed working space in the interior of some large steel forms.
Fig. 139.—Interior of Steel Forms for Calumet Sewer, Chicago.
Sewer is 16 feet wide. Note absence of obstructions. Courtesy, Hydraulic Steelcraft Co.
195. Reinforcement.—It is essential that the reinforcement be held firmly in place during the pouring of the concrete. A section of reinforcement misplaced during construction may serve no useful purpose and result in the collapse of the sewer. In sewer construction a few longitudinal bars may be laid in order that the transverse bars may be wired to them and held in position by notches in the centering and in fastenings to bars protruding from the finished work. This construction is shown in Fig. 1. The network of reinforcement is held up from the bottom of the trench by notched boards which are removed as the concrete reaches them, or better by stones or concrete blocks which are concreted in. Sometimes the reinforcement is laid on top of the freshly poured portion of the concrete the surface of which is at the proper distance from the finished face 327of the work. This method has the advantage of not requiring any special support for the reinforcement, but it is undesirable because of the resulting irregularity in the reinforcement spacing and position.
In the side walls the position of the reinforcement is fixed by wires or metal strips which are fastened to the outside forms or to stakes driven into the ground. Wires are then fastened to the reinforcement bars and are drawn through holes in the forms and twisted tight. When the forms are removed the wires or strips are cut leaving a short portion protruding from the face of the wall. The reinforcing steel from the invert should protrude into the arch or the side walls for a distance of about 40 diameters in order to provide good bond between the sections. The protruding ends are used as fastenings for the new reinforcement. The arch steel may be supported above the forms by specially designed metal supports, by small stones or concrete blocks which are concreted into the finished work; or by notched strips of wood which are removed as the concrete approaches them. Strips of wood are not satisfactory because they are sometimes carelessly left in place in the concrete resulting in a line of weakness in the structure. Metal chairs are the most secure supports. They are fastened to the forms and the bars are wired to the chairs. In some instances the entire reinforcement has been formed of one or two bars which are fastened into position as a complete ring. This results in a better bond in the reinforcement, requires less fastening and trouble in handling, but is in the way during the pouring of the concrete and interferes with the handling of the forms.
196. Costs of Concrete Sewers.—Under present day conditions a general statement of the costs of an engineering structure can not be given with accuracy. Only the items of labor, materials, and transportation that go to make up the cost can be estimated quantitively, and the total cost computed by multiplying the amount of each item by its proper unit cost obtained from the market quotations.
A summary of some of the items that go to make up the cost of a concrete sewer and the relative amount of these items on different jobs is given in Tables 69 and 70.
| 328 | ||||
| TABLE 69 | ||||
|---|---|---|---|---|
| Division of Labor Costs For the Construction of 96–inch Circular Concrete Sewer | ||||
| Classification of Labor | Classification of Work | |||
| Task or Title | Number of men | Total dollars per day | Type of Work | Dollars per foot |
| Superintendent | 1 | 6.00 | Excavation | 1.80 |
| Engineman | 1 | 3.50 | Sheeting and bracing | 0.58 |
| Hoister (engineman) | 1 | 2.00 | Bottom plank | 0.17 |
| Tag-men | 2 | 3.30 | Pulling sheeting | 0.45 |
| Earth diggers | 10 | 16.50 | Backfilling | 0.33 |
| On dump cars | 2 | 3.30 | Making and placing invert | 1.17 |
| Carpenter on bracing | 2 | 3.00 | Making and placing arch | 1.54 |
| Carpenters’ helpers | 2 | 3.30 | Laying brick in invert | 0.29 |
| Laying bottom | 2 | 3.30 | ||
| Moving pumps, etc. | 2 | 3.30 | Bending and placing steel in arch | 0.20 |
| Pulling sheeting | 3 | 5.25 | ||
| Mixing and placing concrete | 16 | 26.40 | Bending and placing steel in invert | 0.09 |
| On steel forms | 3 | 5.25 | Moving forms and centers | 0.62 |
| Water boy | 1 | 1.00 | Watchmen, water boy, etc. | 0.62 |
| Coal and oil | 5.00 | |||
| Total | 90.40 | Total | 7.86 | |
| Notes.—Trench was 12½ feet wide and of various depths. At depth of 12 feet the cost of excavation was $1.61 per foot. From Engineering and Contracting, Vol. 47, p. 157. | ||||
197. Methods.—Careful backfilling is necessary to prevent the displacement of the newly laid pipe and to avoid subsequent settlement at the surface resulting in uneven street surfaces and dangers to foundations and other structures.
The backfilling should commence as soon as the cement in the joints or in the sewer has obtained its initial set. Clay, sand, rock dust, or other fine compactible material is then packed by hand under and around the pipe and rammed with a shovel and light tamper. This method of filling is continued up to the top of the pipe. The backfill should rise evenly on both sides of the pipe and tamping should be continuous during the placing of the backfill. For the next 2 feet of depth the backfill should be placed with a shovel so as not to disturb the pipe, and should be tamped while being placed, but no tamping should be done within 6 inches of the crown of the sewer. The tamping should become 329progressively heavier as the depth of the backfill increases. Generally one man tamping is provided for each man shoveling.
| TABLE 70 | |||||||
|---|---|---|---|---|---|---|---|
| Division of Costs For the Construction of Concrete Sewers | |||||||
| Gillette’s Handbook of Cost Data. | |||||||
| Item | Location | ||||||
| Fond du Lac | South Bend | Wilmington | Richmond, Indiana | ||||
| Diameter in inches | 30 | 66 | 53 | 54 | 48 | 42 | |
| Shape | circular | circular | horseshoe | circular | circular | circular | |
| Plain or reinforced | plain | rein. | rein. | rein. | rein. | rein. | |
| Cubic yards per foot | 0.11 | 0.594 | 0.37 | 5″ shell | 5″ shell | 4″ shell | |
| Daily progress, feet | 47 | 24 to 36 | |||||
| Cost per foot, dollars | 1.20 | 4.40 | 2.97 | 1.35 | 1.08 | 0.91 | |
| Per cent of total cost: | |||||||
| Labor | 39.0[103] | 33.5 | 33.0 | 17.1 | |||
| Tools | 1.5 | 11.5 | |||||
| Sand and gravel | 12.4 | 15.5 | 18.9 | 19.3 | |||
| Lumber | 0.9 | ||||||
| Water | 0.7 | 11.5 | |||||
| Reinforcing | 0.0 | 14.5 | 22.3 | ||||
| Cement | 23.0 | 20.0 | 27.5 | 32.0[104] | |||
| Frost prevention | 2.0 | ||||||
| Forms | 12.5 | 8.0 | 6.1 | 9.3 | |||
| Engineering | 8.0 | ||||||
| Length of day, hours | 8 | 10 | |||||
| Year of construction | 1908 | 1906 | Pre-war conditions | ||||
Above a point 2 feet above the top of the sewer the method pursued and the care observed in backfilling will depend on the character of the backfilling material and the location of the sewer. If the sewer is in a paved street the backfill is spread in layers 6 inches thick and tamped with rammers weighing about 40 pounds with a surface of about 30 square inches. One man tamping for each man shoveling is frequently specified. If no pavement is to be laid but it is required that the finished surface shall be smooth, slightly less care need be taken and only one man tamping is specified for each two men shoveling. On paved streets a reinforced concrete slab with a bearing of at least 12 inches on the undisturbed sides of the trench may be designed 330to support the pavement and its loads. This is of great help in preventing the unsightly appearance and roughness due to an improperly backfilled trench. On unpaved streets the backfill is crowned over the trench to a depth of about 6 inches and then rolled smooth by a road roller. In open fields, in side ditches, or in locations where obstruction to traffic or unsightliness need not be considered, after the first 2 feet of backfill have been placed with proper care, the remainder is scraped or thrown into the trench by hand or machine, care being taken not to drop the material so far as to disturb the sewer.
If the top of the sewer, manhole, or other structure comes close to or above the surface of the ground, an earth embankment should be built at least 3 feet thick over and around the structure. The embankment should have side slopes of at least 1½ on 1 and should be tamped to a smooth and even finish.
If sheeting is to be withdrawn from the trench it should be withdrawn immediately ahead of the backfilling, and in trenches subject to caving it may be pulled as the backfilling rises.
Puddling is a process of backfilling in which the trench is filled with water before the filling material is thrown in. It avoids the necessity for tamping and can be used satisfactorily with materials that will drain well and will not shrink on drying. Sand and gravel are suitable materials for puddling, heavy clay is unsatisfactory. Puddling should not be resorted to before the first 2 feet of backfill has been carefully placed. More compact work can be obtained by tamping than with puddling.
Frozen earth, rubbish, old lumber, and similar materials should not be used where a permanent finished surface is desired as these will decompose or soften resulting in settlement. Rocks may be thrown in the backfill if not dropped too far and the earth is carefully tamped around and over them. In rock trenches fine materials such as loam, clay, sand, etc., must be provided for the backfilling of the first portion of the trench for 2 feet over the top of the pipe. More clay can generally be packed in an excavation than was taken out of it, but sand and gravel occupy more space than originally even when carefully tamped.
Tamping machines have not come into general use. One type of machine sometimes used consists of a gasoline engine which raises and drops a weighted rod. The rod can be swung back and forth across the trench while the apparatus is being 331pushed along. It is claimed that two men operating the machine can do the work of six to ten men tamping by hand. The machine delivers 50 to 60 blows per minute, with a 2 foot drop of the 80 to 90 pound tamping head.
Backfilling in tunnels is usually difficult because of the small space available in which to work. Ordinarily the timbering is left in place and concrete is thrown in from the end of the pipe between the outside of the pipe and the tunnel walls and roof. If vitrified pipe is used in the tunnel, the backfilling is done with selected clayey material which is packed into place around the pipe by workmen with long tamping tools. The backfilling should be done with care under the supervision of a vigilant inspector in order that subsequent settlement of the surface may be prevented.
198. Work Involved.—The principal effort in maintaining sewers is to keep them clean and unobstructed. A sewerage system, although buried, cannot be forgotten as it will not care for itself, but becoming clogged will force itself on the attention of the community. Besides the cleaning and repairing of sewers and the making of inspections for determining the necessity for this work, ordinances should be prepared and enforced for the purpose of protecting the sewers from abuse. Inspections to determine the amount of the depreciation of sewers with a view towards possible renewal, or to determine the capacity of a sewer in relation to the load imposed upon it are sometimes necessary. The valuation of the sewerage system as an item in the inventory of city property may be assigned to the engineer in charge of sewer maintenance.
The work involved in the inspection and cleaning of sewers in New York City for the year ending May, 1914, included the removal of 22,687 cubic yards of material from catch-basins, and 14,826 catch-basin cleanings. This made an average of two and one-half cleanings per catch-basin per year, or 1½ cubic yards removed at each cleaning. The 6,432 catch-basins were inspected 71,890 times. There were 4,112 cubic yards of material removed from 517 miles of sewers, or about 8 cubic yards per mile. Inspection of 194 miles of brick sewers were made, 4.4 miles were flushed, and 27 miles were cleaned. Inspections of 198 miles of pipe sewers were made, 80 miles were examined more closely, 37 miles were flushed, and 91 miles were cleaned. The field organization for this work consisted of 17 foremen, 8 assistant foremen, 29 laborers, 71 cleaners, 13 mechanics, 7 inspectors of construction, 3 inspectors of sewer connections, 13 horses and wagons, and 28 horses and carts.[105]
333199. Causes of Troubles.—The complaints most frequently received about sewers are caused by clogging, breakage of pipes, and bad odors. Sewers become clogged by the deposition of sand and other detritus which results in the formation of pools in which organic matter deposits, aggravating the clogged condition of the sewers and causing the odors complained of. Grease is a prolific cause of trouble. It is discharged into the sewer in hot wastes, and becoming cooled, deposits in thick layers which may effectively block the sewer if not removed. It can be prevented from entering the sewers by the installation of grease traps as described in Chapter VI. The periodic cleaning of these traps is as important as their installation.
Tree roots are troublesome, particularly in small pipe sewers in residential districts. Roots of the North Carolina poplar, silver leaf poplar, willow, elm, and other trees will enter the sewer through minute holes and may fill the sewer barrel completely if not cut away in time. Fungus growths occasionally cause trouble in sewers by forming a network of tendrils that catches floating objects and builds a barricade across the sewer. Difficulties from fungus growths are not common, but constant attention must be given to the removal of grit, grease, and roots. Tarry deposits from gas-manufacturing plants are occasionally a cause of trouble, as they cement the detritus already deposited into a tough and gummy mass that clings tenaciously to the sewer.
Broken sewers are caused by excessive superimposed loads, undermining, and progressive deterioration. The changing character of a district may result in a change of street grade, an increase in the weight of traffic, or in the construction of other structures causing loads upon the sewer for which it was not designed. The presence of corrosive acids or gases may cause the deterioration of the material of the sewer.
200. Inspection.—The maintenance of a sewerage system is usually placed under the direction of a sewer department. In the organization of the work of this department no regular routine of inspection of all sewers need be followed ordinarily. Attention should be given regularly to those sewers that are known to give trouble, whereas the less troublesome sewers need not be inspected more frequently than once a year, preferably during the winter when labor is easier to obtain.
334The routine inspection of sewers too small to enter is made by an examination at the manhole. If the water is running as freely at one manhole as at the next manhole above, it is assumed that the sewer between the manholes is clean and no further inspection need be given unless there is some other reason to suspect clogging between manholes. If the sewage is backed up in a manhole it indicates that there is an obstruction in the sewer below. If the sewage in a manhole is flowing sluggishly and is covered with scum it is an indication of clogging, slow velocity and septic action in the sewer. Sludge banks on the sloping bottom of the manhole or signs of sewage high upon the walls indicate an occasional flooding of the sewer due to inadequate capacity or clogging.
Fig. 140.—Inspecting Sewers with Reflected Sunlight.
If any of the signs observed indicate that the sewer is clogged, the manhole should be entered and the sewer more carefully inspected. Such inspection may be made with the aid of mirrors as shown in Fig. 140 or with a periscope device as shown in Fig. 141. Sunlight is more brilliant than the electric lamp shown in Fig. 141, but the mirror in the manhole directs the sunlight into the eyes of the observer, dazzling him and preventing a good view of the sides of the sewer. The observers’ eyes can be protected against the direct rays of the electric light, which can be projected against the sides of the pipe by proper shades and reflectors. It is possible with this device to locate house connection, 335stoppages, breaks of the pipe, and to determine fairly accurately the condition of the sewer without discomfort to the observers.
Sewers that are large enough to enter should be inspected by walking through them where possible. The inspection should be conducted by cleaning off the sewer surface in spots with a small broom, and examining the brick wall for loose bricks, loose cement or cement lost from the joints, open joints, broken bond, eroded invert, and such other items as may cause trouble. An inspection in storm sewers is sometimes of value in detecting the presence of forbidden house connections.
Fig. 141.—Inspecting Sewers with Periscope and Electric Light. The G-K System.
Certain precautions should be taken before entering sewers or manholes. If a distinct odor of gasoline is evident the sewer should be ventilated as well as possible by leaving a number of manhole covers open along the line until the odor of gasoline has disappeared. The strength of gasoline odor above which it is unsafe to enter a sewer is a matter of experience possessed by few. A slight odor of gasoline is evident in many sewers and indicates no special danger. A discussion of the amount of gasoline necessary to create explosive conditions is given in Art. 206. In making observations of the odor it should also be noted whether air is entering or leaving the manhole. The presence of gasoline cannot be detected at a manhole into which air is entering.
336As soon as it is considered that the odors from a sewer indicate the absence of an explosive mixture, a lighted lantern or other open flame should be lowered into the manhole to test the presence of oxygen. Carbon monoxide or other asphyxiating gases may accumulate in the sewer, and if present will extinguish the flame. If the flame burns brilliantly the sewer is probably safe to enter, but if conditions are unknown or uncertain, the man entering should wear a life belt attached to a rope and tended by a man at the surface. Asphyxiating or explosive gases are sometimes run into without warning due to their lack of odor, or the presence of stronger odors in the sewer. Breathing masks and electric lamps are precautions against these dangers, the masks being ready for use only when actually needed. More deaths have occurred in sewers due to asphyxiating gases than by explosions, as the average sewer explosion is of insufficient violence to do great damage, although on occasion, extremely violent explosions have occurred. During inspections of sewers there should always be at least one man at the surface to call help in case of accident and the inspecting party should consist of at least two men.
It must not be felt that entering sewers is fraught with great danger, as it is perfectly safe to enter the average sewer. The air is not unpleasant and no discomfort is felt, but conditions are such that unexpected situations may arise for which the man in the sewer should be prepared. It is therefore wise to take certain precautions. These may indicate to the uninitiated, a greater danger than actually exists.
The inspection of sewers should include the inspection of the flush-tanks, control devices, grit chambers, and other appurtenances. A common difficulty found with flush-tanks is that the tank is “drooling,” that is to say the water is trickling out of the siphon as fast as it is entering the tank, and the intermittency of the discharge has ceased. If, when the tank is first inspected the water is about at the level of the top of the bell it is probable that the siphon is drooling. A mark should be made at the elevation of the water surface and the tank inspected again in the course of an hour or more. If the water level is unchanged the siphon is drooling. This may be caused by the clogging of the snift hole or by a rag or other obstacle hanging over the siphon which permits water to pass before the air has been exhausted, 337or a misplacement of the cap over the siphon, or other difficulty which may be recognized when the principle on which the siphon operates is understood. Occasionally it is discovered that an over zealous water department has shut off the service.
Control devices, such as leaping or overflow weirs, automatic valves, etc., may become clogged and cease to operate satisfactorily. They should be inspected frequently, dependent upon their importance and the frequency with which they have been found to be inoperative. An inspection will reveal the obstacle which should be removed. Floats should be examined for loss of buoyancy or leaks rendering them useless. Grit and screen chambers should be examined for sludge deposits.
Catch-basins on storm sewers are a frequent cause of trouble and need more or less frequent cleaning. Cleanings are more important than inspections for catch-basins for if they are operating properly they are usually in need of cleaning after every storm of any magnitude, and a regular schedule of cleaning should be maintained.
A record should be kept of all inspections made. It should include an account of the inspection, its date, the conditions found, by whom made and the remedies taken to effect repairs.
201. Repairs.—Common repairs to sewerage systems consist in replacing street inlets or catch-basin covers broken by traffic; raising or lowering catch-basin or manhole heads to compensate for the sinking of the manhole or the wear of the pavement; replacing of broken pipes, loosened bricks or mortar which has dropped out; and other miscellaneous repairs as the necessity may arise. Connections from private drains are a source of trouble because either the sewer or the drain has broken due to careless work or the settlement of the foundation or the backfill.
202. Cleaning Sewers.—Sewers too small to enter are cleaned by thrusting rods or by dragging through them some one of the various instruments available. The common sewer rod shown in Fig. 142 is a hickory stick, or light metal rod, 3 or 4 feet long, on the end of which is a coupling which cannot come undone in the sewer. Sections of the rod are joined in the manhole and pushed down the sewer until the obstruction is reached and dislodged. Occasionally pieces of pipe screwed together are used with success. The end section may be fitted with a special 338cutting shoe for dislodging obstructions. In extreme cases these rods may be pushed 400 to 500 feet, but are more effective at shorter distances. Obstructions may be dislodged by shoving a fire hose, which is discharging water under high pressure through a small nozzle, down the sewer toward the obstruction. The water pressure stiffens the hose, which, together with the support from the sides of the conduit, make it possible to push the hose in for effective work 100 feet or more from the manhole. A strip of flexible steel about ½ inch thick and 1½ to 2 inches wide is useful for “rodding” a short length of crooked sewer.
Fig. 142.—Sewer Rods
Sewers are seldom so clogged that no channel whatever remains. As a sewer becomes more and more clogged, the passage becomes smaller, thereby increasing the velocity of flow of the sewage around the obstruction and maintaining a passageway by erosion. This phenomenon has been taken advantage of in the cleaning of sewers by “pills.” These consist of a series of light hollow balls varying in size. One of the smaller balls is put into the sewer at a manhole. When the ball strikes an obstruction it is caught and jammed against the roof of the sewer. The sewage is backed up and seeks an outlet around the ball, thus clearing a channel and washing the ball along with it. The ball is caught at the next manhole below. A net should be placed for catching the ball and a small dam to prevent the dislodged detritus from passing down into the next length of pipe. The feeding of the balls into the sewer is continued, using larger and larger sizes, until the sewer is clean. This method is particularly useful for the removal of sludge deposits, but it is not effective against roots and grease. 339The balls should be sufficiently light to float. Hollow metal balls are better than heavier wooden ones.
Fig. 143.—Cable and Windlass Method of Cleaning Sewers.
The cable is held to the bottom of the sewer by bracing a 2 x 4 upright in the sewer, with a snatch block attached. A trailer is attached to the scoop to prevent loss of material.
Plows and other scraping instruments are dragged through pipe sewers to loosen banks of sludge and detritus and to cut roots or dislodge obstructions. One form of plow consists of a scoop[106] similar to a grocer’s sugar scoop, which is pushed or dragged up a sewer against the direction of flow. As fast as the scoop is filled it is drawn back and emptied. The method of dragging this through a sewer is indicated in Fig. 143. At Atlantic City the crew operating the scoop comprises five men, two are at work in each manhole and one on the surface to warn traffic and wait on the men in the manholes. The outfit of tools is contained in a hand-drawn tool box and includes sewer rods, metal scoops for all sizes of sewers, picks, shovels, hatchets, chisels, lanterns, grease and root cutters, etc., and two winches with from 400 to 600 feet of ⅜-inch wire cable.
Fig. 144.—Sewer Cleaning Device.
Eng. News, Vol. 42, 1899, p. 328.
Fig. 145.—Tools for Cleaning Sewers.
Fig. 146.—Turbine Sewer Machine Connected to Forcing Jack.
The forcing jack is used when windlass and cable cannot be used.
Courtesy, The Turbine Sewer Machine Co.
Another form of plow or drag consists of a set of hooks or teeth hinged to a central bar as shown in Fig. 144. A root cutter and grease scraper in the form of a spiral spring with sharpened edges, and other tools for cleaning sewers are shown in Fig. 145. A turbine sewer cleaner shown in Fig. 146 consists of a set of cutting blades which are revolved by a hydraulic motor of about 3 horse-power under an operating pressure of about 60 pounds per square inch. The turbine is attached to a standard fire hose and is pushed through the sewer by utilizing the stiffness of the hose, or by rods attached to a pushing jack as shown in the figure. This machine was invented and patented by W. A. Stevenson in 1914. Its performance is excellent. The blades revolve at about 600 R.P.M., cutting roots and grease. The revolving blades and the escaping water also serve to loosen and stir up the deposits and the forward helical motion imparted to the water is useful in pushing the material ahead of the machine 341and in scrubbing the walls of the sewer. In Milwaukee four men with the machine cleaned 319 feet of 12–inch sewer in 16 hours, and in Kansas City 7,801 feet of sewers were cleaned in 14 days.
Sewers large enough to enter may be cleaned by hand. The materials to be removed are shoveled into buckets which are carried or floated to manholes, raised to the surface and dumped. In very large sewers temporary tracks have been laid and small cars pushed to the manhole for the removal of the material. Hydraulic sand ejectors may also be used for the removal of deposits, similar to the steam ejector pump shown in Fig. 97. The water enters the apparatus at high velocity, under a pressure of about 60 pounds per square inch, leaps a gap in the machine from a nozzle to a funnel-shaped guide leading to the discharge pipe. The suction pipe of the machine leads to the chamber in which the leap is made. In leaping this gap the water creates a vacuum that is sufficient to remove the uncemented detritus large enough to pass through the machine, and will lift small stones to a height of 10 to 12 feet. Occasionally barricades of logs, tree branches, rope, leaves, and other obstructions which have piled up against some inward projecting portion of the sewer, must be removed by hand either by cutting with an axe or by pulling them out. Projections from the sides of sewers are objectionable because of their tendency to catch obstacles and form barricades.
Little authentic information on the cost of cleaning sewers is available. A permanent sewer organization is maintained by many cities. The division of their time between repairs, cleaning, and other duties is seldom made a matter of record. From data published in Public Works[107] it is probable that the cost varies from $3 to $15 per cubic yard of material removed. From the information in Vol. II of “American Sewerage Practice” by Metcalf and Eddy the combined cost of cleaning and flushing will vary between $10 and $40 per mile; the expense of either flushing or cleaning alone being about one-half of this.
203. Flushing Sewers.—Sewers can sometimes be cleaned or kept clean by flushing. Flushing may be automatic and frequent, or hand flushing may be resorted to at intervals to remove accumulated deposits. Automatic flush-tanks, flushing manholes, a fire hose, a connection to a water main, a temporary 342fixed dam, a moving dam, and other methods are used in flushing sewers. The design, operation, and results obtained from the use of automatic flush-tanks and flushing manholes are discussed in Chapter VI.
The method in use for cleaning a sewer by thrusting a fire hose down it can also be used for flushing sewers. It is an inexpensive and fairly satisfactory method. There is, however, some danger of displacing the sewer pipe because of the high velocity of the water. An easier and safer but less effective method is to allow water to enter at the manhole and flow down the sewer by gravity. Direct connections to the water mains are sometimes opened for the same purpose.
Sewers are sometimes flushed by the construction of a temporary dam across the sewer, causing the sewage to back up. When the sewer is half to three-quarters full the dam is suddenly removed and the accumulated sewage allowed to rush down the sewer, thus flushing it out. The dam may be made of sand bags, boards fitted to the sewer, or a combination of boards and bags. The expense of equipment for flushing by this method is less than that by any other method, but the results obtained are not always desirable. Below the dam the results compare favorably with those obtained by other methods, but above the dam the stoppage of the flow of the sewage may cause depositions of greater quantities of material than have been flushed out below. A time should be chosen for the application of this method when the sewage is comparatively weak and free from suspended matter. The most convenient place for the construction of a dam is at a manhole in order that the operator may be clear of the rush of sewage when the dam is removed.
Movable dams or scrapers are useful in cleaning sewers of a moderate size, but are of little value in small sewers. The scraper fits loosely against the sides of the sewer and is pushed forward by the pressure of the sewage accumulated behind it. The iron-shod sides of the dam serve to scrape grease and growths attached to the sewer and to stir up sand and sludge deposited on the bottom. The high velocity of the sewage escaping around the sides of the dam aids in cleaning and scrubbing the sewer.
A natural watercourse may be diverted into the sewer if topographical conditions permit, or where sewers discharge 343into the sea below high tide a gate may be closed during the flood and held closed until the ebb. The rush of sewage on the opening of the gate serves to flush the sewers and stir up the sludge deposited during high tide. Other methods of flushing sewers may be used dependent on the local conditions and the ingenuity of the engineer or foreman in charge.
In some sewers it is not necessary to remove the clogging material from the sewer. It is sufficient to flush and push it along until it is picked up and carried away by higher velocities caused by steeper grades or larger amounts of sewage.
204. Cleaning Catch-basins.[108]—Catch-basins have no reason for existence if they are not kept clean. Their purpose is to catch undesirable settling solids and to prevent them from entering the sewers, on the theory that it is cheaper to clean a catch-basin than it is to clean a sewer. If the cleaning of storm sewers below some inlet to which no catch-basin is attached becomes burdensome, the engineer in charge of maintenance should install an adequate catch-basin and keep it clean. Catch-basins are cleaned by hand, suction pumps, and grab buckets. In cleaning by hand the accumulated water and sludge are removed by a bucket or dipper and dumped into a wagon from which the surplus settled water is allowed to run back into the sewer. The grit at the bottom of the catch-basin is removed by shoveling it into buckets which are then hoisted to the surface and emptied.
Suction pumps in use for cleaning catch-basins are of the hydraulic eductor type. The eductor works on the principle of the steam pump shown in Fig. 97, except that water is used instead of steam. The material removed may be discharged into settling basins constructed in the street, or may be discharged directly into wagons.[109] In Chicago a special motor-driven apparatus is used. This consists of a 5–yard body on a 5–ton truck, and a centrifugal pump driven by the truck motor. In use, the truck, about half filled with water, drives up to the catch-basin, the eductor pipe is lowered and water pumped from the truck into the eductor and back into the truck again, together with the contents of the catch-basin. The surplus water drains 344back into the sewer. The Chicago Bureau of Sewers reports a truck so equipped to have cleaned 1013 catch-basins, removing 1763 cubic yards of material, and running 1380 miles, during the months of August, September and October, 1917. The cost, including all items of depreciation, wages, repairs, etc., was $1,393.89. Orange-peel buckets, about 20 inches in diameter, operated by hand or by the motor of a 3½ to 5–ton truck with a water-tight body, are used for cleaning catch-basins in some cities.
Catch-basins in unpaved streets and on steep sandy slopes should be cleaned after every storm of consequence. Basins which serve to catch only the grit from pavement washings require cleaning about two or three times per year, and from one to three cubic yards of material are removed at each cleaning. The cost of cleaning ordinary catch-basins by hand may vary from $15 to $25, but with the use of eductors or orange-peel buckets the cost is somewhat lower. In Seattle the cost of cleaning large detritus basins by hand is said[110] to vary from $45 to $60. With the use of eductors this cost has been reduced to one-third or one-fifth the cost of cleaning by hand.
205. Protection of Sewers.[111]—City ordinances should be wisely drawn and strictly enforced for the protection of sewers against abuse and destruction. The requirements of some city ordinances are given in the following paragraphs.
Washington, D. C.,[112] sewer ordinances provide that:
No person shall make or maintain any connection with any public sewer or appurtenance thereof whereby there may be conveyed into the same any hot, suffocating, corrosive, inflammable or explosive liquid, gas, vapor, substance or material of any kind ... provided that the provisions of this act shall not apply to water from ordinary hot water boilers or residences.
The following extracts from the ordinances of Indianapolis are typical of those from many cities:
2950. No connection shall be made with any public sewer without the written permission of the Committee on Sewers and the Sewerage Engineer.
3452953. No person shall be authorized to do the work of making connections until he has furnished a satisfactory certificate that he is qualified for the duties. He shall also file bond for not less than $1,000 that he will indemnify the City from all loss or damage that may result from his work and that he will do the work in conformity to the rules and regulations established by the City Council.
2955. It shall be unlawful for any person to allow premises connected to the sewers or drains to remain without good fixtures so attached as to allow a sufficiency of water to be applied to keep the same unobstructed.
2956. No butcher’s offal or garbage, or dead animals, or obstructions of any kind shall be thrown in any receiving basin or sewer in penalty not greater than $100. Any person injuring, breaking, or removing any portion of any receiving basin, manhole cover, etc., shall be fined not more than $100.
2962. No person shall drain the contents of any cesspool or privy vault into any sewer without the permission of the Common Council.
The Cleveland ordinances are similar and contain the following in addition:
1251. Rule 4. All connections with the main or branch sewers shall be made at the regular connections or junctions built into the same, except by special permit.
Rule 16. No steam pipe, nor the exhaust, nor the blow off from any steam engine shall be connected with any sewer.
Evanston, Illinois, protects its sewers against the additions of grease and other undesirable substances as follows:
1444. It is unlawful for any person to use any sewer or appurtenance to the sewerage system in any manner contrary to the orders of the Commissioner of Public Works.
1446. Wastes from any kitchen sinks, floor drains, or other fixtures likely to contain greasy matter from hotels, certain apartment houses, boarding houses, restaurants, butcher shops, packing houses, lard rendering establishments, bakeries, laundries, cleaning establishments, garages, stables, yard and floor drains, and drains from gravel roofs shall be made through intervening receiving basins constructed as prescribed in par. VIII of this code.
Receiving basins suitable for the work required in the code are illustrated in Chapter VI.
346206. Explosions in Sewers.—Disastrous explosions in sewers were first recorded about 1886.[113] Up to about 1905 explosions were infrequent and were considered as unavoidable accidents and so rare as to be unworthy of study. For a decade or more after 1905 explosions occurred with increasing violence and frequency causing destruction of property, but by some freakish chance, but little loss of life. A violent and destructive explosion occurred in Pittsburgh on Nov. 25, 1913,[114] and another on March 12, 1916. The property damage amounted to $300,000 to $500,000 on each occasion, but there was no loss of life. Two miles of pavement were ripped up, gas, water, and other sewer pipes were broken, buildings collapsed and the streets were flooded. The streets were rendered unserviceable for long periods during the expensive repairs that were necessary. In recent years the number of explosions in sewers has been smaller, due probably to the gain in knowledge of the causes and intelligent methods of prevention.
The three principal causes of explosions in sewers are: gasoline vapor, illuminating gas, and calcium carbide. It is probable that gasoline vapor is by far the most troublesome. Explosions caused by these gases are not so violent as those caused by dynamite or other high explosives, as the volume of gas and the temperature generated are much less. The violence of sewer explosions may be increased somewhat by the sudden pressures that are put upon them.
Gasoline finds its way into sewers from garages and cleaning establishments. A mixture of 1½ per cent gasoline vapor and air may be explosive. It needs only the stray spark of an electric current, a lighted match, or a cigar thrown into the sewer to cause the explosion. As the result of a series of experiments on 2,706 feet of 8–foot sewer, Burrell and Boyd conclude.[115]
One gallon of gasoline if entirely vaporized produces about 32 cubic feet of vapor at ordinary temperature and pressure. If 1½ per cent be adopted as the low explosive limit of mixtures of gasoline vapor and air, 55 gallons or a barrel of gasoline would produce enough vapor to render explosive the mixture in 1,900 feet of 9 foot sewer 347provided the gasoline and the air were perfectly mixed. Many different factors, however, govern explosibility, such as: size of the sewer, velocity of the sewage, temperature of the sewer, volatility and rate of inflow of the gasoline. Only under identical conditions of tests would duplicate results be obtained. A large amount of gasoline poured in at one time is less dangerous than the same amount allowed to run in slowly. With a velocity of flow of about 6½ feet per second it was evident that 55 gallons of gasoline poured all at once into a manhole rendered the air explosive only a few minutes (less than 10) at any particular point. With the same amount of gasoline run in at the rate of 5 gallons per minute, an explosive flame would have swept along the sewer if ignited 15 minutes after the gasoline had been dumped. With a slow velocity of flow and a submerged outlet the gasoline vapor being heavier than air accumulated at one point and extremely explosive conditions could result from a small amount of gasoline. Comparatively rich explosive mixtures were found 5 hours after the gasoline had been discharged. High-test gasoline is much more dangerous than the naphtha used in cleaning establishments, yet on account of the large quantity of waste naphtha the sewage from cleaning establishments may be very dangerous.
Illuminating gas is not so dangerous as gasoline vapor as it is lighter than air and it is more likely to escape from the sewer than to accumulate in it. It requires about one part of illuminating gas to seven parts of air to produce an explosive mixture.
Calcium carbide is dangerous because it is self igniting. The heat of the generation of gas is sufficient to ignite the explosive mixture. The gases are highly explosive and cause a relatively powerful explosion. Fortunately large amounts of this material seldom reach a sewer, the gas being generated in garage drains or traps and escaping in the atmosphere.
A hydrocarbon oil used by railroads in preventing the freezing of switches, if allowed to reach the sewers, may cause explosions therein.[116] The oil crystallizes and in this form it is soluble in water. It will thus pass traps and on volatilization will produce explosive mixtures.
Methane, generated by the decomposition of organic matter, 348is a feebly explosive gas occasionally found in sewers. Its presence may add to the strength of other explosive mixtures.
Sewer explosions may be prevented by the building of proper forms of intercepting basins to prevent the entrance of gasoline and calcium carbide gases, and by ventilation to dilute the explosive mixtures which may be made up in the sewer. There are no practical means to predict when an explosion is about to occur, and after an explosion has occurred it is difficult to determine the cause as all evidence is usually destroyed.
207. Valuation of Sewers.—The necessity for the valuation of a sewerage system may arise from the legal provisions in some states limiting the amount of outstanding bonds which may be issued by a municipality to a certain percentage of the present worth of municipal property. The investment in the sewerage system is usually great and forms a large portion of the City’s tangible property. It may be desirable also to determine the depreciation of the sewers with a view towards their renewal.
The most valuable work on the valuation of sewers has been done in New York City[117] by the engineers of the Sewer Department. The committee of engineers appointed to do the work recommended: (1) that the original cost be made the basis of valuation, and that (2), in fixing this cost the cost of pavement should be omitted or at most the cost of a cheap (cobblestone) pavement should be included. Trenches previously excavated in rock were considered as undepreciated assets.
The present worth of sewers depends on many factors aside from the effects of age, such as the care exercised in the original construction, the material used, the kind and quantity of sewage carried, the care taken in maintenance, and finally the injury caused by the careless building of adjoining substructures. During the progress of the inspections the examination of brick sewers, due to their accessibility, yielded better results than the examination of pipe sewers. The routine of the examination of the brick sewers consisted in cleaning off the bricks with a short broom, tapping the brick with a light hammer to determine solidity, and testing the cement joints by scraping with a chisel. In addition, measurements of height and width were taken every 30 feet. The bricks in the invert at and below the flow line were examined for wear.
349A study of the reports of these examinations disclosed that the following defects were noticeable:
Fig. 147.—Diagrams used in Estimating Depreciation of Brick Sewers Due to Age, Manhattan Borough, New York City.
a. Proportionate deterioration from various causes.
b. Percentage of depreciation based on examination of sewers, use of deterioration curve (Fig. a), and age of sewers examined.
Eng. News, Vol. 71, p. 84.
Inspection of pipe sewers from manholes, the pipe being illuminated by floating candles, was found to be unsatisfactory. Reliance was placed on the reports of men experienced in making connections and repairs to the sewers. Early pipe sewers in New York were laid directly on the bottom of the trench. Under these circumstances a small leak at a joint was sufficient to wash the earth away and to drop the pipe, causing serious conditions along the line. No wear or deterioration of pipe sewers were noted, the only defects being cracking of the pipes at the center line due to poor foundation and to defects in the pipe itself.
Fig. 148.—Diagram Showing Rate of Depreciation of Pipe Sewers.
Eng. News, Vol. 71, p. 86.
The depreciation of brick sewers as studied in New York, is shown graphically in Fig. 147. At zero the sewer is in good condition and at 100 it is in such a state of dilapidation as to require instant rebuilding. Repairs are not considered economical in this condition. In the preparation of this diagram each condition on the list above was given a certain number of points, which when added together represented the state of depreciation of the sewer. These sums were plotted as ordinates and the corresponding ages of the sewer were plotted as abscissas. The various points were taken cumulatively, and where the bond of the brickwork was broken (given a value of 72) plus other defects gave a total of 164 the sewer was considered as valueless and not worth repair. The scale of 164 was later reduced to a percentage basis as shown on the right of the figure. Fig. 148 shows a similar diagram for the depreciation of pipe sewers.
351It was concluded that the life of a brick sewer in New York is 64 years. Some of the sewers examined were over 200 years old. The total original cost of 483 miles of brick, pipe and wood sewers was figured as $23,880,000 with a present worth of $18,665,000 and an average annual depreciation of 2.2 per cent. In figuring these amounts no account was taken of obsolescence. The deterioration of catch-basins proceeded at about the same rate as for brick sewers.
208. Physical Characteristics.—Sewage is the spent water supply of a community containing the wastes from domestic, industrial, or commercial use, and such surface and ground water as may enter the sewer.[118] Sewages are classed as: domestic sewage, industrial waste, storm water, surface water, street wash, and ground water. Domestic sewage is the liquid discharged from residences or institutions and contains water closet, laundry, and kitchen wastes. It is sometimes called sanitary sewage. Industrial sewage is the liquid waste resulting from processes employed in industrial establishments. Storm water is that part of the rainfall which runs over the surface of the ground during a storm and for such a short period following a storm as the flow exceeds the normal and ordinary run-off. Surface water is that part of the rainfall which runs over the surface of the ground some time after a storm. Street wash is the liquid flowing on or from the street surface. Ground water is water standing in or flowing through the ground below its surface.
Ordinary fresh sewage is gray in color, somewhat of the appearance of soapy dish water. It contains particles of suspended matter which are visible to the naked eye. If the sewage is fresh the character of some of the suspended matter can be distinguished as: matches, bits of paper, fecal matter, rags, etc. The amount of suspended matter in sewage is small, so small as to have no practical effect on the specific gravity of the liquid nor to necessitate the modification of hydraulic formulas developed for application to the flow of water. The total suspended matter in a normal strong domestic sewage is about 500 parts per 1,000,000. It is represented graphically in Fig. 149. The quantity of organic or volatile suspended matter 353is about 200 parts per 1,000,000. It is shown graphically in the smaller cube in Fig. 149.
Fig. 149.—Graphical Representation of Relative Volumes of Liquids and Solids in Sewage.
The odor of fresh sewage is faint and not necessarily unpleasant. It has a slightly pungent odor, somewhat like a damp unventilated cellar. Occasionally the odor of gasoline, or some other predominating waste matter may hide all other odors. Stale sewage is black and gives off nauseating odors of hydrogen sulphide and other gases. If the sewage is so stale as to become septic, bubbles of gas will be seen breaking the surface and a black or gray scum may be present. Before the South Branch of the Chicago River was cleaned up and flushed this scum became so thick in places, particularly in that portion of the Stock Yards where the river became known as Bubbly Creek, that it is said that weeds and small bushes sprouted in it, and chickens and small animals ran across its surface.
A physical analysis of sewage should include an observation of its appearance, and a determination of its temperature, turbidity, color, and odor, both hot and cold. The temperature is useful in indicating certain of the antecedents of the sewage, its effect on certain forms of bacterial life, and its effect on the possible content of dissolved gases. Temperatures higher than normal are indicative of the presence of trades wastes discharged while hot into the sewers. A low temperature may indicate the presence of ground water. If the temperature is much over 40° C. bacterial action will be inhibited and the content of dissolved gases will be reduced. Turbidity, color, and odor determinations may be of value in the control of treatment devices, or to indicate the presence of certain trades wastes, which give typical reactions. Since all normal sewages are high in color and turbidity, the relative amounts of these two constituents 354in two different sewages has little significance regarding the relative strengths of the two sewages or the proper method of treating them. A fresh domestic sewage should have no highly offensive odor. The presence of certain trades wastes can be detected sometimes in fresh sewages, and a stale sewage may sometimes be recognized by its odor.
Sewage is a liability to the community producing it. Although some substances of value can be obtained from sewage[119] the cost of the processes usually exceed the value of the substances obtained. Where it becomes necessary to treat sewage the value of these substances may be helpful in defraying the cost of treatment.
209. Chemical Composition.—Sewage is composed of mineral and organic compounds which are either in solution or are suspended in water. In making a standard chemical analysis of sewage only those chemical radicals and elements are determined which are indicative of certain important constituents. Neither a complete qualitative nor quantitative analysis is made. A sewage analysis will not show, therefore, the number of grams of sodium chloride present or any other constituent. A complete standard sanitary chemical analysis will report the constituents as named in the first column of Table 71. The quantities of these materials found in average strong, medium and weak sewages are also shown in this table. These values are not intended as fixed boundaries between sewages of different strengths. They are presented merely as a guide to the interpretation of sewage analyses.
The principal objects of a chemical analysis of sewage are to determine its strength and its state of decomposition. The influents and effluents of a sewage treatment device are analyzed to aid in the control of the device and to gain information concerning the effect of the treatment. Chemical and other analyses, in connection with the desired conditions after disposal, will indicate the extent of treatment which may be required. The standard methods of water and sewage analysis adopted by the American Public Health Association have been generally accepted by sanitarians. These uniform methods make possible comparisons of the results obtained by laboratories working according to these standards.
| 355 | |||||||||||
| TABLE 71 | |||||||||||
|---|---|---|---|---|---|---|---|---|---|---|---|
| Chemical Analysis of Sewages | |||||||||||
| (Parts per million) | |||||||||||
| From Report on Industrial Wastes from the Stock Yards and Packingtown, Chicago by the Sanitary District of Chicago in 1921, page 231. | |||||||||||
| Typical Analyses | Boston 1905–7 |
Columbus 1904–5 |
Waterbury, Conn. 1905–6 |
Gloversville, N. Y. 1908–9 |
Worcester, Mass. 1908 |
Chicago, 39th St. Residential 1909–12 |
Chicago, Center Avenue. Industrial. Day Sewage 1913 |
||||
| Strong | Medium | Weak | |||||||||
| Nitrogen as Organic Nitrogen | 35 | 20 | 10 | 9.1 | 9.0 | 14.8 | 23.0 | 7.8 | 79 | ||
| Free Ammonia | 50 | 30 | 15 | 13.9 | 11.0 | 7.8 | 12.0 | 22.2 | 9.1 | 22 | |
| Nitrites | 0.10 | 0.05 | 0.0 | 0.0 | 0.09 | 0.14 | 0.38 | 0.10 | 0.49 | ||
| Nitrates | 0.40 | 0.20 | 0.1 | 0.20 | 0.20 | 1.52 | 0.88 | 0.33 | 3.04 | ||
| Oxygen consumed | 75 | 50 | 30 | 56[120] | 51[121] | 46[120] | 95[120] | 117 | 43 | 268 | |
| Oxygen demand | 300 | 200 | 100 | ||||||||
| Chlorine | 175 | 100 | 15 | 2300 | 65 | 48 | 158 | 57 | 40 | 1100 | |
| Suspended matter | 500 | 300 | 150 | 135 | 209 | 165 | 406 | 258 | 144 | 605 | |
| Volatile | 91 | 79 | 115 | 229 | 166 | 90 | 46 | ||||
| Fixed | 44 | 130 | 50 | 177 | 92 | 54 | 144 | ||||
| Alkalinity | 200 | 100 | 50 | 125 | 350 | 41 | 233 | 212 | 291 | ||
| Fats | 40 | 20 | 25 | 26 | 48 | 23[122] | 198[123] | ||||
356210. Significance of Chemical Constituents.—Organic nitrogen and free ammonia taken together are an index of the organic matter in the sewage. Organic nitrogen includes all of the nitrogen present with the exception of that in the form of ammonia, nitrites, and nitrates. Free ammonia or ammonia nitrogen is the result of bacterial decomposition of organic matter. A fresh cold sewage should be relatively high in organic nitrogen and low in free ammonia. A stale warm sewage should be relatively high in free ammonia and low in organic nitrogen. The sum of the two should be unchanged in the same sewage.
Nitrites (RNO2) and nitrates (RNO3)[124] are found in fresh sewages only in concentrations of less than one part per million. In well-oxidized effluents from treatment plants the concentration will probably be much higher. Nitrates contain one more atom of oxygen than nitrites. They represent the most stable form of nitrogenous matter in sewage. Nitrites are not stable and are reduced to ammonias or are oxidized to nitrates. Their presence indicates a process of change. They are not found in large quantities in raw sewage because their formation requires oxygen which must be absorbed from some other source than the sewage. In an ordinary sewer or sluggishly flowing open stream this absorption cannot take place from the atmosphere with sufficient rapidity to supply the necessary oxygen.
Oxygen consumed is an index of the amount of carbonaceous matter readily oxidizable by potassium permanganate. It does not indicate the total quantity of any particular constituent, but it is the most useful index of carbonaceous matter. Carbonaceous matter is usually difficult of treatment and a high oxygen consumed is indicative of a sewage difficult to care for. The amount of oxygen consumed, as expressed in the analysis, is dependent on the amount of oxidizable carbonaceous matter present, the oxidizing agent used, and the time and temperature of contact of the sewage and the oxidizing agent. It is essential therefore that the test be conducted according to some standard method, since the results are of value only as compared with results obtained under similar conditions.
Total solids (residue on evaporation) are an index of the 357strength of the sewage. They are made up of organic and inorganic substances. The inorganic substances include sand, clay, and oxides of iron and aluminum, which are usually insoluble, and chlorides, carbonates, sulphates and phosphates, which are usually soluble. The insoluble inorganic substances are undesirable in sewage because of their sediment forming properties which result in the clogging of sewers, treatment plants, pumps, and stream beds. The soluble inorganic substances are generally harmless and cause no nuisance, except that the presence of sulphur may permit the formation of hydrogen sulphide, which has a highly offensive odor. The organic substances are: carbohydrates, fats, and soaps, which are carbonaceous and are difficult of removal by biological processes; and the nitrogenous substances such as urea, proteins, amines, and amino acids. The inorganic and organic substances may be either in solution or suspension or in a colloidal condition.
Volatile solids are used as an index of the organic matter present, as it is assumed that the organic matter is more easily volatilized than the inorganic matter. The amount of volatile inorganic matter present is usually so small as to be negligible.
Fixed solids are reported as the difference between the total and volatile solids. They are therefore representative of the amount of inorganic matter present.
Suspended matter is the undissolved portion of the total solids. High volatile suspended matter is an indication of offensive qualities in the nature of putrefying organic matter, whereas fixed suspended matter is indicative of inoffensive inorganic matter. It is difficult to obtain a sample of sewage which will represent the amount of suspended matter in the sewage, since a sample taken from near the surface will contain less inorganic matter and grit than a sample taken near the bottom.
Settling solids are indicative of the sludge forming properties of the sewage and of the probable degree of success of treatment by plain sedimentation. Volatile settling solids indicate the property of the formation of offensive putrefying sludge banks. There is no chemical test which will indicate the scum-forming properties of sewage. Fixed settling solids indicate the presence of inorganic matter, probably gritty material such as sand, clay, iron oxide, etc.
Colloidal matter is material which is too finely divided to be 358removed by filtration or sedimentation, yet is not held in solution. It can sometimes be removed by violent agitation in the presence of a flocculent precipitate, as in the treatment with activated sludge, or by the flocculent precipitate alone, as in chemical precipitation, or by the acidulation of the sewage so as to precipitate the colloids. Colloidal matter is probably the result of the constant abrasion of finely divided suspended matter while flowing through the sewer or other channel. High colloidal matter may therefore indicate a stale sewage, or the presence of a particular trades waste. Colloids are difficult of removal. For this reason, where sewage is to be treated, turbulence in the tributary channels should be avoided.
Alkalinity may indicate the possibility of success of the biologic treatment of sewage, since bacterial life flourishes better in a slightly alkaline than in a slightly acid sewage. Within the normal limits of the amount of alkalinity in sewage the exact amount has little significance in sewage analyses. Sewages are normally slightly alkaline. An abnormal alkalinity or acidity may indicate the presence of certain trades wastes necessitating special methods of treatment. A method of sewage treatment may be successful without changing the amount of alkalinity in the sewage since the amount of alkalinity is not inherently an objection.
Chlorine, in the form of sodium chloride, is an inorganic substance found in the urine of man and animals. The amount of chlorine above the normal chlorine content of pure waters in the district is used as an index of the strength of the sewage. The chlorine content may be affected by certain trades wastes such as ice-cream factories, meat-salting plants, etc., which will increase the amount of chlorine materially. Since chlorine is an inorganic substance which is in solution it is not affected by biological processes nor sedimentation. Its diminution in a treatment plant or in a flowing stream is indicative of dilution and the reduction of chlorine will be approximately proportional to the amount of dilution.
Fats have a recoverable market value when present in sufficient quantity to be skimmed off the surface of the sewage. Ordinarily fats are an undesirable constituent of sewage as they precipitate on and clog the interstices in filtering material, they form objectionable scum in tanks and streams, and they are acted 359on very slowly by biological processes of sewage treatment. Although fats are carbonaceous matter they are not indicated by the oxygen consumed test because they are not easily oxidized. They are therefore determined in another manner; by evaporation of the liquid and extracting the fats from the residue by dissolving them in ether.
Relative stability and bio-chemical oxygen demand are the most important tests indicating the putrefying characteristics of sewage. Since stability and putrescibility have opposite meanings the relative stability test is sometimes called the putrescibility test. The relative stability of a sewage is an expression for the amount of oxygen present in terms of the amount required for complete stability.
A relative stability of 75 signifies that the sample examined contains a supply of available oxygen equal to 75 per cent of the amount of oxygen which it requires in order to become perfectly stable. The available oxygen is approximately equivalent to the dissolved oxygen plus the available oxygen of nitrate and nitrite.[125]
| TABLE 72 | |
|---|---|
| Relative Stability Numbers | |
| Time Required for Decolorization at 20° C. Days | Relative Stability Number |
| 0.5 | 11 |
| 1.0 | 21 |
| 1.5 | 30 |
| 2.0 | 37 |
| 2.5 | 44 |
| 3.0 | 50 |
| 4.0[126] | 60 |
| 5.0 | 68 |
| 6.0 | 75 |
| 7.0 | 80 |
| 8.0 | 84 |
| 9.0 | 87 |
| 10.0 | 90 |
| 11.0 | 92 |
| 12.0 | 94 |
| 13.0 | 95 |
| 14.0 | 96 |
| 16.0 | 97 |
| 18.0 | 98 |
| 20.0 | 90 |
360The relative stability numbers, given in Table 72, are computed from the expression, S = 100(1 − 0.794t) in which S is the stability number and t is the time in days that the sample has been incubated at 20° C. The bio-chemical oxygen demand is more directly an index of the consumption of available oxygen by the biological and chemical changes which take place in the decomposition of sewage or polluted water. As such it is a more valuable, though less easily performed test than the test of relative stability.
The methods for the determination of the relative stability and the bio-chemical oxygen demand are given to show more clearly what these tests represent. The procedure in the relative stability test is to add 0.4 c.c. of a standard solution of methylene blue to 150 c.c. of the sample. The mixture is then allowed to stand in a completely filled and tightly stoppered bottle at 20° C. for 20 days or until the blue fades out due to the exhaustion of the available oxygen. There are three methods in use for the determination of the bio-chemical oxygen demand;[127] the relative stability method, the excess nitrate method, and the excess oxygen method. In the relative stability method the sample to be treated should have a relative stability of at least 50. If it is lower than this the sample should be diluted with water containing oxygen until the relative stability has been raised to or above this point. The oxygen demand in parts per million is then expressed as
in which O′ is the oxygen demand, O is the initial oxygen in parts per million (p.p.m.) in the diluting water or sewage, P is the proportion of sewage in the mixture expressed as a ratio, and R is the relative stability of the mixture expressed as a decimal. For the effluents from sewage treatment plants, polluted waters, and similar liquids, the total available oxygen expressed as the sum of the dissolved oxygen, nitrites, and nitrates, divided by 361the relative stability expressed as a decimal will give the bio-chemical oxygen demand. The excess nitrate method requires the determination of the total oxygen available as dissolved oxygen, nitrites, and nitrates and the addition of a sufficient amount of oxygen in the form of sodium nitrate to prevent the exhaustion of oxygen during a 10–day period of incubation. At the end of the period the total available oxygen is again determined. The difference between the original and the final oxygen content represents the bio-chemical oxygen demand. The excess oxygen test requires the determination of the total available oxygen as before, and the addition of a sufficient amount of oxygen, in the form of dissolved oxygen in the diluting water, to prevent exhaustion of the oxygen in a 10–day period of incubation. The difference between the original and final oxygen content represents the bio-chemical oxygen demand. Theriault concludes as a result of his tests, that the relative stability and excess nitrate methods are open to objections but that the excess oxygen method yields very accurate and consistent results with as little or less labor than is required by other methods.
Dissolved oxygen represents what its name implies, the amount of oxygen (O2) which is dissolved in the liquid. Normal sewage contains no dissolved oxygen unless it is unusually fresh. It is well, if possible, to treat a sewage before the original dissolved oxygen has been exhausted. Normal pure surface water contains all of the oxygen which it is capable of dissolving, as shown in Table 73. The presence of a smaller amount of oxygen than is shown in this table indicates the presence of organic matter in the process of oxidation, which may be in such quantities as ultimately to reduce the oxygen content to zero. Normal pure ground waters may be deficient in dissolved oxygen because of the absence of available oxygen for solution. The presence of certain oxygen-producing organisms in polluted or otherwise potable surface waters may cause a supersaturation with oxygen however.
The dissolved-oxygen test for polluted water is probably the most significant of all tests. If dissolved oxygen is found in a polluted water it means that putrefactive odors will not occur, since putrefaction cannot begin in the presence of oxygen. It is possible for different strata in a body of water to have different quantities of dissolved oxygen, and putrefaction may be proceeding 362in the lower strata before the oxygen is exhausted from the upper strata. The oxygen content of a river water will indicate the ability of the river to receive sewage without resulting in a nuisance.
| TABLE 73 | |
|---|---|
| Solubility of Oxygen in Water | |
| Under an atmospheric pressure of 760 mm. of mercury, the atmosphere containing 20.9 per cent of oxygen. | |
| Temperature, degrees C | Oxygen in parts per million |
| 0 | 14.62 |
| 1 | 14.23 |
| 2 | 13.84 |
| 3 | 13.48 |
| 4 | 13.13 |
| 5 | 12.8 |
| 6 | 12.48 |
| 7 | 12.17 |
| 8 | 11.87 |
| 9 | 11.59 |
| 10 | 11.33 |
| 11 | 11.08 |
| 12 | 10.83 |
| 13 | 10.6 |
| 14 | 10.37 |
| 15 | 10.15 |
| 16 | 9.95 |
| 17 | 9.74 |
| 18 | 9.54 |
| 19 | 9.35 |
| 20 | 9.17 |
| 21 | 8.99 |
| 22 | 8.83 |
| 23 | 8.68 |
| 24 | 8.53 |
| 25 | 8.38 |
| 26 | 8.22 |
| 27 | 8.07 |
| 28 | 7.92 |
| 29 | 7.77 |
| 30 | 7.63 |
211. Sewage Bacteria.—A slight knowledge of the nature
of bacteria is necessary in order that the biological changes
which occur in the treatment of sewage may be understood.
Bacteria are living organisms which are so small that it is difficult
or impossible to study them either with the eye alone or with
the aid of powerful microscopes. They are studied by means
of cultures, stains, and certain characteristic phenomena such
as the production of a gas, the production of a red colony on
litmus lactose agar, etc. Bacteria occur in three forms:
spherical, called coccus; cylindrical, called bacillus; and spiral,
called spirillum. In size they vary from the largest at about
1
10,000 of an inch to sizes so small as to be invisible under the
most powerful microscope. An ordinary size is 1
25,000 of an
inch. The cylindrical or rod bacteria are about four times as long
as they are wide. Some bacteria possess the power of motion
due to the presence of flagella or hairs which can be moved and
363cause the cell to progress at a rate as high as 18 cm. per hour,
but usually the rate is very much less than this. The composition
of the bacterial cell has never been definitely determined.
Bacteria are unicellular plants. They possess no digestive organs and apparently obtain their food by absorption from the surrounding media. Reproduction is by the division of the cell into two approximately equal portions. This reproduction may occur as frequently as once every half hour and if unchecked would quickly mount to unimaginable numbers. The natural cause limiting the growth of bacteria is the generation by the bacterium of certain substances such as the amino acids, which are injurious to cell life. The exhaustion of the food supply is not considered as an important cause of inhibition of multiplication. The products of growth of one species of bacteria may be helpful or harmful to other forms. Where the products are helpful the effect is known as symbiosis, and where harmful the effect is known as antibiosis. In sewage the presence of both aërobic and anaërobic bacteria is usually mutually helpful and the condition is an example of symbiosis. The aërobes, sometimes called obligatory aërobes, are bacteria which demand available oxygen for their growth. The anaërobes, or obligatory anaërobes, can grow only in the absence of oxygen. There are other forms that are known as facultative anaërobes (or aërobes) whose growth is independent of the presence or absence of oxygen.
Spores are formed by some bacteria when they are subjected to an unfavorable environment such as high temperatures, the absence of food, the absence of moisture, etc. Spores are cells in which growth and animation are suspended but the life of the cell is carried on through the unsuitable period, somewhat similar to the condition in a plant seed.
212. Organic Life in Sewage.—Living organisms, both plants and animals, exist in sewage. Bacteria are the smallest of these organisms. Others, which can be studied easily under the microscope or can be seen with difficulty by the naked eye but which do not require special cultures for their study, are classed as microscopic organisms or plankton. Organisms which are large enough to be studied without the aid of a microscope or special cultures are classed as macroscopic. The part taken in the biolysis of sewage by macroscopic organisms belonging to 364the animal kingdom, such as birds, fish, insects, rodents, etc., which feed upon substances in the sewage is so inconsequential as to be of no importance. Both plants and animals are found among the macroscopic organisms.
Organisms in sewage may be either harmful, harmless, or beneficial. From the viewpoint of mankind the harmful organisms are the pathogenic bacteria. Their condition of life in sewage is not normal and in general their existence therein is of short duration. It may be of sufficient length, however, to permit the transmission of disease. The diseases which can be transmitted by sewage are only those that are contracted through the alimentary canal, such as typhoid fever, dysentery, cholera, etc. Diseases are not commonly contracted by contact of sewage with the skin nor by breathing the air of sewers. It is safe to work in and around sewage so long as the sewage is kept out of the mouth, and asphyxiating or toxic gases are avoided.
The beneficial organisms in sewage are those on which dependence is placed for the success of certain methods of treatment. These organisms have not all been isolated or identified.
The total number of bacteria in a sample of sewage has little or no significance. In a normal sewage the number may be between 2,000,000 and 20,000,000 per c.c. and because of the extreme rapidity of multiplication of bacteria a sample showing a count of 1,000,000 per c.c. on the first analysis may show 4 to 5 times as many 3 or 4 hours later. A bacterial analysis of sewage is ordinarily of little or no value, since pathogenic organisms are practically certain to be present, there is no interest in the harmless organisms, and the helpful nitrifying and aërobic bacteria will not grow on ordinary laboratory media. Occasionally the presence of certain bacteria may indicate the presence of certain trades wastes. In general, the total bacterial count, as sometimes reported, represents only the number of bacteria which have grown under the conditions provided. It bears no relation to the total number of bacteria in the sample.
The presence of bacteria in sewage is of great importance however, as practically all methods of treatment depend on bacterial action, and all sewages which do not contain deleterious trades wastes, contain or will support the necessary bacteria for their successful treatment, if properly developed.
365213. Decomposition of Sewage.—If a glass container be filled with sewage and allowed to stand, open to the air, a black sediment will appear after a short time, a greasy scum may rise to the surface, and offensive odors will be given off. This condition will persist for several weeks, after which the liquid will become clear and odorless. The sewage has been decomposed and is now in a stable condition. The decomposition of sewage is brought about by bacterial action the exact nature of which is uncertain.
It[129] is well established that many of the chemical effects wrought by bacteria, as by other living cells, are due, not to the direct action of the protoplasm, but to the intervention of soluble ferments or enzymes.
Enzymes are soluble ferments produced by the growth of the bacterial cell.
In[130] many cases the enzymes diffuse out from the cell and exert their effort on the ambient substances ... in others the enzyme action occurs within the cell and the products pass out, (for example) ... the alcohol-producing enzymes of the yeast cell act upon sugar within the cell, the resulting alcohol and carbon dioxide being ejected.
Other chemical effects may be brought about by the direct action of the living cells, but this has never been well established.
Metabolism is the life process of living cells by which they absorb their food and convert it into energy and other products. It is the metabolism of bacterial growth that in itself or by the production of enzymes hastens the putrefactive or oxidizing stages of the organic cycles in sewage treatment. Bacteria can assimilate only liquid food since they have no digestive tract through which solid food can enter. The surrounding solids are dissolved by the action of the enzymes, the resulting solution diffusing through the chromatin or outer skin, and being digested throughout the interior cytoplasm.
Bacteria are sometimes classified as parasites and saprophytes. The parasites live only on the growing cells of other plant or animal life. The saprophytes obtain their food only from the 366life products of living organisms and do not exist at the expense of the organisms themselves. Facultative saprophytes (or parasites) may exist on either living or dead tissue.
The decomposition of sewage may be divided into anaërobic and aërobic stages. These conditions are usually, but not always, distinctly separate. The growth of certain forms of bacteria is concurrent, while the growth of other forms is dependent on the results of the life processes of other bacteria in the early stages of decomposition.
When sewage is very fresh it contains some oxygen. This oxygen is quickly exhausted so that the first important step in the decomposition of sewage is carried on under anaërobic conditions. This is accompanied by the creation of foul odors of organic substances, ammonia, hydrogen sulphide, etc.; other odorless gases such as carbon dioxide, hydrogen, and marsh gas, the latter being inflammable and explosive; and other complicated compounds. An exception to the rule that putrefaction takes place only in the absence of oxygen is the production of other foul-smelling substances by the putrefactive activity of obligatory and facultative aërobes. Hydrogen sulphide may be produced apparently in the presence of oxygen the action which takes place not being thoroughly understood.
The biolysis of sewage is the term applied to the changes through which its organic constituents pass due to the metabolism of bacterial life. Organic matter is composed almost exclusively of the four elements: carbon, oxygen, hydrogen, and nitrogen (COHN) and sometimes in addition sulphur and phosphorus. The organic constituents of sewage can be divided into the proteins, carbohydrates, and fats. The proteins are principally constituents of animal tissue, but they are also found in the seeds of plants. The principal distinguishing characteristic of the proteins is the possession of between 15 and 16 per cent of nitrogen. To this group belong the albumens and casein. The carbohydrates are organic compounds in which the ratio of hydrogen to oxygen is the same as in water, and the number of carbon atoms is 6 or a multiple of 6. To this group belong the sugars, starches and celluloses. The fats are salts formed, together with water, by the combination of the fatty acids with the tri-acid base glycerol. The more common fats are stearin, palmatin, olein, and butyrine. The soaps are mineral salts of the 367fatty acids formed by replacing the weak base glycerol with some of the stronger alkalies.
The first state in the biolysis of sewage is marked by the rapid disappearance of the available oxygen present in the water mixed with organic matter to form sewage. In this state the urea, ammonia, and other products of digestive or putrefactive decomposition are partially oxidized and in this oxidation the available oxygen present is rapidly consumed, the conditions in the sewage becoming anaërobic. The second state is putrefaction in which the action is under anaërobic conditions. The proteins are broken down to form urea, ammonia, the foul-smelling mercaptans, hydrogen sulphide, etc., and fatty and aromatic acids. The carbohydrates are broken down into their original fatty acid, water, carbon dioxide, hydrogen, methane, and other substances. Cellulose is also broken down but much more slowly. The fats and soaps are affected somewhat similarly to the hydrocarbons and are broken down to form the original acids of their make up together with carbon dioxide, hydrogen, methane, etc. The bacterial action on fats and soaps is much slower than on the proteins, and the active biological agents in the biolysis of the hydrocarbons, fats, and soaps are not so closely confined to anaërobes as in the biolysis of the proteins. The third state in the biolysis of sewage is the oxidation or nitrification of the products of decomposition resulting from the putrefactive state. The products of decomposition are converted to nitrites and nitrates, which are in a stable condition and are available for plant food. It must be understood that the various states may be coexistent but that the conditions of the different states predominate approximately in the order stated. In the biolysis of sewage there is no destruction of matter. The same elements exist in the same amount as at the start of the biolytic action.
214. The Nitrogen Cycle.—Nitrogen is an element that is found in all organic compounds. Its presence is necessary to all plant and animal life. The nitrogenous compounds are most readily attacked by bacterial action in sewage treatment. The non-nitrogenous substances such as soaps and fats, and the inorganic compounds are more slowly affected by bacterial action alone. The element nitrogen passes through a course of events from life to death and back to life again that is known as the 368Nitrogen Cycle. It is typical of the cycles through which all of the organic elements pass.
Upon the death of a plant or animal, decomposition sets in accompanied by the formation of urea which is broken down into ammonia. This is known as the putrefactive stage of the Nitrogen Cycle. The next state is nitrification in which the compounds of ammonia are oxidized to nitrites and nitrates, and are thus prepared for plant food. In the state of plant life the nitrites and nitrates are denitrified so as to be available as a plant or animal food. The highest state of the Nitrogen Cycle is animal life, in which nitrogen is a part of the living animal substance or is charged from protein to urea, ammonia, etc., by the functions of life in the animal. Upon the death of this animal organism the cycle is repeated. The Nitrogen Cycle, like the cycle of Life and Death, is purely an ideal condition as in nature there are many short circuits and back currents which prevent the continuous progression of the cycle. The conception of this cycle is an aid, however, in understanding the processes of sewage treatment.
215. Plankton and Macroscopic Organisms.—In general the part played by these organisms in the biolysis of sewage is not sufficiently well understood to aid in the selection of methods of sewage treatment involving their activities. The presence in bodies of water receiving sewage, of certain plankton which are known to exist only when putrefaction is not imminent, indicates that the body of water into which the discharge of sewage is occurring is not being overtaxed. The control of sewage treatment plant effluents so as to avoid the poisoning of fish life or the contamination of shell fish is likewise important. The study of plankton and macroscopic life in the treatment of sewage is an open field for research.
216. Variations in the Quality of Sewage.—The quality of sewage varies with the hour of the day and the season of the year. Some of the causes of these variations are: changes in the amount of diluting water due to the inflow of storm water or flushing of the streets or sewers; variations in domestic activities such as the suspension of contributions of organic wastes during the night, Monday’s wash, etc.; characteristics of different industries which discharge different kinds of wastes according to the stage of the manufacturing process, etc. In general night sewage is markedly weaker than day sewage in both domestic and industrial wastes, but in specific cases the varying strength depends entirely upon the characteristics of the district. Some analyses are given in Table 74, which emphasize these points.
| 369 | ||||||
| TABLE 74 | ||||||
|---|---|---|---|---|---|---|
| Sewage Analyses Showing Hourly, Daily, and Seasonal Variations in Quality | ||||||
| Place | Time Nitrogen | Total | Chlorine | Suspended Matter | Remarks | Reference |
| Marion, Ohio | Mid’t-noon, 5–21–06. | 45 | 53 | 190 | Industrial | 1 |
| Noon-mid’t 5–21–06. | 37 | 94 | 133 | Domestic | 1 | |
| Westerville, Ohio | Day | 10.2 | 76 | 118 | college town |
1 |
| Night | 2.6 | 74 | 41 | 1 | ||
| Columbus, Ohio | 1904–1905 | |||||
| Mid’t to 2 a.m. | 4.6 | 50 | 131 | 2 | ||
| 2 a.m. to 4 a.m. | 3.0 | 52 | 95 | 2 | ||
| 4 a.m. to 6 a.m. | 2.3 | 51 | 83 | 2 | ||
| 6 a.m. to 8 a.m. | 2.7 | 48 | 83 | 2 | ||
| 8 a.m. to 10 a.m. | 16.3 | 66 | 476 | 2 | ||
| 10 a.m. to noon | 11.4 | 100 | 324 | 2 | ||
| Noon to 2 p.m. | 11.3 | 86 | 246 | 2 | ||
| 2 p.m. to 4 p.m. | 12.3 | 78 | 246 | 2 | ||
| 4 p.m. to 6 p.m. | 22.0 | 78 | 368 | 2 | ||
| 6 p.m. to 8 p.m. | 8.2 | 71 | 209 | 2 | ||
| 8 p.m. to 10 p.m. | 7.8 | 80 | 120 | 2 | ||
| 10 p.m. to mid’t | 6.2 | 56 | 117 | 2 | ||
| Center Ave., Chicago. | Mid’t to 3 a.m. | 123 | 3 | |||
| 4 a.m. to 7 p.m. | 316 | 3 | ||||
| 8 a.m. to 11 p.m. | 608 | 3 | ||||
| Noon to 3 p.m. | 785 | 3 | ||||
| 4 p.m. to 7 p.m. | 717 | 3 | ||||
| 8 p.m. to 11 p.m. | 287 | 3 | ||||
| Columbus, Ohio | Sunday | 6.7 | 55 | 858 | 2 | |
| Monday | 9.1 | 66 | 1048 | 2 | ||
| Tuesday | 9.4 | 69 | 1024 | 2 | ||
| Wednesday | 9.6 | 68 | 1005 | 2 | ||
| Thursday | 9.2 | 66 | 990 | 2 | ||
| Friday | 9.2 | 67 | 1018 | 2 | ||
| Saturday | 9.3 | 67 | 1016 | 2 | ||
| Baltimore, 1907–1908 | Aug. 1 to Sept. 1 | 16.0 | 246 | 4 | ||
| Sept. 4 to Oct. 3 | 19.0 | 190 | 4 | |||
| Oct. 6 to Nov. 4 | 20.0 | 188 | 4 | |||
| Nov. 15 to Nov. 29 | 20.0 | 164 | 4 | |||
| Dec. 3 to Dec. 29 | 20.0 | 123 | 4 | |||
| Jan. 6 to Jan. 21 | 19.0 | 127 | 4 | |||
| Feb. 2 to Feb. 26 | 20.0 | 149 | 4 | |||
| Feb. 29 to Mar. 24 | 28.0 | 274 | 4 | |||
| Mar. 27 to April 29 | 25.0 | 165 | 4 | |||
| April 30 to May 26 | 19.0 | 104 | 4 | |||
| June 8 to July 11 | 15.0 | 88 | 4 | |||
| July 13 to Aug. 8 | 9.5 | 124 | 4 | |||
370217. Sewage Disposal.—Previous to the development of the water-carriage method for removing human excreta and other liquid wastes the solid matter was disposed of by burial and the liquid wastes were allowed to seep into the ground or to run away over its surface. Following the development of the water-carriage system, which necessitated the development of sewers, the problem of ultimate disposal was rendered more serious by the concentration of human excreta together with a large volume of water. The unthinking citizen believes the problem of sewage disposal is solved when the toilet is flushed or the bath tub is drained. The problem may more truly be said to commence at this point.
It would appear that the simplest method of disposal of sewage would be to discharge it into the nearest water course. Unfortunately the nature of sewage is such that it may be either highly offensive to the senses or dangerous to health or both, when discharged in this manner. Only the most fortunate communities are favored with a body of water of sufficient size to receive sewage without creating a nuisance.
The problems of sewage disposal are to prevent nuisances causing offense to sight and smell; to prevent the clogging of channels; to protect pumping machinery; to protect public water supplies; to protect fish life; to prevent the contamination of shell fish; to recover valuable constituents of the sewage; to enrich and to irrigate the soil; to safeguard bathing and boating; for other minor purposes; and in some cases to comply with the law. Sewage may be treated to attain one or more of these objects by methods of treatment varying as widely as the objects to be attained.
218. Methods of Sewage Treatment.—In studying the subject of sewage treatment it must be borne in mind that it is impossible to destroy any of the elements present. They may be removed from the mixture only by gasification, straining or sedimentation. Their chemical combinations may be so changed, however, as to result in different substances than those introduced 371to the treatment plant. It is with these chemical changes that the student of sewage treatment is interested.
The methods of sewage treatment can be classified as mechanical, chemical and biological. These classifications are not separated by rigid lines but may overlap in certain treatment devices or methods. Mechanical methods of treatment are exemplified by sedimentation, and screening. Chemical precipitation and sterilization are examples of chemical methods. The biological methods, the most important of all, include dilution, septicization, filtration, sewage farming, activated sludge, etc. If for any reason it is desired to treat sewage by more than one of these methods the procedure should follow as nearly as possible the order of the occurrence of the phenomena in the natural biolysis of sewage. For example, in one treatment plant the sewage would first pass through a grit chamber where the coarse sediment would be removed, then through a screen where the floating matter and coarse suspended matter would be removed, then to a sedimentation basin where some finer suspended matter might settle out, then to a digestive tank where the solid matter deposited would be worked upon by bacterial action and partially liquefied. Simultaneous to the liquefaction of the deposited solid matter the liquid effluent from the digestive tank might proceed to an aërating device to expedite oxidation, then to an aërobic filter, and finally to disposal by dilution.
219. Definition.—Disposal of sewage by dilution is the discharge of raw sewage or the effluent from a treatment plant into a body of water of sufficient size to prevent offense to the senses of sight and smell, and to avoid danger to the public health.
220. Conditions Required for Success.—Among the desired conditions for successful disposal by dilution are: adequate currents to prevent sedimentation and to carry the sewage away from all habitations before putrefaction sets in, or sufficient diluting water high in dissolved oxygen to prevent putrefaction; a fresh or non-septic sewage; absence of floating or rapidly settling solids, grease or oil; and absence of back eddies or quiet pools favorable to sedimentation in the stream into which disposal is taking place. The conditions which should be prevented are: offensive odors due to sludge banks, the rise of septic gases, and unsightly floating or suspended matter. In some instances the pollution of the receiving body of water is undesirable and the sewage must be freed from pathogenic organisms and the danger of aftergrowths minimized before disposal. Such conditions are typified at Baltimore, where the sewage is discharged into Back Bay, an arm of Chesapeake Bay. One of the important industries of the state of Maryland is the cultivation of oysters. The pollution of the Bay was therefore so objectionable that careful treatment of the Baltimore sewage has been a necessary preliminary to final disposal by dilution. It is unwise to draw public water supplies, without treatment, from a stream receiving a sewage effluent, no matter how careful or thorough the treatment of the sewage. The treatment of the sewage is a safeguard, and lightens the load on the water purification plant, but under no considerations can it be depended upon to protect the community consuming the diluted effluent.
373The sewer outlet should be located well out in the current of the stream, lake, or harbor. Deeply submerged outlets are usually better than an outlet at the surface, as a better mixture of the sewage and water is obtained. The discharge of sewage into a body of water of which the surface level changes, alternately covering and exposing large areas of the bottom is unwise, as the sludge which is deposited during inundation will cause offensive odors when uncovered. Such conditions must be carefully guarded against when selecting a point of disposal in tidal estuaries because of the frequent fluctuations in level.
221. Self-Purification of Running Streams.—The self-purification of running streams is due to dilution, sedimentation, and oxidation. The action is physical, chemical, and biological. When putrescible organic matter is discharged into water the offensive character of the organic matter is minimized by dilution. If the dilution is sufficiently great, it alone may be sufficient to prevent all nuisance. The oxidation of the organic matter commences immediately on its discharge into the diluting water due to the growth and activity of nitrifying and other oxidizing organisms and to a slight degree to direct chemical reaction. So long as there is sufficient oxygen present in the water septic conditions will not exist and offensive odors will be absent. When the organic matter is completely nitrified or oxidized there will be no further demand on the oxygen content of the stream and the stream will be said to have purified itself. At the same time that this oxidation is going on some of the organic matter will be settling due to the action of sedimentation. If oxidation is completed before the matter has settled on the bottom the result will be an inoffensive silting up of the river. If oxidation is not complete, however, the result will be offensive putrefying sludge banks which may send their stinks up through the superimposed layers of clean water to pollute the surrounding atmosphere.
The most important condition for the successful self-purification of a stream is an initial quantity of dissolved oxygen to oxidize all of the organic matter contributed to it, or the addition of sufficient oxygen subsequent to the contribution of sewage to complete the oxidation. Oxygen may be added through the dilution received from tributaries, through aëration over falls and rapids, or by quiescent absorption from the atmosphere. The 374rapidity of self-purification is dependent on the character of the organic matter, the presence of available oxygen, the rate of reaëration, temperature, sedimentation, and the velocity of the current. Sluggish streams are more likely to purify themselves in a shorter distance and rapidly flowing turbulent streams are more likely to purify themselves in a shorter time, other conditions being equal. Although the absorption of oxygen by a stream whose surface is broken is more rapid than through a smooth unbroken surface, the growth of algæ, biological activity, the effect of sunlight, and sedimentation are more potent factors and have a greater effect in sluggish streams than the slightly more rapid absorption of oxygen in a turbulent stream. It is frequently more advantageous to discharge sewage into a swiftly moving stream, however, regardless of the conditions of self-purification, as the undesirable conditions which may result occur far from the point of disposal and may be offensive to no one.
The sewage from a population of about 3,000,000 persons residing in and about Chicago is discharged into the Chicago Drainage Canal. It ultimately reaches tide water through the Des Plaines, the Illinois, and the Mississippi Rivers. The action occurring in these channels is one of the best illustrations known of the self-purification of a stream. In Table 75 are shown the results of analyses of samples taken at various points below the mouth of the Chicago River where the diluting water from Lake Michigan enters, to Grafton, Illinois, at the junction of the Illinois and Mississippi Rivers about 40 miles above St. Louis. The effect of the physical characteristics of the stream on its chemical composition is well illustrated in this table. The rise in the chlorine content between Lake Michigan and the entrance to the Drainage Canal is a measure of the addition of sewage. Since the chlorine is an inorganic substance which is not affected by biologic action, its loss in concentration in the lower reaches of the rivers is due to dilution by tributaries and sedimentation, e.g., between the end of the canal at Lockport and the sampling point at Joliet, the entrance of the Des Plaines River reduces the concentration of chlorine from 124.5 to 41.5 parts per million. The entrance of the Kankakee River at Dresden Heights further reduces the chlorine to 24.5 p.p.m. The increase of albuminoid and ammonia nitrogen accompanied by a decrease in nitrites and nitrates, between the upper end of the canal at Bridgeport and its lower end at Lockport indicates the reducing action proceeding therein. The oxidizing action over the various dams and the effect of dilution with water containing oxygen is shown between miles 34 and 38, at mile 79, and at mile 294. The excellent effect of quiescent sedimentation and aëration in Peoria Lakes is shown between miles 145, 161 and 165.
| TABLE 75 | ||||||||||
|---|---|---|---|---|---|---|---|---|---|---|
| Analyses of Chicago, Des Plaines and Illinois Rivers | ||||||||||
| (Parts per million) | ||||||||||
| Sampling Point | Distance in Miles from Lake Michigan | January-June, 1900, from “Sewage Disposal,” by Kinnicutt, Winslow and Pratt | Dissolved Oxygen | Remarks | ||||||
| Chlorine | Ammonia Nitrogen | Albuminoid Nitrogen | Nitrates | Nitrates | Jan. 30–Feb. 2, 1912 | July 8–15 1912 | Nov. 12–19, 1912 | |||
| Lake Michigan | 0 | 3.0 | 0.03 | 60.13 | 0.002 | 0.008 | 14.1 | 10.8 | Typical chemical analysis | |
| Canal, Bridgeport | 5 | 96.6 | 8.05 | 2.05 | .021 | .074 | 6.9 | Kedzie Avenue | ||
| Canal, Lockport | 34 | 124.5 | 10.90 | 2.07 | .013 | .066 | 9.9 | 1.7 | Above dam | |
| Joliet | 38 | 41.5 | 4.22 | 0.83 | .021 | .086 | 1.4 | 5.6 | Aëration over dam. Dilution | |
| by Des Plaines River | ||||||||||
| Dresden Heights | 52 | 1.0 | 4.1 | Des Plaines River | ||||||
| Dresden Heights | 52 | 10.4 | Kankakee River | |||||||
| Morris | 62 | 24.5 | 2.46 | .60 | .075 | .424 | 7.8 | 5.7 | Illinois River | |
| Marseilles | 79 | 5.7 | 0.6 | 6.8 | Above dam | |||||
| Marseilles | 79 | 8.2 | 4.5 | 9.3 | Below dam | |||||
| Ottawa | 85 | 15.3 | 1.55 | .41 | .197 | .966 | 10.0 | 8.1 | ||
| La Salle | 100 | 17.5 | 1.05 | .43 | .109 | .979 | 5.4 | 7.8 | ||
| Henry | 129 | 13.3 | .92 | .38 | .102 | .800 | 7.9 | |||
| Chillicothe | 145 | 3.4 | 1.5 | 5.9 | Above Peoria Lakes | |||||
| Averyville | 161 | 13.5 | .81 | .37 | .004 | 1.150 | 3.3 | 8.2 | 8.9 | Below Peoria Lakes |
| Wesley | 165 | 12.0 | .57 | .41 | .083 | 1.03 | 7.1 | Below Peoria | ||
| Pekin | 175 | 12.3 | .70 | .43 | .060 | .990 | 4.9 | 3.2 | 8.9 | |
| Havana | 205 | 11.2 | .60 | .36 | .065 | .570 | 4.8 | 8.8 | ||
| Beardstown | 237 | 10.7 | .69 | .44 | .106 | .685 | 6.5 | 9.1 | ||
| La Grange | 249 | 4.1 | 9.4 | Below dam | ||||||
| Kampsville | 294 | 11.3 | .66 | .44 | .044 | .870 | 4.1 | 10.0 | Above dam | |
| Kampsville | 294 | 4.6 | 10.0 | Below dam | ||||||
| Grafton | 325 | 9.8 | .46 | .42 | .031 | 1.06 | 6.6 | 4.7 | 10.4 | Illinois River |
| Grafton | 325 | 7.3 | 12.0 | Mississippi River | ||||||
376222. Self-Purification of Lakes.—Sewage may be disposed of into lakes with as great success as into running streams if conditions exist which are favorable to self-purification. Lakes and rivers purify themselves from the same causes; oxidation, sedimentation, etc., but in the former the currents are much less pronounced and may be entirely absent. In shallow lakes (20 feet or less in depth) dependence must be placed on horizontal currents and the stirring action of the wind to keep the water in motion in order that the sewage and the diluting water may be mixed. In deeper bodies of water, currents induced by the wind are helpful but entire dependence need not be placed upon them. Vertical currents, and the seasonal turnovers in the spring and fall completely mix the waters of the lake above those layers of water whose temperature never rises higher than 4° C.
In the early winter the cold air cools the surface waters of a lake. The cooling increases the density of the surface water causing it to sink, and allowing the warmer layers below to rise and become cooled. After the temperature of the entire lake has reached 4° C. the vertical currents induced by temperature cease, as continued cooling decreases the density of the surface water maintaining the same layer at the surface. In the spring as the temperature of the surface water rises to 4° C. and above it becomes heavier and drops through the colder water below causing vertical currents. These phenomena are known as the fall and spring turnovers. The former is more pronounced. These turnovers are effective in assisting in the self-purification of lakes.
223. Dilution in Salt Water.—The oxygen content in salt water is about 20 per cent less than in fresh water at the same temperature. The greater content of matter in solution in salt water reduces its capacity to absorb many sewage solids. This, together with the chemical reaction between the constituents 377of the salt water and those of the sewage serve to precipitate some of the sewage solids and to form offensive sludge banks. The evidence of the action which takes place in the absorption of oxygen from the atmosphere by salt water and its effect on dissolved sewage solids is conflicting, but in general fresh water is a better diluting medium than salt water.
Black and Phelps have made valuable studies of the relative rates of absorption of oxygen from the air by fresh and salt water. The results of their experiments are published in a Report to the Board of Estimate and Apportionment of N. Y. City, made March 23, 1911.[131] Concerning these rates they conclude:
Therefore there is no reason to believe that the reaëration of salt water follows any other laws than those we have determined mathematically and experimentally for fresh water. In the absence of fuller information on the effect of increased viscosity upon the diffusion coefficient, it can only be stated that the rate of reaëration of salt water is less than that of fresh water, in proportion to the respective solubilities of oxygen in the two waters, and still less, but to an unknown extent, by reason of the greater viscosity and consequent small value of the diffusion coefficient.
224. Quantity of Diluting Water Needed.—In a large majority of the problems of disposal of sewage by dilution it is not necessary to add sufficient diluting water to oxidize completely all organic matter present. Ordinarily it is sufficient to prevent putrefactive conditions until the flow of the stream, lake, or tidal current, has reached some large body of diluting water or where putrefaction is no longer a nuisance. It is never desirable to allow the oxygen content of a stream to be exhausted as putrescible conditions will exist locally before exhaustion is complete. The exact point to which oxygen can be reduced in safety is in some dispute. Black and Phelps have assumed 70 per cent of saturation as the allowable limit; Fuller has placed it at 30 per cent; Kinnicutt, Winslow, and Pratt have placed it at 50 per cent. Since the reaction between the oxygen and the organic matter is quantitative, others have placed the limit in terms of parts per million of oxygen. Wisner,[132] has recommended a minimum 378of 2.5 p.p.m. as the limit for the sustenance of fish life, which is not far from Fuller’s limit for hot-weather conditions.
Formulas of various types have been devised to express the rate of absorption of oxygen with a given quantity of diluting water which is mixed with a given quantity and quality of sewage. The quantity of sewage is sometimes expressed in terms of the tributary population or in other ways. Knowing the rate at which oxygen is exhausted and the velocity of flow of the stream, the point at which the oxygen will be reduced to the limit allowed is easily determined. The accuracy of none of these formulas has been proven, and their use, without an understanding of the effect of local conditions, may lead to error. They may be used as a check on the bio-chemical oxygen demand determinations, which should be conclusive.
The following formula, based on the work of Black and Phelps, is a guide to the amount of sewage which can be added to a stream without causing a nuisance. It is:


In the solution of these formulas it is desired to determine the permissible amount of sewage to discharge into a given quantity of diluting water. This value is expressed by C in the first equation. In solving this equation:
Rideal devised the formula:[133]
380In using this formula it is necessary to make analyses of trial mixtures of sewage and water until the correct mixture has been found.
Hazen’s formula is:[134]
For comparison with Rideal’s formula the factor of 7 should be used instead of 4 to allow for the increased time of boiling.
Since the amount of oxygen needed is dependent on the amount of organic matter in the sewage rather than the total volume of the sewage, and since the amount of organic matter is closely proportional to the population, the amount of diluting water has sometimes been expressed in terms of the population. Hering’s recommendation for the quantity of diluting water necessary for Chicago sewage was 3.3 cubic feet of water per second per thousand population. Experience has proven this to be too small. Between a minimum limit of 2 second-feet and a maximum of 8 second-feet of diluting water per thousand population the success of dilution is uncertain. Above this limit success is practically assured and below this limit failure can be expected.
Even with these carefully devised formulas and empirical guides, the factors of reaëration, dilution, sedimentation, temperature, etc., may have so great an effect as to vitiate the conclusions. As shown in Table 75 dilution in winter is far more successful than in summer. The lower temperatures so reduce the activity of the putrefying organisms that consumption of oxygen is greatly retarded.
225. Governmental Control.—A comprehensive discussion of the legal principles governing the pollution of inland waters 381is contained in “A Review of the Laws Forbidding the Pollution of Inland Waters,” by E. B. Goodell, published by the United States Geological Survey in 1905, as Water Supply Paper No. 152.
The disposal of sewage by dilution is subject to statutory limitations in many states. The enforcement of these laws is usually in the hands of the state board of health, which is frequently given discretionary powers to recommend and sometimes to enforce measures for the abatement of an actual or potential nuisance. Such recommendations usually take the form of a specification of certain forms of treatment preliminary to disposal by dilution. No project for the disposal of sewage by dilution should be consummated until the local, state, national, and in the case of boundary waters, international laws have been complied with. The attitude of the courts in different states has not been uniform. Little guidance can be taken from the personal feeling of the persons immediately interested. The opinion of the riparian owner 5 miles down stream may differ materially from the popular will of the voters of a city, and it is likely to receive a more favorable hearing from the court. Statutes and legal precedents are the safest guides.
226. Preliminary Treatment.—If the sewage to be disposed of by dilution contains unsightly floating matter, oil, or grease, no amount of oxygen in the diluting water will prevent a nuisance to sight, or the formation of putrefying sludge banks. Under such conditions it will be necessary to introduce screens or sedimentation basins, or both, in order to remove the floating and the settling solids. Biologic tanks, filtration, or other methods of treatment may be necessary for the removal of other undesirable constituents.
227. Preliminary Investigations.—Before adopting disposal of sewage by dilution without preliminary treatment, or before considering the proper form of treatment necessary to render disposal by dilution successful, a study should be made of the character of the body of water into which the sewage or effluent is to be discharged. This study should include: measurements of the quantity of water available at all seasons of the year; analyses of the diluting water to determine particularly the available dissolved oxygen; observations of the velocity and direction of currents, and the effect of winds thereon; a study of the effect on public water supplies, bathing beaches, fish life, 382etc. Good judgment, aided by the proper interpretation of such information should lead to the most desirable location for the sewer outlet. If preliminary treatment is found to be necessary tests should be made to determine the necessary extent and thoroughness of the treatment.
228. Purpose.—The first step in the treatment of sewage is usually that of coarse screening in order to remove the larger particles of floating or suspended matter. Screens and sedimentation basins are used to prevent the clogging of sewers, channels, and treatment plants; to avoid clogging of and injuries to machinery; to overcome the accumulation of putrefying sludge banks; to minimize the absorption of oxygen in diluting water; and to intercept unsightly floating matter.
By the plain sedimentation of sewage is meant the removal of suspended matter by quiescent subsidence unaffected by septic action or the addition of chemicals or other precipitants. In order to prevent septic action plain sedimentation tanks must be cleaned as frequently as once or twice a week in warm weather but not quite so often in cold weather.
Fine screening may take the place of sedimentation where insufficient space is available for sedimentation tanks, and it is desired to remove only a small portion of the suspended matter. Recent American practice has tended to restrict the field of fine screening to treatment requiring less than 10 per cent removal of suspended matter, thus eliminating screens from the field covered by plain sedimentation tanks. The practice is well expressed by Potter, who states:[135]
Where a high degree of purification is sought, the use of fine screens is of doubtful value. A modern settling tank will give better results and at a less cost for a given degree of purification. A settled liquid is also superior to a screened liquid for subsequent biological treatment in filters.... Again the storing of large quantities of screenings must necessarily be more objectionable than the storing of the digested sludge of a modern settling tank.
Fig. 150.—Types of Moving Screens.
Trans. Am. Society Civil Engineers, Vol. 78, 1915, p. 893.
229. Types of Screens.—The definitions of some types of screens as proposed by the American Public Health Association follow: A bar screen is composed of parallel bars or rods. A mesh screen is composed of a fabric, usually wire. A grating consists of 2 sets of parallel bars in the same plane in sets intersecting at right angles. A band screen consists of an endless perforated band or belt which passes over upper and lower rollers. A perforated plate screen is made of an endless band of perforated plates similar to a band screen. A wing screen has radial vanes uniformly spaced which rotate on a horizontal axis. A disc screen consists of a circular perforated disc with or without a central truncated cone of similar material mounted in the center. The Reinsch Wurl screen is the best known type of disc screen. A cage screen[136] consists of a rectangular box made up of parallel bars with the upstream side of the box or cage omitted. Allen[137] gives the following definitions: A drum screen is a cylinder or cone of perforated plates or wire mesh which rotates on a horizontal axis. A shovel vane screen is similar to a wing screen with semicircular wings and a different method of removing the screenings. Examples of a band screen, a wing screen, a shovel vane screen, a drum screen and a disc 385screen are shown in Fig. 150. A bar screen is shown in Fig. 151 and a cage screen is shown in Fig. 152.
Fig. 151.—Sketch of a Bar Screen.
Fig. 152.—Sketch of a Cage Screen.
Screens can be classed as fixed, movable, or moving. Fixed screens are permanently set in position and must be cleaned by rakes or teeth that are pulled between the bars. Movable screens are stationary when in operation, but are lifted from the sewage for the purpose of cleaning. Moving screens are in continuous motion when in operation and are cleaned while in motion. Fixed bar screens may be set either vertical, inclined, or horizontal.
Movable screens with a cage or box at the bottom are sometimes used. The box should be of solid material to prevent the forcing of screenings through it when the screen is being raised for cleaning. A mesh screen should be used only under special circumstances because of the difficulty in cleaning. Screens which must be raised from the sewage for cleaning should be 386arranged in pairs in order that one may be working when the other is being cleaned. Movable screens are undesirable for small plants because the labor involved in raising and lowering is greater than in cleaning with a rake and the screens are more likely to be neglected. In a large plant rakes operated by hand are too small for cleaning the screens. A fixed screen is sometimes used with moving teeth fastened to endless chains. The teeth pass between the parallel bars and comb out the screenings. If the screen chamber in a small plant is too deep for accessibility a movable cage or box screen may be desirable.
Moving screens are generally of fine mesh or perforated plates. They are kept moving in order to allow continuous cleaning. They are cleaned by brushes or by jets of air, water, or steam.
230. Sizes of Openings.—The area or size of the opening of a screen is dependent upon the character of the sewage to be treated and upon the object to be attained.
Large screens, with openings between 1½ inches and 6 inches are used to protect centrifugal pumps, tanks, automatic dosing devices, conduits, and gate valves from large objects such as pieces of timber, dead animals, etc., which are found in sewage. The quantity of material removed is variable, and is usually small.
Medium-size screens with openings from ¼ inch to 1½ inches are used to prepare sewage for passage through reciprocating pumps, complex dosing apparatus, contact beds, and sand filters. The amount of material removed varies from 0.5 to 10 cubic feet per million gallons of sewage treated, dependent on the character of the sewage and the size of the screen. Screenings before drying contain 75 to 90 per cent moisture and weigh 40 to 50 pounds per cubic foot. At times the amount removed may vary widely from the limits stated. Schaetzle and Davis[138] state:
Screenings differ greatly both in amount and character.... The amount varies with the days of the week as well as during the course of the day. It reaches its maximum about noon or shortly before and commences to disappear about midnight, reaching a minimum about 4 or 5 a.m. The material is almost wholly organic and 387consists of scraps of vegetables or fruit, cloth, hair, wood, paper and lumps of fecal matter. The amount varies so widely that it is impossible to state just what to expect any definite size screen to remove. The amount of water contained is small compared with that in the sludge in sedimentation basins and amounts to from 70 per cent to 80 per cent. On account of its organic origin it is highly putrescible.
Medium-size screens are sometimes placed close together with the bars of the one opposite the openings in the other, thus approaching a fine screen.
Fine screens vary in size of opening from ¼ inch to 50 openings per linear inch or 2,500 per square inch. They are used for removing solids preparatory to disposal by dilution, to protect sprinkling filters, complex dosing apparatus, sand filters, sewage farms, and to prevent the formation of scum in subsequent tank treatment. In general, fine screens will remove from 0.1 to 1 cubic yard of wet material per million gallons of sewage treated. The wet screenings will contain about 75 per cent moisture and will weigh about 60 pounds per cubic foot. The dry weight of the screenings will therefore be about 10 to 400 pounds per million gallons of sewage treated. The effect of the removal of this amount of material is usually not detectable by methods of chemical analysis, the amount of suspended matter before and after screening being found unchanged.
In his conclusions on the discussion of the results to be expected from fine screens, Allen states:[139]
With openings not more than 0.1 inch in size, fine screening should remove at least 30 per cent of the suspended solids and 20 per cent of the suspended organic solids from ordinary domestic sewage, or 0.1 cubic yard of screenings, containing 75 per cent water per thousand population daily.
The effect of the use of different size openings under the same conditions is shown in Fig. 153.[140] Some data covering the amount of material removed by screening are given in Table 76. More extensive data are given in Volume III of “American Sewerage Practice” by Metcalf and Eddy.
| 388 | ||||||||
| TABLE 76 | ||||||||
|---|---|---|---|---|---|---|---|---|
| Data on Screens | ||||||||
| (Trans. Am. Society Civil Engineers, Vol. 78, Page 942) | ||||||||
| Type of Screen | Location | Clear Opening, in Inches | Screenings | Per Cent Moisture | Horse-Power Per Screen | Cost of Operation Per Million Gallons, Dollars | Remarks | |
| Per Million Gallons, y = Cubic Yard t = Tons |
Per 1000 Population Daily, y = Cubic Yard t = Tons |
|||||||
| Band | Hamburg | 0.6 | 0.34y | 0.018y | 87 | 2.5 | Note 1 | |
| Göttingen | 0.4 | 0.35y | 0.026y | 2.0 | ||||
| Sutton | 0.375[141] | 0.6y | ||||||
| Chicago | 2.4–3.1t | 79 | Stock Yard | |||||
| Wing | Frankfort | 0.40 | 0.7y | 0.040y | 5.0 | Note 2 | ||
| Elberfeld | 0.40 | 1.15y | 0.053y | 75 | Note 3 | |||
| Stralsund | 0.20 | 0.079y | 4.5 | |||||
| Wiesbaden | 0.60 | 1.1y | 0.033y | hand power | 1.64 | Note 4 | ||
| Shovel vane | Strassburg | 0.10 | 1.6y | 0.043y | 89.3 | 3.35 | Note 5 | |
| Gleiwitz | 0.12 | 0.192y | 0.90 | |||||
| Temesvar | 0.12 | 0.9–1.7y | 0.067–.133y | 60–70 | small | |||
| Drum | Bromberg | 0.08 | 4.75t | 40–60 | 2.45 | Experimental | ||
| Mainz | Note 6 | 0.52y | 75 | 5.2–6.8 | 0.89–3.42 | |||
| Trier | 0.10 | 0.39–0.42y | 0.13y | 50–60 | 2.41 | Experimental | ||
| Osnabruck | 0.08 | 3.2–4.0y | 0.08–.10y | 9.00 | Note 7 | |||
| Weand | Reading, Pa. | 36[141] | 1.0y | 89.5 | 2.0 | 1.00± | ||
| Brockton | 36[141] | 1.4t | ||||||
| Reinsch Wurl | Dresden | 0.08 | 0.97t | 0.09y | 84 | 2.5 | .325–1.76 | |
Fig. 153.—Screenings Collected on Different Sized Openings.
1921 Report on Industrial Wastes Disposal, Union Stock Yards District, Chicago, Illinois, to the Sanitary District of Chicago.
231. Design of Fixed and Movable Screens.—The determination of the size of the opening is the first step in the design of a sewage screen. This is followed by the computation of the net area of openings in the screen. The final steps are the determination of the overall dimensions of the screen; the size of the bar, wire, or support; and the dimensions of the screen chamber. The net area of openings is fixed by the permissible velocity of flow through the screen and the quantity of sewage to be treated. In determining the velocity of flow the general principle should be followed that the velocity should not be reduced sufficiently 390to allow sedimentation in the screen chamber. The velocity of grit bearing sewage in passing through coarse screens should not be reduced below 2 or 3 feet per second. If the sewage contains no grit, or the screen is placed below a grit chamber the velocity through a medium or fine screen should be from ½ to 1½ feet per minute. The velocity through the screen in a direction normal to the plane of the screen can be reduced without reducing the horizontal velocity of the sewage by placing the screen in a sloping position.
The final steps are the design of the screen bar and the determination of the dimensions of the screen and of the screen chamber. The size of the bar in a bar screen, or as a support to a wire mesh, is dependent on the unsupported length of the bar. The stresses in the bars are the results of impact and bending, caused by cleaning, and of the load due to the backing up of the sewage when the screen is clogged. Allowance should be made for a head of 2 or 3 feet of sewage against the screen. A generous allowance should be made in addition for the indeterminate stresses due to cleaning. The screen should be supported only at the top and bottom, as intermediate supports in a bar screen are undesirable unless they are so arranged as not to interfere with the teeth of the cleaning devices.
Fixed screens should be placed at an angle between 30° and 60° with the horizontal, with the direction of slope such that the screenings are caught on the upper portion of the screen. A small slope is desirable in order to obtain a low velocity through the screen. The slope is limited since the smaller the slope the longer the bars of the screen and the greater the difficulty of hand cleaning. Small slopes will tend to make the screens self cleaning. As the screen clogs, the increasing head of sewage will push the accumulated screenings up the screen. The use of flat screens in a vertical position is not desirable because of the difficulty of cleaning and the accumulation of material at inaccessible points. If a flat screen is placed in a horizontal position with the flow of sewage downward difficulties are encountered in cleaning and solid matter is forced through the screen as clogging increases. An upward flow through a horizontal screen is undesirable as the material is caught in a position inaccessible for cleaning. Movable screens are more easily handled when placed in a vertical position.
In the construction of small screens, round bars are sometimes 391used where the unsupported length of the bar is less than 3 or 4 feet. They are not recommended, however, as the efficient area and the amount of material removed by the screen are diminished. Bars which produce openings with the larger end upstream are undesirable as particles become wedged in the screen, and are either forced through or become difficult to remove.[142] Rectangular bars are easily obtained and give satisfactory service except where they are of insufficient strength laterally. For greater lateral thickness a pear-shaped bar is sometimes used, with the thicker side upstream. Fine mesh screens or perforated plates are supported on grids or parallel bars of stronger material designed to take up the heavy stresses on the screen.
The dimensions of the bar may be selected arbitrarily. The length and width of the screen are fixed to give desirable dimensions to the screen chamber and to give the necessary net opening in the screen. The width of the screen chamber and the screen should be the same. The screen chamber should be sufficiently long to prevent swirling and eddying around the screen. If the dimensions thus fixed permit an undesirable, velocity in the screen chamber they should be changed. A sufficient length of screen should be allowed to project above the sewage for the accumulation of screenings. The bars may be carried up and bent over at the top as shown in Fig. 151 to simplify the removal of screenings.
Coarse screens are usually placed above all other portions of a treatment plant. They may be followed by grit chambers or finer screens. Coarse screens are occasionally placed as a protection above medium or fine screens. In sewage containing grit the smaller screens are sometimes placed below the grit chamber. It is desirable to provide some means of diverting the sewage from a screen chamber to allow of repairs to the screen and the cleaning of the chamber. Screen chambers are sometimes designed in duplicate to allow for the cleaning of one while the other is operating.
232. Theory of Sedimentation.—Sedimentation takes place in sewage because some particles of suspended matter have a greater specific gravity than that of water. All particles do 392not settle at the same rate. Since the weights of particles vary as the cubes of their diameters, whereas the surface areas (upon which the action of the water takes place) vary only as the squares of the diameters, the amount of the skin friction on small particles is proportionally greater than that on large particles, because of the relatively greater surface area compared to their weight. As a result the smaller particles settle more slowly. The velocity of sedimentation of large particles has been found to vary about as the diameter and of small particles as the square root of the diameter. The change takes place at a size of about 0.01 mm.
Sedimentation is accomplished by so retarding the velocity of flow of a liquid that the settling particles will be given the opportunity to settle out. The slowing down of the velocity is accomplished by passing the sewage through a chamber of greater cross-sectional area than the conduit from which it came. The time that the sewage is in this chamber is called the period of retention. Although the shape of a basin, the arrangement of the baffles and other details have a marked effect on the results of sedimentation, the controlling factors are the period of retention and the velocity of flow. Another factor affecting the efficiency of the process is the quality of the sewage. Usually the greater the amount of sediment in the sewage the greater the per cent of suspended matter removed. A method for the determination of the proper period of sedimentation has been developed by Hazen in Transactions of the American Society of Civil Engineers, Volume 53, 1904, page 45. The results of his studies are summarized in Fig. 154 which shows the per cent of sediment remaining in a treated water after a certain period of retention. This period of retention is expressed in terms of the hydraulic coefficient[143] of the smallest size particle to be removed. Table 77 shows the hydraulic coefficients of various particles. In Fig. 154 a represents the period of retention and t the time that it would take a particle to fall to the bottom of the basin. The different lines of the diagram represent the results to be expected by various arrangements of settling basins. The meaning of these lines is given in Table 78.
| 393 | |
| TABLE 77 | |
|---|---|
| Hydraulic Values of Settling Particles in Millimeters per Second | |
| Diameter in mm. | Hydraulic Value |
| 1.00 | 100 |
| 0.80 | 83 |
| 0.60 | 63 |
| 0.50 | 53 |
| 0.40 | 42 |
| 0.30 | 32 |
| 0.20 | 21 |
| 0.15 | 15 |
| 0.10 | 8 |
| 0.08 | 6 |
| 0.06 | 3.8 |
| 0.05 | 2.9 |
| 0.04 | 2.1 |
| 0.03 | 1.3 |
| 0.02 | 0.62 |
| 0.015 | 0.35 |
| 0.010 | 0.154 |
| 0.008 | 0.098 |
| 0.006 | 0.055 |
| 0.005 | 0.0385 |
| 0.004 | 0.0247 |
| 0.003 | 0.0138 |
| 0.002 | 0.0062 |
| 0.0015 | 0.0035 |
| 0.001 | 0.00154 |
| 0.0001 | 0.0000154 |
An example will be given to illustrate the method of using the diagram and tables to determine the size of a sedimentation basin to perform certain required work.
Let it be required to determine the period of retention in a continuously operated sedimentation basin with good baffling, corresponding to two properly baffled sedimentation basins in series. The basins are to remove 60 per cent of the finest particles which are to have a size of .01 mm. The quantity to be treated daily is 3,000,000 gallons.
1st. Entering Table 77, we find that the hydraulic value of the finest particles is .154 mm. per second.
2d. Since we wish to remove 60 per cent of the finest
particles, 40 per cent will remain. Since Fig. 154 shows
the per cent remaining after the time a
t we enter Fig.
154 at 40 per cent on the ordinates and run horizontally
until we encounter Line 4 corresponding to good baffling
in Table 78. We then run down vertically from this
intersection and find that the ratio of a
t is 1.0.
Then a equals t, which means that the period of retention should equal the time that it takes a particle 0.01 mm. in diameter to drop from the top to the bottom of the basin. Since this depends on the depth of the basin it is necessary to determine the depth before the other dimensions of the basin can be fixed.
Although this method is seldom used in practice for the final design of a sedimentation basin, it is a guide to judgment and can be used to supplement the data obtained from tests.
Fig. 154.—Hazen’s Diagram, Showing the Relation between the Time of Settling and the Period of Retention in Various Types of Sedimentation Basins.
Trans. Am. Society Civil Engineers, Vol. 53, 1904, p. 45.
| TABLE 78 | ||||
|---|---|---|---|---|
| Comparison of Different Arrangements of Settling Basins | ||||
| (From Hazen) | ||||
| Description of Basins | Line in Fig. 154 | Values of a t. |
||
| Per Cent of Matter Removed | ||||
| 50 | 74 | 87.5 | ||
| Theoretical maximum. Cannot be reached. | A | 0.50 | 0.75 | 0.875 |
| Surface skimming. Rockner Roth system. | B | 0.54 | 0.98 | 1.37 |
| Intermittent basins, reckoned on time of service only. | C | 0.63 | 1.26 | 1.89 |
| Continuous basin. Theoretical limit. | D | 0.69 | 1.38 | 2.08 |
| Close approximation to the above. | 16 | 0.71 | 1.45 | 2.23 |
| Very well baffled basin. | 8 | 0.73 | 1.62 | 2.37 |
| Good baffling. | 4 | 0.76 | 1.66 | 2.75 |
| Two basins, tandem. | 2 | 0.82 | 2.00 | 3.70 |
| One long basin, well controlled. | 1.5 | 0.90 | 2.34 | 4.50 |
| Intermittent basin in service half time. | E | 1.26 | 2.50 | 3.80 |
| One basin, continuous. | 1 | 1.0 | 3.00 | 7.00 |
395The design of sedimentation basins should be based on experimental observations made upon the quantity of sediment removed at certain rates of flow and periods of retention in different types of basins. Hazen’s mathematical analysis is serviceable in making preliminary estimates and in checking the results. The shape of the tank, period of retention and rate of flow producing the most desirable results should be duplicated with the expectation of obtaining similar results or results but slightly modified from those obtained in the tests. This is the most satisfactory method of determining the proper period of retention.
233. Types of Sedimentation Basins.—A sedimentation basin is a tank for the removal of suspended matter either by quiescent settlement or by continuous flow at such a velocity and time of retention as to allow deposition of suspended matter.[144] The difference between sedimentation tanks and other forms of tank treatment is that no chemical or biological action is depended on for the successful operation of the tank. Sedimentation tanks may be divided into two classes, grit chambers and plain sedimentation basins.
A grit chamber is a chamber or enlarged channel in which the velocity of flow is so controlled that only heavy solids, such as grit and sand, are deposited while the lighter organic solids are carried forward in suspension. If the velocity of flow is more than about one foot per second, the tank is a grit chamber and below this velocity it is a plain sedimentation basin.
There are six general types of plain sedimentation basins:
1st. Rectangular flat-bottom tanks operated on the continuous-flow principle.
2nd. Rectangular flat-bottom tanks operated on the fill and draw principle.
3rd. Rectangular or circular hopper-bottom tanks operated on the continuous-flow principle, with horizontal flow.
4th. Rectangular or circular hopper-bottom tanks operated on the fill and draw principle, with horizontal flow.
5th. Rectangular or circular hopper-bottom tanks operated on the continuous-flow principle with vertical flow.
6th. Circular hopper-bottom tanks operated on the continuous-flow principle with radial flow.
| 396 | |||||
| TABLE 79 | |||||
|---|---|---|---|---|---|
| Critical Velocities for the Transportation of Debris | |||||
| Sedimentation will not Occur at Higher Velocities | |||||
| Diameter of Particle in Millimeters | Critical Velocity, Feet per Second. | Size of Screen or Number of Meshes per Inch | |||
| Specific Gravity | |||||
| 1.5 | 2.0 | 3.0 | 5.0 | ||
| 0.010 | 0.13 | 0.20 | 0.22 | 0.28 | |
| 0.050 | 0.23 | 0.34 | 0.39 | 0.50 | More than 200 |
| 0.100 | 0.30 | 0.42 | 0.50 | 0.65 | More than 150 |
| 0.500 | 0.55 | 0.73 | 0.91 | 1.15 | More than 28 |
| 1.0 | 0.71 | 0.92 | 1.18 | 1.50 | More than 14 |
| 1.25 | 0.77 | 1.00 | 1.30 | 1.60 | |
| 2.0 | 0.92 | 1.20 | 1.50 | 1.90 | More than 10 |
| 5.0 | 1.30 | 1.70 | 2.20 | 2.60 | More than 4 |
| 10 | 1.70 | 2.20 | 2.8 | 3.4 | |
| Diameter in Millimeters for a Velocity of 1 Foot per Second | |||||
| 2.5 | 1.25 | 0.65 | 0.32 | ||
234. Limiting Velocities.—Sand, clay, bits of metal and other particles of mineral matter will commence to deposit in appreciable quantities when the velocity of flow falls below 3 feet per second. The amount deposited will increase as the velocity decreases. In Table 79 are given the approximate horizontal velocities at which certain size particles of mineral matter will deposit. At a velocity of about one foot per second organic matter will commence to deposit. It will be noticed by interpolation in Table 79,[145] that particles with the same specific gravity as sand (2.6), larger than one mm. in diameter will deposit at a velocity of about one foot per second or less, and that smaller and lighter particles will not deposit at velocity of one foot per second or greater. It will also be noticed that a 397velocity of one foot per minute is sufficiently slow to permit the deposit of the smallest and lightest particles. For this reason velocities of 1 or 2 or even 3 feet per second have been adopted as the velocities in grit chambers and velocities less than 1 foot per minute in plain sedimentation basins.
235. Quantity and Character of Grit.—The amount of material deposited in grit chambers varies approximately between 0.10 and 0.50 cubic yard per million gallons. It is to be noted that grit chambers are used only for combined and storm sewage and for certain industrial wastes. They are unnecessary for ordinary domestic sewage. The material deposited in grit chambers operating with a velocity greater than one foot per second is non-putrescible, inorganic, and inoffensive. It can be used for filling, for making paths and roadways, or as a filtering material for sludge drying beds. An analysis of a typical grit chamber sludge is shown in Table 80.
| TABLE 80 | |||||
|---|---|---|---|---|---|
| Analysis of Grit Chamber Sludge | |||||
| Velocity Feet per Second | Specific Gravity | Per Cent Moisture | Calculated to Dry Weight, Per Cent | ||
| Nitrogen | Fixed Matter | Miscellaneous | |||
| 1.0 | 1.5 | 45 | 20 | 78 | 2 |
236. Dimensions of Grit Chambers.—The quantity of sewage to be treated and the amount and character of the settling solids which it contains should be determined by measurement and analysis, and the amount of settling solids to be removed should be determined by a study of the desired conditions of disposal, in order that a grit chamber that will accomplish the desired results may be designed. The period of retention and the velocity of flow are the controlling features in the successful operation of any grit chamber. These should be determined by experiment or as the result of experience. Where neither are available, Hazen’s method can be followed or a decision made based on a study of other grit chambers. In general, the period of retention 398in grit chambers is from 30 to 90 seconds, and the velocity of flow is about one foot per second.
After having determined the quantity of sewage to be treated, the quantity of grit to be stored between cleanings, the period of retention, the arrangement of the chambers, and the velocity of flow to be used, the overall dimensions of the chambers are computed. The capacity of the chamber is fixed as the sum of the quantity of sewage to be treated during the period of retention and the required storage capacity for grit accumulated between cleanings. The length of the chamber is fixed as the product of the velocity of flow and the period of retention. The cross-sectional area of the portion of the chamber devoted to sedimentation is fixed as the quotient of the quantity of flow of sewage per unit time and the velocity of flow. Only the relation between the width and depth of the portion devoted to sedimentation and the portion devoted to the storage of grit remain to be determined. These should be so designed as to give the greatest economy of construction commensurate with the required results. They will be affected by the local conditions such as topography, available space, difficulties of excavation, etc. Common depths in use lie between 8 and 12 feet, although wide variations can be found. A study of the proportions of existing grit chambers will be of assistance in the design of other basins.
237. Existing Grit Chambers.—The details of some typical grit chambers are shown in Figs. 155 and 156. The grit chamber at the foot of 58th Street, in Cleveland, Ohio, is shown in Fig. 155. The special feature of this structure is the shape of the sedimentation basin, the bottom of which is formed by sloping steel plates forming a 6–inch longitudinal slot above the grit storage chamber. Flows between 8,000,000 and 16,000,000 gallons per day are controlled by the outlet weir so that the velocity of flow remains at one foot per second. This is accomplished by increasing the depth of flow in the same ratio as the increase in the rate of flow. The bottoms of the two chambers differ, one having a special hopper for grit and the other a flat bottom. This is due to the method of cleaning the chambers, it being necessary in the one with a flat bottom to shut off the flow when removing the grit while in the one with the hopper bottom it is hoped to remove the grit by the use of sand ejectors without stopping the sewage flow. The details of the chamber at Hamilton, Ontario, are shown in Fig. 156. In studying these drawings the following features should be noted: 1st, the smooth curves in the channel to prevent eddies, undue deposition of organic matter, and difficulties in cleaning; 2nd, the hopper in the upper end of the grit storage chamber and the slope of the bottom of at least 1:20; and 3rd, the simplicity of the inlet and outlet devices which may be either stop planks or cast-iron sluice gates.
Fig. 155.—Grit Chamber at Cleveland, Ohio.
Eng. Record, Vol. 73, 1916, p. 409.
Fig. 156.—Grit Chamber at Hamilton, Ontario.
Eng. News, Vol. 73, 1915, p. 425.
400The drawings shown are merely representative of some satisfactory types. The number and variety of grit chambers in existence is great. In designing grit chambers consideration must be given to the method of cleaning. They are ordinarily cleaned by such methods as have been described for the cleaning of catch-basins in Chapter XII. Continuous bucket scrapers similar to excavating machines are sometimes used for the cleaning of large grit chambers. The period between cleanings is variable. The design should be such as not to require more frequent cleanings than twice a month under the worst conditions. The fluctuations in quality and quantity of grit will vary the period between cleanings.
238. Number of Grit Chambers.—The period of retention in grit chambers is so short and the velocity of flow so near the maximum and minimum limitations that the wide fluctuations in the rate of discharge in storm and combined sewers necessitates the construction of a number of chambers which should be operated in parallel in order to maintain the velocity between the proper limits. Unless arrangements are made permitting the cleaning of grit chambers during operation, more than one grit chamber should be installed in order that when one is being cleaned the others may be in operation. The number of grit chambers must be determined by the desired conditions of operation and the cost of construction. The larger the number of basins the more nearly the flow in any one basin can be maintained constant, but the more expensive the construction. The increase in velocity of flow with increasing quantity is dependent on the outlet arrangements. In a shallow chamber with vertical sides and a standard sharp-crested rectangular weir at the outlet the velocity will vary approximately as the cube root of the rate of flow. Similarly if the outlet is a V notch the 401velocity will vary as the fifth root of the rate of flow. In all cases the deeper the basin the more nearly the velocity varies directly as the rate of flow. The outlet weir can be arranged as at Cleveland, so that the velocity remains constant for all rates of flow within certain limits. It is seldom that more than three grit chambers are necessary to care for the fluctuations in flow.
239. Quantity and Characteristics of Sludge from Plain Sedimentation.—The sludge removed from plain sedimentation basins is slimy, offensive, not easily dried, and is highly putrescible and odoriferous. It contains about 90 per cent moisture and has a specific gravity from 1.01 to 1.05. The amount removed varies between 2 and 5 cubic yards per million gallons of sewage. The percentage of suspended matter removed varies between 20 and 60. The total amount removed and the percentage removal depend on the character of the sewage, the type of basin, and the period of detention.
240. Dimensions of Sedimentation Basins.—The dimensions of a sedimentation basin are determined by a method similar to the one given for the determination of the dimensions of a grit chamber in Art. 236. The capacity of the basin is first fixed upon to give the required period of sedimentation and sludge storage capacity. The length of the basin is the product of the velocity and the period of retention. The length, width, and depth of the basin are normally fixed by considerations of economy and the limitations of the local conditions, such as available area, topography, foundations, etc., and examples of good practice. A study of basins in use shows the relation between length and width to vary normally between 2:1 and 4:1. Widths greater than 30 to 50 feet are undesirable because of the danger of cross currents and back eddies which will reduce the efficiency of the sedimentation. Depths used in practice vary too widely to act as guides for any particular design. Theoretically the shallower the basin the better the result. Tanks abroad have been built as shallow as 3 feet and some in this country as deep as 16 feet. The economical dimensions can be determined by trial or by calculus. They will serve as a guide in the adoption of the final dimensions.
The method to be pursued in determining the economical dimensions of any engineering structure are:
402I. Express the total cost of the structure in terms of as few variables as possible.
II. Express all of the variables in terms of any one and rewrite the expression for the total cost in terms of this one variable.
III. Equate the first derivative of the expression with regard to this variable to zero and solve for the variable. The result will be the economical value of the variable. The values of the other variables can be computed from the relations already expressed.
Fig. 157.—Diagram for the Computation of Economical Basin Dimensions.
For example, let it be desired to determine the dimensions of two continuous-flow sedimentation basins as shown in Fig. 157, in which the period of retention in each is to be 2 hours, the velocity of flow is not to exceed one foot per second, and the sludge accumulated will be 3 cubic yards per million gallons of sewage treated. The quantity of sewage to be treated is 18,000,000 gallons per day. The shortest time between cleanings will be 2 weeks.
The capacity of each basin must be 2
24 of 18,000,000
gallons, or 200,000 cubic feet in order to allow a period
of retention of 2 hours. To this volume should be added
sufficient capacity to allow for the 2 weeks of sludge storage
between cleanings. When a basin is being cleaned
the load must be put on the remaining basins. Then if
Q represents the rate of accumulation of sludge per day,
n represents the number of days between cleanings, m
represents the number of basins, and S the sludge capacity
of one basin, then
The sludge storage capacity for the example given will be approximately 11,000 cubic feet.
In expressing the total cost of the basins let
| 403 | |
| The cost of land, floor, etc., per square foot | = p dollars. |
| The cost of wall per foot length | = qh2 dollars. |
| The cost of pipes, valves and appurtenances | = P dollars. |
| Then the total cost C = (3l + 4b)qh2 + 2plb + P. | |
It is now necessary to express the three variables b, l, and h, in terms of one of them. From the relation Q = 2blh it is possible to rewrite the expression for the total cost as:
Holding h constant and differentiating with regard to b in the first expression and with regard to l in the second expression, equating to zero and solving we get:
The economical relation between b and l is therefore
regardless of the value of h.
Substituting these values of l and b in the original expression for the total cost, it becomes
Differentiating with regard to h, equating to zero, and solving
In the example given if q = 0.2 and p = 1.0 then
Since these are reasonable dimensions and in accord with good practice they should be used, unless other conditions are unsuitable or the velocity of flow is too great. A width of channel of 120 feet as compared to a length of 160 feet is conducive to a poor distribution of velocity across the basin. A ratio of width to length of about 1:4 is desirable. In this case, by the use of three baffles parallel to the length of the basin, thus dividing it into channels 40 feet wide and 11.6 feet deep, the ratio of width to length is changed to 1:4 and the velocity will be 404increased only to 0.06 foot per second or 3.6 feet per minute, which is a reasonable velocity. It could be reduced by increasing the spacing of the baffles or the depth of the chamber.
Complicated baffling is undesirable. Two or three overflow baffles may be used to permit quiescent sedimentation in the space thus formed, and hanging baffles may be placed before the inlet and outlet to break up surface currents, or to prevent the movement of scum. The hanging baffles should not extend more than 12 to 18 inches below the water surface. The inlet and outlet are sometimes arranged to permit the reversal of flow, and the connecting channels between basins to allow the operation of any number of basins in series or in parallel, although such arrangements are more important in water purification. Sewage should enter and leave at the top of the basin.
Fig. 158.—Section through a Dortmund Tank.
Depth 20 to 30 feet.
Cleaning is facilitated by the location of a central gutter in the bottom of the basin with the slope of the bottom of the basin towards the gutter from 1:25 to 1:80 or steeper. A pipe, 2 inches or larger in diameter, containing water under pressure with connections for hose placed at frequent intervals is a useful adjunct in flushing the sludge from the sedimentation basins. For equal capacity, deep vertical flow tanks are more expensive and difficult to construct than the shallower rectangular type. Deep tanks are advantageous, however, in that sludge can sometimes be removed by gravity or by pumping without stopping the operation of the tank. They will also operate successfully with shorter periods of detention and higher velocities. The upward velocity should not be greater than the velocity of sedimentation of the smallest particle to be removed. The efficiency of sedimentation in them will be increased by the sedimentation of the larger particles which drag some of the smaller particles down with them. The Dortmund tank shown in Fig. 158 is an example of this type.
405Ordinarily it is not necessary to roof sedimentation basins as the odors created are not strong, and difficulties with ice are seldom serious.
241. The Process.—Chemical precipitation consists in adding to the sewage such chemicals as will, by reaction with each other and the constituents of the sewage, produce a flocculent precipitate and thus hasten sedimentation. The advantages of this process over plain sedimentation are a more rapid and thorough removal of suspended matter. Its disadvantages include the accumulation of a large amount of sludge, the necessity for skilled attendance, and the expense of chemicals. The process is not in extensive use as the conditions under which the advantages outweigh the disadvantages are unusual. Sewage containing large quantities of substances which will react with a small amount of an added chemical to produce the required precipitate are the most favorable for this method of treatment.
Chemical precipitation accomplishes the same result as plain sedimentation, although the effluent from the chemically precipitated sewage may be of better quality than that from a plain sedimentation basin.
242. Chemicals.—Lime is practically the only chemical used for the precipitation of the solid matter in sewage. Commercial lime used for precipitation consists of calcium oxide (CaO), with large quantities of impurities. It should be stored in a dry place and protected from undue exposure to the air to prevent the formation of calcium carbonate (CaCO3), the formation of which is commonly known as air slacking. The active work in the formation of the precipitate is performed by the lime (CaO) or calcium hydroxide (Ca(OH)2). The lime should therefore be purchased on the basis of available CaO, which may be as low as 10 to 15 per cent in some commercial products. The amount of lime necessary depends on the quality of the sewage, the period of retention in the sedimentation basin, the method of application, the required results, and other less easily measured factors. Full scale tests for the amount of lime needed to produce certain results are the most satisfactory. In practice the amount of lime necessary when lime alone is used as a precipitant 406has been found to be about 15 grains per gallon. This may be markedly different, dependent on the quality of the sewage. For acid sewages, lime alone is not suitable as a precipitant since it is necessary to add sufficient lime to neutralize the sewage before the calcium carbonate will be precipitated.
The use of copperas (FeSO4) together with lime, leads to economy in the use of chemicals as the flocculent precipitate of ferrous hydroxide (Fe(OH)2) is more voluminous than the precipitate of calcium carbonate. This is commonly known as the lime and iron process. The presence of iron in certain trade wastes may reduce the cost of chemical precipitation, as the necessary amount of copperas is reduced. Where 15 grains of lime alone will be needed per gallon of sewage, the total amount of chemicals used will be reduced to 8 to 10 grains per gallon with the use of lime and iron. This combination is less expensive than the use of lime alone, and is even cheaper where the iron is already present in the sewage. Such a condition is well illustrated by the sewage at Worcester, Mass., where the oldest and best known chemical precipitation plant in the United States is located. The amount of lime used at this plant has varied between 6 and 10 grains per gallon of sewage, the normal amount being about 7 grains. No iron is added because of the amount already in solution.
The results of a series of experiments on the chemical precipitation of sewage by Allen Hazen, are given in the 1890 Report of the Massachusetts State Board of Health, on p. 737 of the volume on the Purification of Water and Sewage. Hazen concludes as the result of his experiments: concerning lime,
There is a certain definite amount of lime ... which gives as good or better results than either more or less. This amount is that which exactly suffices to form normal carbonates with all the carbonic acid of the sewage. This amount can be determined in a few minutes by simple titration.
Concerning lime and iron (copperas) he states:
Ordinary house sewage is not sufficiently alkaline to precipitate copperas, and a small amount of lime must be added to obtain good results. The quantity of lime required depends both upon the composition of the sewage and the amount of copperas used, and can be calculated 407from titration of the sewage. Very imperfect results are obtained from too little lime, and, when too much is used, the excess is wasted, the result being the same as with a smaller quantity.
In precipitation by ferric sulphate and crude alum, the addition of lime was found unnecessary, as ordinary sewage contains enough alkali to decompose these salts. Within reasonable limits the more of these precipitants used the better is the result, but with very large quantities the improvement does not compare with the increased cost.
Using equal values of different precipitants, applied under the most favorable conditions for each, upon the same sewage, the best results were obtained from ferric sulphate. Nearly as good results were obtained from copperas and lime used together, while lime and alum each gave somewhat inferior effluents.... When lime is used there is always so much lime left in solution that it is doubtful if its use would ever be found satisfactory except in case of an acid sewage.
It is quite impossible to obtain effluents by chemical precipitation which will compare in organic purity with those obtained by intermittent filtration through sand.
It is possible to remove from one-half to two-thirds of the organic matter by precipitation ... and it seems probable that ... a result may be obtained which will effectually prevent a public nuisance.
243. Preparation and Addition of Chemicals.—Lime is not readily soluble in water. Therefore, it is not best to add the lime as a powder to the sewage, but to form a milk of lime, that is, a supersaturated solution containing from 2,000 to 4,000 grains per gallon, although dry slaked lime has sometimes been applied directly. The solution is prepared in tanks in a quantity sufficient for some part of the day’s run, commonly sufficient to last through one shift of 8 or 10 hours. The lime is prepared by placing the amount necessary to fill one storage tank into a slaking tank containing some cold water. Sufficient water is added to keep the solution just at the boiling point, or steam may be added to make it boil. After slaking, it is run into the milk-of-lime solution tank and sufficient water added to bring to the proper strength. The milk of lime is added in measured quantities, being controlled by a variable head on a fixed orifice or weir, so that it may be varied with the amount of sewage flowing through the plant. The amount of lime to be added is determined by 408titration with phenolphthalein, experience indicating the color to be obtained when the proper amount of lime has been added.
The use of either copperas or alum has been so rare, for the precipitation of sewage, that a description of the methods of handling these chemicals as a sewage precipitant is not warranted. An excellent description of the methods of handling these chemicals in water purification will be found in “Water Purification” by Ellms.
| TABLE 81 | |||||
|---|---|---|---|---|---|
| Results of Chemical Precipitation at Worcester, Massachusetts[146] | |||||
| 1900 | 1910 | 1920 | |||
| Amount of sewage treated, million gallons | 4,781 | 5,317 | 8,893 | ||
| Amount of sewage chemically treated, million gallons | 3,650 | 3,574 | 7,300 | ||
| Gallons of wet sludge per million gallons of sewage treated | 4,450 | 4,185 | |||
| Per cent of solids in sludge | 4.42 | 8.20 | 4.64[147] | ||
| Tons of solids | 7,294 | 4,182 | 6,431[147] | ||
| Pounds of lime added per million gallons of sewage pumped | 999[148] | 762[147] | 534 | ||
| Per cent of organic matter removed: | |||||
| By albuminoid ammonia: | |||||
| Total | 52.7[149] | 58.4 | 51.9 | ||
| Suspended | 90.0[149] | 88.7 | 83.6 | ||
| By oxygen consumed: | |||||
| Total | 62.8[149] | 61.1 | 62.5 | ||
| Suspended | 86.6[149] | 89.7 | 86.2 | ||
244. Results.—The results of Hazen’s experiments indicate that a greater amount of suspended matter can be removed in the same time by chemical precipitation than by plain sedimentation. The percentage of removal of suspended matter may be as high as 80 to 90 per cent with a period of retention of 6 to 8 hours and the addition of a proper amount of chemical. That 409the method is not always a success is shown by the results of some tests at Canton, Ohio.[150] The report states:
... lime treatment removes about 50 per cent of the suspended matter, and in the main about 50 per cent of the organic matter.... These data are instructive as indicating that the addition of lime to the Canton sewage in quantities as previously stated does not materially improve the character of the resulting effluent over and above that which could be produced by plain sedimentation alone.
The plant at Worcester, Mass., is the largest in the United States and information from it is of value. A summary of the results at Worcester for 1900, 1910, and 1920 are shown in Table 81.
245. The Process.—Septic action is a biological process caused by the activity of obligatory or facultative anaërobes as the result of which certain organic compounds are reduced from higher to lower conditions of oxidation, some of the solid organic substances are rendered soluble, and a quantity of gas is given off. Among these gases are: methane, hydrogen sulphide, and ammonia. The biologic process in the septic tank represents the downward portion of the cycle of life and death, in which complex organic compounds are reduced to a more simple condition available as food for low forms of plant life. The disposal of sewage by septic action, when introduced, promised the solution of all problems in sewage treatment. Septic action is now better understood, and it is known that some of the early claims were unfounded.
The principal advantage of septic action in sewage treatment is the relatively small amount of sludge which must be cared for compared to that produced by a plain sedimentation tank. The sludge from a septic tank may be 25 to 30 per cent and in some cases 40 per cent less in weight, and 75 to 80 per cent less in volume than the sludge from a plain sedimentation tank. The most important results of septic action and the greatest septic activity occur in the deposited organic matter or sludge. The biologic changes due to septic action which occur in the liquid portion of the tank contents are of little or no importance. The installation of a septic tank, although it may fail to prevent the nuisance calling for abatement, has a remarkable psychological effect in stilling complaints. Among other advantages are the comparative inexpensiveness of the tanks and the small amount of attention and skilled attendance required. The tanks need cleaning once in 6 months to a year. If properly designed no other attention is necessary.
411The septic tank has fallen into some disrepute because of the better results obtainable by other methods, the occasional discharge of effluents worse than the influent, the occasional discharge of sludge in the effluent caused by too violent septic boiling, and on account of patent litigation. This last difficulty has been overcome as the Cameron patents expired in 1916. Occasionally the odors given off by the septic process are highly objectionable and are carried for a long distance. These odors can be controlled to a large extent by housing the tanks. Over-septicization must be guarded against as an over-septicized effluent is more difficult of further treatment or of disposal than a comparatively fresh, untreated sewage. An over-septicized or stale sewage is indicated by the presence of large quantities of ammonias, either free or albuminoid, frequently accompanied by hydrogen sulphide and other foul-smelling gases. The oxygen demand in an over-septicized sewage is greater than that in a fresh or more carefully treated sewage.
246. The Septic Tank.—A septic tank is a horizontal, continuous-flow, one-story sedimentation tank through which sewage is allowed to flow slowly to permit suspended matter to settle to the bottom where it is retained until anaërobic decomposition is established, resulting in the changing of some of the suspended organic matter into liquid and gaseous substances, and a consequent reduction in the quantity of sludge to be disposed of.[151] It is to be noted that a continuous flow is essential to a septic tank. Small tanks containing stagnant household sewage are called cesspools, although sometimes erroneously spoken of as septic tanks.
Septic and sedimentation tanks differ in their method of operation only in the period of storage and the frequency of cleaning. The period of flow in a septic tank is longer and it is cleaned less frequently. The results obtained by the two processes differ widely. A septic tank can be converted into a sedimentation tank, or vice versa, by changing the method of operation, no constructional features requiring alteration. The purpose of the tank is to store the sludge for such a period of time that partial liquefaction of the sludge may take place, and thus minimize the difficulty of sludge disposal. For this reason the sludge storage capacity of a septic tank is sometimes greater than would be necessary for a plain sedimentation tank.
| 412 | ||||||||||||||
| TABLE 82 | ||||||||||||||
|---|---|---|---|---|---|---|---|---|---|---|---|---|---|---|
| Efficiencies and Performance of Septic Tank at Columbus, Ohio | ||||||||||||||
| (Report of Sewage Purification, by G. A. Johnson, Nov. 10, 1905) | ||||||||||||||
| Month, 1904–1905 | Aug. | Sept. | Oct. | Nov. | Dec. | Jan. | Feb. | March | April | May | June | Avg. | ||
| Temperature, degrees F. | ||||||||||||||
| Influent | 69 | 70 | 65 | 60 | 54 | 51 | 48 | 50 | 57 | 61 | 67 | |||
| Effluent | 69 | 68 | 64 | 59 | 52 | 48 | 45 | 49 | 57 | 62 | 68 | |||
| Oxygen consumed, parts per million: | ||||||||||||||
| Influent | 49 | 50 | 52 | 47 | 43 | 51 | 44 | 47 | 53 | 33 | 40 | 47 | ||
| Effluent | 40 | 36 | 40 | 39 | 37 | 35 | 37 | 39 | 50 | 34 | 33 | 38 | ||
| Per cent removal | 18 | 28 | 23 | 15 | 16 | 31 | 16 | 17 | 6 | –3 | 18 | 19 | ||
| Organic nitrogen, parts per million: | ||||||||||||||
| Influent | 6.5 | 8.2 | 9.3 | 8.4 | 8.8 | 8.5 | 6.7 | 6.4 | 7.9 | 6.1 | 6.7 | 7.8 | ||
| Effluent | 7.3 | 5.5 | 6.0 | 7.4 | 8.2 | 7.0 | 5.4 | 5.5 | 5.2 | |||||
| Per cent removal | –12 | 32 | 35 | 12 | 7 | 18 | 19 | 14 | 25 | 30 | 19 | 19 | ||
| Free ammonia, parts per million: | ||||||||||||||
| Influent | 9.7 | 12.2 | 12.4 | 16.3 | 14.7 | 10.8 | 8.3 | 9.9 | 12.3 | 6.9 | 8.3 | 11.7 | ||
| Effluent | 10.5 | 11.5 | 12.4 | 17.2 | 14.3 | 11.1 | 8.9 | 10.7 | 14.9 | 9.0 | 8.7 | 12.1 | ||
| Per cent removal | –8 | 6 | 0 | –6 | 3 | –3 | –7 | –8 | –21 | –23 | –5 | –3 | ||
| Residue on Evaporation, parts per million: | ||||||||||||||
| Total: | ||||||||||||||
| Influent | 990 | 952 | 993 | 961 | 989 | 949 | 890 | 850 | 1067 | 912 | 945 | 946 | ||
| Effluent | 935 | 891 | 893 | 916 | 925 | 886 | 843 | 782 | 895 | 800 | 835 | 873 | ||
| Per cent removal | 6 | 6 | 10 | 5 | 6 | 6 | 5 | 8 | 16 | 12 | 12 | 8 | ||
| Volatile: | ||||||||||||||
| Influent | 231 | 184 | 162 | 175 | 156 | 167 | 156 | 168 | 212 | 122 | 162 | 166 | ||
| Effluent | 206 | 160 | 129 | 148 | 137 | 137 | 134 | 137 | 147 | 103 | 144 | 139 | ||
| Per cent removal | 11 | 13 | 20 | 15 | 12 | 18 | 14 | 18 | 31 | 16 | 11 | 16 | ||
| Mineral: | ||||||||||||||
| Influent | 759 | 768 | 831 | 786 | 833 | 782 | 734 | 682 | 855 | 700 | 783 | 780 | ||
| Effluent | 729 | 731 | 764 | 768 | 788 | 749 | 709 | 645 | 748 | 697 | 691 | 734 | ||
| Per cent removal | 4 | 5 | 8 | 2 | 5 | 4 | 3 | 5 | 11 | 1 | 12 | 6 | ||
| Cubic yards wet sludge per million gallons: | 0.10 | 1.24 | 1.09 | 1.17 | 0.65 | 0.63 | 0.57 | 1.34 | ||||||
| Per cent removal of suspended matter: | ||||||||||||||
| Total | 59 | 54 | 56 | 51 | 42 | 48 | 32 | 47 | 56 | 67 | 53 | 50 | ||
| Volatile | 60 | 41 | 48 | 52 | 44 | 55 | 47 | 47 | 62 | 80 | 15 | 48 | ||
| Fixed | 75 | 65 | 60 | 51 | 40 | 38 | 19 | 48 | 53 | 64 | 67 | 51 | ||
| Gas evolved, cubic feet per day: | 29 | 14 | 41 | 50 | ||||||||||
413247. Results of Septic Action.—The results obtained from the septic tanks at the Columbus Sewage Experiment Station are given in Table 82. The effluent is higher than the influent in free ammonia, but the reduction of other constituents, particularly suspended matter, is marked.
Septic action is sensitive to temperature changes, and to certain constituents of the incoming sewage. Cold weather or an acid influent will inhibit septicization. In winter the liquefaction of sludge may practically cease, whereas in summer liquefaction may exceed deposition. The amount of gas generated is a measure of the relative amount of septic action. The rapid generation of gas in warm weather disturbs the settled sludge and may cause a deterioration of the quality of the effluent because of the presence of decomposed sludge. The results in Table 82 show the effect of cold weather on the process. In warm weather the violent ebullition of gas sometimes causes the discharge of sludge in the effluent, resulting in a liquid more difficult of disposal than the incoming sewage. Since septic action is dependent on the presence of certain forms of bacteria, where these are absent there will be no septic action. Sewage generally contains the forms of bacteria necessary for this action but it has occasionally been found necessary to seed new tanks in order to start septic action.
The sludge from septic tanks is usually black, with a slight odor, though in some cases this odor may be highly offensive. The sludge will flow sluggishly. It can be pumped by centrifugal pumps and it will flow through pipes and channels. It has a moisture content of about 90 per cent and a specific gravity of about 1.03. It is dried with difficulty on open-air drying beds, and it is worthless as a fertilizer. The composition of some septic sludges are shown in Table 83.
248. Design of Septic Tanks.—The sedimentation chambers of a septic tank are designed on the same principles as the sedimentation basins described in Art. 240. The velocity of flow should not exceed one foot per minute. The channels should be straight and free from obstructions causing back eddies. The ratio of length to width of channel should be between 2 : 1 to 4 : 1 with a width not exceeding 50 feet, and desirably narrower. The depths used vary between 5 and 10 feet, exclusive of the sludge storage capacity. Hanging baffles should be placed, one 414before the inlet and the other in front of the outlet, so as to distribute the incoming sewage over the tank, and to prevent scum from passing into the outlet. The baffles should hang about 12 inches below the surface of the sewage. Intermediate baffles are sometimes desirable to prevent the movement of sludge or scum towards the outlet. The placing of baffles must be considered carefully as injudicious baffling may lessen the effectiveness of a tank by so concentrating the currents as to prevent sedimentation or the accumulation of sludge. Baffles should be built of concrete or brick, as wood or metal in contact with septic sewage deteriorates rapidly. In designing the sludge storage chambers it may be assumed that one-half of the organic matter and none of the mineral matter will be liquefied or gasified. The net storage volume allowed is about 2 to 3 cubic yards per million gallons of sewage treated. Variations between 0.1 and 10.0 cubic yards have been recorded, however. If grit is carried in the sewage to be treated, it should be removed by the installation of a grit chamber before the sewage enters the septic tank.
| TABLE 83 | ||||||||||
|---|---|---|---|---|---|---|---|---|---|---|
| Analysis of Tank Sludges | ||||||||||
| Place | Specific Gravity | Per Cent Moisture | Per Cent in Terms of Dry Matter | Cubic Yard per Million Gallons, Wet | Pounds per Million Gallons, Dry | Kind of Sludge | Reference | |||
| Volatile | Fixed | Nitrogen | Fat | |||||||
| Mansfield, O. | 1.11 | 80.8 | Septic | 1908 Report, State Board of Health | ||||||
| Chicago, Ill. | 1.03 | 90 | 40 | 60 | 1.9 | 7.0 | 1.0 | 200 | Septic | |
| 1.5 | 300 | |||||||||
| Columbus, O. | 1.09 | 83.3 | 4.4 | 16.7 | 0.25 | 0.94 | Septic | G. A. Johnson 1905 Report | ||
| Atlanta, Ga. | 1.02 | 87.1 | 39.1 | 60.9 | 1.25 | 6.11 | Imhoff | Eng. Rec., V. 72, 1915, p. 4 | ||
| Baltimore, Md. | 1.02 | 91.9 | 66.2 | 2.45 | 4.02 | Digestion Tank | Eng. News-Rec., V. 87, 1921, p. 98 | |||
| Baltimore, Md. | 1.02 | 92.4 | 62.7 | 2.75 | Imhoff | do. | ||||
| Baltimore, Md. | 79.2 | 73.8 | 2.64 | 9.00 | Raw Sludge | do. | ||||
| Baltimore, Md. | 92.4 | 58.0 | 3.19 | Settling Basin | do. | |||||
415Two or more tanks should be constructed to allow for the shut down of one for cleaning and to increase the elasticity of the plant. The number of tanks to be used is dependent on the total quantity of sewage and the fluctuations in rate of flow. An average period of retention of about 9 to 10 hours with a minimum period of 6 hours during maximum flow is a fair average to be assumed for design. The period of retention should not exceed about 24 hours, as the sewage may become over-septicized. The sludge storage period should be from 6 to 12 months.
A cover is not necessary to the successful operation of a septic tank. Covers are sometimes used with success, however, in reducing the dissemination of odors from the tank. They are also useful in retaining the heat of the sewage in cold weather and thus aid in promoting bacterial activity. Types of covers vary from a building erected over the tank to a flat slab set close to the surface of the sewage. In the design of a cover, good ventilation should be provided to permit the escape of the gases, and easy access should be provided for cleaning. Tightly covered tanks or tanks with too little ventilation have resulted in serious explosions, as at Saratoga Springs in 1906 and at Florenceville, N. C., in 1915.[152]
The sludge may be removed through drains in the bottom of the tank as described for sedimentation basins, or where such drains are not feasible the sludge and sewage are pumped out. For this purpose a pump may be installed permanently at the tank, or for small tanks portable pumps are sometimes used. Septic tanks should be cleaned as infrequently as possible without permitting the overflow of sludge into the effluent. The less frequent the cleaning the less the amount of sludge removed since digestion is continuous throughout the sludge. It is necessary to clean when the tank becomes so filled with sludge, that the period of retention is materially reduced, or sludge is being carried over into the effluent.
The details of the septic tank at Champaign, Illinois, are shown in Fig. 159. This tank was designed by Prof. A. N. Talbot, and was put in service on Nov. 1, 1897. It was among the first of such tanks to be installed in the United States. The tank shown in Fig. 159 is an example of present day practice in single-story septic tank design.
Fig. 159.—Septic Tank at Champaign, Illinois.
Fig. 160.—Design for a Residential Septic Tank for a Family of Ten. Illinois State Board of Health.
417Small septic tanks for rural homes of 5 to 15 persons, or on a slightly larger scale for country schools and small institutions, are little more than glorified cesspools. Nevertheless much attention has been given to the construction of such tanks by the National Government and by state boards of health.[153] The recommendations of some of these boards have been compiled in Table 84. A typical method for the construction of such tanks, as recommended by the Illinois State Board of Health, is shown in Fig. 160. A subsurface filter, into which the effluent is discharged, is an important adjunct where no adequate stream is available to receive the discharge from the tank.
| TABLE 84 | ||||
|---|---|---|---|---|
| Capacities of Septic Tanks for Small Installations | ||||
| Rule Recommended by State Board of Health | Number, Persons | Capacity, Gallons per Person | Period of Retention | Remarks |
| Wisconsin | 30 | 24 hours | ||
| Ohio | 4 to 10 | 50 | Not less than 560 gallons | |
| Kentucky | 24 to 48 hours | Not more than 5 feet deep | ||
| Texas | 24 hours | |||
| Illinois | 45 | 24 hours | ||
| U.S. Dept. Agriculture. | 40 | 24 hours | 25 per cent additional | |
| capacity for sludge | ||||
| North Carolina | Large Schools | 15 | Not less than 500 gallons | |
| North Carolina | 20 pupils | 25 | ||
| North Carolina | Medium School | 20 | ||
| North Carolina | Homes | 25 to 30 | ||
249. Imhoff Tanks.—In the discussion of septic tanks it has been brought out that one of the objections to their use is the unloading of sludge into the effluent which occasionally causes a greater amount of suspended matter in the effluent than in the influent. The Imhoff tank is a form of septic tank so arranged that this difficulty is overcome. It combines the advantages of the septic and sedimentation tanks and overcomes some of their disadvantages. An Imhoff tank is a device for the treatment of sewage, consisting of a tank divided into 3 compartments. The upper compartment is called the sedimentation chamber. In 418it the sedimentation of suspended solids causes them to drop through a slot in the bottom of the chamber to the lower compartment called the digestion chamber. In this chamber the solid matter is humified by an action similar to that in a plain septic tank. The generated gases escape from the digestion chamber to the surface through the third compartment called the transition or scum chamber. Sections of Imhoff tanks are shown in Fig. 161. It is essential to the construction of an Imhoff tank that the slot in the bottom of the sedimentation chamber does not permit the return of gases through the sedimentation chamber, and that there be no flow in the digestion chamber.
Fig. 161.—Typical Sections through Imhoff Tanks.
Eng. News, Vol. 75, p. 15.
The Imhoff tank was invented by Dr. Karl Imhoff, director of the Emscher Sewerage District in Germany. Its design is patented in the United States, the control of the patent being in the hands of the Pacific Flush Tank Co. of Chicago, which collects the royalties which are payable when construction work begins. The fee for a tank serving 100 persons is $10, for 1,000 persons is $80 and for 100,000 persons is $2550. The rate of the royalty reduces in proportion as the number of persons served increases.[154] As designed by Imhoff and used in Germany the tanks were of the radial flow type and quite deep. The depth, as 419explained by Imhoff, is one of the chief requirements for the successful operation of the tank. As adapted to American practice the tanks are generally of the longitudinal flow type and are not made so deep. An isometric view of a radial flow Imhoff tank is shown in Fig. 162. The sewage enters at the center of the tank near the surface and flows radially outward under the scum ring and over a weir placed near the circumference of the tank. One type of longitudinal flow tank is shown in isometric view in Fig. 163.
Fig. 162.—Sketch of Radial Flow Imhoff Tank at Baltimore, Maryland.
Eng. Record, Vol. 70, p. 5.
Fig. 163.—Isometric View of Longitudinal Flow Imhoff Tank at Cleburne, Texas.
Eng. News, Vol. 76, p. 1029.
250. Design of Imhoff Tanks.—The velocity of flow, period of retention, and the quantity of sewage to be treated determine the dimensions of the sedimentation chamber as in other forms of tanks. The velocity of flow should not exceed one foot per minute, with a period of retention of 2 to 3 hours. A greater velocity than one foot per minute results in less efficient sedimentation. A longer period of retention than the approximate limit set may result in a septic or stale effluent, and a shorter period may result in loss of efficiency of sedimentation. The bottom of the sedimentation chamber should slope not less than 1½ vertical to 1 horizontal, in order that deposited material will descend into the sludge digestion chamber. Provision should be made for cleaning these sloping surfaces by placing a walk on the top of the tank from which a squeegee can be handled to push down accumulated deposits. It is desirable to make the material of the sides and bottom of the sedimentation chamber as smooth as possible to assist in preventing the retention of sludge in the sedimentation chamber. Wood, glass, and concrete have been used. The latter is the more common and has been found to be satisfactory. The length of the sedimentation chamber is fixed by the velocity of flow and the period of retention. Tanks are seldom built over 100 feet in length, however, because of the resulting unevenness in the accumulation of sludge. Where longer flows are desired two or more tanks may be operated in series. The width of the chamber is fixed by considerations of economy and convenience. It should not be made so great as to permit cross currents. In general a narrow chamber is desirable. Satisfactory chambers have been constructed at depths between 5 and 15 feet. The 421depth of the sedimentation chamber and the depth of the digestion chamber each equal about one-half of the total depth of the tank. This should be made as deep as possible up to a limit of 30 to 35 feet, with due consideration of the difficulties of excavation. C. F. Mebus states:[155]
In 9 of the largest representative United States installations, the depth from the flow line to the slot varies from 10 feet 10 inches to 13 feet 6 inches.
Imhoff states, concerning the depth of tanks:
Deep tanks are to be preferred to shallow tanks because in them the decomposition of the sludge is improved. This is so because in the deeper tanks the temperature is maintained more uniformly and because the stirring action of the rising gas bubbles is more intense.
The stirring action of the gas bubbles is desirable as it brings the fresh sludge more quickly under the influence of the active bacterial agents. The greater pressure on the sludge in deep tanks also reduces its moisture content.
Two or more sedimentation chambers are sometimes used over one sludge digestion chamber in order to avoid the depths called for by the sloping sides of a single sedimentation chamber. An objection to multiple-flow chambers is the possibility of interchange of liquid from one chamber to another through the common digestion chamber.
The inlet and outlet devices should be so constructed that the direction of flow in the tank can be reversed in order that the accumulated sludge may be more evenly distributed in the hoppers of the digestion chamber. The sewage should leave the sedimentation chamber over a broad crested weir in order to minimize fluctuations in the level of sewage in the tank. The gases in the digesting sludge are sensitive to slight changes in pressure. A lowering of the level of sewage will release compressed gas and will too violently disturb the sludge in the digestion chamber. Hanging baffles, submerged 12 to 16 inches and projecting 12 inches above the surface of the sewage, should be placed in front of the inlet and outlet, and in long tanks intermediate baffles should be placed to prevent the movement of 422scum or its escape into the effluent. An Imhoff tank which is operating properly should not have any scum on the surface of the sewage in the sedimentation chamber.
The slot or opening at the bottom of the sedimentation chamber should not be less than 6 inches wide between the lips. Wider slots are preferable, but too wide a slot will involve too much loss of volume in the digestion chamber. One lip of the slot should project at least 3 inches horizontally under the other so as to prevent the return of gases through the sedimentation chamber. A triangular beam may be used as shown in Fig. 161 A. This method of construction is advantageous in increasing the available capacity for sludge storage.
The digestion chamber should be designed to store sludge from 6 to 12 months, the longer storage periods being used for smaller installations. In warm climates a shorter period may be used with success. The amount of sludge that will be accumulated is as uncertain as in other forms of sewage treatment. A widely quoted empirical formula, presented in “Sewage Sludge” by Allen, states:
The effective capacity of the chamber is measured as the entire volume of the chamber approximately 18 inches below the lower lip of the slot. The capacity as computed from the above formula is assumed as satisfactory for a deep tank. Frank and Fries[156] recommend the increase of the capacity for shallow tanks to compensate for the decreased hydrostatic pressure. In any event the formula can be no more than a guide to design. No formula can be of equal value to data accumulated from tests on the sewage to be treated. The Illinois State Board of Health requires 3 cubic yards of sludge digestion space per million gallons of sewage treated. Frank and Fries recommend an allowance of 0.007 cubic foot of storage per inhabitant per day for combined sewage and one-half that amount for separate 423sewage. If this is based on 80 per cent moisture content, the volume for other percentages of moisture can be easily computed. An average figure used in the Emscher District is one cubic foot capacity for each inhabitant for the combined system, and three-fourths of this for the separate system. Metcalf and Eddy[157] recommend the following method for the determination of the sludge storage capacity: (1) From analyses of the sewage or study of the sources ascertain the amount of suspended matter. (2) Assume, or determine by test, the amount which will settle in the period of detention selected, say 60 per cent in 3 hours. (3) Estimate the amount which will be digested in the sludge chamber at about 25 per cent, leaving 75 per cent to be stored. (4) Estimate the percentage moisture in the sludge conservatively, say 85 per cent. The total volume of sludge can then be computed. This method is more rational than the use of empirical formulas, but because of the estimates which must be made its results will probably be of no greater accuracy than those obtained empirically.
The digestion chamber is made in the form of an inverted cone or pyramid with side slopes at most about 2 horizontal to 1 vertical and preferably much steeper without necessitating too great a depth of tank. The purpose of the steep slope is to concentrate the sludge at the bottom of the hopper thus formed. Concrete is ordinarily used as the material of construction as a smooth surface can be obtained by proper workmanship. Where flat slopes have been used, a water pipe perforated at intervals of 6 to 12 inches may be placed at the top of the slopes, and water admitted for a short time to move the sludge when the tank is being cleaned.
A cast-iron pipe, 6 to 8 inches in diameter, is supported in an approximately vertical position with its open lower end supported about 12 inches above the lowest point in the digestion chamber. This is used for the removal of sludge. A straight pipe from the bottom of the tank to a free opening in the atmosphere is desirable in order to allow the cleaning of the pipe or the loosening of sludge at the start, and to prevent the accumulation of gas pockets. The sludge is led off through an approximately horizontal branch so located that from 4 to 6 feet of head are available for the discharge of the sludge. A valve is placed on the horizontal 424section of the pipe. A sludge pipe is shown in Fig. 162 and 163. Under such conditions, when the sludge valve is opened the sludge should flow freely. The hydraulic slope to insure proper sludge flow should not be less than 12 to 16 per cent. Where it is not possible to remove the sludge by gravity an air lift is the best method of raising it.
The volume of the transition or scum chamber should equal about one-half that of the digestion chamber. The surface area of the scum chamber exposed to the atmosphere should be 25 to 30 per cent of the horizontal projection of the top of the digestion chamber. Some tanks have operated successfully with only 10 per cent, but troubles from foaming can usually be anticipated unless ample area for the escape of gases has been provided.
All portions of the surface of the tank should be made accessible in order that scum and floating objects can be broken up or removed. The gas vents should be made large enough so that access can be gained to the sludge chamber through them when the tank is empty.
Precautions should be taken against the wrecking of the tank by high ground water when the tank is emptied. With an empty tank and high ground water there is a tendency for the tank to float. The flotation of the tank may be prevented by building the tank of massive concrete with a heavy concrete roof, by underdraining the foundation, or by the installation of valves which will open inwards when the ground water is higher than the sewage in the tank. Dependence should not be placed on the attendant to keep the tank full during periods of high ground water.
Roofs are not essential to the successful operation of Imhoff tanks. They are sometimes used, however, as for septic tanks, to assist in controlling the dissemination of odors, to minimize the tendency of the sewage to freeze, and to aid in bacterial activity. In the construction of a roof, ventilation must be provided as well as ready access to the tank for inspection, cleaning, and repairs.
251. Imhoff Tank Results.—The Imhoff tank has the advantage over the septic tank that it will not deliver sludge in the effluent, except under unusual conditions. The Imhoff tank serves to digest sludge better than a septic tank and it 425will deliver a fresher effluent than a plain sedimentation tank. Imhoff sludge is more easily dried and disposed of than the sludge from either a septic or a sedimentation tank. This is because it has been more thoroughly humified and contains only about 80 per cent of moisture. As it comes from the tank it is almost black, flows freely and is filled with small bubbles of gas which expand on the release of pressure from the bottom of the tank, thus giving the sludge a porous, sponge-like consistency which aids in drying. When dry it has an inoffensive odor like garden soil, and it can be used for filling waste land, without further putrefaction. It has not been used successfully as a fertilizer.
Offensive odors are occasionally given off by Imhoff tanks, even when properly operated. They also have a tendency to “boil” or foam. The boiling may be quite violent, forcing scum over the top of the transition chamber and sludge through the slot in the sedimentation chamber, thus injuring the quality of the effluent. The scum on the surface of the transition chamber may become so thick or so solidly frozen as to prevent the escape of gas with the result that sludge may be driven into the sedimentation chamber.
Some chemical analyses of Imhoff tank influents and effluents are given in Table 86 and the analyses of some sludges from Imhoff tanks are given in Table 83. It is to be noted that the nitrites and nitrates are still present in the effluent, whereas they are seldom present in the effluent from septic tanks. The per cent of moisture in the Imhoff sludge is less than that in the septic tank sludge, and its specific gravity is higher. It is heavier and more compact because of the longer time and the greater pressure it has been subjected to in the digestion chamber of the Imhoff tank.
252. Status of Imhoff Tanks.—The introduction of the Imhoff tank into the United States, like the introduction of the Burkli-Ziegler Run-Off Formula, and Kutter’s Formula, is to be credited to Dr. Rudolph Hering. He advised Dr. Imhoff to come to the United States to introduce his tank and gave him material aid through recommendations and introductions to engineers. Shortly after its introduction, in 1907, the tank became very popular and installations were made in many cities. This popularity was caused by a growing dissatisfaction 426with the septic tank, the litigation then progressing over septic patents, the production of inoffensive sludge, and the promising results which had been obtained in Germany. As a result of the extended experience obtained in the use of Imhoff tanks American engineers have learned that, like all other sewage treatment devices introduced up to the present time, the Imhoff tank requires experienced attention for its successful operation. These tanks are now being installed in the place of septic tanks, and they are frequently used in conjunction with sprinkling filters.
253. Operation of Imhoff Tanks.—The important feature in the successful operation of an Imhoff tank is the proper control of the sludge and transition chambers. During the ripening process, which may occupy 2 weeks to 3 months after the start of the tank, offensive odors may be given off, the tank may foam violently, and scum may boil over into the sedimentation chamber. This is usually due to an acid condition in the digestion chamber which may possibly be overcome by the addition of lime. A very fresh influent will have a similar effect. Too violent boiling is not likely to occur where the area for the escape of gas has been made large and the gas is not confined. Any accumulation of scum should be broken up and pushed down into the digestion chamber, or removed from the tank. The stream from a fire hose is useful in breaking up scum. The side walls of the sedimentation chamber should be squeegeed as frequently as is necessary to keep them free from sludge, which may be as often as once or twice a week. Material floating on the surface of the sedimentation chamber should be removed from the tank or sunk into the digestion chamber through the gas vents in the transition chamber.
No sludge should be removed, except for the taking of samples, until the tank is well ripened. The ripening of the sludge can be determined by examining a sample and observing its color and odor. An odorless, black, granular, well humified sludge is indicative of a ripened tank. After the tank has ripened, sludge should be removed in small quantities at 2 to 3–week intervals, except in cold or rainy weather. The sludge should be drawn off slowly to insure the removal of the oldest sludge at the bottom of the digestion chamber. After the drawing off of the sludge has ceased the pipe should be flushed with fresh water to prevent its clogging with dried sludge in the interim until the next 427removal. Under no circumstances should all the sludge in the tank be removed at any time. The removal of some sludge during foaming after ripening may reduce or stop the foaming. The ripening of a tank can be hastened by adding some sludge from a tank already ripened.
Sludge should not be allowed to accumulate within 18 inches of the slot at the bottom of the digestion chamber. The elevation of the surface of the sludge can be located by lowering into the tank, a stoppered, wide-mouthed bottle on the end of a stick. The stopper is pulled out by a string when the bottle is at some known elevation. The bottle is then carefully raised and observed for the presence of sludge. The process is repeated with the bottle at different elevations until the surface of the sludge has been discovered. Another method is to place the suction pipe of a small hand pump at known points, successively increasing in depth, and to pump in each position until one position is found at which sludge appears in the pump. When the sludge in one portion of the digestion chamber has risen higher than in another portion, the direction of flow in the sedimentation chamber should be reversed if possible. In the ordinary routine of operation it is never necessary to shut down an Imhoff tank. Sludge is removed while the tank is operating. The shut down of a tank will be caused by accidents and breaks to the structure or control devices.
254. Other Tanks.—The Travis Hydrolytic Tank represents a step in the development from the septic tank to the Imhoff tank. The Doten tank and the Alvord tank are recent developments, and are somewhat similar in operation to the Imhoff tank.
The Travis Hydrolytic Tank when first designed differed from the later design of the Imhoff tank in the slot between the sedimentation chamber and the digestion chamber which was not trapped against the escape of gas from the latter to the former, and in operation a small quantity of fresh sewage was allowed to flow through the digestion chamber. The tank is called a hydrolytic tank because some solids are liquefied in it. The tank is mainly of historic interest as designs similar to it are rarely made to-day. Better results are obtained from the use of the Imhoff tank. Recent developments have altered the original design of the Travis tank so that it is hardly recognizable. 428The Travis tank at Luton, Eng., is shown in Fig. 164. The detailed description given in the Engineering News in connection with this illustration shows that the governing object of the design is to separate as quickly as possible the sludge deposited by the sewage without septic action being set up. To aid in the collection and settlement of flocculent matter vertical wooden grids or colloiders are used. The suspended matter strikes these and forms a slimy deposit on them that in a short time slips off in pieces large enough to settle readily.
Fig. 164.—Plan and Section of Hydrolytic Tank at Luton, England.
Eng. News, Vol. 76, 1916, p. 194.
Fig. 165.—Doten Tank for Army Cantonment Sewage Disposal.
Eng. News-Record, Vol. 79, 1917, p. 931.
The Doten tank[158] is a single-storied, hopper-bottomed septic tank, views of which are shown in Fig. 165. It was devised by L. S. Doten for army cantonments during the War. Its chief purpose was to avoid the foaming and frothing so common to Imhoff tanks when overdosed with fresh sewage. The first Alvord tank was constructed in Madison, Wis., in 1913.[159] As now constructed the tank consists of three deep, single-story compartments with hopper bottoms. These compartments are arranged side by side in any one unit. Sewage enters at the surface of one of the compartments and is retained here during one-half of the total period of retention. It leaves the first compartment over a weir and passes in a channel over the top of the intermediate compartment to the third or effluent compartment, where it is held for the remainder of the period of detention. Accumulated scum and sludge are drawn off into the intermediate compartment at the will of the operator, this 430compartment being used for sludge digestion only. Such tanks as the Doten and the Alvord have been used for plants receiving very fresh sewages such as is discharged from military cantonments, in order to assist in the prevention of the foaming to be expected from an Imhoff tank receiving such a fresh influent. The tanks are suitable for small installations, or where excavation to the depth required for an Imhoff tank is not practicable.
255. Theory.—The cycle through which the elements forming organic matter pass from life to death and back to life again has been described in Chapter XIII. It has been shown in Chapter XVI that septic action occupies that portion of the cycle in which the combinations of these elements are broken down or reduced to simpler forms and the lower stages of the cycle are reached. The action in the filtration of sewage builds up the compounds again in a more stable form and almost complete oxidation is attained, dependent on the thoroughness of the filtration. In the filtration of sewage only the coarsest particles of suspended matter are removed by mechanical straining. The success of the filtration is dependent on biologic action. The desirable form of life in a filter is the so-called nitrifying bacteria which live in the interstices of the filter bed and feed upon the organic matter in the sewage. Anything which injures the growth of these bacteria injures the action of the filter. In a properly constructed and operated filter, all matter which enters in the influent, leaves with the effluent, but in a different molecular form. A slight amount may be lost by evaporation and gasification but this is more than made up by the nitrogen and oxygen absorbed from the atmosphere. The nitrifying action in sewage filtration is shown by the analysis of sewage passing through a trickling filter, as given in Tables 86 and 87. It is shown by the reduction of the content of organic nitrogen, free ammonia, oxygen consumed, and the increase in nitrites, nitrates, and dissolved oxygen. The reduction of suspended matter is interrupted periodically when the filter “unloads.” The suspended matter in the effluent is then greater than in the influent.
The nitrifying organisms have been isolated and divided into two groups—nitrosomonas, the nitrite formers, and nitrobacter, the nitrate formers. Experiments indicate that the growth of the 432nitrobacter organisms is dependent on the presence of the nitrosomonas organisms, which are in turn dependent on the presence of the putrefactive compounds resulting from the action of putrefying bacteria. The existence of these organisms is an example of symbiotic action in bacterial growth. The organisms have been found to grow best on rough porous material on which their zoögleal jelly can be easily deposited and affixed. Sewage filters were constructed to provide these ideal conditions before the action of a filter was thoroughly understood.
The action in irrigation is similar to that in filtration. Although more strictly a method of final disposal rather than preliminary treatment, the similarity of the actions which take place, and the grading of sand filtration into broad irrigation with no distinct line of difference has resulted in the inclusion of the discussion of irrigation in the same chapter with filtration.
256. The Contact Bed.—A contact bed is a water-tight basin filled with coarse material, such as broken stone, with which sewage and air are alternately placed in contact in such a manner that oxidation of the sewage is effected. A contact bed has some of the features of a sedimentation tank and an oxidizing filter. As such it marks a transitory step from anaërobic to aërobic treatment of sewage. A plan and a section of a contact bed are shown in Fig. 166.
Because of its dependence on biologic action a contact bed must be ripened before a good effluent can be obtained. The ripening or maturing occurs progressively during the first few weeks of operation, the earlier stages being more rapidly developed. The time required to reach such a stage of maturity that a good effluent will be developed will vary between one and six or eight weeks, dependent on the weather and the character of the influent. During the period of maturing the load on the bed should be made light.
The use of contact beds has been extensive where a more stable effluent than could be obtained from tank treatment has been desired, yet the best quality of effluent was not required. The sewage to undergo treatment in a contact bed should be given a preliminary treatment to remove coarse suspended matter. The efficiency of the contact treatment can be increased by passing the sewage through two or three contact beds in series. In double contact treatment the primary beds are filled with 433coarser material and operate at a more rapid rate than the secondary beds. Double contact gives better results than single contact, but triple contact treatment, though showing excellent results, is hardly worth the extra cost. An advantage which contact treatment has over all other methods of sewage filtration is that the bed can be so operated that the sewage is never exposed to view. As a result the odors from well-operated contact beds are slight or are entirely absent and there should be no trouble from flying insects. Such a method of treatment is favorable to plants located in populous districts and to the fancies of a landscape architect. Another advantage of the contact bed is the small amount of head required for its operation, which may be as low as 4 to 5 feet. This low head consumption by a sewage filter is equaled only by the intermittent sand filter.
Fig. 166.—Plan and Section of Treatment Plant at Marion, Ohio, Showing Septic Tank, Contact Bed, and Sand Filter.
1908 Report Ohio State Board of Health.
The quality of the effluent from some contact beds is shown in Table 85. It is to be noted that nitrification has been carried to a fair degree of completion, and that the reduction of oxygen consumed has been marked. In comparison with the effluent 434from filters, contact effluent contains a smaller amount of nitrogen as nitrites and nitrates, and suspended solids. Contact effluent is usually clear and odorless, but it is not stable without dilution. The absence of nitrites and nitrates is sometimes advantageous as the effluent will not support vegetable growths dependent on this form of nitrogen. The absence of suspended solids obviates the use of secondary sedimentation basins which are needed with trickling filters. The head of 5 to 8 feet required for contact treatment is low in comparison to the 10 to 15 feet required for trickling filters, but is slightly higher than the head required for intermittent sand filtration. The cost of contact treatment is higher than the cost of trickling filters but is lower than the cost of intermittent sand filtration, as shown in Table 90.
| TABLE 85 | ||||||||||||
|---|---|---|---|---|---|---|---|---|---|---|---|---|
| Quality of Effluents from Contact Beds | ||||||||||||
| Report on Sewage Purification at Columbus, Ohio, by G. A. Johnson, 1905. | ||||||||||||
| Filter | Depth, Feet | Size of Material in Inches | Rate, Million Gallons per Acre per Day | Oxygen Consumed | Nitrogen as | Suspended Matter | Dissolved Oxygen | |||||
| Organic | Free Ammonia | Nitrites | Nitrates | Total | Volatile | Fixed | ||||||
| Parts per Million | ||||||||||||
| A | 5 | 0.25–1.00 | 0.953 | 23 | 3.5 | 8.7 | 0.20 | 1.6 | 832 | 94 | 737 | 0.3 |
| B | 5 | 0.25–2.00 | 1.514 | 21 | 4.0 | 8.4 | 0.15 | 1.4 | 831 | 85 | 746 | 0.1 |
| C | 5 | 0.25–1.50 | 1.222 | 24 | 3.5 | 10.8 | 0.11 | 0.6 | 826 | 92 | 734 | 0.8 |
| D | 5 | 0.50–1.50 | 1.405 | 22 | 3.3 | 9.5 | 0.13 | 0.9 | 810 | 91 | 717 | 0.9 |
| Per Cent Removal of Constituents of Applied Sewage | ||||||||||||
| A | 5 | 0.25–1.00 | 0.953 | 48 | 49 | 10 | 73 | 70 | 76 | |||
| B | 5 | 0.25–2.00 | 1.514 | 52 | 40 | 11 | 80 | 77 | 83 | |||
| C | 5 | 0.25–1.50 | 1.222 | 47 | 31 | 12 | 70 | 70 | 70 | |||
| D | 5 | 0.50–1.50 | 1.405 | 46 | 37 | 19 | 67 | 61 | 72 | |||
The depth of the contact bed is generally made from 4 to 6 feet. The deeper beds are less expensive per unit of volume, to construct, as the cost of the underdrains and the distribution system is reduced in relation to the capacity of the filter. The increased depth reduces the aëration, and the periods of filling 435and emptying are so increased as to limit the depths to the figures stated. The other dimensions of the bed are controlled by economy and local conditions, as the success of the contact treatment is not affected by the shape of the bed. Contact units are seldom constructed larger than one-half an acre in area, as larger beds require too much time for filling and emptying. A large number of small units is also undesirable because of the increased difficulty of control. In general it is well to build as large units as are compatible with efficient operation, elasticity of plant, and which can be filled within the time allowed at the average rate of sewage flow, or from dosing tanks in which the storage period is not so long as to produce septic conditions.
The interstices in a contact bed will gradually fill up, due to the deposition of solid matter on the contact material, the disintegration of the material, and the presence of organic growths. The period of rest allowed every five or six weeks tends to restore partially some of this lost capacity through the drying of the organic growths. It is occasionally necessary to remove the material from the bed and wash it in order to restore the original capacity. It may be necessary to do this three or four times a year, in an overloaded plant, or as infrequently as once in five or six years in a more lightly loaded bed. The period is also dependent on the character of the contact material and the quality of the influent. This loss of capacity may reduce the voids from an original amount of 40 to 50 per cent of voids to 10 to 15 per cent. If the bed is not overloaded the loss of capacity will not increase beyond these figures.
The rate of filtration depends on the strength of the sewage, the character of the contact material, and the required effluent. It should be determined for any particular plant as the result of a series of tests. For the purposes of estimation and comparison the approximate rate of filtration should be taken at about 94 gallons per cubic yard of filtering material per day on the basis of three complete fillings and emptyings of the tank. This is equivalent to 150,000 gallons per acre foot of depth per day, or for a bed 5 feet deep to a rate of 750,000 gallons per acre per day. The net rate for double or triple filtration is less than these figures, but on each filter the rates are higher.
The material of the contact bed should be hard, rough, and angular. It should be as fine as possible without causing clogging 436of the bed. Materials in successful use are: crushed trap rock or other hard stone, broken bricks, slag, coal, etc. Soft crumbling materials such as coke are not suitable as the weight of the superimposed material and the movement of the sewage crushes and breaks it into fine particles which accumulate in the lower portion of the filter and clog it. Roughness, porosity, and small size are desirable, as the greater the surface area the more rapid the deposition of material. After a short time, however, the advantages of roughness and porosity are lost, as the sediment soon covers all unevenness alike. The minimum size of the material is limited by the tendency towards clogging. The sizes in successful use vary between ¼ and ¾ of an inch, ½ inch being a common size. The same size of material is used throughout the depth of the bed except that the upper 6 inches may be composed of small white pebbles or other clean material, which does not come in contact with the sewage and which will give an attractive appearance to the plant. In double or triple contact beds 3 or 4–inch material is sometimes used for the primary beds, and ¼-inch material in the final bed.
Sewage may be applied at any point on or below the surface. The sewage is withdrawn from the bottom of the bed. It is undesirable to have too few inlet or outlet openings as the velocity of flow about the openings will be so great as to disturb the deposit on the contact material. The distribution system and the underdrains for the bed at Marion, Ohio, are shown in Fig. 166.
The cycle of operation of a contact bed is divided into four periods. A representative cycle might be: time of filling, one hour; standing full, 2 hours; emptying, one hour; standing empty, 4 hours. The length of these periods is the result of long experience based on many tests and are an average of the conclusions reached. Wide variations from them may be found in different plants, and tests may show successful results with different periods. The combination of these four periods is known as the contact cycle.
The period of filling should be made as short as possible without disturbing the material of the bed nor washing off the accumulated deposits. The sewage should not rise more rapidly than one vertical foot per minute. During the contact or standing full period sedimentation and adsorption of the colloids are 437occurring on the area of surface exposed to the sewage. This period should be of such length that septic action does not become pronounced, and long enough to permit of thorough sedimentation. The period of emptying should be made as short as possible without disturbing the bed, on the same basis that the period of filling is determined. During the period of standing empty, air is in contact with the sediment deposited in thin layers on the contact material, and the oxidizing activities of the filter are taking place. The filter is given a rest period of one or two days every five or six weeks, in order that it may increase its capacity and its biologic activity.
The control of a contact bed may be either by hand or automatic, the latter being the more common. Hand control requires the constant attention of an operator and results in irregularity of operation, whereas automatic control will require inspection not more than once a day and insures regularity of operation. A number of automatic devices have been invented which give more or less satisfaction. The air-locked automatic siphons, without moving parts, have proven satisfactory and are practically “fool-proof.” The operation of these devices is explained in Chapter XXI.
257. The Trickling Filter.—A trickling or sprinkling filter is a bed of coarse, rough, hard material over which sewage is sprayed or otherwise distributed and allowed to trickle slowly through the filter in contact with the atmosphere. A general view of a trickling filter in operation at Baltimore is shown in Fig. 167. The action of the trickling filter is due to oxidation by organisms attached to the material of the filter. The solid organic matter of the sewage deposited on the surface of the material, is worked over and oxidized by the aërobic bacteria, and is discharged in the effluent in a more highly nitrified condition. At times the discharge of suspended matter becomes so great that the filter is said to be unloading. The action differs from that in a contact bed in that there is no period of septic or anaërobic action and the filter never stands full of sewage.
The effluent from a trickling filter is dark, odorless, and is ordinarily non-putrescible. Analyses of typical effluents are given in Tables 86 and 87. The unloading of the filter may occur at any time, but is most likely to occur in the spring or in a warm period following a period of low temperatures. It causes 438higher suspended matter in the effluent than in the influent and may render the effluent putrescible. The action is marked by the discharge of solid matter which has sloughed off of the filter material and which increases the turbidity of the effluent. Where the diluting water is insufficient to care for the solids so carried in the effluent, they can be removed by a 2–hour period of sedimentation. The effluent may become septic during this time, however. The nitrogen in the effluent is almost entirely in the form of nitrates, and the percentage of saturation with dissolved oxygen is high. The effluent is more highly nitrified than that from a contact bed, and its relative stability is also higher, thus demanding a smaller volume of diluting water.
Fig. 167.—Sprinkling Filter in Operation in Winter at Baltimore.
The principal advantage of a trickling filter over other methods of treatment is its high rate which is from two to four times faster than a contact bed, and about seventy times faster than an intermittent sand filter. The greatest disadvantage is the head of 12 to 15 feet or more necessary for its operation. Sedimentation of the effluent is usually necessary to remove the settleable solids. During the period of secondary sedimentation the quality of the filter effluent may deteriorate in relative stability. In winter the formation of ice on the filter results in an effluent of inferior quality, but as the diluting water can care for such an effluent at this time the condition is not detrimental to the use of the trickling filter. In summer the filters sometimes give off offensive odors that can be noticed at a distance of half a mile, and flying insects may breed in the filter in sufficient quantities to 439become a nuisance if preventive steps are not taken. The dissemination of odors is especially marked when treating a stale or septic sewage. The treatment of a fresh sewage seldom results in the creation of offensive odors.
| TABLE 86 | |||||||||||
|---|---|---|---|---|---|---|---|---|---|---|---|
| Analysis of Crude Sewage, Imhoff Tank, and Sprinkling Filter Effluents at Atlanta, Georgia | |||||||||||
| (Engineering Record, Vol. 72, p. 4) | |||||||||||
| Temperature Fahrenheit | Parts per Million | Per Cent Saturation Dissolved Oxygen | Relative Stability | ||||||||
| Nitrogen as | Oxygen Consumed | Suspended Matter | |||||||||
| Organic | Free Ammonia | Nitrites | Nitrates | Total | Volatile | Fixed | |||||
| Crude Sewage | |||||||||||
| 1913 | |||||||||||
| Maximum | 77 | 15.6 | 21.8 | 0.1 | 3.0 | 100.0 | 371 | 154 | 163 | 47 | |
| Minimum | 61 | 10.4 | 16.5 | 0.1 | 1.4 | 78.3 | 222 | 98 | 112 | 11 | |
| Average | 70 | 12.8 | 18.8 | 0.1 | 2.2 | 90.6 | 285 | 126 | 138 | 28 | |
| 1914 (7 months) | |||||||||||
| Maximum | 74 | 16.0 | 33.4 | 2.3 | 431 | 48 | |||||
| Minimum | 60 | 9.5 | 18.1 | 1.6 | 279 | 12 | |||||
| Average | 66 | 13.4 | 27.1 | 2.0 | 351 | 30 | |||||
| Imhoff Effluent | |||||||||||
| 1913 | |||||||||||
| Maximum | 78 | 13.2 | 21.9 | 0.2 | 3.1 | 68.0 | 90 | 50 | 41 | ||
| Minimum | 58 | 6.5 | 16.8 | 0.1 | 1.1 | 53.1 | 35 | 42 | 21 | ||
| Average | 68 | 9.0 | 20.0 | 0.2 | 2.1 | 60.1 | 68 | 46 | 33 | ||
| 1914 (7 months) | |||||||||||
| Maximum | 77 | 10.3 | 30.3 | 2.0 | 73 | 48 | |||||
| Minimum | 59 | 4.1 | 18.0 | 1.5 | 49 | 34 | |||||
| Average | 65 | 7.7 | 25.9 | 1.8 | 65 | 43 | |||||
| Sprinkling Filter Effluent | |||||||||||
| 1913 | |||||||||||
| Maximum | 79 | 5.6 | 14.2 | 0.8 | 11.3 | 32.1 | 60 | 31 | 28 | 76 | 99 |
| Minimum | 55 | 2.6 | 6.2 | 0.5 | 5.8 | 23.6 | 33 | 26 | 28 | 52 | 88 |
| Average | 66 | 3.8 | 9.9 | 0.7 | 8.2 | 28.2 | 49 | 28 | 28 | 64 | 89 |
| 1914 (7 months) | |||||||||||
| Maximum | 77 | 8.5 | 20.7 | 11.2 | 106 | 79 | 99 | ||||
| Minimum | 55 | 4.4 | 8.8 | 3.6 | 40 | 55 | 89 | ||||
| Average | 63 | 5.7 | 15.2 | 7.2 | 62 | 65 | 95 | ||||
| TABLE 87 | ||||||||||||||||||||||||||||
|---|---|---|---|---|---|---|---|---|---|---|---|---|---|---|---|---|---|---|---|---|---|---|---|---|---|---|---|---|
| Efficiency of Sprinkling Filter Chicago, Illinois | ||||||||||||||||||||||||||||
| Depth of Filter 9 feet. Size of stone 2 in. to 3 in. | ||||||||||||||||||||||||||||
| Month | Organic Nitrogen | Free Ammonia | Oxygen Consumed | Nitrites | Nitrates | Dissolved Oxygen | Per Cent Putrescible | Suspended Matter | ||||||||||||||||||||
| Total | Volatile | Fixed | ||||||||||||||||||||||||||
| Influent, Parts per Million | Effluent, Parts per Million | Per Cent Removed | Influent, Parts per Million | Effluent, Parts per Million | Per Cent Removed | Influent, Parts per Million | Effluent, Parts per Million | Per Cent Removed | Influent, Parts per Million | Effluent, Parts per Million | Per Cent Removed | Influent, Parts per Million | Effluent, Parts per Million | Per Cent Removed | Influent, Parts per Million | Effluent, Parts per Million | Per Cent Removed | Influent, Parts per Million | Effluent, Parts per Million | Per Cent Removed | Influent, Parts per Million | Effluent, Parts per Million | Per Cent Removed | Influent, Parts per Million | Effluent, Parts per Million | Per Cent Removed | ||
| 1910 | ||||||||||||||||||||||||||||
| October | 5.1 | 2.8 | 45 | 12.0 | 4.6 | 62 | 30 | 15 | 50 | .90 | 7.8 | 0.0 | 8.5 | ∞ | 0 | 75 | 40 | 47 | 54 | 25 | 54 | 21 | 15 | 29 | ||||
| November | 5.9 | 2.5 | 58 | 12.0 | 5.9 | 51 | 35 | 15 | 57 | .76 | 5.9 | 0.0 | 8.1 | ∞ | 5 | 61 | 16 | 74 | 52 | 15 | 71 | 9 | 1 | 89 | ||||
| December | 4.6 | 3.0 | 35 | 12.0 | 6.9 | 42 | 39 | 20 | 49 | .07 | .45 | 6.4 | .15 | 2.6 | 17 | 2.0 | 8.4 | 4.2 | 35 | 85 | 40 | 53 | 60 | 26 | 57 | 25 | 14 | 44 |
| 1911 | ||||||||||||||||||||||||||||
| January | 6.3 | 4.8 | 24 | 11.0 | 7.0 | 36 | 42 | 20 | 52 | .08 | .15 | 1.9 | .27 | 2.2 | 8.2 | 3.0 | 7.8 | 2.9 | 38 | 112 | 43 | 63 | 68 | 29 | 57 | 44 | 13 | 70 |
| February | 9.0 | 4.8 | 47 | 10.0 | 7.2 | 28 | 46 | 20 | 56 | .09 | .15 | 1.7 | .50 | 2.6 | 5.2 | 2.6 | 8.0 | 3.1 | 29 | 100 | 49 | 51 | 64 | 32 | 50 | 37 | 17 | 53 |
| March | 8.3 | 3.5 | 58 | 9.9 | 6.4 | 35 | 47 | 21 | 56 | .09 | .15 | 1.7 | .34 | 3.2 | 9.4 | 2.2 | 6.6 | 3.0 | 28 | 106 | 37 | 65 | 63 | 22 | 65 | 43 | 15 | 65 |
| April | 6.4 | 4.0 | 37 | 8.3 | 3.6 | 69 | 38 | 21 | 45 | .16 | .21 | 1.3 | .53 | 4.5 | 8.5 | 2.1 | 7.1 | 3.4 | 9 | 113 | 68 | 40 | 59 | 35 | 41 | 54 | 33 | 39 |
| May | 7.6 | 5.4 | 29 | 9.2 | 2.4 | 74 | 33 | 31 | 6 | .08 | .38 | 4.8 | .15 | 7.5 | 4.3 | 0.1 | 7.7 | 77 | 6 | 88 | 150 | 1.7 | 54 | 70 | 1.3 | 34 | 80 | 2.4 |
| June | 5.9 | 3.2 | 46 | 11.0 | 0.6 | 95 | 28 | 16 | 43 | .00 | .30 | ∞ | .16 | 8.3 | 5.2 | 0.0 | 7.6 | ∞ | 1 | 92 | 77 | 18 | 56 | 36 | 36 | 36 | 41 | 1.1 |
| July | 6.2 | 4.2 | 32 | 11.0 | 1.3 | 88 | 34 | 26 | 24 | .00 | .36 | ∞ | .09 | 7.7 | 8.0 | 0.0 | 6.5 | ∞ | 4 | 155 | 130 | 16 | 74 | 61 | 18 | 81 | 69 | 15 |
| Note.—Italic figures represent increases. | ||||||||||||||||||||||||||||
441Raw sewage cannot be treated successfully on a trickling filter. Coarse solid particles should be screened and settled out, in order that the distributing devices or the filter may not become clogged. The effluent from an Imhoff tank has proven to be a satisfactory influent for a trickling filter. A septic tank effluent may be so stale as to be detrimental to the biologic action in the filter.
In the operation of a trickling filter the sewage is sprayed or otherwise distributed as evenly as possible in a fine spray or stream, over the top of the filtering material. The sewage then trickles slowly through the filter to the underdrains through which it passes to the final outlet. The distribution of the sewage on the bed is intermittent in order to allow air to enter the filter with the sewage. The cycle of operation should be completed in 5 to 15 minutes, with approximately equal periods of rest and distribution. Cycles of too great length will expose the filter to drying or freezing and will give poorer distribution throughout the filter. Cycles which are too short will operate successfully only with but slight variation in the rate of sewage flow. In some plants it has been found advantageous to allow the filters to rest for one day in 3 to 6 weeks or longer, dependent on the quality of the effluent.
The rate of filtration may be as high as 2,000,000 gallons per acre per day, which is equivalent to 200 gallons per cubic yard of material per day in a bed 6 feet deep. This is more than double the rate permissible in a contact bed. The exact rate to be used for any particular plant should be determined by tests. It is dependent on the quality of the sewage to be treated, on the depth of the bed, the size of the filling material, the weather, and other minor factors.
The filtering material is similar to that used in a contact bed. It should consist of hard, rough, angular material, about 1 to 2 inches in size. Larger sizes will permit more rapid rates of filtration, but will not produce so good an effluent. Smaller sizes will clog too rapidly.
The depth of the filter is limited by the possibility of ventilation and the strength of the filtering material to withstand crushing. The deeper the bed the less the expense of the distribution and collecting system for the same volume of material, and the more rapid the permissible rate of filtration. The depths in 442use vary between 6 and 10 feet, with 6 to 8 feet as a satisfactory mean. From a biologic standpoint the action of the filter seems to be proportional to the volume of the filtering material and therefore proportional to the depth of the bed, being limited to a minimum depth of about 5 feet, below which sewage may pass through the filter without treatment. The shape and other dimensions of the filter depend on the local conditions and the economy of construction. The filters need not be broken up into units by water-tight dividing walls. One filter can be constructed sufficient for all needs and various portions of it can be isolated as units by the manipulation of valves in the distribution system. Ventilation is provided by the air entrained with the sewage as it falls upon the surface. If the sides of the filter are built of open stone crib work the ventilation will be greatly improved, but it will not be possible to flood the filters to keep down flies, and in cold climates these openings must be covered in winter to prevent freezing. Filters have been constructed without side walls, the filtering material being allowed to assume its natural angle of repose. This has usually been found to be more expensive than the construction of side retaining walls, due to the unused filling material and the extra underdrains required.
The distribution of sewage is ordinarily effected by a system of pipes and spray nozzles as shown in Fig. 168 and 169. Other methods of distribution have been used. At Springfield, Mo.,[160] a moving trough from which the sewage flows continuously is drawn back and forth across the bed by means of a cable. In England circular beds have been constructed and the sewage distributed on them through revolving perforated pipes. At the Great Lakes Naval Training Station[161] the distributing pipes in the plant, now abandoned, were supported above the surface of the filter. The sewage fell from holes in the lower side of these pipes on to brass splash plates 14 inches above the filter. It was deflected horizontally from these plates over the filter surface. Pipes and spray nozzles have been adopted almost universally in the United States. Splash plates, traveling distributors, and other forms of distribution have been used only in exceptional 443cases. In a distributing system consisting of pipes and nozzles, a network of pipes is laid out somewhat as shown in Fig. 168, in such a manner that the head loss to all points is approximately equal. The number of valves required should be reduced to a minimum. The pipes may be laid out with the main feeders leading from a central point and branches at right angles to them, somewhat on the order of a spider’s web, or they may be laid out on a rectangular or gridiron system. The radial system is advantageous because of the central location of the control house, but it does not always lend itself favorably to the local conditions, and the piping and nozzle location are not so simple. The gridiron system lends itself favorably to the equalization of head losses. The pipes used should be larger than would be demanded by considerations of economy alone, both for the purpose of reduction of head loss and ease in cleaning. No pipe less than 6 inches in diameter should be used, and the average velocity of flow should not exceed one foot per second. Cast-iron, concrete, or vitrified clay pipe may be used, but cast iron is the material commonly used. The system should be arranged for easy flushing and cleaning and the pipes so sloped that the entire system can be drained in case of a shut down in cold weather.
Fig. 168.—Section through Sprinkling Filter at Fitchburg, Mass., Showing Distribution System.
Eng. Record, Vol. 67, p. 634.
444The pipes are placed far enough below the surface of the filling material so that the top of the spraying nozzle is 6 to 12 inches above the surface of the filter. If the pipes are placed near the surface they are accessible for repairs, but are exposed to temperature changes. If the pipes are large their presence near the surface of the filter may seriously affect the distribution of the sewage through the filter. If the distributing pipes are placed near the bottom of the filter they are inaccessible for repairs and the nozzles must be connected to them by means of long riser pipes. The distributing pipes should be supported by columns extending to the foundation of the filter bed, there being a column at every pipe joint with such intermediate supports as may be required. In some plants the pipes have been supported by the filtering material. Although slightly less expensive in first cost the practice of so supporting the pipes is poor, as settling of the material may break the pipe or cause leaks, and if the bed becomes clogged, removal of the material is made more difficult. Valves should be placed in the distributing system in such a manner that different sets of nozzles can be cut out at will, thus resting those portions of the filter and permitting repairs without shutting down the entire filter.
The spacing of the nozzles is fixed by the type and size of the nozzle, the available head, and the rate of filtration. Various types of sprinkler nozzles are shown in Fig. 169 and the discharge rates, head losses, and distances to which sewage is thrown for the Taylor nozzles, are shown in Fig. 170. Nozzles are available which will throw circular, square, or semicircular sprays. In the use of circular sprays there is necessarily some portion of the filter which is underdosed if the nozzles are placed at the corners of squares with the sprays tangent, and there is an overdosing of other portions if the sprays are allowed to overlap so that no portion of the filter is left without a dose. Rectangular sprays will apparently overcome these difficulties, but studies have shown that circular sprays with some overlapping, and the nozzles placed at the apexes of equilateral triangles as shown in Fig. 172 will give as satisfactory distribution as other forms.
Fig. 169.—Sprinkling Filter Nozzles.
Bulletin No. 3, Engineering Experiment Station, Purdue University.
Fig. 170.—Diagram Showing the Discharge and Spacing of Taylor Nozzles.
446The nozzles should be selected to give the best distribution, to consume all of the head available, and to give the proper cycle of operation. The entire head available should be consumed in order that the fewest number of nozzles may be used. An excellent study of the characteristics of various types of nozzles has been published in Bulletin No. 3 of the Engineering Experiment Station at Purdue University, 1920. As a result of the tests on the nozzles shown in Fig. 169, it was determined for all nozzles, except No. 8, that
| TABLE 88 | |||||||
|---|---|---|---|---|---|---|---|
| Coefficients of Discharge for Sprinkler Nozzles Shown in Fig. 169 | |||||||
| Nozzle Number | 1 | 2 | 3 | 4 | 5 | 6 | 7 |
| Coefficient | .648 | .756 | .696 | .666 | .675 | .598 | .569 |
It is evident that if the head on the nozzles is constant and the nozzle throws a circular spray, the intensity of dosing at the circumference will be greater than nearer the center. This difficulty is overcome by so designing the dosing tank from which the sewage is fed that the head on the nozzle and the quantity thrown will vary in such a manner that the distribution over the bed is equalized. Intermittent action is obtained by an automatic siphon which commences to discharge when the tank is full and empties the tank in the period allowed for dosing. Under such conditions the tank should discharge for a longer time at the higher heads than at the lower heads as there is more territory to be covered at the higher heads. The design of the tank to do this with exactness is difficult, and the construction of the necessary curved surfaces is expensive. Where 447a dosing tank is used for such conditions it has been found satisfactory to construct the tank with plane sides sloping at approximately 45 degrees from the vertical (or horizontal). A tank with curved surfaces is shown in Fig. 171. The dosing siphon is usually placed in the tank as shown in the figure. The head and quantity of discharge through the nozzles can be varied also by maintaining a constant depth in a dosing tank by means of a float feed valve, and varying the head and quantity discharged to the nozzles by a butterfly valve in the main feed line, or by the use of a Taylor undulating valve designed for this purpose. The butterfly valve is opened and closed by a cam so designed and driven at such a rate that the required distribution is obtained. The Taylor undulating valve is opened and closed at a constant rate, the shape of the valve giving the required variations in head and discharge. Other methods of control have been attempted but have not been used extensively.
Fig. 171.—Section of 12–inch Siphon and Dosing Tank, for King’s Park, Long Island.
An example of the design of the nozzle layout and dosing tank for a sprinkling filter follows:
448Let it be required to determine the nozzle layout for one acre of sprinkling filters with 5 feet available head on the nozzles.
The selection of the type of nozzle and the size of opening is a matter of judgment and experience. Nozzles with large openings are less liable to clog and fewer nozzles are needed than where small nozzles are used, but the distribution of sewage is not so even as with the use of small nozzles. In this example Taylor circular spray nozzles will be selected. Fig. 170 shows that a Taylor circular spray nozzle will discharge 22.3 g.p.m. under a head of 5 feet, and that the economical nozzle spacing will be 15.3 feet. The least number of nozzles at this spacing required for a bed of one acre in area is found as follows: In Fig. 172, let n equal the number of nozzles in a horizontal row, counting half-spray nozzles as ½, and let m equal the number of rows counting rows of half-spray nozzles as half rows.[162] Then the number of nozzles, N, equals mn, and 15.3m × 13.2n equals 43,560 or mn equals 215.
Fig. 172.—Typical Sprinkler Nozzle Layout.
The next step should be the design of the dosing tank and
siphon. It is possible to design a tank which will give equal
distribution over equal areas of filter surface. It has been
449found, however, that the expense of this refinement is unwarranted
as there are a number of outside factors which tend to
overcome the theoretical design. The effect of wind, unequal
spacing, and irregularities in the elevation of the nozzles have a
tendency to offset refinements in the design of a dosing tank.
It is therefore the general practice to slope the sides of the tank
at an angle of about 45 degrees as previously stated. The
dosing tank is generally designed to have a capacity which will
give a complete cycle of operation once in 15 minutes. In the
ordinary design the factors given are the rate of inflow and the
given time of filling. In the following example the time of filling
will be taken as 10 minutes, the time of emptying as 5 minutes,
and the rate of flow as 1,000,000 gallons per day. The capacity
of the tank will therefore be 1,000,000
24 x 6 = 7,000 gallons. The
diameter of the siphon to be selected can be computed as follows:
| Let | Q | = the capacity of the tank in cubic feet; |
| q1 | = the rate of discharge of the siphon in cubic feet per second; | |
| q2 | = the rate of inflow to the tank in cubic feet per second; | |
| q | = the rate of emptying the tank in cubic feet per second = (q1 − q2); | |
| A | = the cross-sectional area of the free surface of the water in the tank at any instant, in square feet; | |
| a | = the cross-sectional area of the siphon in square feet; | |
| b | = the small dimension of the base of the tank in feet; | |
| h | = the head of water, in feet, on the discharge siphon; | |
| h1 | = the initial head of water, in feet, on the siphon; | |
| h2 | = the final head of water in feet, on the siphon; | |
| t | = the time, in seconds, required to empty the tank, |
| then | dQ = -Adh = q1dt − q2dt, |
| and | dt = dQ q = − Adh q1 − q2, |
| but | q1 = 0.4 A √(2gh),[163] |
| therefore | ![]() |
| but | A = 4h2 + 4bh + b2, |
| therefore | ![]() |
450The integration of this expression is tedious. Its solution for siphons between 6 inches and 12 inches operating under heads commencing from 3 feet to 6 feet, with a time of emptying of 5 minutes and time of filling of 10 minutes is given in Fig. 173. In the example given the rate of inflow is 1.55 sec. feet and the head is 5 feet. Then from Fig. 173 the size of the siphon to be used is 12 inches. Where a siphon of the size required to empty the tank in the time fixed is not available, combinations of available sizes can sometimes be used.
Fig. 173.—Diagram for the Determination of the Capacities of Dosing Tanks for Trickling Filters.
Time of emptying, 5 minutes. Time of filling, 10 minutes. Shape of tank is a right pyramid or a truncated right pyramid with all four sides making an angle of 45 degrees with the vertical. All horizontal cross-sections are squares.
For example, if the given head is 6 feet, and the rate of inflow is 1.4 sec. feet, it is evident from Fig. 173 that a 6,300–gallon dosing tank and two 8–inch siphons will give the required cycle.
The method used for the design of the setting of Taylor nozzles by the Pacific Flush Tank Co., is less rational but more simple and probably as satisfactory. In this method the steps are as follows:
(1) Divide the maximum daily rate of sewage flow by 1,000 to get the maximum minute inflow.
451(2) The number of nozzles required is determined by dividing the preceding figure by 6. Generally a Taylor nozzle with an orifice of ⅞ of an inch will discharge about 20 g.p.m. at the high head and about 8 g.p.m. at the low head, and as the nozzles must have a capacity which will take care of the inflow at the low head, the divisor 6 is used as a factor of safety instead of using 8 as the divisor.
(3) The type of nozzle to be used is selected from experience or as a matter of judgment. Circular-spray nozzles are more generally used.
(4) The spacings are determined from Fig. 170.
(5) The dosing tank of the shape described is then designed. The capacity is such as to give a complete cycle once every 15 minutes. The method of this design is similar to that followed previously.
(6) The dosing siphons are designed so that they will have a capacity at the minimum head of from 40 to 50 per cent in excess of the maximum minute inflow, and the draining depth of the siphon will be limited to a maximum of 5 to 5½ feet. The siphons are all made adjustable with a variation of 6 inches or more on either side of the normal discharge line so that the spraying area and cycle can be varied to secure the best results.
The underdrainage of a trickling filter should consist of some form of false bottom such as the types shown in Fig. 174. Where possible the underdrains should be open at both ends for the purpose of ventilation and flushing. It is desirable that the drains be so arranged that a light can be seen through them in order that clogging can be easily located. The drains should be placed on a slope of approximately 2 in 100 towards a main collector. The length of the drains is limited by their capacity to carry the average dose from the area drained by them. The main collecting conduits must be designed in accordance with the hydraulic principles given in Chapter IV. No valves, or other controlling apparatus, are placed on the underdrains or outlets from the filter.
Covers have been provided in winter for some trickling filters in cold climates. The Taylor sprinkling nozzle has been found to work successfully in extremely cold weather, and it is generally accepted that the covering of filters is unnecessary, if the filter is not to be shut down for any length of time in cold weather.
452The operation of devices for automatically controlling the operation of a trickling filter is explained in Chapter XXI.
Fig. 174.—Types of False Bottoms for Trickling Filters.
Eng. News, Vol. 74, p. 5.
258. Intermittent Sand Filter.—An intermittent sand filter is a specially prepared bed of sand, or other fine grained material, on the surface of which sewage is applied intermittently, and from which the sewage is removed by a system of underdrains. It differs from broad irrigation in the character of the material, the care and preparation of the bed, and the thoroughness of the underdrainage. A distinctive feature of the intermittent sand filter is the quality of the effluent delivered by it. In a properly designed and operated plant the effluent is clear, colorless, odorless, and sparkling. It is completely nitrified, is stable and contains a high percentage of dissolved oxygen. It contains no settleable solids except at widely separated periods when a small quantity may appear in the effluent. The percentage removal of bacteria may be from 98 to 99 per cent. Some analyses of sand filter effluents are given in Table 89. The dissolved solids, the remaining bacteria, and the antecedents of the effluent are the only differences between it and potable water. An effluent from an intermittent sand filter is the most highly purified effluent delivered by any form of sewage treatment. The effluent can be disposed of without dilution, on account of its high stability. The treatment of sewage to so high a degree is seldom required, so that the use of intermittent filters is not common. Other drawbacks to their use are the relatively large area of land necessary and the difficulty of obtaining good filter sand in all localities.
| 453 | |||||||
| TABLE 89 | |||||||
|---|---|---|---|---|---|---|---|
| Quality of Effluents from Sand Filters | |||||||
| (Report on Sewage Purification at Columbus, Ohio, by G. A. Johnson, 1905) | |||||||
| Source of Sample | Parts per Million | Rate of Filtration Gallons per Acre, per Day | |||||
| Nitrogen as | Oxygen Consumed | Oxygen Dissolved | |||||
| Free Ammonia | Albuminoid Ammonia | Nitrites | Nitrates | ||||
| Filter influent from grit chamber | 11.0 | 8.6 | 59. | ||||
| Filter effluent | 1.12 | 0.88 | 0.08 | 11.5 | 6.9 | 6.3 | 0.081 |
| Filter effluent | 0.81 | 0.88 | 0.10 | 12.6 | 6.5 | 6.2 | 0.118 |
| Filter influent from plain settling tank | 9.7 | 5.4 | 33. | ||||
| Filter effluent | 0.62 | 0.77 | 0.11 | 14.9 | 6.0 | 8.2 | 0.139 |
| Filter effluent | 0.99 | 1.10 | 0.10 | 12.6 | 7.8 | 6.5 | 0.274 |
| Filter effluent | 2.61 | 1.39 | 0.09 | 9.0 | 9.7 | 3.9 | 0.357 |
| Filter influent from septic tank | 10.7 | 5.6 | 38. | ||||
| Filter effluent | 1.63 | 1.16 | 0.09 | 11.2 | 8.0 | 5.8 | 0.357 |
| Filter influent from coke strainer | 13.4 | 4.7 | 40. | ||||
| Filter effluent | 2.24 | 1.35 | 1.03 | 14.6 | 10.1 | 6.9 | 0.372 |
| Filter influent from contact bed | 8.6 | 3.6 | 0.19 | 1.6 | 24. | 0.3 | |
| Filter effluent | 2.62 | 1.35 | 0.31 | 8.1 | 8.3 | 5.8 | 0.516 |
| Filter effluent | 2.44 | 2.41 | 0.16 | 9.4 | 12.5 | 5.0 | 0.525 |
| Filter effluent | 3.40 | 1.15 | 0.20 | 10.9 | 9.7 | 5.2 | 0.525 |
| Filter influent from sprinkling filter after sedimentation | 9.0 | 4.8 | 0.42 | 1.3 | 27. | 3.4 | |
| Filter effluent | 2.95 | 1.25 | 0.19 | 7.0 | 8.8 | 3.8 | 0.675 |
| Filter effluent | 4.77 | 2.63 | 0.51 | 4.6 | 11.8 | 2.5 | 0.749 |
| Filter effluent | 3.47 | 1.61 | 0.31 | 7.2 | 11.9 | 3.7 | 1.129 |
454The action in an intermittent sand filter is more complete than in other forms of filters because a greater surface is exposed to the passage of sewage by the fine sand particles, and the sewage is in contact with the filtering material a longer time due to the lower rate of filtration and the slow velocity of flow through the filter. It is essential that the sewage be applied to the bed intermittently in order that air shall be entrained in the filter. The period between doses should not be so long that the filter becomes dry.
In the operation of an intermittent sand filter one dose per day is considered an ordinary rate of application, although some plants operate with as many as four doses per day per filter, and others on one dose at long and irregular intervals. It is not always necessary to rest the filter for any length of time unless signs of overloading and clogging are shown. The intermittent dosing action may be obtained by the action of an automatic siphon as is described in Chapter XXI. The sewage is distributed on the beds through a number of openings in the sides of distributing troughs resting on the surface of the filter. The sewage is withdrawn from the bottom of the filter through a system of underdrains, into which it enters after its passage through the bed. There are no control devices on the outlet, as the rate of filtration is controlled by the action of the dosing apparatus and the rate at which sewage is delivered to it. The action of the dosing apparatus should respond quickly to variations in sewage flow. As the doses are applied to a sand filter, a mat of organic matter or bacterial zoöglea is formed on the surface of the bed. The mat is held together by hair, paper, and the tenacity of the materials. It may attain a thickness of ¼ to ½ an inch before it is necessary to remove it. So long as the filter is draining with sufficient rapidity this mat need not be removed, but if the bed shows signs of clogging, the only cleaning that may be necessary will be the rolling up of this dried mat. It 455is believed that the greater portion of the action in the filter occurs in the upper 5 to 8 inches of the bed, but occasionally the beds become so clogged that it is necessary to remove ¾ of an inch to 2 inches of sand in addition to the surface mat, or to loosen up the surface by shallow plowing or harrowing. The necessity for such treatment may indicate that the filter is being overloaded as a result of which the rate of filtration should be decreased or the preliminary treatment should be improved. The plowing of clogging material into the bed should be avoided as under these conditions the final condition of the bed will be worse than its condition when trouble was first observed.
In winter the surface of the bed should be plowed up into ridges and valleys. The freezing sewage forms a roof of ice which rests on the ridges and the subsequent applications of sewage find their way into the filter through the valleys under the ice. In a properly operated bed the filtering material will last indefinitely without change. If a filter is operated at too high a rate, however, although the quality of the effluent may be satisfactory, it will be necessary at some time to remove the sand and restore the filter.
The rate of filtration depends on the character of the influent, the desired quality of the effluent, and the depth and character of the filtering material. Filters can be found operating at rates of 50,000 gallons per acre per day and others at eight times this rate. For sewage which has had some preliminary treatment, the rate should not exceed 100,000 gallons per acre per day, whereas the rate for raw sewage should be less than this. For rough estimates made without tests of the sewage in question, the rate should not be taken at more than 1,000 persons per acre. If the preliminary treatment of the sewage has been thorough and the material of the sand filter is coarser than ordinary the rate of filtration can be high. For less careful preliminary treatment and fine filtering material the rates must be reduced. The sewage must undergo sufficient preliminary treatment to remove large particles of solid matter which would otherwise clog the dosing apparatus and the filter. This treatment should include grit removal, screening, and some form of tank treatment. Some plants have operated successfully with a stale sewage and no preliminary treatment, as at Brockton, Mass. Septic tank effluent can be treated successfully on an intermittent sand 456filter, but not so satisfactorily as the effluent from a tank delivering a fresh sewage.
The material of the filter should consist of clean, sharp, quartz or silica sand with an effective size[164] of 0.2 to 0.4 mm., preferably about 0.25 to 0.35 mm., and a uniformity coefficient[165] of 2 to 4. Within the limits mentioned no careful attention need be given to the size of the material. Natural sand found in place has been underdrained and used successfully for sewage treatment. The size of the sand is fixed by the rate of filtration rather than the bacteriological action of the filter. A coarse sand will permit the sewage to pass through the bed too rapidly, and a fine sand will hold it too long or will become clogged. The same size of material should be used throughout the bed, except that a layer of gravel from 6 to 12 inches thick, graded from very small sizes to stones just passing a 2–inch ring should be placed at the bottom to facilitate the drainage of the bed.
The thickness of the sand layer should not be less than 30 inches to insure complete treatment of the sewage. In shallower beds the sewage might trickle through without adequate treatment. Beds are ordinarily made from 30 to 36 inches deep, but when deeper layers of sand are found in place there is no set limit to the depth which may be used. The shape and overall dimensions of the bed should conform to the topography of the site and the rate of filtration adopted. A plan and cross-section of an intermittent sand filter showing the distribution and under drainage systems are given in Fig. 166 and 175.
The distribution system consists of a system of troughs on the surface of the filter, laid out in a branching form, as shown in the figure. The openings in the troughs should be so located that the maximum distance from any point on the bed to the nearest opening should not exceed 20 to 30 feet. If the filters are small enough, troughs need not be used, the sewage being distributed from one corner, or from mid-points on the sides. Where troughs are used they should be supported from 457the bottom of the filter in order to prevent uneven settling due to the washing of the sand. The openings in the troughs are made adjustable by swinging gates as shown in Fig. 176, or by other means so that after the filter is in operation the intensity of the dose on any portion of the filter can be changed. The troughs may be placed with their bottoms level with the surface of the sand and with sides of sufficient height to give the required gradient to the water surface, or they may be built up above the surface of the filter and given the required slope so that the surface of the flowing water is parallel to the bottom of the trough. In either case a splash plate should be placed at each opening, so that not less than 2 feet of the surface of the sand is protected in all directions from the opening. A stone or concrete slab 2 to 4 inches thick makes a satisfactory splash plate. Either wood or concrete may be used for the construction of the troughs. The former is less durable, but also less expensive in first cost. The capacity of the troughs may be computed by Kutter’s formula with the quantity to be carried equal to the maximum rate of discharge of the feeding siphon, with a reduction in size below each branch or outlet proportional to the amount which will be discharged above this point.
Fig. 175.—Plan and Section of an Intermittent Sand Filter Showing Central Location of Control House.
458The operation of automatic devices for dosing the bed is explained in Chapter XXI. The dosing tank should have a capacity sufficient to cover the bed to a depth of about 1 to 3 inches at one dose, and the siphon should discharge at a rate of about one second-foot for each 5,000 square feet of filter area. A dose should disappear within 20 minutes to half an hour after it is applied to the filter. With the rate stated and four applications per day to a depth of 1 inch at each dose, the rate per acre per day will be 109,000 gallons.
Fig. 176.—Distributing Trough with Adjustable Openings.
The filtration of sewage through sand in a manner similar to the rapid sand filtration of water is being attempted at the Great Lakes Naval Training Station. No results of this treatment have been published and the practical success of the method has not been assured.
259. Cost of Filtration.—Only comparative figures can be given in stating the costs of filtration, as most data available are based on pre-war conditions, and are therefore unreliable for present conditions. The variations from the figures given may be very large but in general the relative costs have not changed. The figures given in Table 90 are suggestive of the relative costs of the different forms of filtration.
| 459 | |||
| TABLE 90 | |||
|---|---|---|---|
| Relative Costs of Different Methods of Sewage Treatment | |||
| Costs in Dollars per Million Gallons per Day | |||
| Form of Treatment | First Cost[166] | Operation and Maintenance | Total |
| Coarse screens | 0.20 | ||
| Fine screens | 3.00 | ||
| Plain sedimentation | 7.00 | 3.00 | 10.00 |
| Chemical precipitation | 22.00[167] | ||
| Septic tank | 7.00 | 1.00 | 8.00 |
| Imhoff tank | 10.00 | 1.00 | 11.00 |
| Contact bed | 8.00 | 2.00 | 10.00 |
| Trickling filter | 4.00 | 2.00 | 6.00 |
| Intermittent sand filter | 15.00 | 10.00 | 25.00 |
| Activated sludge | 6.50 | 8.50 | 15.00[168] |
260. The Process.—Broad irrigation is the discharge of sewage upon the surface of the ground, from which a part of the sewage evaporates and through which the remainder percolates, ultimately to escape in surface drainage channels. Sewage farming is broad irrigation practiced with the object of raising crops. Broad irrigation can be accomplished successfully without the growing of crops, but it is seldom attempted as some return and sometimes even a profit can be obtained from the crops raised. Broad irrigation and sewage farming differ from intermittent sand filtration in the intensity of the application of the sewage, the method of preparing the area on which the sewage is to be treated, and the care in operation. In broad irrigation and intermittent sand filtration the paramount consideration is successful disposal of the sewage. In sewage farming the paramount consideration is the growing of crops. The growing of crops may be combined with irrigation and filtration, however, but the crop should be sacrificed to the successful disposal of the sewage.
460The change which occurs in the characteristics of the sewage due to its filtration through the ground is the same as occurs in aërobic filtration. The effect on the crops is mainly that of an irrigant, as the manurial value of the sewage is small.
261. Status.—The disposal of sewage by broad irrigation was practiced in England previous to the development of any of the more intensive biologic methods of treatment. It was considered the only safe and sanitary method for the disposal of sewage, and as a result, areas irrigated by sewage were common throughout England. Crops were grown on these areas as a minor consideration, and sewage farming gained some of its popularity from the apparent success of these disposal areas. The success of sewage farms is due more to generous irrigation in dry years than to fertilization by sewage.
The sewage farms of Paris and Berlin are frequently cited as examples of the successful and remunerative disposal of sewage by farming in connection with broad irrigation. Kinnicutt, Winslow, and Pratt[169] state:
The Berlin Sewage farms offer examples of broad irrigation under better conditions ... of 21,008 acres receiving sewage, 16,657 acres were farmed by the city, 3,956 acres were leased to farmers, and only 395 acres were unproductive. The contributing population at this time was 2,064,000 and the average amount of sewage treated was 77,000,000 gallons, giving a daily rate of treatment of about 3,700 gallons per acre of prepared land. The soil is sandy and of excellent quality. A quarter of the area operated by the authorities is devoted to pasturage, and about a third to the cultivation of cereals, of which winter rye and oats are the most important. Potatoes and beets are grown in considerable amounts and a wide variety of other crops in smaller proportions.... Even fish ponds are made to yield a part of the revenue, and the drains on some of the farms have been successfully stocked with breed trout.
The cost of the Berlin farms to March 31, 1910, was $17,470,000, somewhat more than half being the purchase price of the land. The expenses for this year amounted to $1,300,385 for maintenance, and $741,818 for interest charges. The receipts were $1,240,773 and there was an estimated increase of $122,593 in value of live stock and other property.
461The conditions at Berlin are quoted at length to indicate the success which can accompany broad irrigation, and as an example of what is being done abroad, where the rainfall is light and the soil is suitable.
In the United States success in sewage farming has not been marked. This may be due partially to the relative weakness of American sewages, to the cost of labor, to lack of satisfactory irrigation areas, and to inattention to details. An attempt was made to grow crops on the sand filters at Brockton, Mass., but it was finally abandoned as the interests of the crops and the successful treatment of the sewage could not both be satisfied. At Pullman, Illinois,[170] in 1880, there was commenced probably the most extensive attempt at sewage farming in eastern United States. The farm was a failure from the start, because of the clay soil, and it was subsequently abandoned. Sewage farming, mainly as a subsidiary consideration to the filtration of sewage, is practiced in a few cities in the eastern portion of the United States to-day. Among the cities mentioned by Metcalf and Eddy[171] are Danbury, Conn., and Fostoria, Ohio. In the western portion of the United States where water is scarce and the ground is porous, sewage has been used as an irrigant with some success. Such use of sewage cannot be considered as a method of treatment since the prime consideration is the growing of crops. In this process all sewage not used as an irrigant is discharged without treatment into water courses. According to Metcalf and Eddy there were 35 cities in California in 1914 that were operating sewage farms. Among these are Pasadena, Fresno, and Pomona. Other farms, notably the pioneer farm at Cheyenne, Wyo., have been abandoned because of the local nuisance created and the lack of financial success.
262. Preparation and Operation.—A porous sandy soil on a good slope and with good underdrainage is most suitable for broad irrigation. Impervious clay or gumbo soils are unsuitable and should not be used. They become clogged at the surface, forming pools of putrefying sewage, or in hot weather form cracks which may permit untreated sewage to escape into the underdrains.
The sewage may be distributed to the irrigated area in any 462one of five ways which are known as: flooding, surface irrigation, ridge and furrow irrigation, filtration, and subsurface irrigation. In flooding, sewage is applied to a level area surrounded by low dikes. The depth of the dose may be from 1 inch to 2 feet. In surface irrigation the sewage is allowed to overflow from a ditch over the surface of the ground into which it sinks or over which it flows into another ditch placed lower down. This ditch conducts it to a point of disposal or to another area requiring irrigation. Ridge and furrow irrigation consists in plowing a field into ridges and furrows and filling the furrows with sewage while crops are grown on or between the ridges. In filtration the sewage is distributed in any desired fashion on the surface and is collected by a system of underdrains after it has filtered through the soil. In subsurface irrigation the sewage is applied to the land through a system of open-joint pipes laid immediately below the surface, similarly to a system of underdrains. Combinations of and modifications to these methods are sometimes made. Underdrains may be used in connection with any of these forms of distribution.
The preparation of the ground consists in: the construction of ditches or dikes to permit of any of the above described methods of application, grading of the surface to prevent pooling, the laying of underdrains, and the grubbing and clearing of the land. The main carriers may be excavated in open earth or earth lined with an impervious material. The distribution of the sewage from the main carriers to groups of laterals may be controlled by hand-operated stop planks. If the soil has a tendency to become waterlogged it may be relieved by installing underdrains at depths of 3 to 6 feet, and 40 to 100 feet apart. The tile underdrains may discharge into open ditches excavated for the purpose which serve also to drain the land. Drains should be used where the ground water is within 4 feet of the surface, and the open ditches should be cut below the drains to keep the ground water out of them. Four or 6–inch open-joint farm tile may be used for underdrains. The porosity of the soil will be increased by cultivation. Where particular care is taken in the cultivation of the soil so that sewage can be applied at a high rate, broad irrigation merges into the more intensive intermittent filtration through sand.
Before being turned on to the land, sewage should be screened 463and heavy-settling particles should be removed. The rate of application may be increased as the intensity of the preliminary treatment is increased. The rate at which sewage may be applied is dependent also on the character of the soil, and may vary between 4,000 and 30,000 gallons per acre per day, although higher rates have been used with the effluent from treatment plants and on favorable soil. The sewage should be applied intermittently in doses, the time between doses varying between one day and two or three weeks or more, dependent on the weather and the condition of the soil. The methods of dosing vary as widely as the rates. The dose may be applied continuously for one or two weeks with correspondingly long rests, or it may be applied with frequent intermittency alternated with short rests, interspersed with long rest periods at longer intervals of time. When applying the sewage to the land the rate of application of the dose is about 10,000 to 150,000 gallons per acre per day. The area under irrigation at any one time may be as much as 10 to 15 acres. The rate of the application of the sewage is also dependent on the weather and may vary widely between seasons. It is obvious that a rain-soaked pasture cannot receive a large dose of sewage without danger of undue flooding. One of the principal difficulties with the treatment or disposal of sewage by broad irrigation is that the greatest load of sewage must be cared for in wet seasons when the ground is least able to absorb the additional moisture.
263. Sanitary Aspects.—A well-operated sewage farm should cause no offense to the eye or nose, and is not a danger to the public health. In Berlin, a portion of the sewage farms are laid out as city parks. The liquid in the drainage ditches or underdrains may be clear, odorless, and colorless, high in nitrates and non-putrescible. Where the farm has been improperly managed or overdosed the condition may be serious from both esthetic and health considerations. Sewage may be spread out to pollute the atmosphere and to supply breeding places for flying insects which will spread the filth for long distances surrounding the farm. The character of the crop is also a sanitary consideration.
264. The Crop.—From a sanitary viewpoint no crops which come in contact with the sewage should be cultivated on a sewage farm. Such products as lettuce, strawberries, asparagus, 464potatoes, radishes, etc., should not be grown. Grains, fruits, and nuts are grown successfully and as they do not come in contact with the sewage there is no sanitary objection to their cultivation in this manner. Italian rye grass and other forms of hay are grown with the best success as they will stand a large amount of water without injury. The raising of stock is also advisable for sewage farms where hay and grain are cultivated. The stock should be fed with the fodder raised on the irrigated lands and should not be allowed to graze on the crops during the time that they are being irrigated. This is due as much to the danger of injury to the distributing ditches and the formation of bogs by the trampling of the cattle, as to the danger to the health of the cattle.
265. The Process.—In the treatment of sewage by the activated sludge process the sewage enters an aëration tank after it has been screened and grit has been removed. As it enters the aëration tank it is mixed with about 30 per cent of its volume of activated sludge. The sewage passes through the aëration tank in about two to four hours during which time air is blown through it in finely divided bubbles. The effluent from the aëration tank passes to a sedimentation tank where it remains for one-half an hour to an hour to allow the sedimentation of the activated sludge. The supernatant liquid from the sedimentation tank is passed to the point of final disposal. A portion of the sludge removed from the tank is returned to the influent of the aëration tank. The remainder may be sent to any or all of the following: the sludge drying process, the reaëration tanks, or to some point for final disposal. Sections of the activated sludge plant at Houston, Texas, are shown in Fig. 177.
The biological changes in the process occur in the aëration tank. These changes are dependent on the aërobic organisms which are intensively cultivated in the activated sludge. When placed in intimate contact with fresh sewage, brought about by the agitation caused by the rising air, and in the presence of an abundance of oxygen, the organic matter is partially oxidized. The putrefactive stage of the organic cycle is avoided. Colloids and bacteria are partially removed probably by the agitation effected in the presence of activated sludge but the exact action which takes place is not well understood.
Fig. 177.—Activated Sludge Plant at Houston, Texas.
Eng. News, Vol. 77, p. 236.
266. Composition.—Activated sludge is the material obtained by agitating ordinary sewage with air until the sludge has assumed a flocculent appearance, will settle quickly, and contain aërobic and facultative bacteria in such numbers that similar characteristics can be readily imparted to ordinary sewage sludge when agitated with air in the presence of activated sludge. Copeland described activated sludge as follows:[172]
The sludge embodied in sewage and consisting of suspended organic solids, including those of a colloidal nature, when agitated with air for a sufficient period assumes a flocculent appearance very similar to small pieces of sponge. Aërobic and facultative bacteria gather in these flocculi in immense numbers—from 12 to 14 million per c.c.—some having been strained from the sewage and others developed by natural growth. Among the latter are species that have the power to decompose organic matter, especially of an albuminoid or nitrogenous nature, setting the nitrogen free; and others absorbing the nitrogen convert it into nitrites and nitrates. These biological processes require time, air, and favorable environment such as suitable temperature, 467food supply and sufficient agitation to distribute them throughout all parts of the sewage.
Ardern states that the sludge differs entirely from the usual tank sludge. It is inoffensive and flocculent in character. The percentage of moisture is from 95 to 99 per cent. American experience has generally been that the sludge does not readily separate from its moisture by treatment on fine-grain filters, but the results in England and at Milwaukee, Wisconsin, are in conflict with this general experience. Upon standing 24 hours or more partially dried activated sludge may start to decompose accompanied by the production of offensive odors.
Duckworth states:
The activated sludge at Salford contained three times as much nitrogen, twice as much phosphoric acid and one-half as much fatty matter as ordinary sludge.
| TABLE 91 | ||||||||||
|---|---|---|---|---|---|---|---|---|---|---|
| Composition of Sewage, Imhoff Sludge, and Activated Sludge and Effluent at Milwaukee | ||||||||||
| (W. R. Copeland, Eng. News, Vol. 76, p. 665) | ||||||||||
| Period of Test | Source of Sample | Parts per Million | ||||||||
| Suspended Matter | Nitrogen as | Nitrogen Reported as Ammonia on a Basis of Sludge Dried to 10 Per Cent Moisture. Three samples of Sludge | ||||||||
| Free Ammonia | Albuminoid Ammonia | Organic Nitrogen | Nitrites | Nitrates | ||||||
| Aug., 1915 | Sewage | 253 | 14.6 | 7.88 | 29 | 0.15 | 0.13 | |||
| Imhoff effluent | 105 | 16.2 | 6.10 | 27 | 0.19 | 0.13 | 2.87 | 3.82 | ||
| Activated sludge effluent | 14 | 3.8 | 3.19 | 6 | 0.29 | 6.00 | 5.71 | 4.97 | 7.04 | |
| Sept., 1915 | Sewage | 300 | 13.5 | 8.81 | 29 | 0.25 | 0.14 | |||
| Imhoff effluent | 116 | 15.4 | 7.10 | 27 | 0.12 | 0.09 | 3.88 | |||
| Activated sludge effluent | 8 | 5.7 | 2.22 | 9 | 0.24 | 5.01 | 8.69 | 9.00 | ||
These results have been roughly checked by American experimenters as shown in Table 91.[173] In the recovery of nitrogen from sewage the activated sludge process is the most promising for satisfactory results. In all other processes of sewage treatment 468the sludge is digested to some extent and nitrogen lost in the gases or in the soluble matter which passes off with the effluent. In the activated sludge process a negligible amount of gasification and liquefaction take place and only a small amount of nitrogen passes off with the effluent as compared with the loss from the Imhoff process as shown in Table 91. The percentage of nitrogen in dried activated sludge is shown in Table 92.
| TABLE 92 | |
|---|---|
| Nitrogen Content of Dry Activated Sludge and Sludge from Other Processes | |
| (G. W. Fuller, Eng. News, Vol. 76, p. 667) | |
| Source | Per Cent Nitrogen |
| Milwaukee (Copeland) | 4.40 |
| Manchester, England (Ardern) | 4.60 |
| Salford, England (Melling) | 3.75 |
| Urbana, Illinois (Bartow) | 3.5 to 6.4 |
| Armour and Co. (Noble) | 4.6 |
| Approximate range of all other processes | 1.0 to 3.0 |
| These figures are expressed in terms of nitrogen and not of ammonia. Nitrogen is only 82 per cent of the ammonia content. | |
Nitrifying bacteria and other species which have the power of destroying organic matter have been isolated from the sludge. An analysis of the dried sludge at Urbana[174] showed the following results after the weight had been reduced 95.5 per cent by drying: 6.3 per cent nitrogen, 4.00 per cent fat, 1.44 per cent phosphorus, and 75 per cent volatile matter or loss on ignition. Analyses of other domestic sewages have not shown such high contents of these desirable constituents.
The dewatering of activated sludge is a problem which offers serious obstacles to the successful operation of the process. It is its greatest disadvantage. Five to ten times the volume of sludge may be produced by the activated sludge process as by an Imhoff tank, and the activated sludge contains a greater percentage of water. According to Copeland:
469The best information now available points to a combination of settling and decantation as a preliminary dewatering process. By this means the water will be cut down from about 99 per cent to 96 per cent. On passing the concentrated residue through a pressure filter the moisture can be cut down to 75 per cent. The press cake can be dewatered in a heat drier to 10 per cent moisture or less.[175]
The quantity of sludge produced at Milwaukee[176] is about 15 cubic yards per million gallons of sewage, the sludge having about 98 per cent moisture. On the basis of 10 per cent moisture it produces ½ ton of dry sludge per million gallons of sewage treated. At Cleveland,[177] 20 cubic yards per million gallons at 97.5 per cent moisture are produced. Methods of drying sludge are discussed in Chapter XX.
Chemical analyses and biological tests indicate that the fertilizing value of the sludge is appreciable. Professor C. B. Lipman states, as the result of a series of tests in which a sludge and a soil were incubated for one month, as follows:[178]
The amounts of nitrates produced in one month’s incubation from the soil’s own nitrogen and from the nitrogen from the sludge mixed with the soil in the ratio of one part of sludge to 100 of soil is, in milligrams of nitrate, as follows: Anaheim soil without sludge 6.0, with sludge 10.0; Davis soil without sludge 4.2, with sludge 14.0; Oakley soil without sludge 2.2, with sludge 4.0.
The effect of the sludge on plant growth is shown in Table 93.[179] The results represent the growth obtained after fifteen weeks from the planting of 30 wheat seeds in each pot.
267. Advantages and Disadvantages.—Some of the advantages of the process are: a clear, sparkling, and non-putrescible effluent is obtained; the degree of nitrification is controllable within certain limits; the character of the effluent can be varied to accord with the quantity and character of the diluting water 470available; more than 90 per cent of the bacteria can be removed; the cost of installation is relatively low; and the sludge has some commercial value.
| TABLE 93 | ||||
|---|---|---|---|---|
| Fertilizing Value of Activated Sludge | ||||
| (E. Bartow, Journal Am. Water Works Ass’n, Vol. 3, p. 327) | ||||
| Cultivating Medium | Grams Contained in Experimental Pot | |||
| 1 | 2 | 3 | 4 | |
| White sand | 19,820 | 19,820 | 19,820 | 19,820 |
| Dolomite | 60 | 60 | 60 | 60 |
| Bone meal | 6 | 6 | 6 | 6 |
| Potassium sulphate | 3 | 3 | 3 | 3 |
| Activated sludge | 0 | 0 | 20 | 0 |
| Activated sludge extracted with Ligroin | 0 | 0 | 0 | 20 |
| Dried blood | 0 | 8.61 | 0 | 0 |
| Number of heads of wheat | 14 | 15 | 22 | 23 |
| Number of seeds | 85 | 189 | 491 | 518 |
| Weight of seeds, grams | 2.38 | 5.29 | 13.748 | 14.504 |
| Bushels per acre, calculated | 6.20 | 13.6 | 35.9 | 38.7 |
| Average length of stalk, inches | 19.40 | 23.0 | 35.4 | 37.1 |
| Weight of straw, grams | 2.25 | 8.25 | 26.75 | 26.21 |
| Tons per acre, calculated | 0.18 | 0.68 | 2.23 | 2.18 |
Among the disadvantages of the process can be included, uncertainty due to the lack of information concerning the results to be expected under all conditions, high cost of operation under certain conditions, the necessity for constant and skilled attendance, and the difficulty of dewatering the sludge.
268. Historical.—The most notable work in the aëration of sewage within recent years was that performed by Black and Phelps for the Metropolitan Sewerage Commission of New York, in 1910,[180] and by Clark and Gage at the Lawrence, Massachusetts, Sewage Experiment Station in 1912 and 1913.[181] The results of 471these investigations showed that the treatment of sewage by forced aëration might give a satisfactory effluent, but that the time and expense in connection thereto rendered the method impractical.
It remained for Messrs. Ardern and Lockett of Manchester, England, to introduce the process of the aëration of sewage in the presence of activated sludge, as a result of their connection with Dr. Fowler, who attributes his inspiration to his visit to the Lawrence Experiment Station and observing the work of Clark and Gage. Ardern and Lockett commenced their experiments in 1913. Their results were published in the Journal of the Society of Chemical Industry, May 30, 1914, Vol. 33, p. 523. Shortly thereafter experiments were started at the University of Illinois by Dr. Edw. Bartow and Mr. F. W. Mohlmann of the Illinois State Water Survey. At about the same time an experimental plant was started at Milwaukee, by T. C. Hatton, Chief Engineer of the Milwaukee Sewerage Commission. The United States Public Health Service became actively interested in December, 1914, and on February 20, 1915, announced its intention to co-operate with the Baltimore Sewerage Commission in the conduct of experiments. In May, 1915, patent number 1,139,024 was granted to Leslie C. Frank, Sanitary Engineer of the U. S. Public Health Service, covering certain features of the process. Mr. Frank generously donated this patent to the public for the use of municipalities.
The first full sized plant for the treatment of sewage by this method was erected in Milwaukee in December, 1915. This plant had a capacity of 1,600,000 gallons per day. It was used for experimental purposes and is not now in use. The Champaign, Illinois, septic tank, among the first of its kind in the country, was converted into an activated sludge tank on April 13, 1916. The changes, developments, and the results obtained from these and other plants have been reported in the technical press from time to time.
269. Aëration Tank.—The sewage on leaving the screen and grit chamber enters the aëration tank, which is usually operated on the continuous-flow principle, although in the early days of experimentation the fill and draw method was practiced. This tank should be rectangular with a depth of about 15 feet and a width of channel not to exceed 6 to 8 feet. Such proportions 472allow better air and current distribution than larger tanks. The bottom should be level to insure an even distribution of air. The velocity of flow of sewage through the tank is usually in the neighborhood of 5 feet per minute, dependent on the length of the tank and the period of retention. The period of retention is in turn dependent on the desired quality of the effluent. The process is flexible and the quality of the effluent can be changed by changing the period of retention or by changing the rate of application of the air, or both. The period of retention in the aëration tank is usually about 4 hours.
The bottom of the aëration tank is usually made of concrete arranged in ridges and valleys, or small shallow hoppers, at the bottom of which the air-diffusing devices are located, as shown in Fig. 177. The inlet and outlet devices are similar to those in a plain sedimentation tank.
270. Sedimentation Tank.—It is evident that as no sedimentation is permitted in the aëration tank, the settleable particles will be discharged in the effluent unless some provision is made for their detention. The effluent from the aëration tank is therefore run through a plain sedimentation tank, usually with a hopper bottom, which has been arranged to permit frequent and easy cleaning. An air lift or a centrifugal sludge pump is satisfactory for this purpose. Another type of sedimentation tank which has been used has a smooth bottom with a slight slope towards the center. A revolving scraper collects the sludge continuously, scraping it towards the center of the tank. Although this arrangement gives better results than the hopper-bottom tank, its expense has usually prevented its installation.[182]
The period of sedimentation in different plants varies from 30 minutes to one hour, although the longer periods usually give the better results. Approximately 65 per cent of the sludge will settle in the first 10 minutes, 80 per cent in the first 30 minutes, and about 5 per cent more in the next half hour.
The effluent from the sedimentation tank is ready for final disposal or if desired, for further treatment by some other method. The sludge, or a portion of it, is pumped back into the influent of the aëration tank, provided the sludge is in a satisfactory state of nitrification. Otherwise it should be pumped 473to the reaëration tanks. The remainder of the sludge which is not to be used in the process is ready for drying and final disposal.
271. Reaëration Tank.—The purpose of the reaëration or sludge aëration tank is to reactivate the sludge which has gone through the aëration tank. During the process of the aëration of the sewage in the aëration tank the activated sludge may lose some of its qualities because of the deficiency of oxygen to maintain aërobic conditions. By blowing air through the sludge in the reaëration tank these properties are returned and the sludge made available to be pumped back into the aëration tank. The reactivation of the sludge obviates the necessity for supplying sufficient air to the entire mass of the sewage to maintain aërobic conditions, and results in an economy in the use of air. The use of mechanical agitators has also been attempted both in the reaëration and the aëration tanks with the expectation of saving in the use of air, but with indifferent success.
It is difficult to say, without experimentation, what the size of the reaëration tank should be, as the necessary amount or reactivation is uncertain. In the experimental plant at Milwaukee, there were eight units of aëration tanks, one sedimentation tank, and two reaëration tanks, all of the same capacity and general design. This represents a ration of about one reaëration tank to four aëration tanks.
272. Air Distribution.—Air is applied to the sewage at the bottom of the aëration tank at a pressure in the neighborhood of 5.5 to 6.0 pounds per square inch, dependent on the depth of the sewage, the loss of head through the distributing pipes, and the rate of application. In different experimental plants the pressure has varied from 3 to 30 pounds per square inch. Such pressures are on the line which divides the use of direct blowers for low pressures from turbo and reciprocating pressure machines for pressures above 10 pounds per square inch. Positive-pressure blowers or direct blowers operate on the principle of a centrifugal pump and because of the lighter specific gravity of air they rotate at a very high speed. The Nash Hytor Turbo Blower consists of a rotor with a large number of long teeth slightly bent in the direction of rotation. The rotor, which has a circular circumference, revolves in an elliptical casing. At the commencement of operation the rotor and casing are partially 474filled with water. The revolution of the rotor throws the water to the outside of the elliptical casing thus forming a partial vacuum between any two teeth as the water is thrown from near the center of the short diameter of the casing to the extremity of the long diameter of the casing. Air is allowed to enter through the inlet port to relieve the vacuum. As the teeth pass from the long diameter to the short diameter of the ellipse, the water again approaches the center of the rotor compressing the air trapped between the teeth and forcing it out under pressure into the exhaust pipe. Among the advantages of this compressor are the washing of the air, cooling, and ease in operation. Reciprocating air compressors operate similarly to direct-acting steam pumps or crank-and-fly-wheel pumps but at much higher speeds, and they require more floor space than either of the other types. Fig. 178 shows the field of serviceability of various types of air compression machinery.
Fig. 178.—Economic Range of Air Compressors.
From Eng. News, Vol. 74, p. 906.
For pressures up to about 10 pounds per square inch the positive blower seems most desirable. It has a low first cost and a relatively high efficiency of about 75 to 80 per cent of the power input. No oil or dirt is added to the air to clog the distributing plates, as in the reciprocating machine. A disadvantage is the difficulty of varying the pressure or quantity of the output of the machine. As the required pressure and volume of air increases the turbo blower becomes more and more desirable within the limits of pressure which are ordinarily used in this process. For small installations the best form of power is probably the electric drive, but when the capacity becomes such as to make turbo blowers advisable they should be driven by directly connected steam turbines.
475The quantity of air required varies between 0.5 to 6.0 cubic feet per gallon of sewage, with from 3 to 6 hours of aëration. The quantity of air depends on the degree of treatment required, the strength of the sewage, the depth of the tank, and the period of aëration. The deeper the tank the less the amount of air needed because of the greater travel of the bubble in passing through the sewage, but the higher the pressure at which the air must be delivered. Shallow tanks usually require a longer period of retention. The depth of the tank then has very little to do with economy in the use of air. Hatton states:[183]
The purification of sewage obtained varies decidedly with the volume of air applied. Small volumes applied for 5 or 6 hours do as well as larger volumes applied for 3 or 4 hours, but the time of aëration required to obtain a like effluent does not vary directly with the volume of air applied per unit of time. For instance air applied at a rate of 2 cubic feet per minute purifies the sewage in less time than one cubic foot of air per minute, but will not accomplish an equal degree of purification in half the time.
It has been found that although a low temperature has a deleterious effect on the process, by the use of an additional quantity of air good results can be maintained. The effect of changing the quantity of air and the period of aëration are shown in Table 94 taken from Hatton.
The velocity of the air in the pipes should be about 1,000 feet per minute. There should be relatively few sharp turns in the line, and the distributing mains should be arranged without dead ends. It is desirable to use as little piping as possible and at the same time to make the travel of the sewage long in order to maintain a non-settling velocity and intimate contact with the air. The piping should be accessible and well provided with valves. It should be non-corrodible, particularly on the inside, as flakes of rust will quickly clog the air diffusers. It should drain to one point in order that it can be emptied when flooded, as occasionally happens.
| TABLE 94 | |||||||||||
|---|---|---|---|---|---|---|---|---|---|---|---|
| Effect of Various Rates and Periods of Application of Air on the Results Obtained from the Treatment of Sewage by the Activated Sludge Process | |||||||||||
| (Milwaukee Results) | |||||||||||
| Time of Aëration, Hours | Cubic Feet Free Air Per Minute | Cubic Feet Air per Gallon of Sewage | Appearance of Settled Liquid | Per Cent Removal Bacteria | Parts per Million | Stability, Hours | |||||
| Nitrogen as | Dissolved Oxygen | Suspended Matter | |||||||||
| Free Ammonia | Nitrites | Nitrates | Organic | ||||||||
| 0 | 0 | 0.0 | Turbid | 0 | 22 | 0.08 | 0.08 | 0.00 | 000 | ||
| 1 | 160 | 0.67 | Clear | 52 | 17 | 0.00 | 0.04 | 0.30 | 2 | ||
| 2 | 160 | 1.32 | Clear | 81 | 15 | 0.95 | 0.70 | 1.90 | 33 | ||
| 3 | 160 | 1.98 | Clear | 92 | 11 | 1.75 | 2.80 | 4.30 | 120 | ||
| 4 | 160 | 2.64 | Clear | 94 | 7 | 2.20 | 5.60 | 5.90 | 120 | ||
| 5 | 160 | 3.31 | Clear | 98 | 5 | 2.50 | 8.20 | 6.70 | 120 | ||
| 2.5 | 90 | 1.07 | 92 | 11 | 0.05 | 2.00 | 69 | ||||
| 3 | 90 | 1.28 | 96 | 9.9 | 0.12 | 2.9 | 95 | ||||
| 4 | 90 | 1.71 | 98 | 1.8 | 0.14 | 5.2 | 120 | ||||
| 4 | 80 | 1.82 | 97.7 | 1.95 | 0.08 | 8.5 | 120 | ||||
| 4 | 70 | 1.60 | 99.6 | 5.79 | 0.14 | 9.0 | 120 | ||||
| 4 | 46 | 1.67 | 88.3 | 7.90 | 0.02 | 2.0 | 61 | ||||
| 4 | 105 | 1.75 | 92.7 | 4.86 | 0.36 | 4.9 | 120 | ||||
| 3 | 140 | 1.75 | 91.2 | 9.39 | 0.60 | 3.0 | 120 | ||||
| 2.5 | 168 | 1.74 | 96.7 | 11.2 | 0.36 | 1.1 | 84 | ||||
| 1.80 | 98.1 | 8.5 | 4 | 11 | 120 | ||||||
| 1.53 | 99 | 5.79 | 9.0 | 8 | 9 | 120 | |||||
| 1.12 | 91 | 10.1 | 2.3 | 14 | 42 | 73 | |||||
| TABLE 95 | ||||||
|---|---|---|---|---|---|---|
| Comparative Results from the Aëration of Sewage in the Presence of Activated Sludge with the Use of Different Distributing Media | ||||||
| (T. C. Hatton, Eng. Record, Vol. 73, p. 255) | ||||||
| Diffusers | Months in 1915 | Pounds per Square Inch | Air, Cubic Feet per Gallon | Per Cent Bacteria Removed | Nitrates, Parts per Million | Stability Effluent in Hours |
| Filtros plate | June 1 to Aug. 15 | 4.3 | 2.06 | 91 | 3.4 | 78 |
| Air jet | June 1 to Aug. 15 | 3.5 | 1.94 | 91 | 2.2 | 52 |
| Filtros plate | Nov. 18 to Dec. 7 | 4.6 | 1.71 | 90 | 0.3 | 113 |
| Monel metal | Nov. 18 to Dec. 7 | 3.0 | 1.71 | 80 | 0.2 | 63 |
It is desirable to diffuse the air in small bubbles as by this
means the greatest efficiency seems to be obtained from the
amount of air added. A diameter 1
16 to ⅛ of an inch is approximately the maximum limit for the size of an effective bubble.
Monel metal cloth, porous wood blocks, open jets, paddles, and
other forms of diffusers have been tried, but none have given
the satisfaction of the filtros plate. The relative value of different
types of diffusers is shown in Table 95 taken from Hatton.[184]
The Filtros plates are a proprietary article manufactured by
the General Filtration Company of Rochester, N. Y. They
are made of a quartz sand firmly cemented together and can be
obtained with practically any degree of porosity, size of pore
opening or dimension of plate, but they are made in a standard
size 12 inches square by 1½ inches thick. The frictional loss
through the plate is not very great for the amount of air ordinarily
used. The plates are classified in accordance with the
volume of air which will pass through them, when dry, per
minute when under a pressure of 2 inches of water. These
classes run from ½ to 12 cubic feet of air per minute. The type
usually specified passes about 2 cubic feet of air per minute.
The loss of head through these plates as tested at Milwaukee
showed an initial loss of ¾ of a pound and an additional loss
of about ¼ of a pound for every cubic foot of air per minute per
square foot of surface. It is necessary to screen and wash the
air before blowing it through the filtros plate as ordinary air
is so filled with dirt as to clog the pores of the diffuser quite
rapidly.
478The area of filtros plates required in the bottom of the tank is usually expressed in terms of the free surface of the tank or as a ratio thereto. In the Urbana tests the best ratio was found to be less than 1 : 3 and more than 1 : 9. In Milwaukee[185] the ratio adopted is in the neighborhood of 1 : 4 or 1 : 5. At Fort Worth the ratio will be about 1 : 7 and at Chicago it will be 1 : 8. The exact ratio should be determined by experiment and will depend on the construction of the tank and the character of the raw sewage and the desired effluent. It is essential that the filtros plates be placed level and at the same elevation as otherwise the distribution of air will be uneven.
273. Obtaining Activated Sludge.—After a plant is once started activated sludge is generated during the process of treatment and with careful management a stock of activated sludge can be kept on hand. When a plant is new, or if shut down for such a length of time that the sludge loses its activation, it is necessary to activate some new sludge. This is done by blowing air continuously through sewage either on the fill and draw method with periodic decantations of the supernatant liquid, or by the continuous-flow process, but more preferably by the latter. Where activated sludge is to be obtained from fresh sewage alone the time required is in the neighborhood of 10 to 14 days, and purification begins at the start. An estimate of the quantity which will be obtained can not be made with accuracy. After the initial quantity of sludge has been obtained activated sludge can be maintained during the process of aëration of the raw sewage, or by means of the reaëration tanks previously described.
The volume of activated sludge present in the aëration tank should be about 25 per cent of the volume of the tank. The volume of the sludge is measured in a somewhat arbitrary manner as the amount by volume which will settle in 30 minutes in an ordinary test tube. It is found that this is almost 90 per cent of the solids settling in 4 to 6 hours.
274. Cost.—The available information on the cost of the activated sludge process is meager and unreliable. The factors entering into the cost are: the price of fuel, the size of the plant, the period of sedimentation, the amount of air per gallon of sewage, the air pressure, and the percentage of sludge to be aërated in the 479mixture. In Milwaukee[186] the cost of construction is estimated at $44,000 per million gallons, and $4.75 per million gallons for operation. At Houston, Texas, the cost is estimated at $24,000 per million gallons, exclusive of the sludge drying plant, which may cost $40,000 per million gallons. At Milwaukee, the cost of pressing the sludge is $4.82 per dry ton and of drying is $3.93 per dry ton. The sludge may be sold at the normal rate of $2.50 per unit of nitrogen. Based on the normal value the evident profit will be $3.75 per ton. The net cost of disposing of Milwaukee sewage is estimated at $9.64 per million gallons of which $4.89 is chargeable to overhead and $4.75 to repairs, operation and renewal. In a comparison of the costs of activated sludge and Imhoff tanks with sprinkling filters,[187] the information given by Eddy has been summarized in Table 96. In comparing the relative areas required for different methods of sewage treatment, activated sludge should be allowed about 15 million gallons per acre per day on the basis of aëration tanks 15 feet deep. This figure represents approximately the gross area of the plants at Milwaukee and at Cleveland.
| TABLE 96 | ||||
|---|---|---|---|---|
| Comparative Costs of Activated Sludge, and of Imhoff Tanks Followed by Sprinkling Filters | ||||
| (H. P. Eddy, Eng. Record, Vol. 74, p. 557) | ||||
| Process | First Cost per Million Gallons, Dollars | Operation per Million Gallons, Dollars | Total Annual Cost at 4 Per Cent with Sinking Fund at 2.5 Per Cent per | |
| Million Gallons, Dollars | Capita, Dollars | |||
| Activated sludge | 57,100 | 20.00 | 29.85 | 1.09 |
| Imhoff tank and sprinkling filter | 78,500 | 8.50 | 21.84 | 0.80 |
The following abbreviations will be used: A.S. for Activated Sludge, E.C. for Engineering and Contracting, E.N. for Engineering News, E.R. for Engineering Record, E.N.R. for Engineering News-Record, p. for page, and V. for volume.
275. The Miles Acid Process.—The Miles Acid Process for the treatment of sewage was devised and patented by G. W. Miles. It was tried experimentally at the Calf Pasture sewage pumping station, Boston, Mass., 1911 to 1914. In 1916 it was tried experimentally at the Massachusetts Institute of Technology, and it has been tested subsequently at other places, notably at New Haven, Conn., in 1917 and 1918. It is one of the most recent developments in sewage treatment and no extensive experience has been had with it. The process consists in the acidification of sewage with sulphuric or sulphurous acid, as the result of which the suspended matter and grease are precipitated and bacteria are removed. The equipment required for the process consists of devices for the production of sulphur dioxide (SO2), and for feeding niter cake or other forms of acid; subsiding basins; sludge-handling apparatus; sludge driers; grease extractors; grease stills; and tankage driers and grinders.
The first step is the acidification of the sewage. The period of contact with the acid is about 4 hours. Sulphurous acid seems to give better results than sulphuric because of the ease in which it can be manufactured on the spot. It seems also to be more virulent in attacking bacteria than an equal strength of sulphuric acid. In experimental plants the acidulation has been accomplished in different ways such as: by the addition of compressed sulphur dioxide from tanks; by the addition of sulphur dioxide made from burning sulphur; or by the roasting of iron pyrite (FeS2). The acidulation precipitates most of the grease as well as the suspended matter and results in a sludge which gives some promise of commercial value. In referring to the process R. S. Weston states:[188]
483(1) It disinfects the sewage by reducing the numbers of bacteria from millions to hundreds per c.c.
(2) If the drying of the sludge and the extraction of the grease can be accomplished economically, it is possible that a large part, if not all, of the cost of the acid treatment may be met by the sale of the grease and fertilizer recovered from the sewage.
(3) The use of so strong a deodorizer and disinfectant as sulphur dioxide would prevent the usual nuisances of treatment works.
(4) The addition of sulphur dioxide to the sewage also avoids any fly nuisance, which is a handicap to the operation of Imhoff tanks and trickling filters.
The amount of acid used varies with the quality of the sewage and the desired character of the effluent. At Bradford, England,[189] 5,500 pounds of sulphuric acid are used per million gallons, producing about 2,340 pounds of grease or 0.43 pound of grease per pound of sulphuric acid. At Boston only 0.215 pound of grease were produced per pound of sulphuric acid. The difference is probably due to the great difference in the amount of grease in the raw sewage. In the East Street sewer at New Haven, Conn.,[190] only 700 pounds of acid are used per million gallons of sewage as the alkalinity is only 50 p.p.m. This amount of acid secures an acidity of 50 p.p.m. whereas in the Boulevard sewer 1,130 pounds of acid had to be added to produce the same result. The results obtained by the experiments conducted by the Massachusetts State Board of Health in 1917 are shown in Table 97. The character of the sludge from the same tests is shown in Table 98. After acidification[191] the sewage contains bisulphites and some free sulphurous acid, with some lime and magnesium soaps which are attacked by the acid liberating the free fatty acids. Part of the bisulphites and sulphurous acid are oxidized to bisulphates and sulphuric acid. It was found as a result of the New Haven[191] experiments that the presence of sulphur dioxide in the effluent caused an abnormal oxygen demand from the diluting water and that this difficulty could be partly overcome by the aëration of the effluent after acidulation and sedimentation, without prohibitory expense. The effluent and sludge are both stable for appreciable periods of time and are suitable for disposal by dilution. The character of the 484sludge as determined by the New Haven tests[192] is shown in Table 99.
| TABLE 97 | |||||||||
|---|---|---|---|---|---|---|---|---|---|
| Average Analysis of Sewage Entering Boston Harbor, before and after Treatment, July 17 to September 27, 1917 | |||||||||
| (Eng. News-Record, Vol. 80, p. 319) | |||||||||
| Sample | Parts per Million | Bacteria, Millions | |||||||
| Ammonia | Kjeldahl Nitrogen | Chlorine | Oxygen Consumed | ||||||
| Free | Albuminoid | ||||||||
| Total | Total | Diss. | Total | Diss. | 20° | 37° | |||
| Paddock’s Island | |||||||||
| Raw sewage | 14.0 | 3.3 | 1.8 | 6.8 | 3.6 | 134 | 23.1 | 1.86 | 4.15 |
| Settled Sewage | 12.2 | 1.6 | 1.1 | 3.5 | 2.2 | 15.4 | |||
| Acidified and settled sewage | 20.9 | 5.2 | 3.9 | 10.0 | 7.5 | units 94 | units 91 | ||
| Deer Island | |||||||||
| Raw sewage | 23.3 | 8.2 | 4.8 | 16.8 | 8.9 | 3100 | 87.3 | 2.63 | 1.50 |
| Settled sewage | 21.1 | 5.6 | 3.9 | 10.7 | 7.3 | 62.2 | |||
| Acidified and settled sewage | 20.9 | 5.2 | 3.9 | 10.0 | 7.5 | units 147 | units 85 | ||
| Calf Pasture | |||||||||
| Raw sewage | 18.0 | 4.5 | 2.0 | 9.7 | 4.1 | 3254 | 41.2 | 1.89 | 0.98 |
| Settled sewage | 19.1 | 2.3 | 1.4 | 4.9 | 3.3 | 25.8 | |||
| Acidified and settled sewage | 17.8 | 2.4 | 1.6 | 4.9 | 3.3 | units 277 | units 149 | ||
The success of the Miles Acid Process in comparison with other processes is dependent on the commercial value of the sludge produced. The New Haven experiments indicate that 16 to 21 per cent of the grease in the sludge is unsaponifiable and seriously impairs the value of the process.
| 485 | ||||||
| TABLE 98 | ||||||
|---|---|---|---|---|---|---|
| Average Amount of Sludge and Fats Obtained from Sewage Entering Boston Harbor after Eighteen Hours Sedimentation With and Without Acidification | ||||||
| (Eng. News-Record, Vol. 80, p. 319) | ||||||
| Paddock’s Island | Deer Island | Calf Pasture | ||||
| Sedimentation | Sedimentation | Sedimentation | ||||
| Plain | Acidulated | Plain | Acidulated | Plain | Acidulated | |
| Pounds of SO2 used per million gallons of sewage treated | 818 | 1513 | 1189 | |||
| Dry sludge per million gallons | 782 | 959 | 1709 | 1939 | 1208 | 1427 |
| Per cent Nitrogen in sludge | 3.10 | 3.38 | 3.57 | 3.45 | 3.18 | 2.83 |
| Per cent fats in sludge | 27.30 | 27.30 | 24.60 | 19.40 | 24.30 | 26.30 |
| TABLE 99 | |||||
|---|---|---|---|---|---|
| Character of Miles Acid Sludge at New Haven | |||||
| (Eng. News-Record, Vol. 81, p. 1034) | |||||
| East Street Sewer | Boulevard Sewer | ||||
| Length of run in days | 25 | 24 | 44 | 70 | 29 |
| Total sewage treated, thousand gallons | 260 | 239.4 | 407.8 | 602.2 | 145.5 |
| Gallons wet sludge per million gallons sewage | 3750 | 4025 | 3200 | 2600 | 5375 |
| Specific gravity | 1.067 | 1.048 | 1.054 | 1.061 | |
| Per cent moisture | 86.6 | 88 | 86.3 | 85.7 | 92.5 |
| Pounds of dry sludge per million gallons sewage | 503 | 483 | 439 | 368 | 403 |
| Ether extract, per cent dry sludge | 23.7 | 24.0 | 29 | 32.6 | 30.9 |
| Ether extract, pounds per million gallons | 119 | 116 | 127 | 120 | 124 |
| Volatile matter, per cent dry sludge | 47.2 | 51.2 | 57.3 | 63.8 | 78.5 |
| Nitrogen, per cent dry sludge | 1.6 | 1.6 | 2.4 | 2.0 | 3.0 |
486The conclusions reached as a result of the New Haven experiments are:[193]
Our experience with New Haven sewage lends no color to the hope that a net financial profit can be obtained by the use of the Miles Acid Process, except with sewage of exceptionally high grease content and low alkalinity. They do, however, suggest that for communities where clarification and disinfection are desirable—where screening would be insufficient and nitrification unnecessary—the process of acid treatment comes fairly into competition with the other processes of tank treatment, and that it is particularly suited to dealing with sewages that contain industrial wastes, and to use in localities where local nuisances must be avoided at all costs and where sludge disposal could be provided for only with difficulty.
The conclusions reached as a result of the Chicago experiments are:[194]
The results on hand indicate that treatment of this sewage with acid results in a somewhat greater retention of fat. An apparent reduction in the oxygen demand over that resulting from plain sedimentation, while remarkable, is probably not real, being simply due to a retardation of decomposition by the sterilization of the bacteria present, the organic matter being left in solution.... However, there appears the added cost of acid treatment and the cost of recovery of the grease, as well as the uncertainty of the price to be received for the grease recovered.
The cost of the treatment is estimated by Dorr to be $18 per million gallons, and the value of the sludge obtained from the Boston sewage as $24 per million gallons, giving a net margin of profit of $6 per million gallons. At New Haven, the total return is estimated at $7.09 per million gallons. Based on the production of sulphur dioxide by burning sulphur (assumed to cost $36 per long ton) and on drying from 85 per cent to 10 per cent moisture with coal assumed to cost $7.50 per ton, it appears that the acid treatment of sewage should be materially cheaper than either the Imhoff treatment or fine screening under the local conditions. A comparison of the cost of the treatment of the East Street and the Boulevard sewage at New Haven 487and the Calf Pasture sewage in Boston is given in Table 100. The cost of construction was estimated by Dorr and Weston in 1919 as greater than $15,000 per million gallons of sewage per day capacity.
| TABLE 100 | ||||||||
|---|---|---|---|---|---|---|---|---|
| Estimated Cost of Sewage Treatment at New Haven and Boston by Three Different Processes | ||||||||
| Cost in Dollars per Million Gallons Treated | ||||||||
| (Engineering and Contracting, Vol. 51, p. 510) | ||||||||
| Miles Acid Process | Imhoff Tank and Chlorination | Fine Screens and Chlorination | ||||||
| East Street | Boulevard | Calf Pasture | East Street | Boulevard | Calf Pasture | East Street | Boulevard | |
| Tanks and Buildings Int. and Dep. | 2.47 | 2.47 | 2.47 | 5.28 | 4.44 | 4.60 | 4.60 | |
| Acid treatment | 6.93 | 10.74 | 18.65 | |||||
| Drying sludge | 2.09 | 2.04 | 10.34 | |||||
| Degreasing sludge | 1.78 | 1.91 | 9.12 | |||||
| Superintendence | 1.06 | 2.65 | 1.06 | 0.46 | 1.15 | 0.47 | 1.15 | |
| Labor on tanks and screens | 1.00 | 1.00 | 1.00 | 1.20 | 1.50 | 1.42 | 2.05 | |
| Disposal of sludge or screenings | 1.00 | 1.00 | 0.50 | 0.50 | ||||
| Chlorination | 4.05 | 4.05 | 4.05 | 4.05 | ||||
| Gross cost | 15.50 | 20.98 | 42.75 | 11.99 | 12.14 | 11.03 | 12.35 | |
| Revenue | 6.57 | 10.66 | 47.59 | |||||
| Net cost | 8.93 | 10.32 | 4.84 | 11.99 | 12.14 | 11.03 | 12.35 | |
276. The Process.—This process has been generally unsuccessful in the treatment of sewage and has grown into disrepute. In the words of the editor of the Engineering News-Record:[195]
Thirty years of experiments and demonstrations with only a few small working plants built and most of them abandoned—such in epitome is the record of the electrolytic process of sewage treatment.
It is probably true that the process has never received a thorough and exhaustive test on a large scale, but the small-scale tests have 488not been promising of good results. Among the most extensive tests have been those at Elmhurst, Long Island,[196] Decatur, Ill.,[197] and Easton, Pa.[198]
Whatever degree of popularity the method has possessed has been due possibly to the mystery and romance of “electricity” and to the personality of its promoters. The process should, nevertheless, be understood by the engineer in order that it may be explained satisfactorily to the layman interested in its adoption.
In this process, sometimes called the direct-oxidation process, all grit is removed and the sewage is passed through fine screens before entering the electrolytic tank. In the electrolytic tank the sewage passes in thin sheets between electrodes and an electric current is discharged through it. A recent development has been the addition of lime to the sewage at some point in its passage through the electrolytic tank. From the electrolytic tank the sewage flows to a sedimentation tank, where sludge is accumulated, and from which the liquid effluent is finally disposed of.
It is claimed that the action of the electricity electrolyzes the sewage, releasing chlorine, which acts as a powerful disinfectant. The constituents of the sewage are oxidized so that the dissolved oxygen, nitrates, and relative stability are increased and the sludge is rendered non-putrescible. It is said that the addition of lime increases the efficiency of sedimentation and enhances the effect of the electric current. The results obtained by tests at Easton, Pa., are shown in Table 101. It will be observed from this table that the combination of lime and electricity does not have a more beneficial effect than either one of them alone. The amount of sludge produced by the combination is about the same as by chemical precipitation alone, but the character of the sludge produced with electricity is less putrescible. The cost of the treatment as estimated at Elmhurst is shown in Table 102.
As a result of the tests at Decatur, comparing lime alone with lime and electricity together, Dr. Ed. Bartow stated:
The purification by treatment with lime alone was greater than that obtained in several of the individual samples treated with lime and electricity.
| 489 | ||||||
| TABLE 101 | ||||||
|---|---|---|---|---|---|---|
| Comparative Results Obtained from the Treatment of Sewage by Lime Alone, Electricity Alone, and Lime and Electricity Combined | ||||||
| (Creighton and Franklin, Journal of the Franklin Institute, August, 1919) | ||||||
| Lime and Electricity | Lime Alone | Electricity Alone | ||||
| Change, Parts per Million | Change, Per Cent | Change, Parts per Million | Change, Per Cent | Change, Parts per Million | Change, Per Cent | |
| Chlorine | +1.2 | +1.9 | +12.3 | +18.2 | +1.6 | +2.2 |
| Nitrites | +0.014 | +58.3 | -.005 | –10.0 | –0.01 | –20.0 |
| Nitrates | +0.13 | +23.6 | +.005 | +0.8 | –0.15 | –20.0 |
| Ammonia | –3.3 | –18.3 | +0.2 | +1.3 | +0.9 | +6.6 |
| Albuminoid ammonia | –3.6 | –12.1 | –0.4 | –1.7 | –0.5 | –2.3 |
| Oxygen demand | –13.0 | –20.5 | –7.7 | –8.9 | –6.5 | –10.0 |
| Dissolved oxygen | +1.78 | +40.9 | –0.93 | –19.1 | +1.61 | +40.1 |
| Total bacteria at 37° (Thousands) | –343 | –92.7 | –373 | –82.4 | –165 | –37.8 |
| Total bacteria at 20° (Thousands) | –688 | –92.7 | –1074 | –90.1 | –635 | –70.0 |
| B. Coli (Thousands) | –77.9 | –99.85 | –96.3 | –92.3 | –45 | –81.8 |
| Oxygen absorbed in 5 days | –3.40 | –81.6 | –1.03 | –21. | +1.24 | +31 |
277. Disinfection of Sewage.—Sewage is disinfected in order to protect public water supplies, shell fish, and bathing beaches; to prevent the spread of disease; to keep down odors, and to delay putrefaction. Disinfection is the treatment of sewage by which the number of bacteria is greatly reduced. Sterilization is the destruction of all bacterial life, including spores. Ordinarily even the most destructive agents do not accomplish complete sterilization. Chlorine and its compounds are practically the only substances used for the disinfection of sewage. The lime used in chemical precipitation, the acid used in the Miles 490Acid Process, the aëration in the activated sludge process, all serve to disinfect sewage, but are not used primarily for that purpose. Copper sulphate has been used as an algaecide but never on a large scale as a bactericide.[199] Heat has been suggested, but its high cost has prevented its practical application to the disinfection of sewage.
| TABLE 102 | |||
|---|---|---|---|
| Cost of Electrolytic Treatment, Elmhurst, Long Island, and Easton, Pennsylvania | |||
| Item | One Million Gallon | Three Million Gallon | |
| unit at Easton, Dollars | unit at Elmhurst, Dollars | unit at Elmhurst, Dollars | |
| Hydrated lime: Elmhurst, 1300 pounds at $7.90 ton. Easton, 3720 pounds at $6.75 ton. |
12.56 | 5.14 | 15.42 |
| Electric power electrolysis: Elmhurst, 85 kw-h. at 4 cents Easton, 6.25 kw-h. at 8.05 cents |
4.19 | 3.40 | 9.60 |
| Electric power, light and agitation: Elmhurst, 60 kw-h. at 4 cents Easton, 6.25 kw-h at 8.05 cents |
0.50 | 2.40 | 7.20 |
| Heating | 1.25 | ||
| Labor and supervision | 15.00 | 12.50 | 15.00 |
| Maintenance, repairs and supplies | 1.50 | 1.00 | 3.00 |
| Sludge pressing and removal | 5.11 | 15.33 | |
| Total | 35.00 | 29.55 | 65.55 |
| Cost per million gallons | 35.00 | 29.55 | 21.85 |
The action which takes place on the addition to sewage of chlorine or its compounds is not well understood. The idea that the bacteria are burned up with “nascent” or freshly born oxygen, has been exploded.[200] Likewise the idea that the toxic properties of chlorine have no effect has not been borne out by 491experiments. It has been demonstrated, particularly by tests on strong tannery wastes, that the action of chlorine gas is more effective than the application of the same amount of chlorine in the form of hypochlorite. All that we are certain of at present is that the greater the amount of chlorine added under the same conditions, the greater the bactericidal effect.
Chlorine is applied either in the form of a bleaching powder or a gas. In ordinary commercial bleach (calcium hypochlorite) the available chlorine is about 35 to 40 per cent by weight. In order to add one part per million of available chlorine to sewage it is necessary to add about 25 pounds of bleaching powder or 8½ pounds of liquid chlorine per million gallons of sewage. This can be computed as follows:
The molecular weight of calcium hypochlorite is 127.0. This reacts to produce two atoms of available chlorine with a molecular weight of 70.9. If the bleaching powder were pure the available chlorine would therefore represent 70.9 ÷ 127, or 56 per cent of its weight. Then to obtain one pound of chlorine it would be necessary to have 1.79 pounds of pure bleaching powder. Since 1,000,000 gallons of water weigh approximately 8,300,000 pounds, in order to apply one part per million of chlorine to 1,000,000 gallons of sewage it is necessary to apply 1.79 × 8.3 or 14.9 pounds of pure bleaching powder. Commercial bleaching powder is only about 60 per cent calcium hypochlorite. It is therefore necessary to add 14.9 ÷ 0.60 or about 25 pounds of commercial bleach.
Since liquid chlorine is very nearly pure, approximately 8½ pounds of it applied to 1,000,000 gallons of sewage are equivalent to a dose of one part per million.
Commercial bleaching powder is a dry white powder which absorbs moisture slowly, and which loses its strength rapidly when exposed to the air. It is packed in air-tight sheet iron containers, which should be opened under water, or emptied into water immediately on being opened. The strength of the solution should be from ½ to 1 per cent. The rate of the application of the solution to the sewage may be controlled by automatic feed devices, or by hand-controlled devices.
Commercial liquid chlorine is sold in heavy cast steel containers, which hold 100 to 140 pounds of liquid chlorine under a pressure of 54 pounds per square inch at zero degrees C. or 121 pounds per square inch at 20 degrees.
492The amount of chlorine used is dependent on the character of the sewage to be treated, the stage of decomposition of the organic matter, the desired degree of disinfection, the period of contact, and the temperature. The amount of chlorine is expressed in parts per million of available chlorine, regardless of the form in which the chlorine is applied. In general about 15 to 20 parts per million of available chlorine with 30 minutes’ contact at a temperature of about 15° C. will effect an apparent removal of 99 per cent of the bacteria from the raw sewage. The effect is only apparent because many of the bacteria encased in the solid matter of the sewage escape the effect of the chlorine, or detection in the bacterial analysis. Stronger and older sewages, higher temperatures, and shorter periods of contact will demand more chlorine to produce the same results. A septic effluent will require more chlorine than a raw sewage because of the greater oxygen demand by the septic sewage. The results of experiments on disinfection made at different testing stations have shown such wide variations in the amount of chlorine necessary, as to demonstrate the necessity for independent studies of any particular sewage which is to be chlorinated. For instance, at Milwaukee approximately 13 p.p.m. of available chlorine applied to an Imhoff tank effluent effected a 99 per cent removal of bacteria, whereas the same result was obtained at Lawrence, Mass., on crude sewage with only 6.6 p.p.m. and at Marion, Ohio, only 9 per cent removal of bacteria was obtained by the addition of 4,815 p.p.m. to crude sewage. The Ohio and Massachusetts reports show irrational variations among themselves. For instance, 6.2 p.p.m. applied to a septic effluent effected 88 per cent removal whereas in another case 7.6 p.p.m. effected only 36 per cent removal. At Lawrence in one case it took 8.6 p.p.m. to remove 99 per cent from a sand filter effluent, but only 6.3 p.p.m. to effect the same result in the effluent from a septic tank. The most consistent results are those found at Milwaukee which show a steadily increasing percentage removal with increasing amounts of chlorine.
Some time after sewage has received its dose of chlorine the number of bacteria may be greater than in the raw sewage. Such bacteria are called aftergrowths. Certain forms of bacteria, particularly the pathogenic or body temperature types, are most susceptible to disinfecting agents. These are killed 493off and leave the sewage in a condition more favorable to the growth of more resistant forms of bacteria. As the latter are non-pathogenic and are generally aërobic their presence is usually more beneficial than detrimental, as they hasten the action of self-purification.
The following abbreviations will be used: E.C. for Engineering and Contracting, E.N. for Engineering News, E.R. for Engineering Record, E.N.R. for Engineering News-Record, M.J. for Municipal Journal, p. for page, and V. for volume.
278. Methods of Disposal.—Sludge is the deposited suspended matter which accumulates as the result of the sedimentation of sewage. The methods for the disposal of sludge as discussed herein will include the disposal of scum. Scum is a floating mass of sewage solids buoyed up in part by entrained gas or grease, forming a greasy mat which remains on the surface of the sewage.[201] The sludges formed by different methods of sewage treatment are described in the chapter devoted to the particular method. The disposal of sludge is a problem common to all methods of sewage treatment involving the use of sedimentation tanks.
Sludge is disposed of by: dilution, burial, lagooning, burning, filling land, and as a fertilizer or fertilizer base. Certain methods of disposal, such as burning or as a fertilizer, demand that the sludge be dried preparatory to disposal. Sludge is dried on drying beds, in a centrifuge, in a press, in a hot-air dryer, or by acid precipitation.
279. Lagooning.—This is a method of sludge disposal in which fresh sludge is run on to previously prepared beds to a depth of 12 to 18 inches or more, and allowed to stand without further attention. The preparation of the lagoons requires leveling the ground, building of embankments, and, if the ground is not porous, the placing of underdrains laid in sand or gravel. At Reading, Pa.,[202] approximately one acre was required for 1,700 cubic yards of wet sludge. The results of lagooning at Philadelphia are given in Table 103.[202]
| 496 | |||||
| TABLE 103 | |||||
|---|---|---|---|---|---|
| Results of Drying Sludge in Lagoons at Philadelphia | |||||
| (“Sewage Sludge” by Allen) | |||||
| Treatment | Days | Depth, Inches | Per Cent, Moisture | Rainfall, Inches | Cubic Yards per Acre |
| Screened | 0 | 12.20 | 82.8 | 0 | 1600 |
| Screened | 26 | 7.67 | 57.0 | 0 | 1000 |
| Screened | 49 | 3.50 | 51.6 | 0.43 | 470 |
| Screened | 0 | 13.50 | 90.1 | 0 | 1800 |
| Screened | 62 | 7.00 | 61.0 | 3.14 | 950 |
| Crude | 0 | 12.00 | 88.7 | 0 | 1600 |
| Crude | 59 | 4.70 | 62.8 | 2.59 | 640 |
During the period of standing in the lagoon the moisture drains out and evaporates and the organic matter putrefies, giving off gases and foul odors. In the course of three to six months, biological action ceases and the sludge has become humified and reduced to about 75 per cent moisture. In the utilization of this method of disposal the lagoons must be removed from settled districts and should occupy land of little value for other purposes. The odors created at the lagoons may be intense and offensive. The land so used is rendered unfit for other purposes for many years.
The digestion of sludge in special tanks is a form of lagooning in which an attempt is made to maintain septic action as a result of which a portion of the sludge is gasified or liquefied, leaving less to be cared for by some of the other methods of treatment or disposal. The results obtained by digestion tanks have not been entirely satisfactory. A partial drying and consolidation of the sludge may be effected, however, by the process of decantation, in which the supernatant liquid is run off, followed by further sedimentation, rendering the final product more compact.
280. Dilution.—In the disposal of sludge by dilution, as in the disposal of sewage by dilution, there must be sufficient oxygen available in the diluting water to prevent putrefaction, and a swift current to prevent sedimentation. Such conditions exist in localities along the sea coast, and in communities 497situated near rivers, when the rivers are in flood. In some seacoast towns, for example at London and Glasgow, the sludge is taken out to sea in boats, and dumped. Since it is not necessary to discharge sludge continuously, it can be stored to advantage in the digestion chamber of a tank, until the conditions in the body of diluting water are suitable to receive it.
The amount of diluting water to receive sewage sludge has not been sufficiently well determined to draw reliable general conclusions. A dilution of 1,500 to 2,000 volumes may be considered sufficiently safe to avoid a nuisance provided there is a sufficient velocity to prevent sedimentation. Johnson’s Report on Sewage Purification at Columbus, Ohio (1905), states that a dilution of 1 to 800 is sufficient to avoid a nuisance. The character of the sludge has a marked effect on the proper ratio of dilution, the sludge from septic and sedimentation tanks requiring a greater dilution than that from Imhoff tanks.
281. Burial.—Sludge can be disposed of by burial in trenches about 24 inches deep with at least 12 inches of earth cover, without causing a nuisance. The ground used for this purpose should be well drained. This method of disposal is generally used as a makeshift and has not been practiced extensively because of the large amount of land required. Insufficient information is available to generalize on the amount of land required or the time before the land can be used for further sludge burial, or for other purposes. Indications are that the sludge may remain moist and malodorous for years and that the land may be rendered permanently unfit for further sludge burial. Under some conditions the land may be used again for the same or other purposes. For example, Kinnicutt, Winslow and Pratt[203] state that 500 tons of wet sludge can be applied per acre and:
The same land, it is claimed, can be used again after a period of a year and a half to two years, if in two months or so after covering the sludge with earth, the ground is broken up, planted, and, when the crop is removed, again plowed and allowed to remain fallow for about a year.
282. Drying.—Before sludge can be disposed of to fill land, by burning, or for use as a fertilizer filler it must be dried to a suitable degree of moisture. The removal of moisture from the 498sludge decreases its volume and changes its characteristics so that sludge containing 75 per cent moisture has lost all the characteristics of a liquid. It can be moved with a shovel or fork, and can be transported in non-watertight containers. A reduction in moisture from 95 to 90 per cent will cut the volume in half.
The change in volume on the removal of moisture can be represented as:
The drying of sludge on coarse sand filter beds is more particularly suited to sludge from Imhoff tanks. This sludge does not decompose during drying, and is sufficiently light and porous in texture to permit of thorough draining. The sludge from plain sedimentation or chemical precipitation tanks is high in moisture, putrescible, and when placed on a filter bed it settles into a heavy, compact, impervious mass which dries slowly. In order to avoid this condition the sludge is run on to the beds as quickly as possible, to a depth of not more than 6 to 10 inches. Lime is sometimes added to the sludge at this time as it aids drying by assisting in the maintenance of the porosity of the sludge, and it is advantageous in keeping down odors and insects.
Sludge filter beds are made up of 12 to 24 inches of coarse sand, well-screened cinders, or other gritty material, underlaid by 6 inches of coarse gravel and 6 or 8–inch open-joint tile underdrains, laid 4 to 10 feet apart on centers, dependent on the porosity of the subsoil. The side walls of the filters are made of planks or of low earth embankments. The sludge filters at Hamilton, Ontario, are shown in Fig. 179.
Fig. 179.—Sludge drying Beds at Hamilton, Ontario.
Eng. News, Vol. 73, p. 426.
The size of the bed is dependent mainly upon the characteristics of the sludge. For Imhoff tank sludge which comes from the tank with about 85 per cent moisture, the practice is to allow about 350[204] square feet of filter surface per 1,000 population contributing sludge. For other types of sludge the area varies from 900 to 9,000 square foot per 1,000 population contributing sludge, and only experiments with the sludge in hand can determine the proper allowance. Imhoff recommends 1,080 square feet per 1,000 population for septic tank sludge, and 6,480 square feet for sludge from plain sedimentation tanks.[205] Kinnicutt, Winslow, and Pratt in their book on Sewage Disposal state:
With an average depth of 10 inches per dose of sludge of 87 per cent water content, one square foot of covered (glass) bed should dry to a spadable condition one cubic yard of sludge per year.
500The sludge is run on the bed in small quantities at periods from two weeks to a month apart. In favorable weather Imhoff sludge will dry in two weeks or less to approximately 50 to 60 per cent moisture. It is then suitable for use as a filling material on waste land, for burning, or for further drying by heat. Glass roofs, similar to those used on green-houses, have been used to speed the drying process by preventing the moistening of partly dried sludge during rainy weather. In some instances sludge has dried to 10 per cent moisture on such beds. Imhoff sludge can be removed from the drying beds with a manure or hay fork. It has an odor similar to well-fertilized garden soil. It is stable, dark brownish-gray in color, is of light coarse material, and is granular in texture.
Sludge presses are suitable for removing moisture from the bulky wet sludge obtained from plain sedimentation, chemical precipitation, and the activated sludge process. The details of a typical sludge press are shown in Fig. 180. The press shown is made up of a number of corrugated metal plates about 30 inches in diameter with a hole in the center about 8 inches in diameter. The corrugations run vertically except for a distance about 3 inches wide around the outer rim, which is smooth. To this smooth portion is fastened, on each side of the plate, an annular ring about an inch thick and 2 to 3 inches wide, of the same outside diameter as the plate. A circular piece of burlap, canvas, or other heavy cloth is fastened to this ring, covering the plate completely. A hole is cut in the center of the cloth slightly smaller in diameter than the center hole in the plate, and the edges of the cloth on opposite sides of the plate are sewed together. The plates are then pressed tightly together by means of the screw motion at the left end of the machine, thus making a water-tight joint at the outer rim. Sludge is then forced under pressure into the space between the plates, passing through the machine by means of the central hole. The pressure on the sludge may be from 50 to 100 pounds per square inch. This pressure forces the water out of the sludge through the porous cloth from which it escapes to the bottom of the press along the corrugations of the separating plate. After a period of 10 to 30 minutes the pressure is released, the cells are opened, and the moist sludge cake is 501removed. The liquid pressed from the sludge is highly putrescible and should be returned to the influent of the treatment plant. The pressing of wet greasy sludges is facilitated by the addition of from 8 to 10 pounds of lime per cubic yard of sludge. The cake thus formed is more cohesive and easy to handle. The output of the press depends so much on the character of the sludge that a definite guarantee of capacity is seldom given by the manufacturer.
Fig. 180.—Filter Press.
The simplest form of centrifugal sludge dryer is a machine which consists of a perforated metal bowl lined with porous cloth in which the sludge is placed. Surrounding this bowl is a second water-tight metal bowl so arranged as to intercept the water thrown from the sides of the inner bowl as it revolves. The peripheral velocity of the inner bowl is about 6,000 feet per minute, which makes the effective weight of each particle about 250 times its normal weight when at rest. Very few data are available on the operation of such machines, and their use has not been extensive because of the difficulty of starting and stopping the machine at each filling, and the difficulty of removing the partially dried sludge from the inner basket. The Besco-ter-Meer centrifuge, manufactured by the Barth Engineering and Sanitation Co., can be operated continuously and the difficulties of removing the dried sludge from the machine have 502been overcome. According to the manufacturers the centrifuge has been operated very successfully in Germany on plain septic tank sludge. A removal of 70 per cent of suspended solids in the raw sludge and a production of 3,600 pounds of sludge per hour, containing 60 to 70 per cent of moisture, can be obtained at less than 900 r.p.m. with a consumption of 15 horse-power. Extensive tests of the machine were made at Milwaukee from October, 1920, to September, 1921, on activated sludge, but results of these tests are not as yet available. Indications are that the centrifuge has acted as a classifier. The coarser particles of sludge have been removed but the finer particles have been continuously returned with the liquid to the sedimentation tank, ultimately filling this tank with fine particles of sludge. An illustration of the unit tested at Milwaukee is shown on this page.
Besco-ter-Meer Sludge Drying Centrifuge at Milwaukee, Wisconsin Courtesy, Barth Engineering and Sanitation Co.
503Experiments on the drying of sludge by acid flotation have not progressed sufficiently to allow the installation of a working unit. The method, which has been applied principally to activated sludge, consists in adding a small amount of sulphuric acid to the sludge as it leaves the storage tank. The sludge is coagulated by this action, the coagulated material rising to the surface as a scum containing about 86 per cent moisture. The consistency is such that it can be removed with a shovel. The liquid can be withdrawn continuously from below the scum.
Fig. 181.—Direct-Indirect Sludge Dryer.
Courtesy, the Buckeye Dryer Co.
The moisture content of sludge to be used in the manufacture of fertilizer must be reduced to 10 per cent or less. None of the methods of drying described so far can be relied upon for such a product and it becomes necessary to use direct or indirect heat dryers. There are various types of dryers on the market. The details of a Buckeye dryer are shown in Fig. 181. In the operation of this machine moist sludge is fed in at the left end at the point marked “feed.” The hot gases pass from the fire box up and around the cylinder which revolves at about eight r.p.m. The gases are drawn into the inner cylinder through the openings marked A which revolve with the two cylinders. The gases escape from the inner cylinder through the openings to the right and flow towards the left in the outer cylinder. They come 504in contact with the sludge at this point. The gases then pass off through the fan at the left. The sludge is lifted by the small longitudinal baffles fastened to the outer cylinder, as the drying cylinders revolve. The right end of the cylinder is placed lower than the left so that the drying sludge is lifted and dropped through the cylinder at the same time that it moves slowly toward the right hand end of the cylinder. These dryers require about one pound of fuel for 10 pounds of water evaporated. The odors from the dryer can be suppressed by passing the gases through a dust chamber and washer.
A summary of the results from methods of sludge drying at Milwaukee[206] follows:
Excess sludge produced, 12,100 gallons, having 97.5 per cent moisture, per million gallons of sewage treated.
Sludge cake produced (by presses), 10,083 pounds having 80.3 per cent moisture, per million gallons of sewage treated.
Dried sludge (from heat driers) produced, 2,521 pounds having 10 per cent moisture, per million gallons of sewage treated.
Press will produce 3 pounds of cake per square foot of filter cloth in four and a half hours, or five operations per twenty-four hours.
Dryers will reduce 6,700 pounds of sludge cake at 80 per cent moisture to 10 per cent moisture, and will evaporate 8 pounds of water per pound of combustible.
Thickening devices known as Dorr thickeners, patented and manufactured by the Dorr Co. and originally intended for metallurgical purposes, have been adapted to the thickening of sewage sludge. These thickeners are circular sedimentation tanks, from 8 to 12 feet deep, more or less, and are made in any diameter up to 200 feet or more. An arm, pivoted in the center and extending to the circumference, is provided at the bottom with a number of baffles or squeegees set at an angle with the arm. The arm revolves at from one to fifteen revolutions per hour, and the squeegees, in contact with the bottom of the tank, scrape the deposited sludge towards a central sump, from which 505it is removed by a pump or by gravity, without interrupting the operation of the thickener. The sludge so thickened may be reduced to 95 or 96 per cent moisture. These devices are ordinarily used only in the activated sludge process in which they have been a pronounced success.
283. Types.—Automatic dosing devices are used to apply sewage to contact beds, trickling filters, and intermittent sand filters. These devices can be separated into two classes; those with moving parts and those without moving parts. The latter are better known as air-locked dosing devices. Simple devices without moving parts are less liable to disorders and are nearer “fool-proof” than any device depending on moving parts for its operation.
No one type of moving part device has been used extensively in different sewage treatment plants. Designing engineers have exercised their ingenuity at different plants, resulting in the production of different types.[207] Among the best known forms is the apparatus designed by J. W. Alvord for the intermittent sand filters at Lake Forest, Illinois.[208] In its operation....
A float in the dosing chamber lifts an iron ball in one of a series of wooden columns, and at a certain height the ball rolls through a trough from one column to the next, in its passage striking a catch, which opens an air valve attached to one of ten bell-siphons in the dosing chamber. Each of the siphons discharges on one of the ten sand beds, which are thus dosed in rotation.
Since air-locked dosing devices are in more general use their operation will be explained in greater detail.
284. Operation.—The simplest form of these devices is the automatic siphon used for flush-tanks, the operation of which is described in Art. 61.
In the operation of sand filters, sprinkling filters, or other forms of treatment where there are two or more units to be dosed 507it is desirable that the dosing of the beds be done alternately. A simple arrangement for two siphons operating alternately is shown in Fig. 182. They operate as follows: with the dosing tank empty at the start water will stand at bb′ in siphon No. 2 and at aa′ in siphon No. 1. As the water enters through the inlet on the left the tank fills. When the water rises sufficiently, air is trapped in the bells, and as the water continues to rise in the tank, surfaces a and b are depressed an equal amount. When b has been depressed to d, a has been depressed to c. Air is released from siphon No. 2 through the short leg, and siphon No. 2 goes into operation. Surface c rises in siphon No. 1 as the tank empties and when the action of Siphon No. 2 is broken by the admission of air when the bottom of the bell is uncovered the water in siphon No. 1 has assumed the position of bb′ and that in No. 2 is at aa′. The conditions of the two siphons are now reversed from that at the beginning of the operation and as the tank refills siphon No. 1 will go into operation. It is to be noted that these siphons are made to alternate by weakening the seal of the next one to discharge and by strengthening the seal of the one which has just discharged.
Fig. 182.—Diagram Showing the Operation of Two Alternating Siphons.
Fig. 183.—Diagram Showing the Operation of Three Alternating Siphons.
285. Three Alternating Siphons.—This principle can be extended to the operation of three alternating siphons as shown in Fig. No. 183. These operate as follows: with the dosing tank empty at the start and water at aa′ in siphons 1 and 2, and at bb′ in siphon No. 3, the dosing tank will be allowed to fill. As the water rises in the tank air is trapped in all the bells and surfaces a and b are depressed. When surface b has been depressed to d, a has been depressed to c. Air is released from siphon No. 3 and this siphon goes into action. Surface c rises in siphons 1 and 2 to the position b, as the dosing tank is emptied. At the same time a small amount of water is passed from siphon No. 3 to the short leg of siphon No. 1, through the small pipes shown, thus filling this leg so that when siphon No. 3 ceases to operate the water in siphons 1 and 3 stands at aa′ and that in No. 2 stands at bb′. Siphon No. 2, having the weaker seal, will be the next to operate. During its operation it will fill siphon No. 3, leaving No. 1 weak. When No. 1 operates it will refill No. 2, leaving No. 3 weak, thus completing a cycle for the three siphons. This principle has not been applied to the operation 509of more than three alternating siphons and is seldom used on recent installations.
Fig. 184.—Miller Plural Alternating Siphons.
Courtesy, Pacific Flush Tank Co.
286. Four or More Alternating Siphons.—An arrangement for the alternation of four or more siphons is illustrated in Fig. 184. At the commencement of the cycle it will be assumed that all starting wells are filled with water except well No. 1, and that all main and all blow-off traps are filled with water. The following description of the operation of the siphons is taken from the catalog of the Pacific Flush Tank Company:
The liquid in the tank gradually rises and finally overflows into the starting well No. 1 and the starting bell being filled with air, pressure is developed which is transmitted, as shown by the arrows, to the blow-off trap connected with siphon No. 2. When the discharge line is reached, sufficient head is obtained on the starting bell to force the seal in blow-off trap No. 2, thus releasing the air confined in siphon No. 2 and bringing it into full operation.
510During the time that siphon No. 2 is operating, siphonic action is developed in the draining siphon connected with starting well No. 2 and as soon as the level in the tank is below the top of the well it is drained down to a point below the bottom of starting well No. 2. It can now be seen that after the first discharge starting well No. 2 is empty, whereas the other three are full.... Therefore when the tank is filled the second time, pressure is developed in starting bell No. 2, which forces the seal of blow-off trap No. 3, thus starting siphon No. 3....
This alternation can be continued for any number of siphons. Other arrangements have been devised for the automatic control of alternating siphons, but these principles of the air-locked devices are fundamental.
287. Timed Siphons.—In the operation of a number of contact beds not only must the dosing of the tanks be alternated, but some method is needed by which the beds shall be automatically emptied after the proper period of standing full. To fulfill this need the principle of the timed siphon must be employed in conjunction with the alternating siphons. Fig. 185 illustrates the operation of the Miller timed siphon. Its operation is as follows: water is admitted to the contact bed and transmitted to the main siphon chamber through the “opening into bed.” Water flows from the main siphon chamber into the timing chamber at a rate determined by the timing valve. The contact bed is held full during this period. As the timing chamber fills with water air is caught in the starting bell and the pressure is increased until the seal in the main blow-off trap is blown and the main siphon is put into operation. As the water level in the main siphon chamber descends, water flows from the timing chamber into the main siphon through the draining siphon and the timing chamber is emptied, ready to commence another cycle.
288. Multiple Alternating and Timed Siphons.[209]—The alternating and timing of a number of beds is more complicated. The arrangement necessary for this is shown in Fig. 186. It will be assumed at the start that all beds are empty and that all feeds are air locked as shown in Section AB except that to bed No. 4 into which sewage is running. As bed No. 4 fills, sewage 511is transmitted through the opening in the wall into the timed siphon chamber No. 4. When the level of the water in the bed and therefore in this chamber has reached the top of the withdraw siphon leading to the compression dome chamber No. 4, this latter chamber is quickly filled. The air pressure in starting bell No. 4a is transmitted to blow-off trap No. 1a. The seal of this trap is blown, releasing the air lock in feed No. 1 and the flow into bed No. 1 is commenced. At the same time the air pressure in compression dome No. 4 is transmitted to feed No. 4, air locking this feed and stopping the flow into bed No. 4. The alternation of the feed into the different beds is continued in this manner.
Fig. 185.—Miller Timed Siphon.
Courtesy, Pacific Flush Tank Co.
Bed No. 4 is now standing full and No. 1 is filling. When compression dome chamber No. 4 was filled, water started flowing through timing siphon valve No. 4 into timing chamber 512No. 4 at a rate determined by the amount of the opening of the timing valve. As this chamber fills compression is transmitted to blow-off trap 4b and when sufficiently great this trap is blown and timed siphon No. 4 is put into operation. Bed No. 4 is emptied by it, and compression dome chamber No. 4 is emptied through the withdraw siphon at the same time. This completes a cycle for the filling and emptying of one bed and the method of passing the dose on to another bed has been explained. The principle can be extended to the operation of any number of beds.
Fig. 186.—Plural Timed and Alternating Siphons for Contact Bed Control.
Courtesy, Pacific Flush Tank Co.
1. Frontinus and the Water Supply of Rome, p. 81, by Clemens Herschel.
2. Estimated by G. W. Fuller, Trans. Am. Society of Civil Engineers, Vol. 44, 1905, p. 148. The total population connected with sewerage systems was assumed to be the total population in the United States in cities over 4000 in population.
3. Estimated by Metcalf and Eddy, American Sewerage Practice, Vol. III, p. 240.
4. Computed from report of the United States Census, 1920, on the same basis as Fuller’s estimate for 1905.
5. Cosgrove, History of Sanitation.
6. Sedgwick: Sanitary Science and Public Health.
7. No detrimental effect on the public health was noted as a result of this condition however. It has never been conclusively proven that such nuisances are detrimental to the public health.
8. Moore and Silcock, Sanitary Engineering, p. 67, 1909.
9. Similar to the definition proposed by the Am. Public Health Assn.
10. Definition recommended by Am. Public Health Assn.
11. Ibid.
12. Ibid.
13. Eng. News, Vol. 76, 1916, p. 781. See also Eng. News-Record, Vol. 85, 1920, pp. 22, 1175.
14. For a more extensive treatment of the subject see Principles and Methods of Municipal Administration by W. B. Munro, 1916.
15. Eng. Record, Vol. 74, 1916, p. 263.
16. Professional paper No. 46, United States Geological Survey, 1906, p. 97.
17. United States Geological Survey, Water Supply paper No. 257, 1911.
18. From Eng. Cont., Vol. 41, 1914, p. 698.
19. Max. represents only the average maximum, not the greatest maximum.
20. Eng. News-Record, Vol. 80, page 1233, 1918.
21. Infiltration of Ground Water into Sewers. Transactions of the American Society of Civil Engineers, Vol. 76, 1913, p. 1909.
22. A comprehensive discussion of rainfall formulas will be found in Vol. 54 of the Transactions Am. Society of Civil Engineers, 1905.
23. Formula devised by H. E. Babbitt from Allen’s 25–year curve.
24. See Note under Table 14.
25. Sewerage by A. P. Folwell.
26. From an article by E. Kuichling in Transactions American Society of Civil Engineers, Vol. 65, 1909, p. 399.
27. Trans. Am. Society Civil Engineers, Vol. 58, 1907, p. 483.
28. Trans. American Society of Civil Engineers, Vol. 58, 1907, p. 498.
29. Ibid.
30. The principles governing the run-off from large areas are explained in Elements of Hydrology, by A. F. Meyer, 1917.
31. Transactions of the American Society of Civil Engineers, Vol. 51, 1903, p. 11.
32. Municipal and County Engineering, Vol. 58. 1920, p. 164.
33. Industrial waste Treated as ground water.
34. For diagrams for the Solution of the Rational Method, see Eng. News-Record, Vol. 83, 1919, p. 868 and Vol. 85, 1920, p. 151.
35. Municipal and County Engineering, October, 1909.
36. “Cleaning and Flushing Sewers.” Journal of the Association of Engineering Societies, Vol. 33, 1904, p. 212.
37. Notes on the Design and Principles of Sewage Siphons, Eng. News-Record, Vol. 85, 1920, p. 1041.
38. From A. E. Phillips, Trans. Am. Society of Municipal Improvements, 1898, p. 70.
39. Trans. Am. Society of Civil Engineers, Vol. 15, 1886.
40. True Siphon at East Providence, Eng. News-Record, Vol. 85, 1920, p. 862.
41. “The Effect of Mouthpieces on The Flow of Water Through a Submerged Short Pipe,” by F. B. Seely. Bulletin No. 96, 1917, of the Eng’g. Experiment Station of the University of Illinois.
42. Trans. Am. Society of Civil Engineers, Vol. 49, 1902.
43. Described by W. L. Stevenson before the Boston Society of Civil Engineers in 1916.
44. Multiple Outlet for Calumet Intercepting Sewer, by S. T. Smetters, Eng. News-Record, Vol. 83, 1919, p. 728.
45. “Direct Acting Steam Pumps,” by F. R. Nickel, 1915.
46. From Heat Engines, by Allen and Bursley.
47. “The Economy Resulting from the Use of Variable Speed Induction Motors for Driving Centrifugal Pumps” by M. L. Enger and W. J. Putnam. Journal Am. Water Works Ass’n., 1920, Vol. 7, p. 536.
48. C. A. Hague in Trans. Am. Society of Civil Engineers, Vol. 74, 1911, p. 20.
49. Includes screen chamber, collecting reservoir, and building.
50. Computed on the assumption that the pumps may be operated at 50 per cent overload for short periods, the rated capacity being equal to the loads given in Table 33.
51. For description of type see note under Table 35.
52. Proceedings Illinois Society of Engineers, 1916, page 81.
53. Municipal Engineers’ Journal for April, 1918.
54. Workability involves ease in placing and smoothness of working.
55. Johnson’s Materials of Construction, 5th Edition, 1918, p. 432.
56. Trans. Am. Society of Civil Engineers, Vol. 59, 1907, p. 146.
57. L. N. Edwards, Trans. Am. Society Testing Materials, 1918, and R. B. Young, Eng. News-Record, Vol. 82, 1919, p. 33.
58. Bulletin No. 1, Structural Materials Research Laboratory, Lewis Institute, Chicago, Illinois.
59. Proportioning Concrete by Voids in the Mortar, A. N. Talbot, read before Am. Society Testing Materials, June 22, 1921. Abstract in Eng. News-Record, Vol. 87, 1921, p. 147.
60. Trans. Am. Society of Civil Engineers, Vol. 81, 1917, p. 1122.
61. See also Tentative Specifications for Concrete and Reinforced Concrete submitted by the Joint Committee to its Constituent Organizations, June 4, 1921.
62. Journal Illinois Society of Engineers for 1916, p. 75.
63. See A. S. T. M. Standards for 1918, p. 148.
64. Trans. Am. Society Civil Engrs., Vol. 82, 1918, p. 459.
65. See Trans. Am. Society Civil Eng., Vol. 82, 1918, p. 482.
66. See Trans. Am. Society Civil Engr., Vol. 41, 1899, p. 76, and Vol. 82, 1918, p. 433, Eng. News, Vol. 74, 1915, p. 400, and Vol. 75, 1916, p. 911.
67. Trans. Am. Soc. Civil Engrs., Vol. 82, 1918, p. 433.
68. Bulletin No. 31 of the Engineering Experiment Station of the Iowa State College of Agriculture.
69. From bulletin No. 31, Engineering Experiment Station, Iowa State College of Agriculture.
70. From Bulletin No. 31, Engineering Experiment Station, Iowa State College of Agriculture.
71. From Bulletin No. 31, Engineering Experiment Station, Iowa State College of Agriculture.
72. From Vouissoir Arches by Cain.
73. Baker’s Masonry, 10th Edition, p. 676.
74. Business Law for Engineers, C. Frank Allen, McGraw-Hill, 1917; Engineering Contracts and Specifications, J. B. Johnson, McGraw-Hill, 1904; Contracts in Engineering, J. I. Tucker, McGraw-Hill, 1910; The Law Affecting Engineers, W. V. Ball, Archibald Constable, 1909; Law and Business of Engineering and Contracting, C. E. Fowler, McGraw-Hill, 1909; The Economics of Contracting, D. J. Hauer, E. H. Baumgartner, 1915; The Elements of Specification Writing, R. S. Kirby, John Wiley & Son, 1913; Contracts, Specifications and Engineering Relations, D. W. Mead, McGraw-Hill, 1916; Engineering and Architectural Jurisprudence, J. C. Wait, John Wiley, 1912.
75. See article by E. W. Bush in Eng. News-Record, Vol. 85, 1920, p. 122.
76. An unbalanced proposal is one in which the bids on some of the items are obviously low and on other items are obviously or suspiciously high. The purpose of submitting unbalanced bids is to keep secret the true or supposed cost of the work to the contractor or to obtain more money by bidding high on those items which are believed to have been underestimated by the Engineer. A low bid is made on other items in order to keep down the total amount of the bid.
77. Taken mainly from specifications of the Sanitary District of Chicago and the Baltimore Sewerage Commission, with miscellaneous selections from other sources.
78. Restrictions are placed on work done outside of ordinary working hours in order that the Contractor may not perform work in the absence of an engineer or inspector.
79. Cost Keeping and Management, by Gillette and Dana. Practical Cost Keeping for Contractors, by F. R. Walker. Cost Keeping in Sewer Work, by K. O. Guthrie in Eng. Contracting, Vol. 28, p. 238, 1905. Sewer Construction Records at Scarsdale, Eng. News-Record, Vol. 83, p. 111, 1919.
80. See Planning and Progress on a Big Construction Job, by Chas. Penrose, Eng. News-Record, Vol. 84, 1920, pp. 554 and 627.
81. See also “Ownership and Operation of Trench Excavators by the Water Department of Baltimore,” by V. B. Seims, presented before Am. Water Works Association, June 9, 1921.
82. Eng. and Contracting, Vol. 48, 1917, p. 492.
83. Earth Excavation by A. B. McDaniel.
84. Courtesy, Sanitary District of Chicago.
85. See article by J. R. Gow, Journal New England Waterworks Ass’n, Sept., 1920, also Public Works, Vol. 50, p. 98.
86. Diameter of diaphragm.
87. Gallons per minute.
88. Eng. News, Vol. 75, 1916 p. 1050.
89. Mun. Engineering, Vol. 53, p. 6.
90. For types of drill bits see article by T. H. Proske, Mining and Scientific Press, March 5, 1910.
91. These intermediate holes are seldom more than 3 feet apart.
92. Earth Pressures, Old Theories and New Test Results, Eng. News-Record, Vol. 85, 1920, p. 632.
93. Trans. Am. Society Civil Eng’rs, Vol. 60, 1908.
94. Adopted by the Am. Ry. and Maintenance of Way Ass’n in 1907.
95. Tunneling Machines Successful on Detroit Sewers, Eng. News-Record, Vol. 84, 1920, p. 329.
96. Rules on Compressed-Air Work of N. Y. State Industrial Commission, Eng. News-Record, Vol. 85, 1920, p. 1225.
97. Taken mainly from the Engineer Field Manual of the U. S. Army; Safety Factors in the Use of Explosives by W. O. Snelling, Technical Paper No. 18, U. S. Bureau of Mines; and an article in Eng’g and Contracting, Vol. 52, 1919, p. 585.
98. See paper by C. T. Hall before Am. Inst. Chemical Engineers.
99. 305Per cubic yard of material displaced.
100. Eng. News, Vol. 75, 1916, p. 592.
101. Pressure of Concrete on Forms Measured in Tests, by E. B. Smith, before Am. Concrete Institute, Feb. 15, 1920. Abstracted in Eng. News-Record, Vol. 84, 1920, p. 665.
102. See, also, Concrete Form Design, by E. F. Rockwood, Eng. and Contracting, Vol. 55, 1921, p. 528.
103. Includes 6 cents per foot for excavation. Labor for this was 58 per cent of the total labor cost.
104. Cement at $1.25 per barrel.
105. Mun. Journal, Vol. 36, 1914, p. 736.
106. Mun. Journal, Vol. 39, 1915, p. 911.
107. Formerly the Municipal Journal.
108. See Eng. Record, Vol. 75, 1917, p. 463.
109. Eng. Record, Vol. 73, 1916, p. 141, and Eng. News-Record, Vol. 79, 1917, p. 1019.
110. Eng. Record, Vol. 72, 1915, p. 690.
111. Eng. Record, Vol. 71, 1915, p. 256.
112. Eng. and Contr., Vol. 41, 1914, p. 250.
113. H. J. Kellogg in Journal Connecticut Society of Civil Engineers, 1914, and Technical Paper 117, U. S. Bureau of Mines.
114. Eng. News, Vol. 70, 1913, p. 1157.
115. Technical Paper No. 117, U. S. Bureau of Mines.
116. Eng. News, Vol. 71, 1914, p. 84.
117. Eng. News, Vol. 71, 1914, p. 82.
118. Similar to definition proposed by the Am. Public Health Ass’n.
119. Economic Values in Sewage and Sewage Sludge, by Raymond Wells, Proceedings Am. Society Municipal Improvements, Nov. 12, 1919. Eng. News-Record, Vol. 83, 1919, p. 948.
120. Sample boiled for five minutes.
121. Sample immersed in boiling water for 30 minutes.
122. Four months.
123. One week in March, 1914.
124. R represents any chemical element such as K, Na, etc.
125. Standard Methods of Water Analysis, American Public Health Association, 1920.
126. Routine tests are ordinarily incubated for this period only, and if not decolorized in this time are recorded as stable.
127. Determination of the Biochemical Oxygen Demand of Sewage and Industrial Wastes, by E. J. Theriault, Report of the U. S. Public Health Service, Vol. 35, May 7, 1920, No. 19, p. 1087.
128. Standard Methods of Water Analysis, American Public Health Association, 1920.
129. Jordan, General Bacteriology, 1909, p. 91.
130. Ibid.
131. Reprinted in Vol. III of Contributions from the Sanitary Research Laboratory of Massachusetts Institute of Technology.
132. Formerly Chief Engineer of the Sanitary District of Chicago.
133. From “Sewage,” by Samuel Rideal, 1900, p. 16.
134. See Am. Civil Engineers’ Pocket Book, Second Edition, p. 982.
135. Trans. Am. Society Civil Engineers, Vol. 58, 1907, p. 988.
136. Not defined by the American Public Health Association.
137. Trans. Am. Society Civil Engineers, Vol. 78, 1915, p. 892.
138. Removal of Suspended Matter by Sewage Screens, Cornell Civil Engineer, 1914. Abstracted in Engineering and Contracting, Vol. 41, 1914, p. 451.
139. “The Clarification of Sewage by Fine Screens,” Trans. Am. Society Civil Engineers, Vol. 78, 1915, p. 1000.
140. Langdon Pearse, Trans. Am. Society Civil Engineers, Vol. 78, 1915, p. 1000.
141. Meshes per inch.
142. See article by Henry Ryon in Cornell Civil Engineer, 1910.
143. The hydraulic coefficient is defined as the rate of settling in mm. per second.
144. Definition suggested by the American Public Health Association.
145. Computed from formula by Gilbert in “Transportation of Debris by
Running Water,” U. S. Geological Survey, Professional Paper No. 86, 1914.
Diameter in mm. = 1.28 (velocity)2.7
Sp. gv. − 1.
146. Computed from Annual Report of the Superintendent of Sewers, Nov. 30, 1919, and 1920.
147. These figures are for 1919.
148. These figures are for 1905.
149. These figures are for 1902.
150. Report of the Ohio State Board of Health, 1908, page 425.
151. Definition proposed by the Am. Public Health Assn.
152. See Eng. News. Vol. 73, 1915, p. 410.
153. Sewage Treatment from Single Houses and Small Communities, by L. C. Frank. U. S. Public Health Service, Bulletin 101, 1920.
154. Eng. News-Record, Vol. 78, 1917, p. 566.
155. Municipal Engineering, Vol. 54, p. 149.
156. Eng. Record, Vol. 68, 1913, p. 452.
157. Am. Sewerage Practice, Vol. III, p. 437.
158. Trans. Am. Society Civil Engineers, Vol. 83, 1920, p. 337.
159. Eng. News-Record, Vol. 83, 1919, p. 510.
160. See Eng. News, Vol. 70, 1913, p. 1112; Eng. Record, Vol. 68, 1913, p. 440, and Eng. News, Vol. 75, 1916, p. 1028.
161. See Eng. Record, Vol. 67, 1913, p. 232.
162. The use of half-spray nozzles is not always advocated as it is considered that their use does not markedly improve the distribution. Where half nozzles are used, a margin of 18 inches to 2 feet should be allowed between the edge of the filter and the nozzle, to prevent the blowing of raw sewage from the filter.
163. From paper by E. G. Bradbury in Proceedings of the Ohio Eng. Society, 1910, p. 79.
164. The effective size of sand is the diameter in millimeters of the largest grain in that 10 per cent, by weight, of the material which contains the smallest grains.
165. The uniformity coefficient is the ratio of the diameter of the largest particle of the smallest 60 per cent, by weight, to the effective size.
166. Interest at 6 per cent.
167. Worcester figures.
168. This method may show a profit from the sale of sludge.
169. Sewage Disposal, 1919, p. 223.
170. See Eng. News, Vol. 9, 1883, p. 203, and Vol. 29, 1893, p. 27.
171. American Sewerage Practice, Vol. III.
172. Reference 11, at end of this chapter.
173. Reference 15.
174. Reference 2.
175. For mechanical methods of drying sludge, see Reference 22, p. 1127, and No. 33, p. 843.
176. Reference 10.
177. Reference 13.
178. University of California, Bulletin 251, 1915.
179. Reference 25.
180. See Report by Black & Phelps of Metropolitan Sewerage Commission, 1911, reprinted as Vol. VII of Contributions from the Sanitary Research Laboratory of the Massachusetts Institute of Technology.
181. See Reports, Mass. State Board of Health.
182. Reference 47.
183. Reference 10.
184. 477Reference 10.
185. Reference 10.
186. Hatton, reference 33.
187. Reference 18.
188. Reference 1, at end of this chapter.
189. Reference 2.
190. Reference 6.
191. Reference 5.
192. Reference 6.
193. Reference 6.
194. Reference 8.
195. Reference 20.
196. Reference 17.
197. Reference 19.
198. Reference 21.
199. Reference 24.
200. Inorganic Chemistry, by Alexander Smith.
201. American Public Health Association definition.
202. Sewage Sludge by Allen.
203. Sewage Disposal by Kinnicutt, Winslow and Pratt.
204. Sewage Disposal by Fuller.
205. Sewage Sludge by Allen.
206. From Eng. News-Record, Vol. 84, 1920, p. 995.
207. A Simple Mechanical Control for Dosing Sewage Beds, by P. Thompson, Eng. News-Record, Vol. 84, 1920, p. 1018.
208. Sewage Disposal by Kinnicutt, Winslow and Pratt.
209. Design of Siphon by G. H. Bayles, Eng. News-Record, Vol. 84, 1920, p. 974.
End of the Project Gutenberg EBook of Sewerage and Sewage Treatment, by
Harold Eaton Babbitt
*** END OF THIS PROJECT GUTENBERG EBOOK SEWERAGE AND SEWAGE TREATMENT ***
***** This file should be named 61773-h.htm or 61773-h.zip *****
This and all associated files of various formats will be found in:
http://www.gutenberg.org/6/1/7/7/61773/
Produced by Richard Tonsing and the Online Distributed
Proofreading Team at https://www.pgdp.net (This file was
produced from images generously made available by The
Internet Archive)
Updated editions will replace the previous one--the old editions will
be renamed.
Creating the works from print editions not protected by U.S. copyright
law means that no one owns a United States copyright in these works,
so the Foundation (and you!) can copy and distribute it in the United
States without permission and without paying copyright
royalties. Special rules, set forth in the General Terms of Use part
of this license, apply to copying and distributing Project
Gutenberg-tm electronic works to protect the PROJECT GUTENBERG-tm
concept and trademark. Project Gutenberg is a registered trademark,
and may not be used if you charge for the eBooks, unless you receive
specific permission. If you do not charge anything for copies of this
eBook, complying with the rules is very easy. You may use this eBook
for nearly any purpose such as creation of derivative works, reports,
performances and research. They may be modified and printed and given
away--you may do practically ANYTHING in the United States with eBooks
not protected by U.S. copyright law. Redistribution is subject to the
trademark license, especially commercial redistribution.
START: FULL LICENSE
THE FULL PROJECT GUTENBERG LICENSE
PLEASE READ THIS BEFORE YOU DISTRIBUTE OR USE THIS WORK
To protect the Project Gutenberg-tm mission of promoting the free
distribution of electronic works, by using or distributing this work
(or any other work associated in any way with the phrase "Project
Gutenberg"), you agree to comply with all the terms of the Full
Project Gutenberg-tm License available with this file or online at
www.gutenberg.org/license.
Section 1. General Terms of Use and Redistributing Project
Gutenberg-tm electronic works
1.A. By reading or using any part of this Project Gutenberg-tm
electronic work, you indicate that you have read, understand, agree to
and accept all the terms of this license and intellectual property
(trademark/copyright) agreement. If you do not agree to abide by all
the terms of this agreement, you must cease using and return or
destroy all copies of Project Gutenberg-tm electronic works in your
possession. If you paid a fee for obtaining a copy of or access to a
Project Gutenberg-tm electronic work and you do not agree to be bound
by the terms of this agreement, you may obtain a refund from the
person or entity to whom you paid the fee as set forth in paragraph
1.E.8.
1.B. "Project Gutenberg" is a registered trademark. It may only be
used on or associated in any way with an electronic work by people who
agree to be bound by the terms of this agreement. There are a few
things that you can do with most Project Gutenberg-tm electronic works
even without complying with the full terms of this agreement. See
paragraph 1.C below. There are a lot of things you can do with Project
Gutenberg-tm electronic works if you follow the terms of this
agreement and help preserve free future access to Project Gutenberg-tm
electronic works. See paragraph 1.E below.
1.C. The Project Gutenberg Literary Archive Foundation ("the
Foundation" or PGLAF), owns a compilation copyright in the collection
of Project Gutenberg-tm electronic works. Nearly all the individual
works in the collection are in the public domain in the United
States. If an individual work is unprotected by copyright law in the
United States and you are located in the United States, we do not
claim a right to prevent you from copying, distributing, performing,
displaying or creating derivative works based on the work as long as
all references to Project Gutenberg are removed. Of course, we hope
that you will support the Project Gutenberg-tm mission of promoting
free access to electronic works by freely sharing Project Gutenberg-tm
works in compliance with the terms of this agreement for keeping the
Project Gutenberg-tm name associated with the work. You can easily
comply with the terms of this agreement by keeping this work in the
same format with its attached full Project Gutenberg-tm License when
you share it without charge with others.
1.D. The copyright laws of the place where you are located also govern
what you can do with this work. Copyright laws in most countries are
in a constant state of change. If you are outside the United States,
check the laws of your country in addition to the terms of this
agreement before downloading, copying, displaying, performing,
distributing or creating derivative works based on this work or any
other Project Gutenberg-tm work. The Foundation makes no
representations concerning the copyright status of any work in any
country outside the United States.
1.E. Unless you have removed all references to Project Gutenberg:
1.E.1. The following sentence, with active links to, or other
immediate access to, the full Project Gutenberg-tm License must appear
prominently whenever any copy of a Project Gutenberg-tm work (any work
on which the phrase "Project Gutenberg" appears, or with which the
phrase "Project Gutenberg" is associated) is accessed, displayed,
performed, viewed, copied or distributed:
This eBook is for the use of anyone anywhere in the United States and
most other parts of the world at no cost and with almost no
restrictions whatsoever. You may copy it, give it away or re-use it
under the terms of the Project Gutenberg License included with this
eBook or online at www.gutenberg.org. If you are not located in the
United States, you'll have to check the laws of the country where you
are located before using this ebook.
1.E.2. If an individual Project Gutenberg-tm electronic work is
derived from texts not protected by U.S. copyright law (does not
contain a notice indicating that it is posted with permission of the
copyright holder), the work can be copied and distributed to anyone in
the United States without paying any fees or charges. If you are
redistributing or providing access to a work with the phrase "Project
Gutenberg" associated with or appearing on the work, you must comply
either with the requirements of paragraphs 1.E.1 through 1.E.7 or
obtain permission for the use of the work and the Project Gutenberg-tm
trademark as set forth in paragraphs 1.E.8 or 1.E.9.
1.E.3. If an individual Project Gutenberg-tm electronic work is posted
with the permission of the copyright holder, your use and distribution
must comply with both paragraphs 1.E.1 through 1.E.7 and any
additional terms imposed by the copyright holder. Additional terms
will be linked to the Project Gutenberg-tm License for all works
posted with the permission of the copyright holder found at the
beginning of this work.
1.E.4. Do not unlink or detach or remove the full Project Gutenberg-tm
License terms from this work, or any files containing a part of this
work or any other work associated with Project Gutenberg-tm.
1.E.5. Do not copy, display, perform, distribute or redistribute this
electronic work, or any part of this electronic work, without
prominently displaying the sentence set forth in paragraph 1.E.1 with
active links or immediate access to the full terms of the Project
Gutenberg-tm License.
1.E.6. You may convert to and distribute this work in any binary,
compressed, marked up, nonproprietary or proprietary form, including
any word processing or hypertext form. However, if you provide access
to or distribute copies of a Project Gutenberg-tm work in a format
other than "Plain Vanilla ASCII" or other format used in the official
version posted on the official Project Gutenberg-tm web site
(www.gutenberg.org), you must, at no additional cost, fee or expense
to the user, provide a copy, a means of exporting a copy, or a means
of obtaining a copy upon request, of the work in its original "Plain
Vanilla ASCII" or other form. Any alternate format must include the
full Project Gutenberg-tm License as specified in paragraph 1.E.1.
1.E.7. Do not charge a fee for access to, viewing, displaying,
performing, copying or distributing any Project Gutenberg-tm works
unless you comply with paragraph 1.E.8 or 1.E.9.
1.E.8. You may charge a reasonable fee for copies of or providing
access to or distributing Project Gutenberg-tm electronic works
provided that
* You pay a royalty fee of 20% of the gross profits you derive from
the use of Project Gutenberg-tm works calculated using the method
you already use to calculate your applicable taxes. The fee is owed
to the owner of the Project Gutenberg-tm trademark, but he has
agreed to donate royalties under this paragraph to the Project
Gutenberg Literary Archive Foundation. Royalty payments must be paid
within 60 days following each date on which you prepare (or are
legally required to prepare) your periodic tax returns. Royalty
payments should be clearly marked as such and sent to the Project
Gutenberg Literary Archive Foundation at the address specified in
Section 4, "Information about donations to the Project Gutenberg
Literary Archive Foundation."
* You provide a full refund of any money paid by a user who notifies
you in writing (or by e-mail) within 30 days of receipt that s/he
does not agree to the terms of the full Project Gutenberg-tm
License. You must require such a user to return or destroy all
copies of the works possessed in a physical medium and discontinue
all use of and all access to other copies of Project Gutenberg-tm
works.
* You provide, in accordance with paragraph 1.F.3, a full refund of
any money paid for a work or a replacement copy, if a defect in the
electronic work is discovered and reported to you within 90 days of
receipt of the work.
* You comply with all other terms of this agreement for free
distribution of Project Gutenberg-tm works.
1.E.9. If you wish to charge a fee or distribute a Project
Gutenberg-tm electronic work or group of works on different terms than
are set forth in this agreement, you must obtain permission in writing
from both the Project Gutenberg Literary Archive Foundation and The
Project Gutenberg Trademark LLC, the owner of the Project Gutenberg-tm
trademark. Contact the Foundation as set forth in Section 3 below.
1.F.
1.F.1. Project Gutenberg volunteers and employees expend considerable
effort to identify, do copyright research on, transcribe and proofread
works not protected by U.S. copyright law in creating the Project
Gutenberg-tm collection. Despite these efforts, Project Gutenberg-tm
electronic works, and the medium on which they may be stored, may
contain "Defects," such as, but not limited to, incomplete, inaccurate
or corrupt data, transcription errors, a copyright or other
intellectual property infringement, a defective or damaged disk or
other medium, a computer virus, or computer codes that damage or
cannot be read by your equipment.
1.F.2. LIMITED WARRANTY, DISCLAIMER OF DAMAGES - Except for the "Right
of Replacement or Refund" described in paragraph 1.F.3, the Project
Gutenberg Literary Archive Foundation, the owner of the Project
Gutenberg-tm trademark, and any other party distributing a Project
Gutenberg-tm electronic work under this agreement, disclaim all
liability to you for damages, costs and expenses, including legal
fees. YOU AGREE THAT YOU HAVE NO REMEDIES FOR NEGLIGENCE, STRICT
LIABILITY, BREACH OF WARRANTY OR BREACH OF CONTRACT EXCEPT THOSE
PROVIDED IN PARAGRAPH 1.F.3. YOU AGREE THAT THE FOUNDATION, THE
TRADEMARK OWNER, AND ANY DISTRIBUTOR UNDER THIS AGREEMENT WILL NOT BE
LIABLE TO YOU FOR ACTUAL, DIRECT, INDIRECT, CONSEQUENTIAL, PUNITIVE OR
INCIDENTAL DAMAGES EVEN IF YOU GIVE NOTICE OF THE POSSIBILITY OF SUCH
DAMAGE.
1.F.3. LIMITED RIGHT OF REPLACEMENT OR REFUND - If you discover a
defect in this electronic work within 90 days of receiving it, you can
receive a refund of the money (if any) you paid for it by sending a
written explanation to the person you received the work from. If you
received the work on a physical medium, you must return the medium
with your written explanation. The person or entity that provided you
with the defective work may elect to provide a replacement copy in
lieu of a refund. If you received the work electronically, the person
or entity providing it to you may choose to give you a second
opportunity to receive the work electronically in lieu of a refund. If
the second copy is also defective, you may demand a refund in writing
without further opportunities to fix the problem.
1.F.4. Except for the limited right of replacement or refund set forth
in paragraph 1.F.3, this work is provided to you 'AS-IS', WITH NO
OTHER WARRANTIES OF ANY KIND, EXPRESS OR IMPLIED, INCLUDING BUT NOT
LIMITED TO WARRANTIES OF MERCHANTABILITY OR FITNESS FOR ANY PURPOSE.
1.F.5. Some states do not allow disclaimers of certain implied
warranties or the exclusion or limitation of certain types of
damages. If any disclaimer or limitation set forth in this agreement
violates the law of the state applicable to this agreement, the
agreement shall be interpreted to make the maximum disclaimer or
limitation permitted by the applicable state law. The invalidity or
unenforceability of any provision of this agreement shall not void the
remaining provisions.
1.F.6. INDEMNITY - You agree to indemnify and hold the Foundation, the
trademark owner, any agent or employee of the Foundation, anyone
providing copies of Project Gutenberg-tm electronic works in
accordance with this agreement, and any volunteers associated with the
production, promotion and distribution of Project Gutenberg-tm
electronic works, harmless from all liability, costs and expenses,
including legal fees, that arise directly or indirectly from any of
the following which you do or cause to occur: (a) distribution of this
or any Project Gutenberg-tm work, (b) alteration, modification, or
additions or deletions to any Project Gutenberg-tm work, and (c) any
Defect you cause.
Section 2. Information about the Mission of Project Gutenberg-tm
Project Gutenberg-tm is synonymous with the free distribution of
electronic works in formats readable by the widest variety of
computers including obsolete, old, middle-aged and new computers. It
exists because of the efforts of hundreds of volunteers and donations
from people in all walks of life.
Volunteers and financial support to provide volunteers with the
assistance they need are critical to reaching Project Gutenberg-tm's
goals and ensuring that the Project Gutenberg-tm collection will
remain freely available for generations to come. In 2001, the Project
Gutenberg Literary Archive Foundation was created to provide a secure
and permanent future for Project Gutenberg-tm and future
generations. To learn more about the Project Gutenberg Literary
Archive Foundation and how your efforts and donations can help, see
Sections 3 and 4 and the Foundation information page at
www.gutenberg.org Section 3. Information about the Project Gutenberg
Literary Archive Foundation
The Project Gutenberg Literary Archive Foundation is a non profit
501(c)(3) educational corporation organized under the laws of the
state of Mississippi and granted tax exempt status by the Internal
Revenue Service. The Foundation's EIN or federal tax identification
number is 64-6221541. Contributions to the Project Gutenberg Literary
Archive Foundation are tax deductible to the full extent permitted by
U.S. federal laws and your state's laws.
The Foundation's principal office is in Fairbanks, Alaska, with the
mailing address: PO Box 750175, Fairbanks, AK 99775, but its
volunteers and employees are scattered throughout numerous
locations. Its business office is located at 809 North 1500 West, Salt
Lake City, UT 84116, (801) 596-1887. Email contact links and up to
date contact information can be found at the Foundation's web site and
official page at www.gutenberg.org/contact
For additional contact information:
Dr. Gregory B. Newby
Chief Executive and Director
gbnewby@pglaf.org
Section 4. Information about Donations to the Project Gutenberg
Literary Archive Foundation
Project Gutenberg-tm depends upon and cannot survive without wide
spread public support and donations to carry out its mission of
increasing the number of public domain and licensed works that can be
freely distributed in machine readable form accessible by the widest
array of equipment including outdated equipment. Many small donations
($1 to $5,000) are particularly important to maintaining tax exempt
status with the IRS.
The Foundation is committed to complying with the laws regulating
charities and charitable donations in all 50 states of the United
States. Compliance requirements are not uniform and it takes a
considerable effort, much paperwork and many fees to meet and keep up
with these requirements. We do not solicit donations in locations
where we have not received written confirmation of compliance. To SEND
DONATIONS or determine the status of compliance for any particular
state visit www.gutenberg.org/donate
While we cannot and do not solicit contributions from states where we
have not met the solicitation requirements, we know of no prohibition
against accepting unsolicited donations from donors in such states who
approach us with offers to donate.
International donations are gratefully accepted, but we cannot make
any statements concerning tax treatment of donations received from
outside the United States. U.S. laws alone swamp our small staff.
Please check the Project Gutenberg Web pages for current donation
methods and addresses. Donations are accepted in a number of other
ways including checks, online payments and credit card donations. To
donate, please visit: www.gutenberg.org/donate
Section 5. General Information About Project Gutenberg-tm electronic works.
Professor Michael S. Hart was the originator of the Project
Gutenberg-tm concept of a library of electronic works that could be
freely shared with anyone. For forty years, he produced and
distributed Project Gutenberg-tm eBooks with only a loose network of
volunteer support.
Project Gutenberg-tm eBooks are often created from several printed
editions, all of which are confirmed as not protected by copyright in
the U.S. unless a copyright notice is included. Thus, we do not
necessarily keep eBooks in compliance with any particular paper
edition.
Most people start at our Web site which has the main PG search
facility: www.gutenberg.org
This Web site includes information about Project Gutenberg-tm,
including how to make donations to the Project Gutenberg Literary
Archive Foundation, how to help produce our new eBooks, and how to
subscribe to our email newsletter to hear about new eBooks.