The Project Gutenberg EBook of Metabolic Adaptation to Climate and
Distribution of the Raccoon Procyon Lotor and Other Procyonidae, by John N. Mugaas and John Seidensticker and Kathleen P. Mahlke-Johnson
This eBook is for the use of anyone anywhere at no cost and with
almost no restrictions whatsoever. You may copy it, give it away or
re-use it under the terms of the Project Gutenberg License included
with this eBook or online at www.gutenberg.org
Title: Metabolic Adaptation to Climate and Distribution of the Raccoon Procyon Lotor and Other Procyonidae
Author: John N. Mugaas
John Seidensticker
Kathleen P. Mahlke-Johnson
Release Date: May 5, 2011 [EBook #36036]
Language: English
Character set encoding: ISO-8859-1
*** START OF THIS PROJECT GUTENBERG EBOOK THE RACCOON PROCYON LOTOR ***
Produced by Colin Bell, Tom Cosmas, Joseph Cooper and the
Online Distributed Proofreading Team at http://www.pgdp.net
Mugaas, J. N., J. Seidensticker, and K. Mahlke-Johnson. Metabolic Adaptation to Climate and Distribution of the Raccoon Procyon lotor and Other Procyonidae. Smithsonian Contributions to Zoology, number 542, 34 pages, 8 figures, 12 tables, 1993.—Although the family Procyonidae is largely a Neotropical group, the North American raccoon, Procyon lotor, is more versatile in its use of climate, and it is found in nearly every habitat from Panama to 60°N in Canada. We hypothesized that most contemporary procyonids have remained in tropic and subtropic climates because they have retained the metabolic characteristics of their warm-adapted ancestors, whereas Procyon lotor evolved a different set of adaptations that have enabled it to generalize its use of habitats and climates. To test this hypothesis we compared Procyon lotor with several other procyonids (Bassariscus astutus, Nasua nasua, Nasua narica, Procyon cancrivorus, and Potos flavus) with respect to (1) basal metabolic rate (Ḣb), (2) minimum wet thermal conductance (Cmw), (3) diversity of diet (Dd), (4) intrinsic rate of natural increase (rmax), and, where possible, (5) capacity for evaporative cooling (Ec). We measured basal and thermoregulatory metabolism, evaporative water loss, and body temperature of both sexes of Procyon lotor from north central Virginia, in summer and winter. Metabolic data for other procyonids were from literature, as were dietary and reproductive data for all species.
Procyon lotor differed from other procyonids in all five variables. (1) Procyon lotor's mass specific Ḣb (0.46 mL O2·g-1·h-1) was 1.45 to 1.86 times greater than values for other procyonids. (2) Because of its annual molt, Procyon lotor's Cmw was about 49% higher in summer than winter, 0.0256 and 0.0172 mL O2·g-1·h-1·°C-1, respectively. The ratio of measured to predicted Cmw for Procyon lotor in winter (1.15) was similar to values calculated for Potos flavus (1.02) and Procyon cancrivorus (1.25). Values for other procyonids were higher than this, but less than the value for Procyon lotor (1.76) in summer. On a mass specific basis, Bassariscus astutus had the lowest Cmw with a ratio of 0.85. (3) Procyon lotor utilized three times as many food categories as Procyon cancrivorus, Nasua nasua, and Bassariscus astutus; about two times as many as Nasua narica; and nine times as many as Potos flavus. (4) Intrinsic rate of natural increase correlated positively with Ḣb. Procyon lotor had the highest rmax (2.52 of expected) and Potos flavus the lowest (0.48 of expected). The other procyonids examined also had low Ḣb, but their rmax's were higher than predicted (1.11-1.32 of expected). Early age of first female reproduction, fairly large litter size, long life span, high-quality diet, and, in one case, female social organization all compensated for low Ḣb and elevated rmax. (5) Although data on the capacity for evaporative cooling were incomplete, this variable appeared to be best developed in Procyon lotor and Bassariscus astutus, the two species that have been most successful at including temperate climates in their distributions.
These five variables are functionally interrelated, and have co-evolved in each species to form a unique adaptive unit that regulates body temperature and energy balance throughout each annual cycle. The first four variables were converted into normalized dimensionless numbers, which were used to derive a composite score that represented each species' adaptive unit. Procyon lotor had the highest composite score (1.47) and Potos flavus the lowest (0.39). Scores for the other procyonids were intermediate to these extremes (0.64-0.79). There was a positive correlation between the number of climates a species occupies and the magnitude of its composite score. Linear regression of this relationship indicated that 89% of the variance in climatic distribution was attributed to the composite scores. Differences in metabolic adaptation, therefore, have played a role in delimiting climatic distribution of these species.
It was clear that Procyon lotor differed from the other procyonids with respect to thermoregulatory ability, diet, and reproductive potential. These differences have enabled it to become a highly successful climate generalist, and its evolution of an Ḣb that is higher than the procyonid norm appears to be the cornerstone of its success.
Official publication date is handstamped in a limited number of initial copies and is recorded in the Institution's annual report, Smithsonian Year. Series cover design: The coral Montastrea cavernosa (Linnaeus).
Library of Congress Cataloging-in-Publication Data
Mugaas, John N.
Metabolic adaptation to climate and distribution of the raccoon Procyon lotor and other Procyonidae / John N. Mugaas,
John Seidensticker, and Kathleen P. Mahlke-Johnson.
p. cm.—(Smithsonian contributions to zoology; no. 542)
Includes bibliographical references (p. )
1. Raccoons-Metabolism-Climatic factors. 2. Procyonidae-Metabolism-Climatic factors. 3. Raccoons-Geographical
distribution. 4. Procyonidae-Geographical distribution. I. Seidensticker, John. II. Mahlke-Johnson,
Kathleen. III. Title. IV. Series.
QL1.S54 no. 542 [QL737.C26] 591 s-dc20 [599.74´443´04542] 93-3119
The paper used in this publication meets the minimum requirements of the American
National Standard for Permanence of Paper for Printed Library Materials z39.48—1984.
The major carnivore radiations took place about 40 million years before present (MYBP) in the late Eocene and early Oligocene (Ewer, 1973:363; Wayne et al., 1989). Between 30 and 40 MYBP, a progenitor split into the ursid and procyonid lineages, which evolved into present-day bears, pandas, and raccoons (Wayne et al., 1989). The taxonomic relatedness of pandas to bears and raccoons has been tested extensively and a number of authors have summarized current thinking on the problem (Martin, 1989; Wayne et al., 1989; Wozencraft, 1989a, 1989b; Decker and Wozencraft, 1991). Davis (1964:322-327) and others (Leone and Wiens, 1956; Todd and Pressman, 1968; Sarich, 1976; O'Brien et al., 1985) place the giant panda, Ailuropoda melanoleuca, with the ursids. The taxonomic status of the red panda, Ailurus fulgens, appears to be less certain. Some current investigations align the red panda with bears (Segall, 1943; Todd and Pressman, 1968; Hunt, 1974; Ginsburg, 1982; Wozencraft, 1984:56-110; 1989a), whereas others place them intermediate to procyonids and bears (Wurster and Benirschke, 1968; Sarich, 1976; O'Brien et al., 1985), or in close relationship to the giant panda (Tagle et al., 1986).
The procyonid radiation took place in North America and produced forms that were mostly arboreal and omnivorous (Eisenberg, 1981:122; Martin, 1989). The center of this diversification occurred in Middle America (Baskin, 1982; Webb, 1985b) during the Miocene (Darlington, 1963:367; Webb, 1985b). Fossil procyonids from the late Miocene are represented in Florida, California, Texas, Nebraska, Kansas, and South Dakota (Baskin, 1982; Martin, 1989) and include such genera as Bassariscus, Arctonasua, Cyonasua, Paranasua, Nasua, and Procyon (Baskin, 1982; Webb, 1985b). During the Miocene procyonids underwent a modest radiation within tropical and subtropical climates of North America's central and middle latitudes. Cyonasua, which has close affinities to Arctonasua (Baskin, 1982), appears in tropical South America in the late Miocene and immigrated there either by rafting across the Bolivar Trough or by island-hopping through the Antilles archipelagoes (Marshall et al., 1982; Marshall, 1988). Thus, procyonids were found on both continents prior to formation of the Panamanian land bridge (Darlington, 1963:367, 395; Marshall et al., 1982; Marshall, 1988). Origins of Bassaricyon and Potos are obscure but probably occurred in tropical rainforests of Middle America (Baskin, 1982; Webb, 1985b). A subsequent Pleistocene dispersal carried several modern genera (Table 1) across the Panamanian land bridge into South America (Webb, 1985b). Bassariscus and Bassaricyon represent the most primitive genera in Procyoninae and Potosinae subfamilies, respectively (Table 1; Wozencraft, 1989a; Decker and Wozencraft, 1991).
In the early Tertiary, mid-latitudes of North America were much warmer than they are now, but not fully tropical, and temperate deciduous forests, associated with strongly seasonal climates, occurred only in the far north (Barghoorn, 1953; Colbert, 1953; Darlington, 1963:589, 590). Major climatic deteriorations, with their attendant cooling of northern continents, occurred during the Eo-Oligocene transition, in the middle Miocene, at the end of the Miocene, and at about 3 MYBP (late Pliocene). This last deterioration corresponds with closure of the Panamanian isthmus (Berggren, 1982; Webb, [Pg 2] 1985a). Climatic deterioration went on at an accelerating rate during the late Tertiary, with glacial conditions developing at the poles by the mid-Pliocene (Barghoorn, 1953). Therefore, throughout the Tertiary, as continents cooled, northern climate zones moved toward the tropics (Barghoorn, 1953; Colbert, 1953; Darlington, 1963:589, 590, 594, 595; Webb, 1985a).
Order Carnivora Bowdich, 1821
Suborder Caniformia Kretzoi, 1945
Family Procyonidae Gray, 1825
Subfamily Potosinae Trouessart, 1904
Genus Potos E. Geoffroy and G. Cuvier, 1795
P. flavus (S.A., C.A., M.)
Genus Bassaricyon Allen, 1876
B. alleni[A] (S.A.)
B. beddardi[A] (S.A.)
B. gabbii[A] (nS.A., C.A.)
B. lasius[A] (C.A.)
B. pauli[A] (C.A.)
Subfamily Procyoninae Gray, 1825
Genus Bassariscus Coues, 1887
B. astutus (M., wU.S.)
B. sumichrasti (C.A., M.)
Genus Nasua Storr, 1780
N. narica[B] (nS.A., C.A., M., swU.S.)
N. nasua[B] (S.A., sC.A.)
Genus Nasuella Hollister, 1915
N. olivacea (S.A.)
Genus Procyon Storr, 1780
P. cancrivorus (S.A., sC.A.)
P. gloveralleni[C] (Barbados)
P. insularis[C] (Maria Madre Is., Maria Magdalene Is.)
P. lotor[C] (C.A., M., U.S., sC.)
P. maynardi[C] (Bahamas, New Providence Is.)
P. minor[C] (Guadeloupe Is.)
P. pygmaeus[C] (M., Quintana Roo, Cozumel Is.)
During the late Miocene, late Pliocene, and Pleistocene, the Bering land bridge between North America and Asia formed periodically, offering an avenue for dispersal between northern continents (Darlington, 1963:366; Webb, 1985a). However, by the late Tertiary, northern continents had cooled to the extent that climate, with its attendant sharply defined vegetative zones, became the major factor limiting dispersal by this route (Darlington, 1963:366; Webb, 1985a). Those Holarctic mammals that did cross the Bering land bridge in the late Tertiary were "cold-adapted" species associated with relatively cool, but not alpine, climates (Darlington, 1963:366; Ewer, 1973:369). Among carnivores this included some canids, ursids, mustelids, and felids (Darlington, 1963:393-395, 397; Webb, 1985a). Procyonids, however, did not cross the Bering land bridge into Asia, and Ewer (1973:369) ascribes this to their being an "essentially tropical group." Miocene radiation of procyonids occurred at a time when two of the four major climatic deteriorations (middle and late Miocene) were taking place (Webb, 1985a, 1985b). These deteriorations had the effect of cooling the middle latitudes to the extent that temperate forest forms began to appear in mid-latitude floras, along with a rapid influx of herbaceous plants (Barghoorn, 1953). The procyonid radiation did not penetrate beyond these climatically changing middle latitudes, which implies that these animals were "warm-adapted," and were, therefore, physiologically excluded from reaching the Bering land bridge. Today, three of the six genera and over half of the 18 species that comprise Procyonidae (Table 1; Wozencraft, 1989b) remain confined to tropical regions of North and South America (Hall and Kelson, 1959:878-897; Poglayen-Neuwall, 1975; Kortlucke and Ramirez-Pulido, 1982; Nowak and Paradiso, 1983:977-985).
[↑ TOC]McNab (1988a) contends that basal metabolism is a highly plastic character in evolution, and he has amply shown that ecologically uniform species are more apt to share common metabolic rates than taxonomically allied species from drastically different environments (McNab, 1984a, 1986a, 1986b, 1988a). Procyonids represent a taxonomically allied group that shared a common ecological situation for millions of years; consequently, members of this family might be expected to show some uniformity in their Ḣb. Basal and thermoregulatory metabolism of several procyonids have been measured: kinkajou, Potos flavus (Müller and Kulzer, 1977; McNab, 1978a; Müller and Rost, 1983), coatis, Nasua nasua (Chevillard-Hugot et al., 1980; Mugaas et al., in prep.), and Nasua narica (Scholander et al., 1950c; Mugaas et al., in prep.), ringtail, Bassariscus astutus (Chevalier, 1985), and crab-eating raccoon, Procyon cancrivorus (Scholander et al., 1950c). In general, these species have Ḣb's that are 40%-80% of the values predicted for them by the Kleiber (1961:206) equation. Lower than predicted Ḣb is viewed as an energy-saving adaptation for procyonids living in relatively stable tropical climates (Müller and Kulzer, 1977; Chevillard-Hugot et al., 1980; Müller and Rost, 1983). This implies that lower than predicted Ḣb is a general procyonid condition and that it represents a characteristic that evolved in response to the family's long association with tropical and subtropical forest environments.[Pg 3]
[↑ TOC]Although most procyonids are found in only tropical to subtropical climates, the North American raccoon, Procyon lotor, (Figure 1) has a much broader distribution that extends from tropical Panama (8°N) to southern Canada. In Alberta, Canada, its range reaches the edge of the Hudsonian Life Zone at 60°N (for distribution maps see Hall and Kelson, 1959:878-897, and Poglayen-Neuwall, 1975). Range extensions and an increase in numbers have been noted in Canada and in parts of the United States since the 19th century (Lotze and Anderson, 1979; Kaufmann, 1982; Nowak and Paradiso, 1983:977-985). Thus, Procyon lotor is more complex ecologically than other procyonids, particularly when one takes into account its highly generalized food habits (Hamilton, 1936; Stuewer, 1943; Stains, 1956:39-51; Greenwood, 1981) and the wide range of habitat types (forest, prairie, desert, mountain, coastal marsh, freshwater marsh) and climates (tropical to north temperate) in which it is successful (Whitney and Underwood, 1952:1; Hall and Kelson, 1959:885; Lotze and Anderson, 1979; Kaufmann, 1982). On this basis it is clear that Procyon lotor has deviated from the typical procyonid portrait and has become the consummate generalist of the Procyonidae.

[Pg 4]Our general hypothesis was that whereas most contemporary procyonids have retained the metabolic characteristics of their warm-adapted ancestors, Procyon lotor possesses a different set of adaptations, which either evolved as characteristics unique to this species or were acquired from its ancestral stock. In either case, its unique adaptations have given Procyon lotor the physiological flexibility to generalize its use of habitats and climates and expand its geographic distribution to a much greater extent than other procyonids.
[↑ TOC]We tested our hypothesis by comparing Procyon lotor with several other procyonids (Bassariscus astutus, Nasua nasua, Nasua narica, Procyon cancrivorus, and Potos flavus) on the basis of their (1) basal metabolic rate (Ḣb), (2) minimum wet thermal conductance (Cmw), (3) diversity of diet (Dd), (4) intrinsic rate of natural increase (rmax), and, when data were available, (5) capacity for evaporative cooling (Ec). In a genetic sense each one of these variables is a complex adaptive characteristic, expression of which is determined by the interaction of several genes (Prosser, 1986:110-165). Experience has shown that a given species will express each one of these variables in a specific manner that is relevant to its mass, physiology, behavior, and environmental circumstance. Thus, different expressions of these variables may represent specific climatic adaptations (Prosser, 1986:16) that have been selected-for by evolutionary process. Because these variables are interrelated with respect to regulation of body temperature and energy balance, they have co-evolved in each species to form an adaptive unit. For each species, measured and calculated values for the first four variables were converted into dimensionless numbers and used to derive a composite score that represented its adaptive unit. Climatic distributions of these species were then compared relative to their composite scores.
[↑ TOC]Basal metabolic rate represents the minimum energy required by an animal to maintain basic homeostasis (Lusk, 1917:141; Kleiber, 1932, 1961:251; Benedict, 1938; Brody, 1945:59; Robbins, 1983:105-111). For mammals, Ḣb appears to be determined by complex interactions between their body size (Kleiber, 1932, 1961:206; Benedict, 1938; Brody, 1945:368-374; Hemmingsen, 1960:15-36; McNab, 1983b; Calder, 1987), the climate in which they live (Scholander et al., 1950c; McNab and Morrison, 1963; Hulbert and Dawson, 1974; Shkolnik and Schmidt-Nielsen, 1976; McNab, 1979a; Vogel, 1980), their food habits (McNab, 1978a, 1978b, 1980a, 1983a, 1984a, 1986a, 1986b, 1988a, 1989), and their circadian period (Aschoff and Pohl, 1970; Prothero, 1984). Some species have higher mass-specific Ḣb than others, and this variation appears to be tied to ecological circumstances rather than taxonomic affinities (McNab, 1988a, 1989). Basal metabolic rate is important ecologically because it serves as a measure of a species' minimum "obligatory" energy requirement, and under many circumstances, it represents the largest energy demand associated with a daily energy budget (King, 1974:38-55; McNab, 1980a; Mugaas and King, 1981:37-40). Recently it also has been implicated as a permissive factor with respect to rmax of mammals (Hennemann, 1983; Lillegraven et al., 1987; Nicoll and Thompson, 1987; Thompson, 1987) via its direct effect on their rates of development and fecundity (McNab, 1980a, 1983a, 1986b; Hennemann, 1983; Schmitz and Lavigne, 1984; Glazier, 1985a, 1985b). The implication of this latter point is that those species with higher Ḣb's also have faster rates of development and greater fecundity and hence enjoy the competitive advantage of a higher rmax. Basal metabolism is, therefore, "a highly plastic character in the course of evolution" (McNab, 1988a:25) that has a profound influence on each species' life history.
[↑ TOC]Whole-body resistance to passive heat transfer is equal to tissue resistance plus coat resistance. Within limits, these resistances can be altered; tissue resistance can be varied by changes in blood flow, whereas coat resistance can be changed by piloerection, molt, and behavior. When whole-body resistance is maximized (maximum tissue and coat resistances), passive heat transfer is minimized. The inverse of resistance is conductance; therefore, maximum whole-body resistance is the inverse of minimum thermal conductance (Cm). Minimum thermal conductance is readily derived from metabolic chamber data, and it is commonly used to describe an animal's capacity to minimize passive heat transfer. Minimum thermal conductance interacts with Ḣb and body mass to set the maximum temperature differential a mammal can maintain without increasing its basal level of heat production. The low temperature in this differential is the lower critical temperature (Tlc).
Mass-specific Cm for mammals is negatively correlated with body mass (McNab and Morrison, 1963; Herreid and Kessel, 1967; McNab, 1970, 1979b; Bradley and Deavers, 1980; Aschoff, 1981), and for any given mass its magnitude is 52% higher during the active, rather than the inactive, phase of the daily cycle (Aschoff, 1981). However, some mammals have Cm's that are higher or lower than would be predicted for them on the basis of body mass and circadian phase. Seasonal [Pg 5] variation in Cm (higher values during summer than winter) has been reported for many northern mammals that experience large annual variations in air temperature (Scholander et al., 1950a; Irving et al., 1955; Hart, 1956, 1957; Irving, 1972:165). Some tropical mammals with very thin fur coats, and others with nearly hairless bodies, have high Cm's (McNab, 1984a), as do burrowing mammals (McNab, 1966, 1979b, 1984a) and the kit fox, Vulpes macrotis (Golightly and Ohmart, 1983). Some small mammals with low basal metabolic rates tend to have lower than predicted Cm's: small marsupials (McNab, 1978a), heteromyid rodents (McNab, 1979a), several ant eaters (McNab, 1984a), the arctic hare, Lepus arcticus (Wang et al., 1973), the ringtail, Bassariscus astutus (Chevalier, 1985), and the fennec, Fennecus zerda (Noll-Banholzer, 1979). Thus, in spite of its mass dependence, Cm also has been modified during the course of evolution by selective factors in the environment and by the animal's own metabolic characteristics.
[↑ TOC]Latent heat loss occurs as a result of evaporation from the respiratory tract and through the skin, and except under conditions of heat stress, it "is a liability in thermal and osmotic homeostasis" (Calder and King, 1974:302). Ec, defined as the ratio of evaporative heat lost to metabolic heat produced, can be used to quantify thermoregulatory effectiveness of evaporative cooling and to make comparisons of heat tolerance between species. Thermoregulatory effectiveness of latent heat loss is not just a function of the rate of evaporative water loss but also of the rate of metabolic heat production (Lasiewski and Seymour, 1972). For example, a low metabolic rate minimizes endogenous heat load and thus conserves water, whereas the opposite is true of high metabolic rates (Lasiewski and Seymour, 1972). Some mammals that live in arid regions have evolved low metabolic rates and thus capitalize on this relationship to reduce their thermoregulatory water requirement (McNab and Morrison, 1963; McNab, 1966; MacMillen and Lee, 1970; Noll-Banholzer, 1979). What is evident, therefore, is that an animal's capacity for increasing latent heat loss must evolve together with its Ḣb and Cm in response to specific environmental demands.
[↑ TOC]McNab (1986a, 1988a, 1989) demonstrated that, for mammals, departures of Ḣb from the Kleiber (1961:206) "norm" are highly correlated with diet and independent of phylogenetic relationships. McNab's analysis indicates that for mammals that feed on invertebrates, those species with body mass less than 100 g have Ḣb's that are equal to or greater than values predicted by the Kleiber equation, whereas those with body mass greater than 100 g have metabolic rates that are lower than predicted. Grazers, vertebrate eaters, nut eaters, and terrestrial frugivores also have Ḣb's that are equal to or greater than predicted, whereas insectivorous bats, arboreal folivores, arboreal frugivores, and terrestrial folivores all have rates that are lower than predicted. McNab (1986a) found animals with mixed diets harder to categorize, but in general he predicted that their Ḣb's would be related to (1) a food item that is constantly available throughout the year, (2) a food item that is most available during the worst conditions of the year, or (3) a mix of foods available during the worst time of the year. Although these correlations do not establish cause and effect between food habits and Ḣb, McNab's analysis does make it clear that the relationship between these variables has very real consequences for an animal's physiology, ecology, and evolution.
[↑ TOC]In this investigation we measured basal and thermoregulatory metabolism, evaporative water loss, and body temperature of raccoons from north central Virginia. Measurements were conducted on both sexes in summer and winter to determine how season and sex influenced these variables. We then compared the data for this widely distributed generalist with data from literature for its ecologically more restricted relatives. Dietary data for all species were taken from literature, as were reproductive data for calculation of rmax.
Our analysis demonstrated clear differences between Procyon lotor and other procyonids with respect to Ḣb, Cmw, Dd, and rmax. The composite score calculated from these variables for Procyon lotor was much higher than those derived for other species, and there was a positive correlation between the number of climates a species occupies and the magnitude of its composite score. Data on evaporative water loss, although not complete for all species, suggested that tropical and subtropical procyonids have less capacity for evaporative cooling than Procyon lotor or Bassariscus astutus. It was clear, therefore, that with respect to its thermal physiology, Procyon lotor differed markedly from other procyonids, and we contend that these differences have allowed this species to become a highly successful climate generalist and to expand its distribution into many different habitats and climates. Our analysis also suggested that the cornerstone of Procyon lotor's success as a climate generalist is its Ḣb, which is higher than the procyonid norm.
[↑ TOC]The authors would like to thank John Eisenberg and Devra Kleiman for their support and encouragement throughout the study. This investigation was supported by research grants from the West Virginia School of Osteopathic Medicine (WVSOM), and Friends of the National Zoo (FONZ). Logistic support was provided by the National Zoological Park's Conservation and Research Center (CRC), and the departments of Mammalogy and Zoological Research. Our ability to [Pg 6] conduct physiological research at CRC was made possible by the thoughtful support and encouragement provided by Chris Wemmer. His excellent staff at CRC, especially Jack Williams, Junior Allison, and Red McDaniel, were very helpful in providing hospitality and logistical support to the senior author and his family during their various visits to the Center. The assistance of several people at the National Zoo also is gratefully acknowledged: Mitch Bush and Lyndsay Phillips not only provided veterinary support throughout the investigation, but also performed surgical procedures required to implant temperature-sensitive radio transmitters in several raccoons; Olav Oftedal made his laboratory available to us at various times and loaned us equipment to use at CRC; Miles Roberts and his staff provided care for our captive raccoons in the Department of Zoological Research during various parts of the investigation. Greg Sanders and Ken Halama, supported by FONZ assistantships, cared for our captive raccoons at CRC, provided assistance in the laboratory whenever needed, and were an invaluable source of aid. Their friendship and help is gratefully acknowledged. Ellen Broudy and Andy Meyer, supported by WVSOM and a student work study grant, respectively, provided assistance in the laboratory. David Brown, John Eisenberg, Mary Etta Hight, Brian McNab, Steve Thompson, and W. Chris Wozencraft critically reviewed various phases of the manuscript and provided many helpful suggestions. We deeply appreciate the work of Jean B. McConville, whose beneficial editorial suggestions helped us improve several early versions of the manuscript. We also gratefully acknowledge Diane M. Tyler, our editor at the Smithsonian Institution Press, whose expertise helped us mold the manuscript into its final form. Jill Mellon and Sriyanie Miththalapa, supported by FONZ traineeships, assisted in measuring the daily cycle of body temperature in raccoons. The Virginia Commission of Game and Inland Fisheries gave us permission to use wild-caught raccoons in this project.
Raccoons were caught from May 1980 through December 1984 on a trapping grid of 30 to 35 stations (one or two "live traps" per station) that covered about one-third of the National Zoological Park's Conservation and Research Center (CRC) near Front Royal, Virginia (Seidensticker et al., 1988; Hallett et al., 1991). Animals were trapped during 10 consecutive days each month, and in this five-year interval 407 raccoons were captured and marked with tattoos and ear tags. All captured animals were individualized with respect to age, reproductive status, physical condition, parasite load, and mass and body dimensions. These data characterized the structure and dynamics of the raccoon population at CRC and provided information on the annual cycle of fattening for raccoons in north central Virginia.
Animals used for metabolic measurements were captured at CRC about 1.5 km south of the trapping grid and thus were genetically representative of the area. Six males were captured and measured during the summer of 1983. These animals were kept isolated for a week before being measured and were released later that summer at the site of their capture. The other seven animals used in our study were from the collection of the National Zoological Park and all of them had their origins at CRC.
[↑ TOC]Metabolic measurements, conducted at CRC, were carried out on eight males during July and August 1983, on four females and three males from November 1983 through March 1984, and on four females during June and July 1984.
Raccoons were housed throughout the study such that they were constantly exposed to a natural cycle of temperature and photoperiod. Weather records for the Front Royal area indicate that average temperatures are around -0.5°C in January and 23.3°C in July (Crockett, 1972). Light:dark (L:D) periods for the latitude of CRC (48°55'N; United States Department of the Interior Geological Survey, 1972), calculated from duration of daylight tables (List, 1971:506-512), were 14.9:9.1 and 9.4:14.6 hours L:D for summer and winter solstices, respectively, and 12.2:11.8 hours L:D for vernal and autumnal equinoxes.
Our animals were fed a measured amount of food daily, and they usually ate most of what was provided. Occasionally these animals would eat very little or none of their ration, and on some days they would eat all that was given to them. We fed them either feline diet (ground horse meat) or canned mackerel (Star-kist®[1]) along with high-protein dog chow (Purina®). When available, fresh fruit also was added to their diet. Water was always provided ad libitum.
Measurements were conducted during the raccoons' daily inactive period (sunrise to sunset) in both summer and winter. Oxygen consumption was measured in a flow-through metabolism chamber at 5°C intervals from -10°C to 35°C. Animals were held at each temperature until the lowest rate of oxygen consumption had been obtained and maintained for at least 15 minutes. During each determination, oxygen consumption was monitored for 30 minutes to one hour beyond a suspected minimum value to see if an even lower reading could be obtained. Raccoons attained minimum levels of oxygen consumption more quickly at warm (>10°C) than at cold [Pg 7] temperatures. Depending on the temperature, therefore, each measurement took from two to five hours to complete. On days when two measurements could be completed, the second trial was always at a temperature 10°C warmer than the first.
The metabolism chamber was constructed from galvanized sheet metal (77.5 × 45.5 × 51.0 cm = 180 liters) and was painted black inside. Within the chamber, the animal was held in a cage (71 × 39 × 33 cm) constructed from turkey wire that also was painted black. This cage prevented the raccoons from coming into contact with the walls of the chamber, yet it was large enough to allow them to stand and freely move about. The bottom of the cage was 11 cm above the chamber floor, which was covered to a depth of one cm with mineral oil to trap urine and feces.
During measurements, the metabolism chamber was placed in a controlled-temperature cabinet (modified Montgomery Ward model 8969 freezer). Air temperature (Ta) in the metabolism chamber was regulated with a Yellow Springs Instrument model 74 temperature controller. Ta was controlled to ± 1.0°C at temperatures below freezing, and to ± 0.5°C at temperatures above freezing. The chamber air and wall temperatures were recorded continuously (Linseis model LS-64 recorder) during each experiment, and, except during temperature changes, they were always within 0.5°C of each other.
Columns of Drierite® and Ascarite® removed water vapor and carbon dioxide, respectively, from air entering and leaving the chamber. Dry carbon-dioxide-free room air was pumped into the chamber (Gilman model 13152 pressure/vacuum pump) at a rate of 3.0 L/min (Gilmont model K3203-20 flow meter). Downstream from the chemical absorbents, an aliquot (0.1 L/min) of dry carbon-dioxide-free air was drawn off the chamber exhaust line and analyzed for oxygen content (Applied Electrochemistry model S-3A oxygen analyzer, model 22M analysis cell, and model R-1 flow control). All gas values were corrected to standard temperature and pressure for dry gas. Oxygen consumption was calculated from the difference in oxygen content between inlet and outlet air using Eq. 8 of Depocas and Hart (1957).
Each raccoon was fasted for at least 12 hours before oxygen consumption measurements began. At the start and end of each metabolic trial the animal was weighed to the nearest 10 g (Doctors Infant Scale, Detecto Scales, Inc., Brooklyn, N.Y., U.S.A.). The body mass used in calculating minimum oxygen consumption and evaporative water loss was estimated from timed extrapolations of the difference between starting and ending weights, and the time at which these variables were measured.
[↑ TOC]During metabolic measurements at temperatures above
freezing, evaporative water loss was determined gravimetrically.
Upstream from the chemical columns, an aliquot of air
(0.1 L/min) was drawn off the exhaust line and diverted for a
timed interval through a series of preweighed (0.1 mg)
-tubes
containing Drierite®. The aliquot then passed through a second
series of
-tubes containing Ascarite® before entering the
oxygen analysis system. Evaporative water loss was calculated
using Eq. 1
| Ė = (mw·.Ve)/(.Va·t·m) | Eq. 1 |
where Ė is evaporative water loss (mg·g-1·h-1), mw is mass of
water collected (mg), .Ve is rate of air flow into the chamber (3.0
L/min), .Va is the rate of air flow through the
-tubes (0.1 L/min),
t is length of the timed interval (h), and m is the estimated mass
of the raccoon at the time of sampling (g).
Veterinarians at the National Zoological Park surgically implanted calibrated temperature-sensitive radio transmitters (Telonics, Inc., Mesa, AZ, U.S.A.) into abdominal cavities of two female and two male raccoons. Transmitter pulse periods were monitored with a digital processor (Telonics TDP-2) coupled to a receiver (Telonics TR-2-164/166). During some metabolic measurements, body temperatures of these animals were recorded to the nearest 0.1°C at 30-minute intervals. The daily cycle of body temperature of these raccoons also was measured once a month.
[↑ TOC]At the conclusion of these experiments, the accuracy of our calorimetry apparatus was tested by burning an ethanol lamp in the metabolism chamber. During these tests a CO2 analyzer was incorporated into the system (Beckman, LB-2). Results demonstrated that we measured 84% of the oxygen consumed by the lamp as well as 84% of the water and CO2 it produced; standard deviation = ± 2.6, ± 5.0, and ± 3.6, respectively (n = 27). Average respiratory quotient (RQ) calculated from these data was O.657 ± 0.008 (n = 27), which is 99.5% of that predicted (0.66). McNab (1988b) reports that the accuracy of open-flow indirect calorimetry systems, such as ours, depends on the rate of air flow through the animal chamber. If flow rates are too low, there is inadequate mixing of air within the chamber, and the rate of oxygen consumption, as calculated from the difference in oxygen content of air flowing into and out of the chamber (Depocas and Hart, 1957), is underestimated. At some critical rate of air flow, which is unique to each combination of chamber and animal, this situation changes such that measured rates of oxygen consumption become independent of any further increase in flow rate (McNab, 1988b). In recent tests of our system, where we burned the ethanol lamp at a variety of chamber flow rates, the efficiency [Pg 8] of measurement increased linearly as flow rate increased, and the critical rate of air flow was about 6.7 L/min. This appeared to explain why a flow rate of 3.0 L/min underestimated oxygen consumption of the ethanol lamp.
Our earlier tests of the efficiency of our system indicated that although we underestimated actual oxygen consumption of the ethanol lamp, we did so with a fair degree of precision; probably because flow rates were closely controlled. During our metabolic measurements, chamber flow rates also were closely controlled at 3.0 L/min, and we believe, therefore, that these measurements also were carried out with a high degree of precision. Consequently, all measured values of oxygen consumption and water production were considered to be 84% of their actual value and were adjusted to 100% before being included in this report.
[↑ TOC]The calibration of all temperature-sensitive radio transmitters drifted over time. Transmitters were calibrated before they were surgically implanted and again after they were removed from the animals. Although the drift of each transmitter was unique, it was also linear (S. Tomkiewicz, Telonics, Inc., pers. com.). All body temperature measurements were corrected from timed extrapolations of the difference between starting and ending calibrations.
[↑ TOC]Values of oxygen consumption, evaporative water loss, and body temperature were plotted as a function of chamber air temperature. Linear regressions of oxygen consumption at temperatures below the thermoneutral zone (Tn), and evaporative water loss at temperatures above freezing, were determined with the SAS (1982) GLM procedure. Lower critical temperature (Tlc) was determined graphically from intersection of the line representing Ḣb and the regression line representing oxygen consumption below Tn. Slopes and intercepts of regression lines, as well as other mean values, were compared with t-tests (Statistical Analysis System, 1982; Ott, 1984:138-175). Unless indicated otherwise, data are expressed as mean ± standard deviation (s.d.).
[↑ TOC]We employed the method first described by Cole (1954) to calculate rmax:
| 1 = e-rmax + b·e-rmax(a) - b·e-rmax(n+1) | Eq. 2 |
where a is potential age of females first producing young, b is potential annual birth rate of female young, and n is potential age of females producing their final young. After life-history data were substituted into Eq. 2, rmax was determined by trial and error substitution (Hennemann, 1983).
Because rmax represents the genetically fixed, physiologically determined maximum possible rate of increase, data on earliest possible age of female reproduction, highest possible birth rate of female young, and longest possible female reproductive life span were used for a, b, and n, respectively. Calculated values, therefore, represent physiologically possible, not ecologically possible, intrinsic rates of increase (Hennemann, 1983, 1984; Hayssen, 1984; McNab, 1984b). Values of n were derived from longevity records for captive animals, and as these were all large values of similar duration (14-16 years), they had very little effect on rmax. All species considered have one litter per year, and because their sex ratios at birth are about 50:50, variation in b was due to differences in litter size. Therefore, age of first reproduction and litter size had the greatest effect on rmax. Intrinsic rate of increase scales to body mass (Fenchel, 1974), and we removed this effect by comparing each calculated rmax with the value expected (rmaxe) on the basis of body mass (Hennemann, 1983).
[↑ TOC]Dimensionless numbers for each of the four variables used in calculating composite scores were derived as follows. Ratios of measured to predicted values were used for basal metabolism (Hbr) and minimum wet thermal conductance (Cmwr). Thermoregulatory ability at low temperatures is closely related to the ratio Hbr/Cmwr (McNab, 1966). This ratio was used, therefore, to gauge each species' cold tolerance. For Dd we used the ratio of food categories actually used by a species to the total number of food categories taken by all species tested (Ddr). The ratio of calculated to expected intrinsic rates of natural increase was used to derive rmaxr. Composite scores were calculated as
| Composite score = [(Hbr/Cmwr) + Ddr + rmaxr]/3 | Eq. 3 |
The correlation between number of climates these species occupy and their composite scores was tested by linear regression.
According to monthly live-trapping records, the body mass of free-ranging female raccoons increased from 3.6 ± 0.6 kg during summer to 5.6 ± 0.8 kg in early winter, and the mass of free-ranging males increased from 4.0 ± 0.5 to 6.7 ± 0.9 kg during the same interval. These seasonal changes in body mass were due to fluctuations in the amount of body fat and represent a mechanism for storing energy during fall for use in winter. In summer, captive and trapped male and captive female raccoons had the same body mass (4.73 ± 0.61, 4.41 ± 0.70, and 4.67 [Pg 9] ± 0.88 kg, respectively, Table 2). Mass of captive females did not change between seasons, whereas captive males were heavier in winter than summer (p<0.005; Table 2). This seasonal change in mass of our captive males was of a much smaller magnitude (0.6 kg) than that observed for wild males (2.7 kg). During winter, captive males (5.34 ± 1.39 kg) were heavier than captive females (4.49 ± 0.98 kg; p<0.005; Table 2). Thus, our captive animals maintained a body mass throughout the year that was intermediate to the range of values found for wild raccoons in the same area.
| Season and sex | Body mass, ± s.d., | (n) | Basal metabolism, ± s.d., | (n) |
|---|---|---|---|---|
| Summer | ||||
| Trapped male | 4.41 ± 0.70 | (52) | 780 ± 112 | (20) |
| Captive male | 4.73 ± 0.61 | (22) | 680 ± 102 | (8) |
| Captive female | 4.67 ± 0.88 | (41) | 618 ± 92 | (13) |
| Winter | ||||
| Captive male | 5.34 ± 1.39 | (31) | 704 ± 81 | (19) |
| Captive female | 4.49 ± 0.98 | (42) | 667 ± 139 | (25) |
Within thermoneutrality, Ḣb (mL O2·g-1·h-1) was 0.54 ± 0.09 for trapped males in summer, 0.46 ± 0.07 for captive males in summer, 0.42 ± 0.07 for captive females in summer, 0.47 ± 0.06 for captive males in winter, and 0.46 ± 0.10 for captive females in winter (Figures 2, 3). Ratios of these measured values to those predicted by the Kleiber (1932, 1961:206) equation are 1.28, 1.12, 1.02, 1.17, and 1.09, respectively. To minimize the effect of body size (Mellen, 1963) and to facilitate comparisons between sexes and seasons and between captive and trapped animals, basal metabolism also was calculated as a function of metabolic body size (mL O2·kg-0.75·h-1; Table 2). Based on this analysis, trapped summer males had a higher basal metabolism than captive males (p<0.025) or females (p<0.005) in either season (Table 2). There was no difference in basal metabolism between captive males and females in either summer or winter, and there was no seasonal difference in their basal metabolic rates (Table 2).
Minimum wet and dry thermal conductances were calculated using Eqs. 4 and 5
| Cmw = Ḣr / (Tb - Ta) | Eq. 4 |
| Cmd = (Ḣr - Ėeq) / (Tb - Ta) | Eq. 5 |
where Cmw is wet and Cmd is dry conductance (mL O2·g-1·h-1·°C-1); Ḣr is the lowest resting metabolic rate measured at each temperature (mL O2·g-1·h-1); Ėeq is oxygen equivalent for heat lost by evaporation [Ėeq = mL O2·g-1·h-1 = Ė·λ/γ, where Ė is evaporative water loss (mg·g-1·h-1), λ is heat of vaporization for water (2.43 J/mg), and γ is heat equivalent for oxygen (20.097 J/mL)]; Tb is body temperature (°C); and Ta is chamber air temperature (°C). Only data from animals equipped with temperature-sensitive radio transmitters were used for these calculations.
| Season and sex | Thermal conductance | ||||
|---|---|---|---|---|---|
| Wet ± s.d. | (n) | Dry ± s.d. | (n) | ||
| Summer | |||||
| Captive, both sexes | 0.0256 ± 0.0028 | (18) | 0.0246 ± 0.0019 | (12) | |
| Winter | |||||
| Captive, female | 0.0172 ± 0.0023 | (10) | 0.0161 ± 0.0027 | (6) | |


[Pg 11] Cmw was calculated for each season from metabolic measurements made at all air temperatures below Tlc (Table 3). Because evaporative water loss was not measured at temperatures below freezing, Cmd was calculated only from metabolic determinations made at air temperatures between Tlc and 0°C. There was no difference between males and females in summer for either Cmw or Cmd (mL O2·g-1·h-1·°C-1). Data for each sex were combined to give a summer average of 0.0256 ± 0.0028 for Cmw, and 0.0246 ± 0.0019 for Cmd (Table 3). These summer conductances were 49% higher (p<0.005) than those calculated for winter females (0.0172 ± 0.0023, and 0.0161 ± 0.0027 for Cmw and Cmd, respectively; Table 3). Cmw and Cmd were not different from each other in either summer or winter, which indicated that in both seasons evaporative water loss contributed very little to heat dissipation at temperatures below Tn. Comparisons of thermal conductances calculated on the basis of metabolic body size (Mellen, 1963) gave the same results.
[↑ TOC]Evaporative water loss increased as chamber temperature increased in both summer and winter (Figures 4, 5). In summer, the pattern of increase was different for females and males. Polynomial regressions for trapped and captive males produced equations that describe a concave relationship between Ta and evaporative water loss, whereas the equation for females describes a sigmoid curve (Table 4; Figure 4). For females, water loss increased rapidly at temperatures above 25°C (Figure 4). The intercepts and coefficients of the X, X2, and X3 terms of the polynomial regression equations (Table 4) were compared (t-tests) to determine if they differed from each other. The coefficients in the equation for trapped males differed from those for captive females in the X2 (p<0.05) and X3 (p<0.025) terms. The intercept and coefficients of the equation for captive males, however, were not different from those for either captive females or trapped males. Although this lack of difference is understandable in the case of trapped males, where the shape of the two curves is similar (concave), it is not so clear for the sigmoid curve of captive females (Figure 4). Perhaps the lack of difference in this case is simply due to the small number of observations available for captive males (n = 10; Table 4). Nonetheless, in summer at 35°C, both captive and trapped males relied less on evaporative cooling than did captive females (Figure 4).
In winter, males and females had similar rates of evaporative water loss across the full range of temperatures tested (Figure 5). Therefore, data for both sexes were combined. The intercept and coefficients of this equation (Table 4) did not differ from those for summer females, but they did differ from those in the regression for trapped males in the X2 (p<0.05) and X3 (p<0.025) terms. As was the case for females in summer, rates of water loss for winter animals increased most rapidly at temperatures above 25°C (Figure 5).


| Season and sex | Equation | (n) | R2 | |||||||
|---|---|---|---|---|---|---|---|---|---|---|
| Summer | ||||||||||
| Trapped male | Y = | 0.1899 | + | 0.0114 X | + | 0.0011 X2 | - | 0.00002 X3 | (32) | 0.86 |
| SEE | 0.0885 | 0.0223 | 0.0015 | 0.00003 | ||||||
| Captive male | Y = | 0.2174 | + | 0.0192·X | + | 0.0009·X2 | - | 0.00003·X3 | (10) | 0.73 |
| SEE | 0.3983 | 0.0834 | 0.0048 | 0.00008 | ||||||
| Captive female | Y = | 0.0127 | + | 0.0943·X | - | 0.0060·X2 | + | 0.00013·X3 | (31) | 0.64 |
| SEE | 0.2218 | 0.0547 | 0.0036 | 0.00006 | ||||||
| Winter | ||||||||||
| Captive, both sexes | Y = | 0.1550 | + | 0.0426·X | - | 0.0025·X2 | + | 0.00006·X3 | (57) | 0.80 |
| SEE | 0.0734 | 0.0192 | 0.0013 | 0.00002 | ||||||
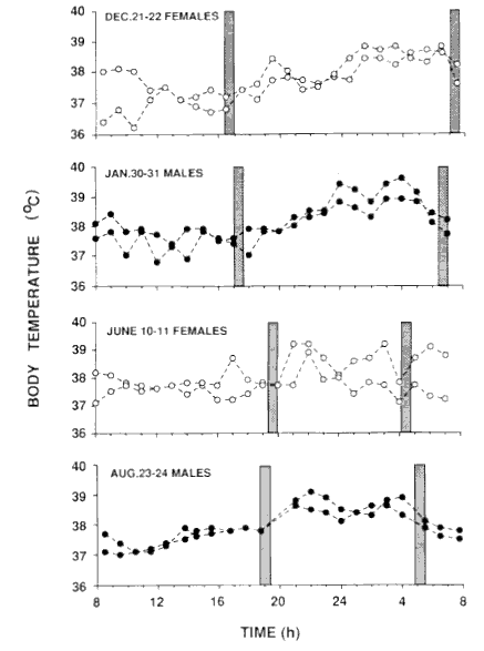
Body temperatures in Figure 6 are those recorded during metabolic measurements from animals equipped with surgically implanted, temperature-sensitive radio transmitters. Each point was recorded during the lowest level of oxygen consumption at each Ta. In both summer and winter, Tb's were lowest during metabolic measurements at Ta's around Tlc. At Ta's below Tlc, Tb's increased (Figure 6), which is an unusual [Pg 13] response. Under similar conditions, other procyonids either maintain a nearly constant Tb or allow it to fall slightly (Müller and Kulzer, 1977; Chevillard-Hugot et al., 1980; Müller and Rost, 1983; Chevalier, 1985). For our raccoons, confinement in the metabolism chamber at low temperatures must have stimulated a greater than necessary increase in metabolic rate such that heat production exceeded heat loss, which caused Tb to become elevated.

| Season and sex | Equation | (n) | R2 | SEE | I | |
|---|---|---|---|---|---|---|
| a | b | |||||
| Summer | ||||||
| Trapped male | Y = 1.09 - 0.0281·X | (30) | 0.64 | 0.0353 | 0.0040 | 38.8 |
| Captive male | Y = 0.97 - 0.0258·X | (12) | 0.91 | 0.0235 | 0.0025 | 37.6 |
| Captive female | Y = 1.04 - 0.0251·X | (29) | 0.78 | 0.0288 | 0.0026 | 41.1 |
| Winter | ||||||
| Captive, both sexes | Y = 0.68 - 0.0193·X | (36) | 0.68 | 0.0157 | 0.0023 | 35.2 |
During summer, Tlc for male raccoons was 20°C, whereas for females it was 25°C (Figure 2). Regression equations calculated to describe oxygen consumption at Ta's below Tlc are presented in Table 5. For three groups of summer animals, slopes of regressions are identical. This indicates that minimum conductances of these three groups were equivalent. Intercepts of these equations are different, which suggests a difference in metabolic cost of thermoregulation between these groups (Figure 2); captive males had a lower intercept than either trapped males (p<0.005) or captive females (p<0.05), but there was no difference in intercepts of captive females and trapped males. These regression equations, therefore, also were derived using values of oxygen consumption expressed in terms of metabolic body mass (Mellen, 1963). Relationships between intercepts of these equations are different than those for regressions in Table 5. Intercept for females was intermediate to, and not different from, those of the two groups of males. However, captive males still had a lower intercept than trapped males (p<0.025). Thus, in summer, thermoregulatory metabolism was less expensive for captive than for trapped males, and in spite of a 5°C difference in their Tlc's (Figure 2), captive males and females had similar thermoregulatory costs.
Regression lines for three groups of animals in summer extrapolate to zero metabolism at values equivalent to, or greater than, normal Tb; 38.8°C for trapped males, 37.6°C for captive males, and 41.1°C for captive females (Table 5). Thus, all three groups had minimized thermal conductance at Ta's below Tlc (Scholander et al., 1950b; McNab, 1980b). Minimum wet thermal conductance calculated for raccoons in summer with Eq. 4 (Table 3) is numerically similar to these "slope" values (Table 5), and it was, therefore, considered to be the best estimate of Cmw for Procyon lotor during that season (0.0256 mL O2·g-1·h-1·°C-1).
[↑ TOC]During winter Tlc for both sexes decreased to 11°C (Figure 3). Regression equations of thermoregulatory metabolism for males and females in winter are not different from each other in either slope or intercept. These data, therefore, were combined into a single equation (Table 5). Slope and intercept of this equation are both lower (p<0.005 and p<0.05, respectively) than those for summer animals (Table 5). Identical results were obtained from comparisons using regressions derived from oxygen consumption expressed in terms of metabolic body mass (Mellen, 1963). Thermoregulatory costs at any temperature below 20°C were lower for winter than summer animals (Figures 2, 3).
| Group | Equation | (n) | R2 | I |
|---|---|---|---|---|
| A | Y = 0.63 - 0.0158·X | (10) | 0.66 | 40.1 |
| B | Y = 0.72 - 0.0226·X | (11) | 0.71 | 32.1 |
| C | Y = 0.69 - 0.0200·X | (15) | 0.79 | 34.7 |

The regression line for Procyon lotor in winter (Table 5) extrapolates to zero metabolism at 35.2°C, which is below normal Tb (Figures 6, 7). This suggests that not all raccoons measured in winter minimized thermoregulatory metabolism or conductances at Ta's below Tlc (Scholander et al., 1950b; McNab, 1980b). To assess this possibility, data for these animals were divided into three groups: (A) females with radio transmitters, (B) females without radio transmitters, and (C) males (Table 6). Regression equations of metabolism below Tlc were derived for each group, and based on extrapolated Tb's at zero metabolism, only the two females with implanted radio transmitters (group A) minimized thermoregulatory metabolism and conductance. Had animals in groups B and C also minimized their thermal conductances, while retaining their measured metabolic rates, their rates of heat production would have been disproportionately higher than their rates of heat loss. Equation 4 predicts that under these conditions their body temperatures would have been elevated to 42.0°C and 40.4°C, respectively. Thus, in order to avoid such a large increase in body temperature, animals in groups B and C increased their thermal conductances in preference to lowering their metabolic [Pg 16] rates. The regression equation of thermoregulatory metabolism for all winter animals (Table 5), therefore, overestimates minimum metabolic cost of temperature regulation below Tlc, and its slope underestimates Cmw. Consequently, the best estimate of Cmw for Procyon lotor in winter is the value calculated for group A animals with Eq. 4 (0.0172 mL O2·g-1·h-1·°C-1; Table 3), and the minimum cost of thermoregulatory metabolism at any Ta below Tlc is best estimated by substituting this value into Eq. 4 and solving for Ḣr.
[↑ TOC]In both summer and winter, Tb's increased during metabolic measurements at Ta's above Tlc (Figure 6). This response also was seen during metabolic measurements conducted on other procyonids (Müller and Kulzer, 1977; Chevillard-Hugot et al., 1980; Müller and Rost, 1983; Chevalier, 1985).
[↑ TOC]During summer our data suggested that the upper critical temperature (Tuc) was higher than 35°C. The lowest rates of oxygen consumption at Ta = 35°C occurred after 1.5 to 2.5 hours of exposure to that temperature. Prolonged exposure to this temperature in summer did not make animals restless, and their rate of oxygen consumption was very stable throughout each measurement. Body temperature responses at Ta = 35°C were recorded from two males and two females that had implanted radio transmitters. With the exception of one male, Tb's were maintained near 38°C (Figure 6). The one exception (a male) maintained its Tb at 39.3°C. At Ta = 35°C, summer males had rates of evaporative water loss that were lower than those of summer females (Figure 4). At this temperature, males dissipated 35% ± 6% and females 56% ± 18% of their metabolic heat via evaporative water loss. Thus, at Ta = 35°C, males must have utilized modes of heat transfer other than evaporative cooling (convective and conductive heat transfer) to a greater extent than females.
[↑ TOC]Body temperature, evaporative water loss, and metabolic data indicated that, in winter, Tuc was very close to 35°C. In winter, the lowest level of oxygen consumption was recorded during the first hour after the chamber had reached Ta = 35°C. Unlike summer, animals became restless after the first hour at 35°C, at which point their oxygen consumption increased and showed a high degree of variability. Body temperature responses at 35°C were recorded from both females that had implanted radio transmitters. In one case, Tb rose from 37.9°C at the end of the first hour to 40.5°C by the end of the second hour, and as it did not show signs of leveling off, we terminated the experiment. We exposed that same animal to Ta = 35°C one other time during winter. In that instance, its Tb rose to 40.0°C during the first 30 minutes and was maintained at that level for three hours with no apparent distress. The other female elevated its Tb from 37.3°C to 39.0°C during the second hour at Ta = 35°C and maintained its Tb at that level for two hours. Thus, during winter, prolonged exposure to Ta = 35°C stimulated more of an increase in Tb than it did in summer. During winter, both males and females increased evaporative water loss at Ta = 35°C (Figure 5) but only to the extent that they dissipated 35% ± 10% of their metabolic heat production. Thus, even in winter, convective and conductive heat transfers were still the most important modes of heat loss at this temperature.
[↑ TOC]The daily cycle of raccoon Tb's during summer and winter are presented in Figure 7. In general, Tb's showed a marked circadian cycle in phase with photoperiod. Tb's rose above 38°C for several hours each night but remained below 38°C during daytime. During summer, with the exception of one female whose record was not typical (Figure 7), Tb's rose above 38°C shortly after sunset, whereas in winter Tb's did not rise above 38°C until several hours after sunset. Once Tb was elevated it usually remained so until just before or after sunrise (Figure 7). During summer, Tb was above 38°C for 85% or more of the time between sunset and sunrise (87% for the female with the typical body temperature pattern, and 85% and 98% for males), whereas in winter it was elevated for only 47%-78% of the time between sunset and sunrise (47% and 61% for females, and 67% and 78% for males). During night, Tb would oscillate between 38°C and about 39°C, such that two peak values occurred. These peak values presumably corresponded to two periods of heightened nighttime activity. During summer, one of these peaks occurred before and the other after 24:00 hours, whereas in winter both peaks occurred after 24:00 hours. With the exception of one female in winter (Figure 7), the lowest Tb of the day for both sexes was near 37°C, and this typically occurred during daytime (Figure 7).
Basal metabolism represents the minimum energy required by a mammal to maintain endothermy and basic homeostasis (Lusk, 1917:141; Kleiber, 1932, 1961:251; Benedict, 1938:191-215; Brody, 1945:59; Robbins, 1983:105-111). Mammals with lower than predicted Ḣb maintain endothermy and enjoy its attendant advantages at a discount, whereas others, with rates that are higher than predicted, pay a premium [Pg 17] (Calder, 1987). Such variation in Ḣb appears to be tied to ecological circumstances rather than taxonomic affinities (Vogel, 1980; McNab, 1986a, 1988a, 1989), and depending on environmental conditions, each rate provides an individual with various advantages and limitations. During the course of evolution, therefore, each species' Ḣb evolves to provide it with the best match between its energy requirements for continuous endothermy, its food supply, and the thermal characteristics of its environment.
[↑ TOC]Male raccoons trapped in summer had higher Ḣb's than our captive animals in any season (Table 2). The higher rate of metabolism of these trapped males could have been due to the stress of captivity or to the fact that "wild" animals actually may have higher metabolic rates than those that have adjusted to captivity. If the latter is true, then our data for captive animals underestimated the actual energy cost of maintenance metabolism for Procyon lotor in the wild. At present, we have no way of determining which of these alternatives is true.
[↑ TOC]In some temperate-zone mammals, Ḣb is elevated in winter, which presumably increases their "cold-hardiness." Conversely, lower summer metabolism is considered to be a mechanism that reduces the potential for heat stress. Such seasonal variation in Ḣb has been found in several species: collard peccary, Tayassu tajacu (Zervanos, 1975); antelope jackrabbit, Lepus alleni (Hinds, 1977); desert cottontail, Sylvilagus audubonii (Hinds, 1973); and, perhaps, cold-acclimatized rat, Rattus norvegicus (Hart and Heroux, 1963). Unlike these species, our captive raccoons showed no seasonal variation in Ḣb (Table 2). Instead, raccoons achieved "cold-hardiness" in winter and reduced their potential for heat stress in summer with a large seasonal change in thermal conductance (Table 3).
| Species | Body Mass (g) | Basal[a] metabolism | Minimum[b] conductance | Tb[c] | Tn[d] | References | |||||||||
|---|---|---|---|---|---|---|---|---|---|---|---|---|---|---|---|
| Meas | Hbr | Meas | Cmwr | α | ρ | Tlc | Tuc | ||||||||
| Bassariscus astutus | 865 | 0.43 | 0.68 | 0.0288[e] | 0.85 | 37.6 | 23 | 35.5 | Chevalier (1985) | ||||||
| Procyon cancrivorus | 1160 | 0.40 | 0.69 | 0.0368[e] | 1.25 | 26 | Scholander et al. (1950b, c) | ||||||||
| Potos flavus | 2030 | 0.36 | 0.51 | McNab (1978a) | |||||||||||
| Potos flavus | 2400 | 0.32 | 0.65 | 38.1 | 36.0 | 23 | 30 | Müller and Kulzer (1977) | |||||||
| Potos flavus | 2600 | 0.34 | 0.71 | 0.0200[f] | 1.02 | 23 | 33 | Müller and Rost (1983) | |||||||
| Nasua nasua | 3850 | 0.26 | 0.60 | 0.0200[f] | 1.24 | 38.3 | 36.4 | 25 | 33 | Chevillard-Hugot et al. (1980) | |||||
| Nasua nasua | 4847 | 0.33 | 0.79 | 0.0238[e] | 1.65 | 39.1 | 37.9 | 30 | 35 | Mugaas et al. (in prep.) | |||||
| Nasua narica | 5554 | 0.25 | 0.62 | 0.0208[e] | 1.55 | 38.9 | 37.4 | 25 | 35 | ||||||
| Nasua narica | 4150 | 0.42 | 1.20 | 0.0341[e] | 2.20 | Scholander et al. (1950b, c) | |||||||||
| 0.0224[g] | 1.45 | ||||||||||||||
| Procyon lotor | This study | ||||||||||||||
| Summer | |||||||||||||||
| Trapped male | 4400 | 0.54 | 1.28 | 20 | |||||||||||
| Captive male | 4790 | 0.46 | 1.07 | 0.0256[f] | 1.77 | 38.4 | 37.5 | 20 | |||||||
| Captive female | 4670 | 0.42 | 1.02 | 0.0256[f] | 1.79 | 38.2 | 37.6 | 25 | |||||||
| Winter | |||||||||||||||
| Captive male | 5340 | 0.47 | 1.17 | 38.6 | 38.6 | 11 | |||||||||
| Captive female | 4490 | 0.46 | 1.10 | 0.0172[f] | 1.15 | 38.3 | 37.3 | 11 | |||||||
Procyon lotor has a much higher mass-specific Ḣb than other procyonids (Table 7). To quantify the magnitude of this difference, we compared the measured value for Procyon lotor [Pg 18] with one calculated for it from a mass-specific least-squares regression equation (Eq. 6; R2 = 0.78) derived from data for those procyonids with lower than predicted Ḣb: Potos flavus, Procyon cancrivorus, Nasua nasua, Nasua narica, and Bassariscus astutus (Table 7).
| Ḣb = 2.39·m-0.25 | Eq. 6 |
Ḣb in Eq. 6 is basal metabolism (mL O2·g-1·h-1) and m is body mass (g). Measured values of Ḣb for Procyon lotor were 1.45 to 1.86 times greater than those predicted for it by Eq. 6 (Table 8).
| Season and sex | Predicted | Measured/Predicted | |
|---|---|---|---|
| Summer | |||
| Trapped male | 0.29 | 1.86 | |
| Captive male | 0.29 | 1.59 | |
| Captive female | 0.29 | 1.45 | |
| Winter | |||
| Captive male | 0.28 | 1.68 | |
| Captive female | 0.29 | 1.59 | |
Background.—With respect to Ḣb, McNab (1986a:1) maintains that "the influence of climate is confounded with the influence of food habits," and that departures from the Kleiber (1961) "norm" are best correlated with diet. Although this does appear to be the case for diet specialists, the analysis is not so clear-cut for omnivorous species (McNab, 1986a). His analysis also indicates that an animal's "behavior" (i.e., whether it is terrestrial, arboreal, subterranean, aquatic, etc.), secondarily modifies the influence of food habits on Ḣb. For example, terrestrial frugivores have Ḣb's that are very near predicted values, whereas arboreal frugivores have rates that are much lower than predicted (McNab, 1986a).
| + | <20% by volume when found. | † | 1%-19% frequency of occurrence. |
| ++ | >20% by volume when found. | †† | 20%-50% frequency of occurrence. |
| ††† | >50% frequency of occurrence. | ||
| Food | Potos flavus | Procyon cancrivorus | Nasua nasua | Nasua narica | Bassariscus | Procyon lotor | ||||||
|---|---|---|---|---|---|---|---|---|---|---|---|---|
| Mammalia | + | † | # | ++ | ††† | ++ | †† | |||||
| Aves | ++ | † | + | †† | ||||||||
| Birds' eggs | ††† | |||||||||||
| Reptilia | + | † | + | ††† | # | + | † | + | † | |||
| Amphibia | + | † | + | † | ||||||||
| Pices | ++ | †† | ++ | †† | ||||||||
| Insecta | ++ | † | + | ††† | ++ | ††† | # | + | †† | ++ | †† | |
| Arachnida | ++ | ††† | # | + | † | + | † | |||||
| Chilopoda | ++ | ††† | ||||||||||
| Diplopoda | # | + | † | |||||||||
| Crustacea | ++ | ††† | # | ++ | ††† | |||||||
| Mollusca | + | †† | # | + | †† | |||||||
| Annelida | # | + | † | |||||||||
| Nuts | ++ | †† | ||||||||||
| Grains | ++ | †† | ||||||||||
| Buds | + | † | ||||||||||
| Fruit | ++ | ††† | ++ | # | †† | ++ | ††† | |||||
| Leaves | + | † | ||||||||||
| Grass | + | † | ||||||||||
Food Habits of Procyonids.—Food habits of six procyonids for which metabolic data are available are presented in Table 9. All six species clearly have mixed diets. Compared to other species, Procyon lotor is highly catholic in its diet, taking food from almost twice as many categories as Nasua narica, three times as many as Procyon cancrivorus, Nasua nasua, and Bassariscus astutus, and nine times as many as Potos flavus.
[Pg 19] For those species for which food habit data are quantified, we used Eisenberg's (1981:247-251) substrate/feeding matrix method, where "substrate" is analogous to McNab's (1986a) "behavior," to construct the following feeding categories that are based on the major food groups utilized by each species (Table 9).
1. Potos flavus: (1) arboreal/frugivore, insectivore.
2. Procyon cancrivorus: (1) semiaquatic/crustacivore, molluscivore, insectivore, piscivore, carnivore.
3. Nasua nasua: (1) terrestrial/insectivore, arachnidivore, carnivore, frugivore.
4. Bassariscus astutus: (1) terrestrial/carnivore, insectivore, frugivore.
5. Procyon lotor: (1) terrestrial/carnivore, granivore, frugivore, insectivore; and (2) semiaquatic/crustacivore, molluscivore, insectivore, piscivore, carnivore.
Food Habits and Basal Metabolism.—The most important foods in the diet of Procyon lotor are vertebrates, nuts, seeds, and fruits (Table 9). These are the same foods that are eaten by those dietary specialists that have Ḣb's equivalent to, or higher than, values predicted for them by the Kleiber equation (McNab, 1986a). The most important foods in the diets of Potos flavus, Procyon cancrivorus, and Nasua nasua are invertebrates and fruit (Table 9), and these foods are eaten by dietary specialists that have lower than predicted Ḣb's (McNab, 1986a). Major foods in the diet of Bassariscus astutus are terrestrial vertebrates, insects, and fruit (Table 9). Dietary specialists that eat terrestrial vertebrates have higher than predicted Ḣb's, whereas those that feed on insects have Ḣb's that are lower than predicted (McNab, 1986a). Year-round utilization of vertebrates by Bassariscus astutus suggests that it also should have a metabolic rate that is equivalent to or higher than predicted, rather than lower (McNab, 1986a). However, perhaps year-round inclusion of insects in its diet (Martin et al., 1951; Taylor, 1954; Wood, 1954; Toweill and Teer, 1977; Trapp, 1978), plus water-and energy-conserving advantages of a low metabolic rate, each exert a stronger selective influence on Ḣb than do vertebrates in its diet.
Summary.—The basal metabolic rate of these procyonids does appear to be influenced by diet. But, it is apparent from this family's evolutionary history and tropical origins that climate also has had a profound influence on its member's metabolism. The history of the family and the data presented here (Table 7) suggest that lower than predicted Ḣb is a feature that evolved very early as the primary metabolic adjustment to a tropical climate. From this perspective, it could be argued that climate would have been the major selective force determining Ḣb, whereas food habits would have had a secondary influence.
[↑ TOC]Background.—McNab (1980a) suggested that if food is not restricted during an animal's reproductive period, the factor that will limit growth and reproduction will be the rate at which energy can be used in growth and development. Under these conditions, an increase in Ḣb would actually increase rmax because it would provide a higher rate of biosynthesis, a faster growth rate, and a shorter generation time. Hennemann (1983) tested McNab's (1980a) premise and found a significant correlation between rmax and metabolic rate, independent of body size, for 44 mammal species. A low correlation coefficient for this relationship, however, indicated to him (Hennemann, 1983) that factors such as (1) food supply, (2) thermal characteristics of the environment, and (3) brain size also contribute toward shaping a species' reproductive potential, particularly when these factors strongly influence rates of biosynthesis or growth or for some reason alter generation time. Results of our estimates of rmax for procyonids are presented in Table 10.
Procyon lotor.—This species had the highest Ḣb and Dd, and also had the highest rmax (1.34; Table 10). Such a high rmax may infer that this trait evolved under conditions where food and temperature were not limiting to reproduction. Under these conditions selection could have favored those reproductive characteristics sensitive to a higher Ḣb (biosynthesis, growth, and generation time; McNab, 1980a). Procyon lotor's high reproductive potential is due to its early age of first female reproduction and its large litter size, characteristics that may reflect metabolically driven increases in both biosynthesis and growth.
Bassariscus astutus.—This species has a low Ḣb but an rmax that was 124% of expected (Table 10). This suggests that rmax evolved under conditions where food and temperature were not limiting to reproduction. Reduced litter size should restrict this species' reproductive potential and may be a reflection of its low Ḣb. The factor that is responsible for increasing its reproductive potential, however, is its early age of first female reproduction. Bassariscus astutus is the smallest of these procyonids, and even though it has a low Ḣb, its small mass may contribute to its ability to reach adult size and sexual maturity in its first year. The high quality of its diet (a high proportion of small vertebrates; Table 9) also may be a factor that is permissive to early female reproduction. Thus, small body size and diet may be factors that have allowed this species to evolve a higher than expected reproductive potential in spite of its low Ḣb.
Nasua narica.—This species is one of the largest procyonids (Table 7), and it possesses characteristics that should limit its reproductive potential: lower than predicted Ḣb (Table 7), a relatively low-quality diet (Kaufmann, 1962:182-198; Table 9), and delayed time of first reproduction (Table 10). In spite of this, Nasua narica has a higher than expected rmax (111% of predicted; Table 10). The life history feature that enhances Nasua narica's reproductive potential, and increases rmax beyond expected, is its large litter size. In this species females live in bands. Each year just before their young are born these bands break up, and each female seeks out a den for herself and [Pg 20] her litter. Once the young are able to leave the den (approximately five weeks), bands reform. In this situation, females not only care for their own young but also for those of other females in the band (Kaufmann, 1962:157-159, 1982, 1987; Russell, 1983). This social structure may contribute to this species' ability to produce large litters and in this way increase its reproductive potential.
| Species | Body mass (g) | a | b | n | rmax | rmaxe[a] | rmaxr[b] | References |
|---|---|---|---|---|---|---|---|---|
| Procyon lotor | 4940 | 0.83 | 2.25 | 16 | 1.34 | 0.53 | 2.52 | Dunn and Chapman (1983); Eisenberg (1981:489); Kaufmann (1987); Lotze and Anderson (1979); Nowak and Paradiso (1983:981); Sanderson(1987); Stains (1956:28-31); This study |
| Bassariscus astutus | 900 | 0.83 | 1.50 | 14 | 1.02 | 0.82 | 1.24 | Kaufmann (1982, 1987); Nowak and Paradiso(1983:979, 980); Poglayen-Neuwall and Poglayen-Neuwall (1980); Poglayen-Neuwall and Toweill (1988); Russell (1983) |
| Nasua narica | 3900 | 2.50 | 2.25 | 14 | 0.62 | 0.56 | 1.11 | Kaufmann (1982, 1987); Nowak and Paradiso (1983:983); Sanderson (1983) |
| Nasua nasua | 3850 | Chevillard-Hugot et al. (1980) | ||||||
| Procyon cancrivorus | 1160 | 0.83 | 1.50 | 15 | 1.02[c] | 0.77 | 1.32 | Crandall (1964:312); Poglayen-Neuwall (1987) |
| 1.75 | 0.65[c] | 0.84 | ||||||
| Potos flavus | 2490 | 1.75 | 0.50 | 12 | 0.30 | 0.63 | 0.48 | Ford and Hoffmann (1988); Nowak and Paradiso (1983:984) |
| Bassaricyon gabbii | 1600 | 1.75 | 0.50 | 15 | 0.32 | 0.71 | 0.45 | Eisenberg (1981:489); Nowak and Paradiso (1983:985) |
Nasua nasua.—Unfortunately, there is not enough reproductive data to allow calculation of rmax for Nasua nasua (Table 10), therefore, it is not possible to compare the reproductive potential of this South American coati with its North American relative, Nasua narica. Given its low Ḣb and relatively low-quality diet of fruit and terrestrial invertebrates (Table 9), however, rmax of Nasua nasua may be very similar to that of Nasua narica.
Procyon cancrivorus.—The age of first female reproduction for Procyon cancrivorus has not been reported. However, if one assumes females can reproduce in their first year, rmax for Procyon cancrivorus would be 1.02 (132% of expected; Table 10). If, on the other hand, first female reproduction is delayed until the second year, rmax would be 0.65 (84% of predicted; Table 10). Procyon cancrivorus has a low Ḣb, reduced litter size, and small body mass. Its low Ḣb may limit litter size, but as with Bassariscus astutus, the quality of its diet (a high percentage of small vertebrates; Table 9) and its small body size may make it possible for females to reproduce in their first year and thus increase the species' reproductive potential. This reasoning would argue that Procyon cancrivorus probably enjoys higher, rather than lower, than expected rmax.
Potos flavus.—In addition to a low Ḣb, this species possesses other characteristics that limit its reproductive potential: low-quality diet, delayed reproduction, and birth of a single young each year. Because there does not appear to be any other feature of its life history that can counteract the influence of these factors, rmax in Potos flavus has evolved to be only 48% of expected (0.30; Table 10). Its close relative, the olingo, Bassaricyon gabbii, appears to share the same condition (Table 10).
Summary.—This brief survey illustrates that, with the exception of Potos flavus, procyonids tend to have values of rmax that are higher than those predicted for them on the basis of mass (Table 10). Regression analysis indicates that, within the family, body mass accounts for only a small amount (3%) of the variation in rmax, whereas the positive slope of the correlation between rmaxr and Hbr (R = 0.93) suggests that low metabolism has a limiting effect on rmax (see Table 10, footnote b). The implication here is that low Ḣb would be associated with a lower rate of biosynthesis, a slower growth rate, and a longer generation time. Procyonids with low Ḣb but higher than expected rmax must possess other traits that serve to offset the effects of low metabolism. Our survey indicates that the following features compensate for low Ḣb and help increase rmax: (1) a high-quality diet may make biosynthesis and growth more efficient, thus optimizing the time element associated [Pg 21] with each of these processes; (2) larger litter sizes and cooperation in care of the young may increase survivorship in spite of a slower growth rate; and (3) an early age of first reproduction, a long reproductive life span, and moderate-size litters (two to four young) may in the long run add as many individuals to the population as a shortened generation time. Our survey also suggests that, at the other extreme, factors such as a low-quality diet, reduced litter size, absence of cooperative care of the young, delayed age of first reproduction, and shortened reproductive life span all serve to decrease rmax. Thus, it is obvious that diet, litter size, social structure, reproductive strategy, and reproductive life span can operate synergistically with Ḣb to magnify its influence on rmax (as with Procyon lotor and Potos flavus), or they can function in opposition to Ḣb to change the direction of its influence on rmax (as with Bassariscus astutus, Procyon cancrivorus, Nasua narica, and perhaps Nasua nasua).
[↑ TOC]Procyon lotor.—The evolution of a higher Ḣb (Tables 7, 8) may have been the physiological cornerstone that enabled Procyon lotor to break out of the mold being exploited by other procyonids and to generalize its use of habitats and climates. Once this basic physiological change was in place, selection for appropriate alterations in thermal conductance, capacity for evaporative cooling, diversity of diet, and energy storage would have provided this species with the suite of adaptations needed to extend its distribution into other habitats and climates. Support for this concept follows from the fact that high levels of Ḣb are associated with (1) cold-hardiness in mammals that live in cold-temperate and arctic climates (Scholander et al., 1950c; Irving et al., 1955; Irving, 1972:115, 116; Shield, 1972; Vogel, 1980; Golightly and Ohmart, 1983); (2) the ability to utilize a wide variety of food resources and to occupy a large number of different environments and habitats (McNab, 1980a); and (3) a high intrinsic rate of natural increase (McNab, 1980a; Hennemann, 1983; Lillegraven et al., 1987; Nicoll and Thompson, 1987; Thompson, 1987).
Other Procyonids.—Other procyonids (Potos flavus, Procyon cancrivorus, Nasua narica, and Nasua nasua) have lower than predicted Ḣb's (Table 7), a characteristic that is considered to be an energy-saving adaptation for those that live in relatively stable tropical and subtropical habitats (Müller and Kulzer, 1977; Chevillard-Hugot et al., 1980; Müller and Rost, 1983). However, Bassariscus astutus is found in tropical, subtropical, and temperate climates. This species is found from tropical Mexico to temperate regions of the western United States (Kaufmann, 1982, 1987; Nowak and Paradiso, 1983:979). In the northern part of its distribution, Bassariscus astutus lives in habitats that are unstable (arid regions), that are low in productivity, and that characteristically have marked seasonal changes in temperature. Its lower than predicted Ḣb could be an important water-conserving adaptation at times when temperatures are high (McNab and Morrison, 1963; McNab, 1966; MacMillen and Lee, 1970; Noll-Banholzer, 1979) and an important energy-conserving mechanism when cold weather may limit food availability and hunting time (Scholander et al., 1950c; Wang et al., 1973). As will be seen later, Bassariscus astutus is unique among procyonids with lower than predicted Ḣb's in that it also has a lower than predicted Cmw (Table 7). This allows it to use less energy than expected for thermoregulation at low temperatures. Another species with a similar set of adaptations (lower than predicted Ḣb and Cmw) is the arctic hare, Lepus arcticus (Wang et al., 1973), which lives in one of the coldest and least-productive regions on earth. Wang et al. (1973) suggest that this combination of adaptations allows Lepus arcticus to better match its energy requirements to the low productivity of its environment. A similar relationship may hold for Bassariscus astutus, particularly in colder arid portions of its distribution, and may be the reason that it, but not other procyonids with low Ḣb's, has been able to inhabit temperate climates.
[↑ TOC]Thermal conductance is a measure of the ease with which heat is passively transferred to or from a body through its tissues and pelt. Within Tn, a mammal is able to vary its thermal conductance over a wide range of values by changing heat transfer characteristics of both of these layers. Minimum thermal conductance occurs when total heat transfer through these layers is reduced to its lowest possible rate. This minimum value, which is the reciprocal of maximum resistance, occurs, theoretically, but not always practically (see McNab, 1988b), at the animal's Tlc and is best estimated under standard conditions in a metabolism chamber (McNab, 1980b; Aschoff, 1981). Minimum thermal conductance scales to body mass (McNab and Morrison, 1963; Herreid and Kessel, 1967; McNab, 1970, 1979b; Bradley and Deavers, 1980; Aschoff, 1981). Therefore, to make comparisons between species of various sizes, we scaled out body mass by expressing Cmw as the ratio of measured to predicted values (Cmwr; Table 7). These ratios were used to make comparisons of heat-transfer characteristics between species that occupy different habitats or climates.
[↑ TOC]In summer, Tlc's of male and female Procyon lotor (Figure 2) were very similar to those of other procyonids (22°C-26°C; Table 7). In winter, Tlc of both sexes shifted downward to 11°C (Figure 3). This seasonal shift in Tlc occurred as the result of a seasonal change in minimum thermal conductance (Table 3). For many northern mammals, a seasonal change in thermal conductance is partly mediated via cyclic changes in the insulative quality of their pelt (Scholander et al., 1950a; Irving et al., 1955; Hart, 1956, 1957; Irving, 1972:165).
[Pg 22] Procyon lotor begins to shed its heavy winter coat about the time its young are born. Molt progresses through summer and by late August the new coat is complete (Stuewer, 1942). During its summer molt, Procyon lotor's Cmw increased by about 49% over the value for female raccoons in winter (Table 3). In summer, therefore, it had the highest mass specific Cmw of those procyonids considered (Cmwr = 1.77 and 1.79; Table 7). An increase in thermal conductance facilitates passive heat loss for temperate and arctic species, and this serves as an important thermoregulatory adaptation during warm summer months (Scholander et al., 1950c; Irving et al., 1955; Hart, 1956, 1957; Irving, 1972:165). This adaptation is particularly important to those temperate- and arctic-zone species (including raccoons) whose Ḣb's do not decrease during summer (Irving et al., 1955). From August on, the fur of Procyon lotor becomes increasingly longer and heavier, with peak, or prime, condition occurring in late fall and early winter (Stuewer, 1942). Minimum conductance of our captive raccoons was lowest in winter (Cmwr = 1.15) when their pelts were in prime condition (Tables 3, 7). Because "primeness" of raccoon pelts varies geographically, thicker pelts being associated with colder climates (Goldman, 1950:21; Whitney and Underwood, 1952:24-41), the degree of seasonal change in Cmw must also vary geographically.
The only other procyonid for which a seasonal molt has been described is Bassariscus astutus. Molt in this species extends from late summer to late fall (Toweill and Toweill, 1978). How molt effects thermal conductance in Bassariscus astutus is not known because metabolic data for this species (Table 7) apparently were collected only when their pelts were in prime condition (Chevalier, 1985).
Goldman (1950:20) reports that Procyon cancrivorus does not have a seasonal molt. Like other tropical procyonids, Procyon cancrivorus lives in an environment that has the following characteristics: high even temperatures throughout the year (1°C-13°C difference in monthly mean temperature), a greater range in temperature between day and night than in mean monthly temperature throughout the year, uniform lengths of day and night, seasonal variation in rainfall, and lowest temperatures during the rainy season(s) (Kendeigh, 1961:340). In such a stable environment there would be no advantage to a sharply defined seasonal molt cycle that could place an animal in thermoregulatory jeopardy by increasing its thermal conductance. This would be particularly true for animals like tropical procyonids that have lower than predicted Ḣb's but that maintain typical eutherian body temperatures (Table 7). Consequently, molt in all tropical procyonids may either be prolonged or continuous. This is a feature of their biology that needs to be examined in more detail.
[↑ TOC]Procyon lotor versus Tropical Procyonids.—Cmwr for Procyon lotor in winter was 1.15, which is similar to the values for Potos flavus and Procyon cancrivorus, 1.02 and 1.25, respectively (Table 7). These two tropical species, therefore, have Cmw's that are similar on a mass specific basis to the value for Procyon lotor in winter. However, at their Tlc's, the thermal gradient sustained by these tropical animals is only about 11°C, whereas for Procyon lotor in winter it was 26.5°C. Examination of Eq. 4 with respect to these thermal gradients suggests that tropical procyonids achieve such low Cmw's by virtue of their lower than predicted Ḣb's rather than by having pelts that are exceptionally good insulators. In fact, the insulation afforded by the pelts of these tropical procyonids is about the same as that of the 50 g arctic lemming, Dicrostonyx groenlandicus rubricatus, whose coat has an insulative value that is about half that of the hare, Lepus americanus, red fox, Vulpes fulva alascensis, and pine martin, Martes americana, animals comparable in size to these procyonids (Scholander et al., 1950a). Therefore, pelts of these tropical procyonids do not have the same insulative value as the prime winter coat of Procyon lotor.
Nasua narica and Nasua nasua have tropical and subtropical distributions and they are the only procyonids that are diurnal (Kaufmann, 1962:103-105, 1982, 1987). Because they are active during the day they experience a more extreme thermal environment (higher Ta's and solar radiation) than their nocturnal cousins. Values of Cmwr for Nasua narica (1.45 and 1.55) and Nasua nasua (1.24 and 1.65) are higher than those for Procyon cancrivorus or Potos flavus (Table 7). Thus, these coatis have higher mass specific Cmw's than their nocturnal tropical cousins. A high Cmw reduces the cost of thermoregulation in hot environments because it increases an animal's ability to lose excess heat passively. The higher Cmw's of these coatis serve as an adaptation that contributes to the success of their diurnal life style as well as their ability to expand their habitat use to areas with less thermal stability, such as oak and pine woodlands and deserts.
Bassariscus astutus.—This species has the lowest mass specific Cmw of these procyonids (Cmwr = 0.85; Table 7), which indicates that its pelt has a greater insulative value than the coats of Potos flavus, Procyon cancrivorus, Nasua nasua, or Nasua narica. This, coupled with a lower than predicted Ḣb, allows Bassariscus astutus to maintain Tb with less energy expenditure than is possible for any other procyonid of comparable size; and this combination of adaptations provides Bassariscus astutus with a distinct energy advantage in environments that have low productivity (Wang et al., 1973). The evolution of a pelt that provides better insulation must be considered an, important contributing factor for the spread of this species into desert regions of the western United States.
[↑ TOC]Thermoregulation.—At temperatures below a mammal's Tn, heat loss exceeds Ḣb. To maintain Tb under these [Pg 23] conditions, metabolic rate must be increased (Eq. 4). Procyon lotor in summer during its annual molt (Table 5; Figure 2), Bassariscus astutus (Chevalier, 1985), Nasua nasua (Chevillard-Hugot et al., 1980; Mugaas et al., in prep.), Nasua narica (Scholander et al., 1950b; Mugaas et al., in prep.), and Potos flavus (Müller and Kulzer, 1977; Müller and Rost, 1983) all are able to elevate their metabolic rates by 130% above basal when they are exposed to Ta = 0°C. Procyon cancrivorus responds to 0°C with an increase in metabolic rate of 257% above basal (Scholander et al., 1950b). All animals listed have about the same Tlc and Tb, so the temperature differential producing this response is about the same for each species. Metabolic ability to defend body temperature against low ambient temperatures, therefore, is well developed in these procyonids. Such large increases in metabolic rate are energetically expensive, and if these animals were routinely exposed to Ta = 0°C, it would be difficult for them to acquire enough food each day to maintain endothermy. Raccoons in winter pelage, however, need only elevate their metabolic rate by 47% above basal to maintain endothermy at Ta = 0°C (Table 5; Figure 3). Each year at the completion of its molt, the raccoon's highly insulative pelt is renewed. This lowers their Tlc by 9°C to 15°C below that measured for them in summer (Figure 3) and decreases their cost of thermoregulation at low temperatures. The increased insulative capacity of their pelt is one of the primary adaptations that has allowed Procyon lotor to extend its distribution into cold climates.
Stored Fat.—Cyclic fattening is an integral and important part of a raccoon's annual cycle (Mugaas and Seidensticker, ms); however, it has not been reported for other procyonids. During winter in parts of the United States and Canada, raccoons are confined to their dens for variable periods of time (days to months) depending on the severity of the weather (Stuewer, 1943:223-225; Whitney and Underwood, 1952:108-116; Sharp and Sharp, 1956; Mech et al., 1968; Schneider et al., 1971). During this confinement, they do not hibernate but rather enter a state of "dormancy" and become inactive. While dormant they remain endothermic (Tb > 35°C; Thorkelson, 1972:87-90) and derive most of their energy requirement from fat reserves accumulated during fall. The rate at which fat stores are consumed during winter dormancy depends on the thermoregulatory requirement imposed on them by local weather conditions, the insulative quality of their pelt, and any advantage they may gain by seeking shelter in a den.
[↑ TOC]Heat transfer between an animal and its environment is a function of the interaction of its body temperature and thermal conductance with various environmental variables (air temperature, wind speed, vapor pressure, and thermal radiation). When a raccoon is outside its den, its thermal conductance (Cmw) is the only barrier to heat transfer with the external environment. However, when it enters a tree den, a raccoon imposes two other thermal barriers between itself and the external environment: (1) conductance of the air space between its fur and the den's walls (Ca) and (2) conductance of the den's walls (Cd; Thorkelson, 1972:59-63; Thorkelson and Maxwell, 1974). Thorkelson and Maxwell (1974) modeled heat transfer of a simulated raccoon (a water-filled aluminum cylinder equipped with a heater and covered with a raccoon pelt) in a closed tree den. In their system, 65% of resistance to heat flux was attributable to the pelt, whereas the remainder (35%) was due to Ca and Cd. Because resistance is the inverse of conductance, and resistances for the raccoon and its den are arranged in series, we can estimate total conductance (Ct) of this system with Eq. 7.
| 1/Ct = 1/Cmw + 1/Ca + 1/Cd | Eq. 7 |
Minimum thermal conductance Cmw for raccoons in winter was 0.0172 mL O2·g-1·h-1·°C-1 (Table 3). Based on Thorkelson and Maxwell's (1974) model we let 1/Cmw = 0.65(1/Ct) = 1/0.0172 mL O2·g-1·h-1·°C-1, and 1/Ca + 1/Cd = 0.35(1/Ct). Substituting these values into Eq. 7 and solving for Ct yields 0.0112 mL O2·g-1·h-1·°C-1, a value that is 35% lower than that of the animal alone. Substituting this value and the value for basal metabolism of winter raccoons (0.47 mL O2·g-1·h-1; Table 7) into Eq. 4 and solving for (Tb - Ta) yields a new temperature differential of 42°C. Therefore, by using tree dens, raccoons in north central Virginia, with Tb = 37°C (Figure 7), could effectively reduce their Tlc from 11°C to -5°C and markedly reduce their metabolic cost of thermoregulation.
[↑ TOC]Given prevailing winter temperatures in north central Virginia (see "Materials and Methods"), adult raccoons in that area should be able to sustain endothermy most of the time they are in their dens by simply maintaining Ḣb. Depending on the mass of their stored fat, they could remain in their dens for several weeks without eating (Mugaas and Seidensticker, ms). The thermal advantage of a den could be further enhanced during colder temperatures if two or more raccoons occupied it at the same time and huddled together, and/or if these animals could reduce Cmw even more by lowering Tb and cooling their extremities. Although we do not have any data to verify the second mechanism, there are many accounts in natural history literature that document raccoons occupying dens together (Lotze and Anderson, 1979). This habit could be particularly important for the young of the year and may be one reason why they often continue to den with their mothers during winter (Lotze and Anderson, 1979; Seidensticker et al., 1988). Raccoons that live in colder climates, such as Minnesota, undoubtedly obtain the same advantage from a den as Virginia animals, but because of their greater body mass, longer fur, and potentially lower Cmw, Tlc of a Minnesota raccoon in a den could be even lower than what we calculated for Virginia raccoons. Therefore, when they are in their dens, raccoons living in very cold climates also may be able to maintain homeothermy with a basal level of metabolism.[Pg 24]
[↑ TOC]In hot environments mammals depend on behavior to minimize their thermal load (escape to shaded or cooler microclimates, use posture and orientation to wind and sun, restrict activity, become nocturnal, etc.) and on evaporative water loss to rid themselves of excess heat. With regard to evaporative heat loss, Calder and King (1974:326) arbitrarily subdivided the response to various Ta's as follows: "(1) cool temperatures at which water loss should be minimized, both to reduce heat loss and as an adaptation to terrestriality; (2) an intermediate temperature range wherein evaporation is gradually increased as dry heat losses are proportionately reduced with smaller thermal gradients; and (3) warm to hot temperatures at which evaporation must be actively increased to dispose of metabolic and exogenous heat loads." Some mammals are able to thermoregulate very well at high ambient temperatures via panting or sweating, whereas others have a very limited capacity. Hence, there is no general approach to calculating evaporative water loss under these conditions (Campbell, 1977:85). However, the ratio of evaporative heat lost to metabolic heat produced can be used to quantify a species' capacity for evaporative cooling and to make comparisons between species.
[↑ TOC]Potos flavus.—This species lives in Neotropical forests of Central and South America. It is nocturnal, arboreal in habit, and appears to be the most heat-sensitive of these procyonids. Its Tuc is at 30°C to 33°C (Table 7; Müller and Kulzer, 1977; Müller and Rost, 1983). It begins to pant at about 30°C, but its efforts at evaporative cooling are very ineffective. At 33°C Potos flavus can dissipate 33% of its metabolic heat via evaporative water loss, but at 35°C the efficiency of this mechanism falls to 20% (Müller and Rost, 1983). Consequently, when exposed to Ta's above 33°C, any kind of excitement causes its Tb to rise rapidly in an uncontrolled manner (Müller and Kulzer, 1977; Müller and Rost, 1983). These animals rely on their nocturnal and arboreal habits to keep them out of situations that could lead to hyperthermia (Müller and Kulzer, 1977; Müller and Rost, 1983).
Nasua nasua and Nasua narica.—Nasua nasua is abundant in tropical and subtropical South America, whereas Nasua narica occupies the same climates in North America from southern Arizona and New Mexico south through Panama and on into Colombia and Ecuador (Hall and Kelson, 1959:892; Ewer, 1973:391, 392; Poglayen-Neuwall, 1975). Both coatis are diurnal and forage primarily on the ground (Kaufmann, 1962:185-188, 1987; Poglayen-Neuwall, 1975; Nowak and Paradiso, 1983:982), consequently they are exposed to a more severe thermal environment while active (higher Ta's and solar radiation) than are nocturnal procyonids. Both coatis are more heat-tolerant than Potos flavus; their Tuc's are higher (33°C-35°C; Table 7), they can tolerate Ta's of 35°C without raising their Tb's (Chevillard-Hugot et al., 1980; Mugaas et al., in prep.), and they have a greater capacity for evaporative cooling than Potos flavus (Mugaas et al., in prep.). The greater heat tolerance of these coatis is compatible with their diurnal habits and widespread distribution in a variety of forest habitats in both tropical and subtropical areas of the western hemisphere.
Bassariscus astutus.—In addition to living in Neotropical forests of Mexico, Bassariscus astutus also flourishes in hot arid climates, and it has extended its range much farther north than Nasua narica (Hall and Kelson, 1959:881,892; Poglayen-Neuwall, 1975; Kaufmann, 1982). Its Tuc is higher (35.5°C; Table 7) than that of Potos flavus, but it is comparable to those of Nasua nasua and Nasua narica. Its capacity for evaporative cooling is well developed; at 40°C Bassariscus astutus is able to dissipate 100% of its resting metabolic heat via evaporative water loss, and at 45°C it is able to dissipate 172% (Chevalier, 1985). In spite of its great capacity for evaporative cooling, this species is nocturnal, a habit that, along with its low Ḣb, should allow it to keep thermoregulatory water requirements to a minimum.
Procyon lotor.—Our data suggested that Tuc for Procyon lotor in winter was comparable to that for Bassariscus astutus (35°C), and that in summer it was even higher. When exposed to temperatures near the upper end of its Tn, Procyon lotor increased the gradient for passive heat loss with a controlled rise in Tb (Figure 6). In summer its capacity for passive heat loss was enhanced by the molt of its heavy winter fur. Procyon lotor's capacity for evaporative cooling also appeared to be well developed, although our animals were not heated to the point that evaporative cooling was fully expressed (Figures 4, 5). However, Procyon lotor is nocturnal, and this may allow it to eliminate, or at least reduce, the need for evaporative cooling, even in hot climates. Thus, Procyon lotor appears to be well equipped physiologically and behaviorally to cope with thermal demands of hot environments in its distribution.
Procyon cancrivorus.—Unfortunately, data for the crab-eating raccoon are not complete enough at high temperatures to include it in this survey.
Summary.—This comparison demonstrates that capacity for evaporative cooling, tolerance of an elevated Tb to enhance passive heat loss, and behavioral avoidance of thermal stress are the primary methods used by procyonids to thermoregulate at high temperatures. Procyon lotor and Bassariscus astutus, whose distributions extend into temperate regions, have developed these abilities to a greater extent than other procyonids. Potos flavus, whose distribution is confined to lowland tropical forests, has the least ability in this regard. Nasua nasua and Nasua narica appear to have thermoregulatory abilities that are intermediate to those of Bassariscus astutus and Potos flavus. This suggests that ancestral procyonids [Pg 25] may have had poor to modest ability to thermoregulate at high temperatures, a condition that would have limited their ability to leave the thermal stability afforded by tropical forests. Dispersal into temperate climates, therefore, required not only increased cold tolerance but also selective enhancement of those mechanisms used in thermoregulation at high temperatures.
| Species | Tropics | Subtropics | Mild[a] temperate | Cold[b] temperate | ||
|---|---|---|---|---|---|---|
| Procyon lotor | + | + | + | + | ||
| Bassariscus astutus | + | + | + | |||
| Nasua nasua | + | + | ||||
| Nasua narica | + | + | ||||
| Procyon cancrivorus | + | + | ||||
| Potos flavus | + | |||||
In Table 11, procyonid species are arranged in descending order with respect to the number of major climates that are included in their geographic distributions (Hall and Kelson, 1959:878-897; Poglayen-Neuwall, 1975; Kortlucke and Ramirez-Pulido, 1982; Nowak and Paradiso, 1983:977-985). Composite scores ranged from a high of 1.47 for Procyon lotor to a low of 0.39 for Potos flavus, whereas Nasua nasua, Nasua narica, Procyon cancrivorus, and Bassariscus astutus had intermediate values ranging from 0.64 to 0.79 (Table 12). Figure 8 demonstrates that there is a direct relationship between the number of climates these species occupy and their composite scores. Regression analysis (Y = 2.68·X + 0.24; where Y is number of climates, and X is composite score) demonstrates a high degree of correlation between these variables (R = 0.94) and indicates that 89% of the variance in distribution can be explained by composite scores. The various combinations of adaptations expressed by these species do, therefore, play a role in delimiting their climatic (latitudinal) distributions.
Procyon lotor's normalized scores were higher in all categories than those of other procyonids. Procyon lotor, therefore, possesses those traits that have allowed it to become the premier climate generalist of the procyonid family. As an adaptive unit, these traits provide Procyon lotor with the physiological and behavioral flexibility required to take full advantage of a wide range of climates and habitats, and its distribution verifies that it has done so. Even so, it is probably not fair to assume that this species represents a perfect physiological match with climate over its entire distribution. Procyon lotor is, in many respects, still a forest-dwelling species, and its ability to expand its distribution into other habitats such as prairie and desert may well be due, in part, to its use of behavior to take advantage of favorable microclimates in otherwise hostile environments (Bartholomew, 1958, 1987). This feature of Procyon lotor's biology needs to be further examined.
| Species | Normalized scores | Composite[a] score | |||
|---|---|---|---|---|---|
| Hbr/Cmwr | Ddr | rmaxr | |||
| Procyon lotor | 0.95 | 0.95 | 2.52 | 1.47 | |
| Bassariscus astutus | 0.80 | 0.33 | 1.24 | 0.79 | |
| Nasua nasua | 0.48 | 0.33 | 1.11[b] | 0.64 | |
| Nasua nasua | 0.48 | 0.33 | 1.11[b] | 0.64 | |
| Nasua narica | 0.40 | 0.53 | 1.11 | 0.68 | |
| Procyon cancrivorus | 0.55 | 0.33 | 1.32 | 0.73 | |
| Potos flavus | 0.60 | 0.11 | 0.48 | 0.39 | |
All five species with low Ḣb's have composite scores less than 1.0 (Table 12; Figure 8). Four of these five, Nasua nasua, Nasua narica, Procyon cancrivorus, and Potos flavus, have Hbr/Cmwr ratios that are 0.6 or less, which indicates they are the least cold-tolerant procyonids (McNab, 1966). These four species also are confined to either tropic, or tropic and subtropic climates (Table 11). This suggests that these species share a common thermoregulatory adaptation that represents a specialization to these climates. Attendant with this adaptation, however, is a high cost of thermoregulation at [Pg 26] temperatures below their Tlc, and this must be an important factor in limiting their distributions to tropic and subtropic climates. Differences in their distributions within these climates, therefore, must hinge more on differences in their Ddr and rmaxr values than on differences in their Hbr/Cmwr ratios. This is supported by the fact that Potos flavus, which has the lowest Ddr and rmaxr values, is confined to a single climate, whereas Nasua nasua, Nasua narica, and Procyon cancrivorus each possess larger Ddr and rmaxr values and are found in two climates. Thus, Potos flavus, with its highly specialized diet and low reproductive potential, is the most ecologically specialized of these procyonids, and its distribution is limited to the single climate that can provide its requirements. Nasua nasua, Nasua narica, and Procyon cancrivorus are less specialized and thus show more ecological flexibility in their distributions.

Bassariscus astutus, the other species with low Ḣb, is found in three climates, which indicates that it has greater ecological flexibility than Nasua nasua, Nasua narica, or Procyon cancrivorus. Ddr and rmaxr are comparable for these four species (Table 12). This suggests that the greater ecological flexibility of Bassariscus astutus is derived largely from its greater cold tolerance. Bassariscus astutus has a more insulative pelt than these other procyonids (Cmwr = 0.85; Table 7), so its Hbr/Cmwr ratio is higher (0.80; Table 12). This, and its greater capacity for evaporative cooling (Chevalier, 1985), allows Bassariscus astutus to take advantage of a wider range of thermal environments than these other species. However, even with its higher Hbr/Cmwr ratio, the composite score for Bassariscus astutus is not much different than those for Nasua nasua, Nasua narica, and Procyon cancrivorus (Table 12). Consequently, Bassariscus astutus is found in more climates than would be predicted for it on the basis of its composite score (Figure 8). This suggests that either the Hbr/Cmwr ratio carries greater weight in determining distribution than is reflected in this analysis, or as has been described for some other species (Bartholomew, 1958, 1987), Bassariscus astutus may extend its distribution farther than expected via use of its behavior. In either case, for procyonids with low Ḣb, Bassariscus astutus represents the pinnacle of adaptation for climate generalization.
[↑ TOC]A radiation of frugivorous and omnivorous Procyoninae (Table 1) occurred in the middle and late Miocene of North America. It included origins of such terrestrial genera as Cyonasua, Nasua, and Procyon (Webb, 1985b). The earliest procyonid genus to find its way to South America was Cyonasua, an omnivorous carnivore that presumably split, along with its sister genus Arctonasua, from a common North American ancestor (Baskin, 1982; Webb, 1985b). Cyonasua, about the size of present-day raccoons, was adapted to a wide range of habitats and was probably comparable to modern raccoons with respect to the breadth of its feeding habits (Webb, 1985b; Marshall, 1988). Because North American Arctonasua was about the same size as Cyonasua (Webb, 1985b) and shared a number of characters with it (Baskin, 1982), we speculate that it also may have had similar habits and occupied similar climates and habitats. Bassariscus, another member of Procyoninae, had an even earlier origin in tropical North America (Webb, 1985b). The origin of the small arboreal forms Potos and Bassaricyon (subfamily Potosinae) is obscure but is thought to have occurred in the rainforests of Central America (Webb, 1985b). What were the metabolic capabilities of these early procyonids? We do not know, but for several million years, from middle to late Miocene, procyonids lived in tropical and subtropical forests of Central and North America (Webb, 1985b; Marshall, 1988). Then, in the Pleistocene, several modern forms crossed the Panamanian land bridge into similar habitats and climates in South America; but none of them appear to have spread far enough northward to have crossed the Bering land bridge.
Several million years exposure to a tropical environment, with its continuous high temperatures and modest range of thermal extremes, would have favored selection of metabolic and thermoregulatory traits that would minimize energy requirements: a lower than predicted basal metabolic rate, a prolonged or continuous molt resulting in very little annual change in minimum thermal conductance, and a modest capacity for evaporative cooling. In addition, we would expect selection to have favored a diverse diet, good reproductive [Pg 27] potential, and behavioral flexibility to utilize a variety of habitats within these climates. Our analysis has shown that such characteristics are the norm for extant members of this family living in tropical and subtropical climates, and we speculate that these traits also were common to early procyonids and served to restrict them to these climates. Our speculation is supported by the fact that their known fossil history from the Miocene is confined to geographic areas that had tropical and subtropical climates.
Later on, during Pleistocene glaciations, tropical and subtropical forests shrank, savannas expanded, and temperate climate was pushed toward equatorial regions. The opposite occurred during interglacial periods (Raven and Axelrod, 1975; Webb, 1977, 1978; Marshall, 1988). Consequently, mid-latitudes experienced alternating periods of temperate and tropical, or at least subtropical, climate change. Selection of characteristics that would have adapted a species with low Ḣb to temperate as well as tropic or subtropic climates could have occurred in mid-latitudes at the temperate edge of these tropical advances and retreats. Our analysis indicates that, for this purpose, selection would have favored lower than predicted thermal conductance, seasonal molt, increased capacity for evaporative cooling, increased tolerance of elevated Tb, increased flexibility of thermoregulatory behavior, food habits that provided for year-round access to a high-quality diet in all three climates, and a higher than predicted rmax.
Bassariscus astutus is the only species with low Ḣb that has all these characteristics, and it is the only one of them that has added temperate climate to its distribution (Table 11). This suggests that Bassariscus astutus is a species that evolved away from the norm for procyonids with low Ḣb, toward characteristics that allowed it to become more of a climate generalist. Potos flavus, with its dietary specialization, low tolerance to high temperatures, and arboreal mode of existence, has become a highly specialized species totally dependent on tropical forests for its survival. As such, it also represents a species that has evolved away from the procyonid norm and portrays the extreme in climate specialization. Olingos, Bassaricyon gabbii (Table 1), may be similar to Potos flavus in this respect (see also Table 10). This suggests that of the extant procyonids, Nasua nasua, Nasua narica, and Procyon cancrivorus have retained metabolic and behavioral characteristics that are closest to those of their Miocene ancestors.
[↑ TOC]Between the time that Cyonasua appeared and the Panamanian land bridge was established in the upper Pliocene (4 to 5 million years ago), northern climates continued their gradual cooling. This, along with ongoing elevation of the continents and continuous modification of their mountain ranges, served to shrink the tropical forest and create pockets of climatic instability within it and on its edges (Darlington, 1963:578-596; Marshall, 1988). In areas of instability, selection would have favored traits that provided for a broader range of thermal tolerance: higher Ḣb, improved insulative quality of pelt, a more sharply defined molt cycle, improved capacity for evaporative cooling, greater Dd, and higher rmax. Consequently, by the upper Pliocene, two metabolically distinct groups of procyonids could have been established: those species with low Ḣb living in climatically stable forests and those with higher Ḣb living in unstable tropical, subtropical, and perhaps temperate climates.
Procyon lotor is the only extant procyonid with high Ḣb. Procyon cancrivorus is its congeneric counterpart in Central and South America (Table 1), and the two species are sympatric in Panama and Costa Rica. However, in terms of its metabolism, thermal conductance, molt, diversity of diet, rmax, and climatic distribution, Procyon cancrivorus shares more in common with other procyonids than it does with Procyon lotor (Tables 7, 11, 12; Figure 8). This suggests that metabolically Procyon lotor portrays a divergent line of this genus that arose as the result of a series of mutations that gave rise to different metabolic characteristics. This view is in keeping with a recent phylogenetic analysis of this family that shows the genus Procyon to be highly derived (Decker and Wozencraft, 1991). Consequently, it would be instructive and would add to our knowledge of the evolution of climatic adaptation to know more about the genetic relatedness of these two species as well as their historical relationship.
Genus Procyon appears in the fossil record (Hemphillian and Blancan ages; Baskin, 1982) prior to Pleistocene glaciations. During the Pleistocene, there were four different glacial advances and retreats in a relatively short time period (the first appearing little more than a million years ago; Darlington, 1963:578-596; Webb, 1985a; Marshall, 1988). Glacial retreats created pulses of time during which subtropic and temperate climates advanced toward the poles into areas with large seasonal differences in light/dark cycles, whereas glacial advances pushed these climates southward into areas having smaller seasonal differences in light/dark cycles (Raven and Axelrod, 1975; Webb, 1977, 1978; Marshall, 1988). Those members of the genus Procyon caught in these wide latitudinal fluctuations would have experienced conditions favorable to continued selection for characteristics conducive to physiologic adaptation to a wide range of climatic conditions. Procyon lotor is the only member of its genus to have survived this selective process, and as we have seen, it does possess traits that adapt it to a wide range of climatic conditions. Primary among these is its higher Ḣb, which provides it with advantages not shared with other procyonids (see earlier discussion). Three other adaptations also have had a profound influence on Procyon lotor's ability to generalize its use of climate: (1) the increased insulative quality of its pelt coupled with its sharply defined molt cycle, which allows for a large annual change in thermal conductance; (2) its annual cycle of fat storage; and (3) a diverse high-quality diet. The first two of these adaptations [Pg 28] required evolution of neuroendocrine pathways capable of responding to time-dependent environmental cues such as changing day length, changing temperature, etc. Such conditions would have been available as selective stimuli in high-latitude forests and savannas of interglacial periods. Procyon lotor's elevated basal metabolic rate would have increased its overall energy requirement, and it makes good intuitive sense, therefore, that evolution during the Pleistocene also would have favored selection of a diverse diet containing many items of high nutritive value.
[↑ TOC]Our analysis has illustrated that within Procyonidae there are two distinct modes of metabolic adaptation to climate. One is typified by those species with low Ḣb's (Bassariscus astutus, Nasua nasua, Nasua narica, Procyon cancrivorus, and Potos flavus), and the other by Procyon lotor with its higher Ḣb. Those with low Ḣb's have more restricted geographic distributions, and, with the exception of Bassariscus astutus, they are all confined to tropical and subtropical areas. The fossil history of this family indicates that it had its origins in tropical forests of North and Central America. This indicates that those procyonids whose distributions are still primarily restricted to tropical forests share many of the metabolic adaptations characteristic of their ancestors. We speculate, therefore, that ancestral procyonids had a lower than predicted Ḣb, a pelt with modest to poor insulative quality, good thermogenic ability but poor heat tolerance, modest to poor capacity for evaporative cooling, no well-defined molt cycle, no cyclic period of fattening, nocturnal habits, and a modestly diverse diet of high-enough quality to provide for an average reproductive potential. Although this pedigree contributed to the success of this family in tropical and subtropical forests, it limited the ability of its members to expand their distributions into cooler, less stable climates. Viewed in this perspective, Procyon lotor's high basal metabolic rate, extraordinarily diverse diet, well-defined cyclic changes in fat content and thermal conductance, high level of heat tolerance, high capacity for evaporative cooling, and high reproductive potential all stand out in sharp contrast to the condition described for other procyonids. This suggests that the North American raccoon represents culmination of a divergent evolutionary event that has given this species the ability to break out of the old procyonid mold and carry the family into new habitats and climates.
| a | potential age of females first producing young |
| b | potential annual birth rate of female young |
| Ca | conductance of air |
| Cd | conductance of den walls |
| Cm | minimum thermal conductance |
| Cmd | minimum dry thermal conductance |
| Cmw | minimum wet thermal conductance |
| Cmwr | ratio of measured to predicted minimum wet thermal conductance |
| Ct | total conductance |
| Dd | diversity of diet |
| Ddr | ratio of food categories actually used by a species to the total number of food categories taken by all species tested |
| Ė | evaporative water loss |
| Ec | ratio of evaporative heat lost to metabolic heat produced |
| Ėeq | oxygen equivalent for heat lost by evaporation |
| Ḣb | basal metabolic rate |
| Ḣr | lowest resting metabolic rate at each temperature |
| Hbr | ratio of measured to predicted basal metabolic rate |
| m | mass of animal |
| mw | mass of water |
| n | potential age of females producing their final young |
| rmax | intrinsic rate of natural increase |
| rmaxe | expected intrinsic rate of natural increase |
| rmaxr | ratio of calculated to expected intrinsic rate of natural increase |
| RQ | respiratory quotient |
| Ta | chamber air temperature |
| Tb | body temperature |
| Tlc | lower critical temperature |
| Tn | thermoneutral zone |
| Tuc | upper critical temperature |
| t | time |
| .Va | rate of air flow through |
| .Ve | rate of air flow into metabolism chamber |
| α | active phase of the daily cycle |
| γ | heat equivalent of oxygen |
| λ | heat of vaporization of water |
| ρ | rest phase of the daily cycle |
Emphasis upon publication as a means of "diffusing knowledge" was expressed by the first Secretary of the Smithsonian. In his formal plan for the institution, Joseph Henry outlined a program that included the following statement: "It is proposed to publish a series of reports, giving an account of the new discoveries in science, and of the changes made from year to year in all branches of knowledge." This theme of basic research has been adhered to through the years by thousands of titles issued in series publications under the Smithsonian imprint, commencing with Smithsonian Contributions to Knowledge in 1848 and continuing with the following active series:
In these series, the Institution publishes small papers and full-scale monographs that report the research and collections of its various museums and bureaux or of professional colleagues in the world of science and scholarship. The publications are distributed by mailing lists to libraries, universities, and similar institutions throughout the world.
Papers or monographs submitted for series publication are received by the Smithsonian Institution Press, subject to its own review for format and style, only through departments of the various Smithsonian museums or bureaux, where the manuscripts are given substantive review. Press requirements for manuscript and art preparation are outlined on the inside back cover.
With the exception of the typographical corrections listed below and some minor changes that may have been made in moving tables or illustrations so that they are rejoined, the text presented is that published in the original printed media.
| Page ii, LOC Data | : | Instituion's | => | Institution's |
| Page 1, Introduction | : | linages | => | lineages |
| Page 4, The Atypical Procyonid | : | consumate | => | consummate |
| Page 21,Summary | : | Table 10, footnote f | => | Table 10, footnote b |
| Page 26, first paragraph | : | Nassua | => | Nasua |
| Page 31, Literature Cited | : | Incoporated | => | Incorporated |
| Page 34, Literature Cited | : | Gettleman | => | Gittleman |
End of the Project Gutenberg EBook of Metabolic Adaptation to Climate and
Distribution of the Raccoon Procyon Lotor and Other Procyonidae, by John N. Mugaas and John Seidensticker and Kathleen P. Mahlke-Johnson
*** END OF THIS PROJECT GUTENBERG EBOOK THE RACCOON PROCYON LOTOR ***
***** This file should be named 36036-h.htm or 36036-h.zip *****
This and all associated files of various formats will be found in:
http://www.gutenberg.org/3/6/0/3/36036/
Produced by Colin Bell, Tom Cosmas, Joseph Cooper and the
Online Distributed Proofreading Team at http://www.pgdp.net
Updated editions will replace the previous one--the old editions
will be renamed.
Creating the works from public domain print editions means that no
one owns a United States copyright in these works, so the Foundation
(and you!) can copy and distribute it in the United States without
permission and without paying copyright royalties. Special rules,
set forth in the General Terms of Use part of this license, apply to
copying and distributing Project Gutenberg-tm electronic works to
protect the PROJECT GUTENBERG-tm concept and trademark. Project
Gutenberg is a registered trademark, and may not be used if you
charge for the eBooks, unless you receive specific permission. If you
do not charge anything for copies of this eBook, complying with the
rules is very easy. You may use this eBook for nearly any purpose
such as creation of derivative works, reports, performances and
research. They may be modified and printed and given away--you may do
practically ANYTHING with public domain eBooks. Redistribution is
subject to the trademark license, especially commercial
redistribution.
*** START: FULL LICENSE ***
THE FULL PROJECT GUTENBERG LICENSE
PLEASE READ THIS BEFORE YOU DISTRIBUTE OR USE THIS WORK
To protect the Project Gutenberg-tm mission of promoting the free
distribution of electronic works, by using or distributing this work
(or any other work associated in any way with the phrase "Project
Gutenberg"), you agree to comply with all the terms of the Full Project
Gutenberg-tm License (available with this file or online at
http://gutenberg.org/license).
Section 1. General Terms of Use and Redistributing Project Gutenberg-tm
electronic works
1.A. By reading or using any part of this Project Gutenberg-tm
electronic work, you indicate that you have read, understand, agree to
and accept all the terms of this license and intellectual property
(trademark/copyright) agreement. If you do not agree to abide by all
the terms of this agreement, you must cease using and return or destroy
all copies of Project Gutenberg-tm electronic works in your possession.
If you paid a fee for obtaining a copy of or access to a Project
Gutenberg-tm electronic work and you do not agree to be bound by the
terms of this agreement, you may obtain a refund from the person or
entity to whom you paid the fee as set forth in paragraph 1.E.8.
1.B. "Project Gutenberg" is a registered trademark. It may only be
used on or associated in any way with an electronic work by people who
agree to be bound by the terms of this agreement. There are a few
things that you can do with most Project Gutenberg-tm electronic works
even without complying with the full terms of this agreement. See
paragraph 1.C below. There are a lot of things you can do with Project
Gutenberg-tm electronic works if you follow the terms of this agreement
and help preserve free future access to Project Gutenberg-tm electronic
works. See paragraph 1.E below.
1.C. The Project Gutenberg Literary Archive Foundation ("the Foundation"
or PGLAF), owns a compilation copyright in the collection of Project
Gutenberg-tm electronic works. Nearly all the individual works in the
collection are in the public domain in the United States. If an
individual work is in the public domain in the United States and you are
located in the United States, we do not claim a right to prevent you from
copying, distributing, performing, displaying or creating derivative
works based on the work as long as all references to Project Gutenberg
are removed. Of course, we hope that you will support the Project
Gutenberg-tm mission of promoting free access to electronic works by
freely sharing Project Gutenberg-tm works in compliance with the terms of
this agreement for keeping the Project Gutenberg-tm name associated with
the work. You can easily comply with the terms of this agreement by
keeping this work in the same format with its attached full Project
Gutenberg-tm License when you share it without charge with others.
1.D. The copyright laws of the place where you are located also govern
what you can do with this work. Copyright laws in most countries are in
a constant state of change. If you are outside the United States, check
the laws of your country in addition to the terms of this agreement
before downloading, copying, displaying, performing, distributing or
creating derivative works based on this work or any other Project
Gutenberg-tm work. The Foundation makes no representations concerning
the copyright status of any work in any country outside the United
States.
1.E. Unless you have removed all references to Project Gutenberg:
1.E.1. The following sentence, with active links to, or other immediate
access to, the full Project Gutenberg-tm License must appear prominently
whenever any copy of a Project Gutenberg-tm work (any work on which the
phrase "Project Gutenberg" appears, or with which the phrase "Project
Gutenberg" is associated) is accessed, displayed, performed, viewed,
copied or distributed:
This eBook is for the use of anyone anywhere at no cost and with
almost no restrictions whatsoever. You may copy it, give it away or
re-use it under the terms of the Project Gutenberg License included
with this eBook or online at www.gutenberg.org
1.E.2. If an individual Project Gutenberg-tm electronic work is derived
from the public domain (does not contain a notice indicating that it is
posted with permission of the copyright holder), the work can be copied
and distributed to anyone in the United States without paying any fees
or charges. If you are redistributing or providing access to a work
with the phrase "Project Gutenberg" associated with or appearing on the
work, you must comply either with the requirements of paragraphs 1.E.1
through 1.E.7 or obtain permission for the use of the work and the
Project Gutenberg-tm trademark as set forth in paragraphs 1.E.8 or
1.E.9.
1.E.3. If an individual Project Gutenberg-tm electronic work is posted
with the permission of the copyright holder, your use and distribution
must comply with both paragraphs 1.E.1 through 1.E.7 and any additional
terms imposed by the copyright holder. Additional terms will be linked
to the Project Gutenberg-tm License for all works posted with the
permission of the copyright holder found at the beginning of this work.
1.E.4. Do not unlink or detach or remove the full Project Gutenberg-tm
License terms from this work, or any files containing a part of this
work or any other work associated with Project Gutenberg-tm.
1.E.5. Do not copy, display, perform, distribute or redistribute this
electronic work, or any part of this electronic work, without
prominently displaying the sentence set forth in paragraph 1.E.1 with
active links or immediate access to the full terms of the Project
Gutenberg-tm License.
1.E.6. You may convert to and distribute this work in any binary,
compressed, marked up, nonproprietary or proprietary form, including any
word processing or hypertext form. However, if you provide access to or
distribute copies of a Project Gutenberg-tm work in a format other than
"Plain Vanilla ASCII" or other format used in the official version
posted on the official Project Gutenberg-tm web site (www.gutenberg.org),
you must, at no additional cost, fee or expense to the user, provide a
copy, a means of exporting a copy, or a means of obtaining a copy upon
request, of the work in its original "Plain Vanilla ASCII" or other
form. Any alternate format must include the full Project Gutenberg-tm
License as specified in paragraph 1.E.1.
1.E.7. Do not charge a fee for access to, viewing, displaying,
performing, copying or distributing any Project Gutenberg-tm works
unless you comply with paragraph 1.E.8 or 1.E.9.
1.E.8. You may charge a reasonable fee for copies of or providing
access to or distributing Project Gutenberg-tm electronic works provided
that
- You pay a royalty fee of 20% of the gross profits you derive from
the use of Project Gutenberg-tm works calculated using the method
you already use to calculate your applicable taxes. The fee is
owed to the owner of the Project Gutenberg-tm trademark, but he
has agreed to donate royalties under this paragraph to the
Project Gutenberg Literary Archive Foundation. Royalty payments
must be paid within 60 days following each date on which you
prepare (or are legally required to prepare) your periodic tax
returns. Royalty payments should be clearly marked as such and
sent to the Project Gutenberg Literary Archive Foundation at the
address specified in Section 4, "Information about donations to
the Project Gutenberg Literary Archive Foundation."
- You provide a full refund of any money paid by a user who notifies
you in writing (or by e-mail) within 30 days of receipt that s/he
does not agree to the terms of the full Project Gutenberg-tm
License. You must require such a user to return or
destroy all copies of the works possessed in a physical medium
and discontinue all use of and all access to other copies of
Project Gutenberg-tm works.
- You provide, in accordance with paragraph 1.F.3, a full refund of any
money paid for a work or a replacement copy, if a defect in the
electronic work is discovered and reported to you within 90 days
of receipt of the work.
- You comply with all other terms of this agreement for free
distribution of Project Gutenberg-tm works.
1.E.9. If you wish to charge a fee or distribute a Project Gutenberg-tm
electronic work or group of works on different terms than are set
forth in this agreement, you must obtain permission in writing from
both the Project Gutenberg Literary Archive Foundation and Michael
Hart, the owner of the Project Gutenberg-tm trademark. Contact the
Foundation as set forth in Section 3 below.
1.F.
1.F.1. Project Gutenberg volunteers and employees expend considerable
effort to identify, do copyright research on, transcribe and proofread
public domain works in creating the Project Gutenberg-tm
collection. Despite these efforts, Project Gutenberg-tm electronic
works, and the medium on which they may be stored, may contain
"Defects," such as, but not limited to, incomplete, inaccurate or
corrupt data, transcription errors, a copyright or other intellectual
property infringement, a defective or damaged disk or other medium, a
computer virus, or computer codes that damage or cannot be read by
your equipment.
1.F.2. LIMITED WARRANTY, DISCLAIMER OF DAMAGES - Except for the "Right
of Replacement or Refund" described in paragraph 1.F.3, the Project
Gutenberg Literary Archive Foundation, the owner of the Project
Gutenberg-tm trademark, and any other party distributing a Project
Gutenberg-tm electronic work under this agreement, disclaim all
liability to you for damages, costs and expenses, including legal
fees. YOU AGREE THAT YOU HAVE NO REMEDIES FOR NEGLIGENCE, STRICT
LIABILITY, BREACH OF WARRANTY OR BREACH OF CONTRACT EXCEPT THOSE
PROVIDED IN PARAGRAPH 1.F.3. YOU AGREE THAT THE FOUNDATION, THE
TRADEMARK OWNER, AND ANY DISTRIBUTOR UNDER THIS AGREEMENT WILL NOT BE
LIABLE TO YOU FOR ACTUAL, DIRECT, INDIRECT, CONSEQUENTIAL, PUNITIVE OR
INCIDENTAL DAMAGES EVEN IF YOU GIVE NOTICE OF THE POSSIBILITY OF SUCH
DAMAGE.
1.F.3. LIMITED RIGHT OF REPLACEMENT OR REFUND - If you discover a
defect in this electronic work within 90 days of receiving it, you can
receive a refund of the money (if any) you paid for it by sending a
written explanation to the person you received the work from. If you
received the work on a physical medium, you must return the medium with
your written explanation. The person or entity that provided you with
the defective work may elect to provide a replacement copy in lieu of a
refund. If you received the work electronically, the person or entity
providing it to you may choose to give you a second opportunity to
receive the work electronically in lieu of a refund. If the second copy
is also defective, you may demand a refund in writing without further
opportunities to fix the problem.
1.F.4. Except for the limited right of replacement or refund set forth
in paragraph 1.F.3, this work is provided to you 'AS-IS' WITH NO OTHER
WARRANTIES OF ANY KIND, EXPRESS OR IMPLIED, INCLUDING BUT NOT LIMITED TO
WARRANTIES OF MERCHANTIBILITY OR FITNESS FOR ANY PURPOSE.
1.F.5. Some states do not allow disclaimers of certain implied
warranties or the exclusion or limitation of certain types of damages.
If any disclaimer or limitation set forth in this agreement violates the
law of the state applicable to this agreement, the agreement shall be
interpreted to make the maximum disclaimer or limitation permitted by
the applicable state law. The invalidity or unenforceability of any
provision of this agreement shall not void the remaining provisions.
1.F.6. INDEMNITY - You agree to indemnify and hold the Foundation, the
trademark owner, any agent or employee of the Foundation, anyone
providing copies of Project Gutenberg-tm electronic works in accordance
with this agreement, and any volunteers associated with the production,
promotion and distribution of Project Gutenberg-tm electronic works,
harmless from all liability, costs and expenses, including legal fees,
that arise directly or indirectly from any of the following which you do
or cause to occur: (a) distribution of this or any Project Gutenberg-tm
work, (b) alteration, modification, or additions or deletions to any
Project Gutenberg-tm work, and (c) any Defect you cause.
Section 2. Information about the Mission of Project Gutenberg-tm
Project Gutenberg-tm is synonymous with the free distribution of
electronic works in formats readable by the widest variety of computers
including obsolete, old, middle-aged and new computers. It exists
because of the efforts of hundreds of volunteers and donations from
people in all walks of life.
Volunteers and financial support to provide volunteers with the
assistance they need, are critical to reaching Project Gutenberg-tm's
goals and ensuring that the Project Gutenberg-tm collection will
remain freely available for generations to come. In 2001, the Project
Gutenberg Literary Archive Foundation was created to provide a secure
and permanent future for Project Gutenberg-tm and future generations.
To learn more about the Project Gutenberg Literary Archive Foundation
and how your efforts and donations can help, see Sections 3 and 4
and the Foundation web page at http://www.pglaf.org.
Section 3. Information about the Project Gutenberg Literary Archive
Foundation
The Project Gutenberg Literary Archive Foundation is a non profit
501(c)(3) educational corporation organized under the laws of the
state of Mississippi and granted tax exempt status by the Internal
Revenue Service. The Foundation's EIN or federal tax identification
number is 64-6221541. Its 501(c)(3) letter is posted at
http://pglaf.org/fundraising. Contributions to the Project Gutenberg
Literary Archive Foundation are tax deductible to the full extent
permitted by U.S. federal laws and your state's laws.
The Foundation's principal office is located at 4557 Melan Dr. S.
Fairbanks, AK, 99712., but its volunteers and employees are scattered
throughout numerous locations. Its business office is located at
809 North 1500 West, Salt Lake City, UT 84116, (801) 596-1887, email
business@pglaf.org. Email contact links and up to date contact
information can be found at the Foundation's web site and official
page at http://pglaf.org
For additional contact information:
Dr. Gregory B. Newby
Chief Executive and Director
gbnewby@pglaf.org
Section 4. Information about Donations to the Project Gutenberg
Literary Archive Foundation
Project Gutenberg-tm depends upon and cannot survive without wide
spread public support and donations to carry out its mission of
increasing the number of public domain and licensed works that can be
freely distributed in machine readable form accessible by the widest
array of equipment including outdated equipment. Many small donations
($1 to $5,000) are particularly important to maintaining tax exempt
status with the IRS.
The Foundation is committed to complying with the laws regulating
charities and charitable donations in all 50 states of the United
States. Compliance requirements are not uniform and it takes a
considerable effort, much paperwork and many fees to meet and keep up
with these requirements. We do not solicit donations in locations
where we have not received written confirmation of compliance. To
SEND DONATIONS or determine the status of compliance for any
particular state visit http://pglaf.org
While we cannot and do not solicit contributions from states where we
have not met the solicitation requirements, we know of no prohibition
against accepting unsolicited donations from donors in such states who
approach us with offers to donate.
International donations are gratefully accepted, but we cannot make
any statements concerning tax treatment of donations received from
outside the United States. U.S. laws alone swamp our small staff.
Please check the Project Gutenberg Web pages for current donation
methods and addresses. Donations are accepted in a number of other
ways including checks, online payments and credit card donations.
To donate, please visit: http://pglaf.org/donate
Section 5. General Information About Project Gutenberg-tm electronic
works.
Professor Michael S. Hart is the originator of the Project Gutenberg-tm
concept of a library of electronic works that could be freely shared
with anyone. For thirty years, he produced and distributed Project
Gutenberg-tm eBooks with only a loose network of volunteer support.
Project Gutenberg-tm eBooks are often created from several printed
editions, all of which are confirmed as Public Domain in the U.S.
unless a copyright notice is included. Thus, we do not necessarily
keep eBooks in compliance with any particular paper edition.
Most people start at our Web site which has the main PG search facility:
http://www.gutenberg.org
This Web site includes information about Project Gutenberg-tm,
including how to make donations to the Project Gutenberg Literary
Archive Foundation, how to help produce our new eBooks, and how to
subscribe to our email newsletter to hear about new eBooks.