The Project Gutenberg eBook of On the distribution of intensity in stellar absorption lines

This eBook is for the use of anyone anywhere in the United States and most other parts of the world at no cost and with almost no restrictions whatsoever. You may copy it, give it away or re-use it under the terms of the Project Gutenberg License included with this eBook or online at www.gutenberg.org. If you are not located in the United States, you will have to check the laws of the country where you are located before using this eBook.

Title: On the distribution of intensity in stellar absorption lines

Author: Cecilia Payne-Gaposchkin

Harlow Shapley


Release date: April 20, 2025 [eBook #75914]

Language: English

Original publication: Cambridge: Harvard, 1926

Other information and formats: www.gutenberg.org/ebooks/75914

Credits: Richard Tonsing and the Online Distributed Proofreading Team at https://www.pgdp.net (This book was produced from images made available by the HathiTrust Digital Library.)

*** START OF THE PROJECT GUTENBERG EBOOK ON THE DISTRIBUTION OF INTENSITY IN STELLAR ABSORPTION LINES ***

Transcriber’s Note:

New original cover art included with this eBook is granted to the public domain.

Proceedings of the American Academy of Arts and Sciences.
Vol. 61. No. 10—July, 1926.

ON THE DISTRIBUTION OF INTENSITY IN STELLAR ABSORPTION LINES

By Cecilia H. Payne and Harlow Shapley
459

ON THE DISTRIBUTION OF INTENSITY IN STELLAR ABSORPTION LINES[1]

1. The cost of publication of this research has been met with the help of a grant from the Rumford Fund.

By Cecilia H. Payne[2] and Harlow Shapley

2. National Research Fellow.

1. It is unnecessary to emphasize the significance of the form of absorption lines in the study of problems of atomic structure and the physical constitution of stellar atmospheres. There has been an abundance of theoretical work on line contour, but a remarkable scarcity of quantitative observation. The present preliminary study is aimed to meet, in part, the need for measurements on the broad and strong lines in the spectra of stars of various types.

In general the investigation has been based on objective prism spectra, analyzed with a photographically recording microphotometer. The ease with which a photometric scale can be set up on these plates, available throughout the whole length of the spectrum, and essentially independent of the variability of plates and development, is a decided factor in favor of using objective prism spectra. Other advantages include the efficiency of the objective prism spectrograph and its simple operation. The possible disadvantage of lack of purity is not important, at least in the case of the lines discussed in this communication; the extent to which scattered light affects the true contours of the absorption lines is considered below.

That the results from slit spectrographs are in essential agreement with these slitless spectrograms is shown in Figure 1, where microphotometer tracings of spectra from the two sources are shown. Through the courtesy of Professor W. J. Hussey and Professor R. H. Curtiss, of Ann Arbor, some excellent spectrograms made with the single prism spectroscope at the Detroit Observatory have been sent to Harvard for this comparison. The dispersion is practically the same on the Michigan and Harvard plates. The microphotometer records were made under identical conditions for the two sets of spectra, though the presence of comparison lines on the Michigan plates and the narrowness of the spectra made their analysis more difficult.

Figure 1.—Microphotometer tracings made from the spectra of four stars. The names of the stars, and the sources of the analyzed spectra, are as follows: (1) α Canis Majoris (Sirius), Harvard objective prism spectrum, (2) α Lyrae (Vega), slit spectrogram, Detroit Observatory, (3) α Aquilae, slit spectrogram, Detroit Observatory, (4) β Pegasi, slit spectrogram, Detroit Observatory. The violet ends of the spectra are to the left.

2. The work on the Harvard spectrograms has been carried out by the method that was described in the preliminary report (H.B. 805, 1924). The plates were all made with the sixteen-inch refractor, 461using two prisms and a special set of apertures. The different apertures provide relative objective areas of 16, 8, 4, 2, and 1, respectively. The apertures are rectangular, and the successive reducing strips are placed perpendicular to the refracting edge of the prism. It is assumed in the discussion that the amounts of light admitted by the apertures are in the same ratio as their areas.

A standard procedure has been adopted in securing the spectrograms. A series of spectra with the several apertures was obtained upon each plate. Focus, clock rate, and exposure time were kept constant over any one series. In general the apertures were used in the order 16, 8, 4, 2, 16. Aperture 1 was omitted in nearly every case, and for a few stars other apertures were also omitted, or found to be useless owing to faintness of the image. Omission of apertures is indicated by notes to Table I.

TABLE I
List of Plates Used
Plate Number Star Spectral Class Apertures Remarks
MC 20790 α Lyrae A0 1, 16a, 8, 4, 2 Ap. 2 not used
20797 α Bootis K0 1, 16a, 8, 4, 2, 16b Ap. 1 and 2 not used
20800 α Aquilae A5 1, 16a, 8, 4, 2, 16b Ap. 1 and 2 not used
21640 α Cygni cA2 16a, 8, 4, 2, 16b  
21645 δ Cassiopeiae A5 16a, 8, 4, 2, 16b  
21646 α Cassiopeiae K0 16a, 4, 2, 16b Ap. 16b not used
21721 α Aurigae G0 16a, 8, 4, 2, 16b  
21722 δ Canis Majoris cF8 16a, 8, 4, 2, 16b Ap. 16b not used
21788 β Orionis cB8 16a, 8, 4, 2, 16b Ap. 16b not used
21789 ε Orionis B0 16a, 8, 4, 2, 16b Ap. 16b not used
21802 α Canis Majoris A0 8, 16, 4, 2  

The apertured spectra were examined, and any that showed irregularities were rejected. In cases of interference by clouds, whether or not the spectra were visibly impaired, the plates were not measured. Spectra which appeared from experience to be too strong or too weak for satisfactory analysis were also rejected.

4623. The present report deals with the spectra of the eleven stars enumerated in Table I. Successive columns contain the plate number, the name of the star, its spectral class, the apertures employed, and remarks.

In addition to the plates enumerated in Table I, the following focus plates were obtained.

Plate Star Apertures Remarks
21648 α Canis Majoris 16, 4, 4, 4, 4, 4, 4, 4, 4, 4, 16 Various focus settings
21803 α Canis Majoris 16, 16, 4, 2, 8, 8, 8, 8, 8, 16

4. All the plates have been analyzed by means of the Moll thermoelectric microphotometer of Harvard Observatory,[3] which furnishes a photographic record of the plate density. The adjustments of this instrument were made with several ends in view. The analyzing beam of light was kept as narrow as possible, so that no integrating effect should enter into the final result. At the same time it was desired that the total galvanometer deflection—the quantity on which the measures depend—should be of reasonable size; otherwise the errors of measurement would become proportionately too great. Some of the analyzed spectra, especially those of fainter stars, were so narrow that the slit admitting the analyzing beam had to be considerably shortened. This cut down the total light transmitted in the same proportion, and to keep the deflections of the galvanometer of reasonable size, a wider slit, and therefore a wider analyzing beam, had to be used. A compromise was worked out, for each plate, between a narrow analyzing beam and a reasonable galvanometer deflection.

3. This instrument was purchased with the aid of the Rumford Fund of the American Academy of Arts and Sciences and the Bache Fund of the National Academy of Sciences.

Special precautions were taken to secure the greatest uniformity of conditions possible throughout the analysis of each series of spectra of any one star. At first it was hoped that the whole series of plates could be analyzed under exactly uniform conditions. Owing to the narrowness of some of the spectra, however, it was necessary to introduce the modifications indicated in the preceding paragraph. Even 463if all the spectra had been analyzed under precisely the same conditions, experience showed that direct intercomparison between different stars would have been impossible, owing to varying amounts of fog on different plates.

The instrumental settings were made and recorded at the beginning of the analysis of each series of spectra, and when possible were kept untouched throughout the process. The voltage supplying the analyzing beam, and the temperature of the room, were recorded at the beginning and end of each analysis, since both these factors may affect the galvanometer deflection.

TABLE II
Plate Number Star Slit Width mm. Slit Length mm. Total Deflection scale div.
MC 20790 α Lyr .25 6.0 77
20797 α Boo .10 7.0 35
20800 α Aql .10 7.0 42
21640 α Cyg .10 5.5 30
21645 δ Cas .10 4.0 35
21646 α Cas .40 3.0 45
21648 α CMa .25 4.0 67
21721 α Aur .25 5.0 62
21722 δ CMa .25 5.0 74
21788 β Ori .25 6.5 91
21789 ε Ori .25 6.0 69
21802 α CMa .25 6.0 90
21803 α CMa .25 6.0 85

The instrumental settings for the different plates analyzed are summarized in Table II. Successive columns contain the plate number, the name of the star, the width in millimeters of the slit producing the analyzing beam, and the total length of that slit. The effective width of the slit producing the analyzing beam differs somewhat from the quantity recorded in the third column. For the three entries .10, .25 and .40, the corresponding effective slit widths are .101, .262, and .385 mm., respectively. The corresponding widths in millimeters of the analyzing beam are 0.010, 0.026, and 0.038, respectively, which are approximately equivalent to .02, .05, and .08 angstroms at Hδ for the dispersion used in this series of plates.

4645. Measurement of microphotometer tracings.—In addition to the line representing the density of the image at different points along the spectrum, reference marks were inserted by registering a line for “darkness,” by interposing an opaque screen in the path of the analyzing beam, and a line for “clear film,” by passing the beam through the plate background close to the spectrum, though not close enough to bring it within range of disturbing photographic effects due to the image.

The microphotometer tracings on paper prints were measured with respect to the reference marks. Lines, representing “darkness” and “clear film,” were ruled from end to end of the tracing, and across the absorption lines a curve was drawn, completing the curve of the neighboring continuous background. For early type stars this background curve can be drawn without ambiguity; but when the spectrum is rich in lines, the course of the unlined continuous background is largely a matter of judgment.

Figure 2.—Diagram of an absorption line, as registered by the microphotometer, showing the method of measuring the tracings. The quantities n (“darkness” to “background curve”), m (“background curve” to “line”), and l (“line” to “clear film”) were measured at intervals of five scale divisions, indicated by the vertical lines.

The quantities measured on the microphotometer tracings are best described by a diagram. Figure 2 represents a wide absorption line, 465and the various distances that were measured in analyzing such a line. The measures were all made with a half-millimeter réseau scale photographed upon glass, which was laid directly upon the tracing.

6. Method of reduction.—The spectra obtained with various apertures provide, as was pointed out in Harvard Bulletin 805, several measures of the intensity at any point of an absorption line. The intensity is compared, in the present paper, with the intensity that the continuous background would have at the same point if the line were not present, which is assumed to be represented by the “background curve” drawn across the absorption line.

The method has the advantage of making a determination separately for each wave length. The difficulties introduced by the varying color sensitivity of the photographic plate are thus avoided. It has, however, the disadvantage that the measured quantity depends to some extent upon the individual judgment of the investigator in drawing the “background curve”—a matter that is simple for Classes B and A, but may prove serious for second-type stars.

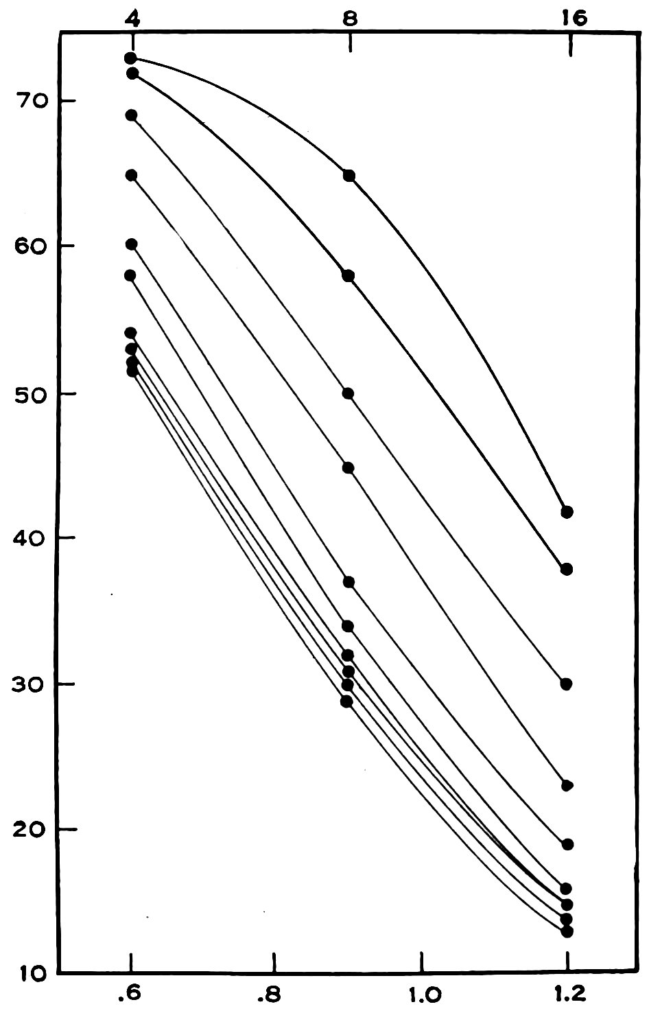
The intensity differences, background minus line, were determined for several points by direct measurement. The distances, n and m + n for the same wave length in all the spectra of any one series, were obtained from the microphotometer tracings, and were separately plotted against the logarithms of the corresponding apertures. Smooth curves were drawn, joining the plotted points for any one wave length, as in Figure 3. The drawing of the curves is somewhat simplified by considering together several for the same star, remembering that the sections lying between the same abscissae should be roughly parallel. These various curves represent different sections of the familiar characteristic curve for photographic blackening, the logarithm of the aperture being here substituted for the more usual logarithm of the intensity. Differences of intensity between line and background are then readily obtained by interpolating values of n on the curve connecting m + n and aperture, and similarly by interpolating values of m + n on the curve connecting aperture with measured values of n. Each spectrum thus furnished at least one, and sometimes two, values for the intensity difference at any point.

It will be seen from Table IX that for several stars two mean values of line intensity are given, one being the mean of all the measures, and the other the “selected mean.” The selected means are obtained by using only points from the more linear portions of the characteristic curve, and by rejecting values derived from microphotometer tracings of exceptional total deflection.

466

Figure 3.—Relation between galvanometer deflection (representing plate density) and aperture (representing light intensity), from measures of the microphotometer tracings made from the apertured spectra of α Lyrae, MC 20790. Ordinates are galvanometer deflections in scale divisions, abscissae are (above) apertures, (below) logarithms of apertures. Smooth curves are drawn joining the points corresponding to the same wave length, for the three apertures represented.

The intensity drop from background to line is thus obtained in the form log. intensity of background minus log. intensity of line. The 467change in intensity may readily be converted into stellar magnitudes by dividing the difference of the logarithms by 0.4.

7. The results embodied in the present paper differ so materially from those of some previous workers, that it is of especial interest to examine the accuracy that may be claimed for each stage of the work, and the weight that may be assigned to the results, (Cf. Harvard Monograph No. 1, p. 51). Three stages of the investigation should be considered separately; the plates, (a and b), the microphotometer records (c), and the measures (d).

a. Accuracy of plates.—A qualitative test of the reliability of the spectra used is made by examining the reproduction of line detail throughout the whole series made for one star. Figure 4 shows the microphotometer tracings for a portion of the spectrum of δ Canis Majoris, made with apertures 16, 8, and 4. Figure 5 shows a similar series of tracings made from spectra of α Persei, taken with apertures 16, 8, 4, and 2. It may be seen that the reproduction of line detail is satisfactorily faithful, although a few spurious details can be detected.

Figure 4.—Microphotometer tracings made from a portion of the Harvard apertured objective prism spectra of δ Canis Majoris, MC 21722. The different apertures used are indicated on the left margin. A few of the more important lines are marked on the lower edge of the diagram.

468

Figure 5.—Microphotometer tracings made from a portion of Harvard apertured objective prism spectra of α Persei. The different apertures used are indicated on the left margin. A few of the more important lines are marked on the lower edge of the diagram.

The best quantitative test of the reliability of the spectra used in this work is the consistency of the numerical results obtained from the different members of a series. From Table IX it may be seen that the residuals very seldom exceed 0.2 m., while the majority are less than 0.05 m.

In specific criticism of the use of the objective prism in line photometry, it has been claimed that the intensity at the line center is affected, and measurably increased, by stray light, and that such an effect is inappreciable for slit spectra. The results of the present work, which deals with lines of various depths, widths, and qualities, are relevant to a discussion of the question, so far as it concerns objective prism spectra.

469Presumably the effects of stray light must be greatest in the immediate neighborhood of the stronger portions of the spectrum, and fall off at greater distances from the more heavily exposed parts of the plate. Skylight contributes mainly to plate fog, is uniform over the spectrum and its vicinity, and is eliminated by the use of the line representing “clear film” as a reference base in measuring the tracings.

If the effects of stray light are of importance in the immediate vicinity of the continuous spectrum, they will presumably affect all absorption lines to some extent, and will in particular be greatest for narrow lines. The effects should also be greater for heavily exposed spectra than for the more lightly exposed spectra of the same star. Further, the effects of stray light should appear not only within absorption lines, but also alongside of the spectrum on either edge.

A comparison of the results for δ Cassiopeiae and α Aquilae, both stars of Class A5 (see Table X) shows that the observed line depth is not, in this case at least, a function of line width. The lines of δ Cassiopeiae are both narrower and deeper (that is, they show greater contrast with the background) than those of α Aquilae. The same is true of δ Canis Majoris and Capella; the lines of the former are both narrower and deeper.

The results for apertures 16, 8, 4, and 2 have been compared for all the stars discussed, and the intensity differences between line and background are not appreciably smaller for the larger apertures, which would be the case if stray light were an important factor. Indeed, for α Cygni and β Orionis an opposite effect is shown.

Figure 6.—Microphotometer tracing taken across the spectra of Sirius (MC 21647) made with the different apertures indicated along the upper margin.

To examine the distribution of light at the edges of the spectrum, a microphotometer tracing was made by running MC 21803 (Sirius) through the instrument in a direction perpendicular to the length of the spectra. The resulting tracing is reproduced in Figure 6. Effects 470of stray light are not to be found, except for the strongest spectrum. Evidently such effects depend on the heaviness of the exposure, but are not simply proportional to it; they may indicate mainly the “creep” of the overexposed image rather than stray incident light. The point of exposure beyond which stray light begins to be a disturbing factor would have to be determined separately for each plate. In no case is it likely to involve any but the strongest spectrum, and spectra that are strong enough to exhibit the effect are for other reasons not usable. Such measures, in fact, are omitted in deriving the “selected mean,” and it would seem that effects of stray light are thus eliminated, while an upper limit may be assigned to their magnitude by comparing the mean derived from all the measures with the selected mean in Table IX. Stray light, although certainly present to some degree, is therefore probably not an important factor in affecting the results of line photometry with the present objective prism spectra.

Figure 7.—Microphotometer tracing taken across the spectrum of Vega made with the single prism spectrograph of the Detroit Observatory.

Figure 7 represents the result of a similar test made by taking a microphotometer tracing across an excellent slit spectrogram of Vega that was made with the spectrograph at Ann Arbor. There are no traceable effects of stray light outside the edges of the spectrum, but on the contrary there is a distinct drop in intensity, which may partly be due to an Eberhard Effect. The objective prism spectrum therefore appears to have a slight advantage in this regard, judging from a comparison of Figures 6 and 7.

b. Effect of focus.—The effect of poor focus in blurring absorption lines suggests that this factor may enter into the accuracy of the results. It is not possible, in a stellar spectrograph, when working with flat plates, to keep all parts of the spectrum in focus at the same time. Two plates of Sirius were taken for the purpose of examining the magnitude of the effect. The apertures used, and the focus settings, were as follows.

471
PLATE MC 21648
Spectrum 1a 3a 3b 3c 3d 3e 3f 3g 3h 3i 1b
Aperture 16 8 8 8 8 8 8 8 8 8 16
Setting 17.2 17.2 17.4 17.6 17.8 18.0 17.0 16.8 16.6 17.2 17.2
PLATE MC 21803
Spectrum 1a 1b 2e 3 4 2c 2d 2b 2a
Aperture 16 16 8 4 2 8 8 8 8
Setting 16.6 16.6 16.6 16.6 16.6 16.2 16.4 16.8 17.0

From MC 21648 it is possible to obtain a qualitative estimate of focus effects; MC 21803, including spectra taken with all four apertures, furnishes a quantitative estimate of the magnitude of the focus errors. Microphotometer tracings were made, under uniform conditions, of the spectra of each of the focus plates, and measures were made at the centers of the lines only.

For the plate MC 21648, the observing record book contains the entry: “Frost in center of prism at close.” Apparently the frosting resulted in a gradual decrease in the intensity of successive spectra, which is shown, when the spectra are arranged in the order in which they were photographed, by a gradual decrease in n, a quantity that should remain constant for the same aperture, since the edges of the spectrum, the portion where focus would affect the intensity, are not crossed by the analyzing beam of the microphotometer. The progressive change in n is shown in Table III.

TABLE III
Spectrum 3a 3b 3c 3d 3e 3f 3g 3h 3i
n at Hβ 13 (12) 13 15 16 16 17 18 17
8 8 8 11 9 10 11 10 11
11 9 10 12 12 14 12 13 15
16 14 17 15 18 19 19 19 20
K 19 17 19 18 20 22 21 22 23
27 25 28 29 29 31 31 31 33

That the change in n is progressive and not due to change of focus is shown by arranging the columns in the order of focus setting, 3h, 3g, 3f, 3i, 3a, 3b, 3c, 3d, 3e. No regular change in n is then evident.

The total deflection of the galvanometer is satisfactorily constant for all the microphotometer records of the spectra on MC 21648, excepting 3i, which is rejected for a large voltage drop (0.2 volts), 472producing a reduction of four scale units in total deflection. Spectrum 3i is omitted from further discussion. The quantity l must be corrected for change in n, and this may be done by adding to l a quantity equal to the increase in n, since the observed change in n, which should be constant, corresponds to a shift of the whole spectrum, tending to decrease l. The change in l, the distance from “clear film” to line center, as measured on the microphotometer tracings, with changing focus, is shown in Table IV. Values of l are corrected.

TABLE IV
Spectrum 3h 3g 3f 3a 3b 3c 3d 3e
Focus 16.6 16.8 17.0 17.2 17.4 17.6 17.8 18.0
l at Hβ 33 36 40 47 49 49 48 43
37 38 39 47 47 50 46 47
32 35 31 40 41 45 43 40
24 26 27 33 33 35 37 31
K 42 44 42 50 50 52 54 47
12 14 13 19 18 22 24 20

The line depth is the greatest, and the focus presumably the best, where l is smallest. It appears that spectrum 3h is at best focus.

Table V contains the values of m for different focus settings, in the same form as Tables III and IV. The quantity m requires no correction for change of n. For all the spectra on this plate the K line appears double. The last line of Table V contains the distance, in scale divisions, between the two maxima of the K line on the microphotometer tracing. One scale division corresponds approximately to one Angstrom.

TABLE V
Spectrum 3h 3g 3f 3a 3b 3c 3d 3e
Setting 16.6 16.8 17.0 17.2 17.4 17.6 17.8 18.0
m at Hβ 16 16 14 13 13 12 9 11
19 18 18 16 15 14 12 13
22 20 20 19 18 17 15 16
24 22 20 21 22 21 21 19
K 3 3 2 2 2 2 2 2
24 23 23 24 25 23 29 28
Width of K 4 4 5 5 7 6.5 9 9

The data of Table V, and the changing width of the K line (thus shown to be an effect of focus) indicate 3h as being the best focussed of the nine spectra. This can also be seen visually from the plate.

473The focus plate MC 21803 was similarly analyzed and measured. No progressive weakening of the spectra is shown by this plate, and the measures are therefore uncorrected. For the same plate Table VI shows the change of l with focus setting, in the same form as Table IV.

TABLE VI
Spectrum 2c 2d 2e 2b 2a
Setting 16.2 16.4 16.6 16.8 17.0
l at Hβ 51 52 51 54 53
4481 77 78 79 79 81
54 55 56 55 56
47 48 51 50 50
39 39 42 43 41
K 62 64 65 65 64
22 26 28 28 26
8 10 12 12 8
4 5 4 6 2

Table VII is in the same form as Table V, and represents the change of m with changing focus. Evidently Spectrum 2c is at best focus.

TABLE VII
Spectrum 2c 2d 2e 2b 2a
Setting 16.2 16.4 16.6 16.8 17.0
m at Hβ 22 22 21 20 19
4481 3 3 2 2 2
24 24 23 23 25
28 27 26 27 26
31 31 30 28 30
K 6 5 5 4 4
36 33 34 33 34
32 31 30 30 31
20 19 20 19 19

By the use of the four apertured spectra that occur on MC 21803 it is possible to evaluate the differences of intensity, produced by the change of focus, directly in stellar magnitudes. The method used in deriving the intensities is the one employed in compiling Table IX. The intensities at the centers of the lines of the various spectra are summarized in Table VIII. It appears that Spectrum 2c is at best focus for lines at either end of the spectrum, and that the curve of best focus moves towards 2b for intermediate lines. The effect is what would have been anticipated on general grounds. The magnitude of 474the effect is satisfactorily small, as may be seen by comparing the differences in Table VIII with the residuals in Table IX. Errors arising from bad focus, while they are of appreciable size, do not exceed the errors due to other causes. If the spectra to be analyzed appear upon visual examination to be in good focus, they will probably not give results impaired by serious focus error.

Figure 8.—Microphotometer tracings made from Harvard objective prism spectra of Sirius, MC 21648, to illustrate the effects of focus. Analyses are shown of the five lines indicated on the left margin, for the focus settings given above. The best focus is at 16.8; the short lines below the absorption minima indicate the change in line depth with changing focus. The doubling of the K line, and the increasing distance between the components, is a noticeable effect of focus.

Figure 8 shows, for MC 21648, the lines Hβ, Hγ, Hδ, Hε, and K, for four out of the nine focus settings. The change in line depth, and the blunting of the intensity curve, are at once apparent.

TABLE VIII
Spectrum 2c 2d 2e 2b 2a
Setting 16.2 16.4 16.6 16.8 17.0
.53 .53 .51 .49 .47
4481 .13 .13 .09 .09 .09
.60 .59 .60 .60 .63
.63 .65 .65 .66 .62
.62 .62 .66 .62 .65
K .15 .14 .13 .12 .10

c. Accuracy of microphotometer records.—As was pointed out in Harvard Bulletin 805, the width of the analyzing beam, which is not in any case greater than one-tenth of an Angstrom, is such that no smoothing effect need be considered at the line center.

475In a few cases the same line of the same spectrum was registered twice. The measures made upon the two tracings were always satisfactorily accordant.

Figure 9.—Test of the consistency of spectra taken with different apertures.

Ordinates are distance from “clear film” to “line center” taken from microphotometer tracings of spectra of α Aquilae, MC 20800. Abscissae are the ratio (l + m for one aperture)/(l + m for twice the aperture). The fact that the points lie on a smooth curve indicates that the results are satisfactorily consistent.

The consistency of the results given by the tracings of several spectra of the same star, when photographed with different apertures, may be examined by means of the plot shown in Figure 9. Ordinates are values of l + m. Abscissas are values of the ratio

((l + m) for one aperture)/((l + m) for twice the aperture).

It is evident that if the points thus derived fall on a smooth curve, the results derived from different tracings of the same spectrum will be mutually consistent. The method of interpolation described in Section 6 may therefore be used in deriving the differences of intensity between line and background.

If the method of Section 6 is to be successfully applied, it is essential that the total range (“darkness” to “clear film”) shall be uniform for a single series of tracings. In general the variations in total range do 476not exceed three or four scale units, but, for some spectra, occasional changes of eight or ten units have occurred, generally owing to changes of voltage or room temperature.

Under these circumstances, it has been thought best not to attempt to apply any correction for variations in total range, but to reject from the “selected mean” readings from spectra that gave very discordant total ranges.

d. Accuracy of measures. In comparison with the errors of the plates and of the microphotometer tracings, the errors in the measurement of the records are of relative unimportance. The chief difficulty, as mentioned above, is that of drawing from fiducial points the reference lines representing the continuous background and the “clear film.” The error thus introduced may occasionally amount to one millimeter, or two divisions of the scale.

It is sometimes difficult to decide upon the position of the center of a line, especially when it is wide, without a sharp maximum. This may lead to large residuals for measures on the wings, especially for such lines as Hε and Hζ.

8. The results of the investigation are given in Table IX, which contains, in successive columns, the name of the line, the wave length, expressed to the nearest Angstrom, the mean value of the difference of intensity, background minus line, expressed in stellar magnitudes, the residuals, the “selected mean” value of the same intensity difference (see Section 6) and its residuals. The stars are mentioned at the beginnings of their respective records, and are arranged in order of plate number. In the case of stars for which no “selected mean” is quoted, all the values used for the mean conform to the criterion for “selected mean.”

TABLE IX
Differences of Intensity, background minus LINE
Plate and Star Wave Length Mean Intensity Difference Residuals Selected Mean Difference Residuals
MC 20790 4877 .11 1, 4, 4 .11 4, 4
α Lyrae 4872 .23 2, 3, 2 .23 3, 2
  4866 .49 2, 1, 1 .50  
  4861 Hβ .95 10, 0, 7, 5 .95  
  4856 .73 2, 3, 2, 3 .73 3, 2
  4851 .35 5, 5, 2, 3 .38 2, 1
  4846 .17 5, 3, 3, 0 .19 1, 1, 2
  4840 .07 2, 0, 3, 2 .07 0, 3, 2
477  4358 .11 6, 9, 6, 6, 1 .10 8, 7
  4354 .23 11, 1, 9, 4 .27 5, 5
  4349 .45 15, 0, 15, 2 .52 7, 8
  4345 .83 8, 3, 19, 8 .86 6, 16, 11
  4340 Hγ 1.43 6, 19, 6, 3, 3 1.62  
  4336 .92 8, 17, 5, 3 .92 8, 17, 5, 3
  4331 .51 19, 4, 11, 14, 11 .55 0, 15, 10, 7
  4327 .25 8, 5, 5, 15, 12, 10 .29 9, 9, 11, 8
  4322 .14 2, 4, 4, 11, 8, 7 .17 7, 7, 8, 5
           
  4116 .13 3, 4, 9, 8 .19 2, 3
  4112 .32 10, 3, 8 .37 2, 3
  4109 .60 15, 2, 12 .67 5, 5
  4105 .92 17, 18, 17, 13, 5 .92 18, 17
  4102 Hδ 1.60 0, 22, 15, 5 1.82  
  4098 1.11   1.11  
  4095 .72 17, 8, 8 .80 0, 0
  4091 .33 1, 7, 1, 3 .36 4, 4
  4088 .21 6, 1, 4, 9 .22 2, 5, 8
  4084 .13 6, 3, 3, 12 .15 5, 5, 10
           
  3986 .11 1, 1 .11 1, 1
  3983 .21 4, 1, 6, 9, 6 .23 1, 8, 7, 4
  3980 .45 10, 0, 5, 7, 10 .48 3, 8, 4, 7
  3976 .73 26, 7, 14, 4 .80  
  3973 1.08 6, 5, 3, 2 1.17  
  3970 Hε 1.68 8, 7 1.60  
  3967 1.17      
  3964 .70 13, 8, 20 .62  
  3960 .56 21, 4, 14, 4 .65 5, 5
  3957 .28 11, 2, 3, 12 .32 2, 7, 8
  3954 .13 3, 3, 1, 7 .13 3, 3, 1, 7
           
  3936 .05 0, 0 .05 0, 0
  3933 K .23 1, 3, 3, 7 .23 1, 3, 3, 7
  3930 .11 1, 4, 4, 4, 4 .11 1, 4, 4, 4, 4
           
  3899 .55 5, 5, 2, 0 .50  
  3895 .76 1, 1, 1, 1 .77  
  3892 1.03 4, 3 1.07  
  3889 Hζ 1.42      
  3887 1.10   1.10  
  3884 .78 3, 2, 3, 2 .75  
  3880 .43 1, 1, 1, 2 .42  
           
  3845 .62      
  3842 > .75      
478  3839 > .75      
  3835 Hη > .75      
  3832 .75      
  3829 .25      
  3826 .16      
MC 20797 4340 Hγ .54 2, 1, 1    
α Bootis 4227 Ca 1.34 2, 2, 3    
  4215 Sr+ .50 7, 8    
  4101 Hδ .74 2, 3, 2    
MC 20800 4877 .00 0, 0 .00 0, 0
α Aquilae 4872 .12 5, 5 .12 5, 5
  4866 .36 6, 6 .30  
  4861 Hβ .71 1, 1 .70  
  4856 .45 5, 5 .45 5, 5
  4851 .20 5, 5 .20 5, 5
  4846 .15 3, 2 .15 3, 2
  4840 .09 7, 8 .09 7, 8
           
  4363 .06 1, 1 .06 1, 1
  4358 .11 4, 4 .11 4, 4
  4354 .16 4, 4 .16 4, 4
  4349 .21 4, 4 .21 4, 4
  4345 .39 10, 9 .49  
  4340 Hγ .81 1, 1 .82  
  4336 .39 10, 9 .49  
  4331 .21 4, 4 .21 4, 4
  4327 .16 4, 4 .16 4, 4
  4322 .07 0, 0 .07 0, 0
  4318 .01 1, 1 .01 1, 1
           
  4116 .03 4, 3 .03 4, 3
  4112 .10 5, 5 .10 5, 5
  4109 .23 7, 8 .23 7, 8
  4105 .46 6, 6 .40  
  4102 Hδ .71 1, 1 .70  
  4098 .50 5, 5 .50 5, 5
  4095 .23 7, 6 .17  
  4091 .10 5, 5 .10 5, 5
  4088 .01 1, 1 .01 1, 1
           
  3986 .20   .20  
  3983 .25 0, 0 .25  
  3980 .32 2, 3 .30  
  3976 .43 3, 4 .40  
  3973 .81 1, 1 .82  
479  3970 Hε > 1.50   > 1.50  
  3967 .79 1, 1 .78  
  3964 .48 13, 14 .35  
  3960 .25 12, 13 .17  
  3957 .12 2, 3 .10  
  3954 .02   .02  
           
  3942 .15   .15  
  3939 .22 2, 3 .20  
  3936 .53 3, 4 .50  
  3933 K .79 3, 2 .82  
  3930 .51 1, 1 .50  
  3927 .07 5, 5 .12  
  3924 .05   .05  
MC 21640 4866 .07 7, 5, 0, 7, 10, 0, 0 .07 0, 0, 0
α Cygni 4861 Hβ .33 2, 4, 3, 1, 3, 1, 2 .32 0, 0
  4856 .18 4, 3, 1, 2, 3, 1 .16 1, 1, 1
           
  4345 .11 1, 1, 1, 1, 1 .10 0, 0
  4340 Hγ .63 1, 2, 16, 4, 17, 16, 2, 7 .67 2, 3
  4336 .21 1, 1, 1, 1 .21 1, 1
           
  4105 .16 9, 1, 6, 4, 4, 6 .11 1, 1, 1
  4101 Hδ .63 17, 3, 16, 2, 2 .56 8, 9
  4098 .37 13, 2, 7, 0, 5 .31 1, 1
           
  3973 .25 5, 5, 5, 0, 5, 0, 7, 2, 5, 0, 5    
  3970 Hε .70 15, 5, 5, 5, 22, 8, 5, 3, 5, 3 .66 1, 1, 1, 1
  3967 .46 24, 4, 19, 14, 1, 4, 16, 14, 16, 4, 1 .34 7, 2, 8
  3936 .10 20, 0, 3, 5, 5, 0, 2, 3, 3 .06 1, 1
  3933 K .54 13, 1, 7, 1, 10 .52 3, 5, 3
  3933 .37 8, 7, 7, 5, 8, 8, 0, 10 .35 3, 2
MC 21645 4877 .32 15, 15 .47  
δ Cassiopeiae 4872 .42   .42  
  4866 .72 2, 3    
  4861 Hβ 1.49 7, 7, 23, 7    
  4856 .72 17, 18 .90  
  4851 .34 9, 7, 16 .50  
  4846 .13 1, 3, 4 .17  
           
  4354 .31 4, 14, 16, 6, 6, 9, 9, 4 .31 16, 6, 9
  4349 .45 5, 13, 12, 7, 5, 5, 23 .45 13, 7, 5
  4345 .81 1, 1, 24, 6, 11, 16, 21 .75 5, 0, 5
480  4340 Hγ 1.46 4, 9, 4, 9, 16    
  4336 .84 33, 18, 9, 14, 9, 19 .86 16, 16
  4331 .55 20, 18, 5, 7, 5, 5, 3 .50 13, 12, 0
  4327 .32 20, 15, 2, 13, 3, 0, 17 .32 15, 13, 3
           
  4112 .34 2, 4, 14, 8, 1, 1, 6, 1 .30 0, 10, 5, 5
  4109 .54 4, 12, 22, 21, 4, 11, 13 .47 5, 15, 3, 18
  4105 .88 2, 8, 18, 13, 34, 17, 13, 3 .75 5, 5, 0
  4102 Hδ 1.54 1, 6, 4, 1, 4    
  4098 .86 4, 6, 11, 29, 11, 19, 26 .74 6, 1, 1, 7
  4095 .53 13, 8, 8, 22, 3, 3, 14 .47 2, 2, 3, 3
  4091 .33 11, 8, 8, 17, 9, 8, 9 .29 4, 4, 13, 4
           
  3976 .84 9, 4, 29, 7, 56, 17, 9,    
      21 .68 13, 9, 1, 7
  3973 1.37 7, 23, 32, 13, 1 1.27 22, 23
  3970 Hε 2.15 5, 15, 5, 10, 12    
           
  3933 K 1.48 23, 3, 2, 22, 2    
MC 21646 4861 Hβ .25   .25  
α Cassiopeiae 4444 Ti+ .31 6, 6 .31 6, 6
  4340 Hγ .42 5, 5 .42 5, 5
  4227 Ca .83 2, 1 .83 2, 1
  4215 Sr+ .71 1, 1 .71 1, 1
  4101 Hδ .56 11, 11 .56 11, 11
  3970 Hε 2.50 5, 5 2.50 5, 5
  3933 K 2.47   2.47  
MC 21721 4861 Hβ .43 16, 11, 4, 32, 11, 4    
           
α Aurigae 4444 Ti+ .21 9, 14, 1, 11, 4, 11, 1    
           
  4340 Hγ .74 21, 11, 1, 7, 9, 4, 12    
           
  4326 Fe .62 13, 5, 10, 13, 5, 17    
           
  4227 Ca .57 30, 37, 5, 7, 8    
           
  4215 Sr+ .36 14, 11, 1, 4, 6    
           
  4101 Hδ .57 0, 12, 10, 13, 2, 5, 17    
           
  3976 .53 2, 1    
  3973 1.14 8, 7    
  3970 Hε 1.62 13, 5, 17, 23, 22    
  3967 1.13 17, 16    
  3964 .62      
481  3939 .80 0, 5, 5    
  3936 1.27 10, 10    
  3933 K 1.67 5, 3, 10, 0, 5    
  3930 1.27 10, 10    
  3927 .76 4, 6, 1    
MC 21722 4866 .32 5, 0, 10, 5    
δ Canis 4861 Hβ .61 1, 4, 4    
Majoris 4856 .28 4, 1, 6, 2    
           
  4444 Ti+ .76 4, 4, 6    
           
  4345 1.12 7, 8    
  4340 Hγ 1.12      
  4336 1.21 9, 9    
           
  4326 Fe .78 7, 8, 2    
           
  4227 Ca .70 10, 10    
           
  4215 Sr+ .51 1, 1    
           
  4105 .31 1, 1    
  4101 Hδ .86 1, 1, 1    
  4098 .21 6, 6    
           
  3970 Hε > 2.25      
           
  3933 K > 2.25      
MC 21788 4861 Hβ .22 0, 3, 3, 3, 3, 10 .25 0, 0, 0, 0
ß Orionis 4481 Mg+ .22 3, 3, 0, 8, 0, 12 .22 3, 0, 8, 0, 12
  4471 He .21 4, 4, 1, 9, 1, 11 .16 1, 6, 6
  4340 Hγ .45 20, 5, 5, 15, 5, 18 .36 4, 4, 9
  4101 Hδ .43 12, 3, 3, 12, 3, 13 .40 0, 0
  4026 He .14 3, 1, 2, 8, 2, 5 .12 0, 0
  3970 Hε .45 10, 5, 0, 7, 5, 18 .46 4, 1, 6, 6
  3933 K .17 2, 3, 3, 0, 2, 2 .18 2, 2, 1, 3
  3889 Hζ .43 12, 12, 8, 11, 8, 18 .54 1, 1, 2
MC 21789 4861 Hβ .23 7, 3, 1, 3 .23 7, 3, 1, 3
ε Orionis 4471 He .31 16, 6, 1, 11 .20  
  4387 He .24 2, 4, 8, 2 .20  
  4340 Hγ .40 12, 8, 2, 5 .35  
  4116 He .17 5, 2, 5, 2, 3 .17 2, 2, 3
  4101 Hδ .37 5, 5, 3, 2 .36 4, 4, 1
  4097 .17 5, 2, 2, 2 .15 0, 0, 0
  4026 He .19 1, 1, 1, 4 .17 3, 2
482  3970 Hε .32 8, 2, 5, 10 .30 7, 8
  3889 Hζ .33 2, 14, 6, 11 .33 2, 14, 6, 11
MC 21803 4877 .12 3, 2, 2, 0, 2, 0 .11 1, 1, 1, 1, 1
α Canis 4872 .30 25, 8, 5, 0, 10, 5 .25 3, 0, 5, 5, 0
Majoris 4866 .56 11, 4, 4, 9, 6, 4 .55 3, 3, 10, 5
  4861 Hβ 1.02 18, 7, 2, 10 .96 1, 4, 4
  4856 .67 13, 12, 0, 13, 12, 0 .65 10, 2, 15, 10, 12
  4851 .31 11, 4, 4, 1, 4, 1 .29 2, 2, 3, 2, 3
  4846 .13 9, 1, 3, 3, 2, 1, 3 .12 0, 2, 2, 3, 0, 2
           
  4481 Mg+ .20 5, 0, 0, 0, 0, 8 .18 2, 2, 2, 2, 6
           
  4354 .28 2, 6, 7, 6, 1, 4 .31 4, 4, 1
  4349 .45 5, 3, 2, 3, 3, 2 .45 2, 3, 2
  4345 .80 10, 5, 0, 5, 2 .79 1, 4, 3
  4340 Hγ 1.38 7, 8, 7, 6 1.39 6, 7
  4336 .83 1, 4, 6, 3, 2, 2 .82 5, 3, 3
  4331 .43 3, 1, 4, 8, 4, 2 .46 1, 1, 1
  4327 .27 3, 5, 3, 0, 0, 0 .28 2, 1, 1
           
  4125 .12 10, 7, 5, 2, 2, 3 .11 4, 1, 4
  4121 .20 15, 5, 5, 3, 5, 2 .17 2, 2, 4
  4116 .42 15, 7, 10, 0, 10, 10 .39 7, 7, 13
  4112 .60 15, 5, 8, 15, 8, 8 .52 0, 0, 0
  4109 .98 17, 16, 4, 6 .97 5, 5
  4102 Hδ 1.45 12, 13, 17, 15 1.46 16, 16
  4098 1.04 21, 9, 2, 12 .97 5, 5
  4095 .61 29, 6, 9, 9, 6 .53 1, 1, 2
  4091 .43 14, 3, 16, 4, 11, 9 .37 10, 5, 15
  4088 .24 11, 2, 7, 1, 4, 2 .20 3, 0, 2
  4084 .12 10, 0, 7, 0, 7, 3 .08 3, 3, 7
           
  3986 .12 7, 0, 12, 5, 10, 2, 0 .12 0, 12, 5, 10, 2, 0
           
  3983 .25 7, 2, 7, 7, 0, 2 .25 2, 7, 7, 0, 2
  3980 .42 15, 2, 10, 12, 0, 7 .42 2, 10, 12, 0
  3976 .66 22, 2, 5, 0, 18 .58 5, 2, 7, 10
  3973 .86 22, 13, 8 .97 3, 2
  3970 Hε 1.47 11, 11, 18, 11 1.45 11, 20, 9
  3967 1.10 20, 8, 2, 15 1.02 0, 10, 7
  3964 .70 27, 3, 10, 5, 15 .64 5, 2, 3, 7
  3960 .47 23, 2, 5, 3, 7, 10 .43 2, 1, 7, 3, 6
  3957 .33 24, 0, 6, 0, 8, 8 .28 5, 1, 5, 3, 3
  3954 .23 19, 4, 6, 13, 11 .16 11, 1, 6, 4
           
  3933 K .18 12, 2, 6, 4, 3, 6 .17 3, 5, 5, 2
           
  3889 Hζ 1.48 7, 9, 17, 16 1.55  

4839. Table X contains a summary of the results, for line centers only. Successive columns give the name of the star, the spectral class, the absolute magnitude, and the drop in magnitudes from background to line center, for the spectrum lines mentioned at the heads of the columns. The greater line depth for absolutely brighter stars, at least among those of the second type, is especially to be noted.

TABLE X
Drop in Intensity, from Background to Line Center, for Eleven Stars, expressed in Stellar Magnitudes
Star Class M K 4227 4215
ε Ori B0   .23 .40 .37 .32      
ß Ori cB8 5: .22 .45 .43 .46 .17    
α Lyr A0 0.6 .95 1.43 1.60 1.68 .23    
α CMa A0 1.2 .96 1.39 1.46 1.47      
α Cyg cA2 4: .33 .63 .63 .70 .54    
α Aql A5 2.4 .71 .81 .71 1.50 .79    
δ Cas A5 1.6 1.49 1.46 1.54 2.15 1.48    
δ CMa cF8 3: .61 1.12 .86 >2.25 >2.25 .70 .51
α Aur G0 0.0 .43 .76 .57 1.62 1.67 .57 .36
α Boo K0 0.3   .54 .74     1.34 .70
α Cas K0 0.0 .25 .42 .56 2.50 2.47 .83 .71

10. The material contained in Table X is reproduced in Table XI, where the intensity at the line center is expressed in terms of percentage of the background intensity, instead of in stellar magnitudes. The “background intensity,” as defined in Section 6, is the intensity that the background would have if the line were not present. It is noteworthy that, for the great majority of the lines, the residual intensity at the line center is greater than 30 per cent of the background intensity.

11. The material presented above constitutes the first systematic study of the contours of strong absorption lines. In view of the preliminary nature of the work the discussion has been devoted for the most part to presentation of method. Extended discussion seems at present to be premature, and only a few points need be mentioned.

Probably the chief interest of Table X lies in the result that the maximum intensity drop from background to line recorded for any of these stars is 2.50 magnitudes, corresponding to a light loss of 484ninety per cent. Except for the supergiant cF8 star and the Ca+ absorption for α Cassiopeiae and Hε for δ Cassiopeiae, the light remaining at the center of the line is at least fifteen per cent of the background intensity. On the average for all these strong absorption lines there is something like twenty-five per cent of the background light remaining at the center of the lines. The significance of these residual intensities will be discussed in a later publication, when the forms of the lines as shown by the data of Table IX will also be considered.

TABLE XI
Residual Intensities at Line Centers, expressed as percentages of Background Intensity
Star Class K 4227 4215
ε Ori B0 81 69 71 74      
β Ori cB8 82 66 67 65 86    
α Lyr A0 42 27 23 21 81    
α CMa A0 41 28 26 26      
α Cyg cA2 74 56 56 52 61    
α Aql A5 51 47 51 25 48    
δ Cas A5 25 26 24 14 26    
δ CMa cF8 57 36 45 <13 <13 52 63
α Aur G0 67 50 59 22 21 59 72
α Boo K0   61 51     29 52
α Cas K0 79 68 60 10 10 47 52

For the wider lines, especially those that are strong and heavily winged, the intensities derived in this paper are probably of the right order. Probably, however, the dispersion used is too small to reproduce satisfactorily the detail at the centers of lines as narrow as those of such stars as α Cygni and β Orionis. The difficulty introduced does not involve inaccuracy of plates, microphotometer, or process of measurement; it is concerned solely with the fact that the spectral region examined is so narrow that, with the dispersion used, the grain of the plate is not fine enough to reproduce the spectral detail. The same difficulty would prevent any recognition of the double reversal of the solar H and K lines, if they were studied with the present dispersion.

Whatever the dispersion used, the same qualification must be made in discussing the results; probably the dispersion would have to be 485greatly increased before the measured effective line depth becomes much greater for narrow line stars.

Relative effective line depth, derived from numerous spectra made with the same dispersion, is still, however, of considerable significance. It permits us to recognize differences of surface gravity, and to form an idea of relative chromospheric depths for different classes of stars.

Summary

1. The investigation deals with the determination of the depth and contour of prominent absorption lines in the spectra of stars of various classes.

2. The spectra used were made with the 16-inch refractor of the Harvard Observatory, using two prisms and a special set of apertures.

3. Results are presented for eleven stars, of spectral class ranging from B0 to K0.

4. The spectra were analyzed under uniform conditions by means of the Moll thermoelectric microphotometer. The resolving power of this instrument is such that no integrating effect need be considered in discussing the results.

5. The microphotometer tracings were measured with reference to fiducial lines representing “darkness” and “clear film,” and to a line, representing the continuous background, drawn across the absorption lines.

6. The intensity drop from continuous background to line was deduced graphically from the measures.

7. The accuracy of the results is discussed in detail.

a. The reliability of the plates, as judged from qualitative reproduction of detail, and from the consistency of the numerical results, is satisfactory. Effects of stray light are of negligible magnitude, and in this respect slit spectra appear to have no advantage over objective prism spectra.

b. Effects of poor focus are measurable, but small. Spectra that are in such poor focus as to cause appreciable inaccuracy would be rejected from visual inspection.

c. The accuracy of the microphotometer tracings is in general satisfactory. Tracings showing abnormal deflections from “darkness” to “clear film” are not susceptible of correction, and are omitted in deriving results.

d. The measures upon the tracings are also of satisfactory accuracy.

4868. The differences in intensity between the continuous background and various points along the line contour are tabulated for the eleven stars under discussion.

9. The general results for the intensities at the centers of lines show an interesting relation to absolute brightness; the brighter stars have, in general, lines that cut more deeply into the background. A result of considerable interest is that the average residual intensity in the strong wide absorption lines is more than 30 per cent of the background intensity.

VOLUME 60.
1.
Daly, Reginald A.—The Geology of Ascension Island. pp. 1–80. 21 pls. June, 1925. $3.00.
2.
Barnett, S. J., and Barnett, L. J. H.—New Researches on the Magnetization of Ferromagnetic Substances by Rotation and the Nature of the Elementary Magnet. pp. 125–216. July, 1925. $1.50.
3.
Baxter, G. P., and Cooper, W. C., Jr.—A Revision of the Atomic Weight of Germanium. II The Analysis of Germanium Tetrabromide. pp. 219–237. October, 1925. $0.75.
4.
Dana, L. I.—The Latent Heat of Vaporization of Liquid Oxygen-Nitrogen Mixtures. pp. 241–267. October, 1925. $0.75.
5.
Pierce, George W.—Piezoelectric Crystal Oscillators Applied to the Precision Measurement of the Velocity of Sound in Air and CO2 at High Frequencies. pp. 271–302. October, 1925. $0.75.
6.
Bridgman, P. W.—Certain Physical Properties of Single Crystals of Tungsten, Antimony, Bismuth, Tellurium, Cadmium, Zinc, and Tin. pp. 305–383. October, 1925. $2.50, with 7 and 8.
7.
Bridgman, P. W.—Various Physical Properties of Rubidium and Caesium and the Resistance of Potassium Under Pressure. pp. 385–421. October, 1925. $2.50, with 6 and 8.
8.
Bridgman, P. W.—The Effect of Tension on the Transverse and Longitudinal Resistance of Metals. pp. 423–449. October, 1925. $2.50, with 6 and 7.
9.
Boschma, H.—On the Symbiosis or Certain Bermuda Coelenterates and Zooxanthellae. pp. 451–460. October. 1925. $0.50.
10.
Kennelly, A. E., and Slepian, Arthur.—Computation of the Behavior of Electric Filters Under Load. pp. 461–483. October, 1925. $0.75.
11.
Franklin, Wm. S.—Indeterminism in the Physical World. pp. 485–502. November, 1925. $0.50.
12.
Yeh, Chi-Sun.—The Effect of Hydrostatic Pressure on the Magnetic Permeability of Iron, Cobalt, and Nickel. pp. 503–535. December, 1925. $0.50.
13.
Roebuck, J. R.—The Joule-Thomson Effect in Air. pp. 537–596. December 1925. $0.75.
14.
Records of Meetings; Biographical Notices; Officers and Committees; List of Fellows and Foreign Honorary Members; Statutes and Standing Votes. etc. pp. 597–710. December, 1925. $0.50.
VOLUME 61.
1.
Lewis, Frederic T.—A Further Study of the Polyhedral Shapes of Cells. pp. 1–35. December, 1925. $0.50.
2.
Heidel, W. A.—The Calendar of Ancient Israel. pp. 37–56. December, 1925. $0.50.
3.
Bridgman, P. W.—The Effect of Pressure on the Viscosity of Forty-three Pure Liquids. February, 1926. pp. 57–99. $0.75.
4.
Bridgman, P. W.—Thermal Conductivity and Thermal E.M.F. of Single Crystals of Several Non-cubic Metals. pp. 101–134. February, 1926. $0.75.
5.
Slater, J. C.—Measurements of the Compressibility of the Alkali Halides. pp. 135–150. April, 1926. $0.50.
6.
Palache, Charles.—Contributions to Mineralogy from the Department of Mineralogy and Petrography, Harvard University. 12. Catalogue of the Collection of Meteorites in the Mineralogical Museum of Harvard University. pp. 151–159. May, 1926. $0.25.
7.
Rogers, Austin F.—A Mathematical Study of Crystal Symmetry. pp. 161–203. June, 1926. $0.75.
8.
Brues, Charles T.—Studies on Ethiopian Braconidæ, with a Catalogue of the African Species. pp. 205–436. June, 1926. $2.50.
9.
Davis, Tenney L., and Abrams, Armand J. J.—Studies in the Urea Series. pp. 437–457. June, 1926. $0.50.
10.
Payne, Cecilia H., and Shapley, Harlow.—On the Distribution of Intensity in Stellar Absorption Lines, pp. 459–486. June, 1926. $0.50.
PUBLICATIONS
OF THE
AMERICAN ACADEMY OF ARTS AND SCIENCES.

MEMOIRS. Old Series, Vols. 1–4; New Series, Vols. 1–14. 16 volumes, $10 each. Half volumes, $5 each. Discount to booksellers and Libraries 25%; to Fellows 50%, or for whole sets 60%.

Vol. 13. 1.
Curtiss, D. R.—Binary Families in a Triply connected Region with Especial Reference to Hypergeometric Families. pp. 1–60. January, 1904. $1.00.
2.
Tonks, O. S.—Brygos: his Characteristics, pp. 61–119. 2 pls. November, 1904. $1.50.
3.
Lyman. T.—The Spectrum of Hydrogen in the Region of Extremely Short Wave-Length, pp. 121–148. pls. iii-viii. February, 1906. 75c.
4.
Pickering, W. H.—Lunar and Hawaiian Physical Features Compared, pp. 149–179. pls. ix-xxiv. November, 1906. $1.10.
5.
Trowbridge, J.—High Electro-motive Force, pp. 181–215 pls. xxv-xxvii. May, 1907. 75c.
6.
Thaxter. R.—Contribution toward a Monograph of the Laboulbeniaceæ. Part II. pp. 217–469. pls. xxviii-lxxi. June, 1908. $7.00.
Vol. 14. 1.
Lowell, Percival.—The Origin of the Planets, pp. 1–16. pls. i-iv. June, 1913. 60c.
2.
Fernald, W. E., Southard, E. E., and Taft, A. E.—Waverley Researches In the Pathology of the Feeble-Minded. (Research Series, Cases I to X.) pp 17–128. 20 pls. May, 1918. $6.00.
3.
Fernald, W. E., Southard, E. E., Canavan, M. M., Raeder, O. J., and Taft, A. E.—Waverley Researches In the Pathology of the Feeble-Minded. (Research Series, Cases XI to XX.) pp. 129–207. 32 pls. December, 1921. $6.50
4.
Pickering, Edward C., Parkhurst, J. A., Aitken, Robert G., Curtis, Heber D., Mitchell, S. A., Alden, Harold L., Simpson, T. McN., and Reed, F. W.—Photometric Magnitudes of Faint Standard Stars, measured visually at Harvard, Yerkes, Lick and McCormick Observatories, pp. 209–307. 9 pls. August, 1923. $6.00.
5.
Thaxter, R.—Contribution towards a Monograph of the Laboulbeniaceæ. Part III. pp. 309–426. 12 pls. $6.00.
Vol. 15. 1.
Jeffrey, E. C.—The Origin and Organization of Coal. pp. 1–52. 13 pls. November 1924. $3.00.
2.
Mills, Hiram F.—Flow of Water In Pipes. (With a historical and personal note by John R. Freeman and introductory outline by Karl R. Kennison). pp. 55–236. Portrait. 6 Figs. November, 1924. $7.50
3.
Fernald, M. L.—Persistence of Plants in Unglaciated Areas of Boreal America. pp. 237–342. 73 maps. June 1925. $5.00.

PROCEEDINGS. Vols. 1–60, $5 each. Discount to booksellers and Libraries 25%; to Fellows 50%, or for whole sets 60%.

The individual articles may be obtained separately. A price list of recent articles is printed on the inside pages of the cover of the Proceedings.


Complete Works of Count Rumford. 4 vols., $5.00 each.

Memoir of Sir Benjamin Thompson, Count Rumford, with Notices of his Daughter. By George E. Ellis. $5.00.

Complete sets of the Life and Works of Rumford. 5 vols., $25.00; to Fellows, $5.00.

For sale at the Library of The American Academy of Arts and Sciences, 28 Newbury Street, Boston, Massachusetts.

TRANSCRIBER’S NOTES