Table of Contents
Transcriber's Notes
The cover picture was created for this eBook.
It belongs to the public domain.
The University of Chicago
FOUNDED BY JOHN D. ROCKEFELLER
The Epistles on the Romance of the Rose
and Other Documents in the Debate
A DISSERTATION
SUBMITTED TO THE FACULTY
OF THE
GRADUATE SCHOOL OF ARTS AND LITERATURE
IN CANDIDACY FOR THE DEGREE OF
DOCTOR OF PHILOSOPHY
DEPARTMENT OF ROMANCE LANGUAGES AND LITERATURES
BY
CHARLES FREDERICK WARD.
1911
SECTION II., 1910.
TRANSACTIONS OF THE ROYAL SOCIETY OF CANADA
VIII.—The Epistles on the Romance of the Rose and other Documents
in the Debate.
By C. F. Ward, M.A.
(Communicated by the Rev. Dr. George Bryce, President of the Royal Society
of Canada, and read by title, 28 September, 1910.)
Prefatory Note.
I am indebted for the subject treated in the following pages to
suggestions made in a course on the history of the French language at
the University of Chicago. I desire therefore first of all to express my
sincere gratitude for the encouragement of Professor T. A. Jenkins,
whose advice has been of inestimable value in the preparation of the
dissertation.
The little work owes much to several writings of M. Arthur
Piaget, particularly to his adjustment of the difficult question of the
chronology of the letters, and to the essay on Martin Le Franc.
I desire to thank also, for several timely hints and very valuable
suggestions, Professors W. A. Nitze, Karl Pietsch, P. S. Allen, and
J. W. Thompson of the University of Chicago. I am also indebted to
the late Professor John E. Matzke of the Leland Stanford, Jr.,
University.
C. F. W.
[p. 3]
I.—INTRODUCTION.
From its first appearance the Roman de la Rose enjoyed great
vogue. We observe in this connection the glowing tributes of contemporary
and succeeding writers, the numerous manuscripts, which
compensate for the art of printing not then invented, the translations
into English, Dutch, Italian, and other languages. Even the numerous
paintings and tapestries of scenes from the romance point to its
great popularity. Perhaps the remark of M. A. Coville crystallizes
the general opinion:
“Parmi les livres du siècle précédent, un surtout fut lu de tous,
admiré des uns, ardemment discuté par les autres, c’est le Roman de la
Rose. La seconde partie avec sa science pédante, ses allégories, ses
artifices, devint une nouvelle Bible, et Jean Clopinel de Meun, l’auteur,
passa pour un véritable prophète. On retrouve son influence surtout
chez les poètes et les moralistes.”[1]
Naturally (and this is also an indirect testimony to the influence
of the Roman de la Rose) there were those who found matter for
serious complaint in the work of Jean de Meung, who in the second
part placed the work of Guillaume de Lorris on a basis of profound
philosophical import. As we shall see, Gerson, Chancellor of the
University of Paris, saw the danger to morals in the average man’s
reception of a poem which tended to free him from all restraint.
Christine de Pisan, too, with a much narrower range of thought,
assails with singular energy and with the courage of her convictions a
book which contains so many attacks on her sex.
If we analyse critically the influence of the second part of the
Roman de la Rose we shall see that its fundamental purpose or idea
(whether altogether so intended by Jean de Meung or not does not
matter) was to disseminate in a popular form the philosophy of the
Latin writers. To Jean de Meung must be given credit for the manner
of the work, the handling of the material, but for the subject
matter he is indebted to Plato, Aristotle, Cicero, Horace, Juvenal, etc.,
and especially to the De Consolatione Philosophiæ of Boethius, the De
Nuptiis of Theophrastus, the De Planctu Naturæ of Alain de Lille,
and to the Ars Amatoria and Metamorphoses of Ovid.[2] As a popular
exposition of the favorite doctrines of Latin philosophy, as an encyclopædia
of knowledge on almost every subject, good and evil, the
[p. 4]
nature of government, the Church, society, morals, manners, women,
etc., etc., the Roman de la Rose was admired by the bourgeois, the
average man. At a time when learning was only for the favored few,
it is not much wonder that those who had formerly been excluded
from the magic pale treasured a work which opened wide for them
the portals of mental advancement.
It is this freedom of expression, so novel because so bold in the
age in which he lived, that makes him characteristically French;
while the objects to which it was directed, the attempt to be encyclopædic,
and the constant appeal to a clear and uncompromising
reason, lead us to agree (as far as such comparisons will hold) with
Gaston Paris that Jean de Meung is the Voltaire of the Middle Ages.
In this sense, too, he may be regarded as representing the Aufklärung
which was logically required to prepare the way for the new
and larger enthusiasm of the Renaissance.
About twenty-five years after Jean de Meung finished his masterpiece,
another work was written which vehemently supported his
attacks on women and marriage. This was the Lamenta of Matheolus,
translated into French about the middle of the fourteenth century
by Jean le Fèvre under the title Les Lamentations de Matheolus.[3]
Matheolus (or Mahieu as he was called in the dialect of his own district)
looked at marriage from the standpoint of one who had suffered
much from that institution. He was deprived of the privileges of the
clerical order because he had married a widow, and failed to find in
the latter’s society sufficient compensations for this sacrifice. The
Lamenta, inaccessible to the multitude, as had been indeed the sayings
of the great Latin writers before they were put into popular form by
Jean de Meung, became very widely read in the French translation
made by Jean le Fèvre. It is interesting for us to note as chief
sources of Matheolus’ work: the De Nuptiis of Theophrastus, the De
Planctu Naturæ of Alain de Lille, the collections of Exempla, and
possibly the Roman de la Rose itself.
Jean le Fèvre, however, surprised at the success of the Lamentations
in strengthening the hold of the philosophy of life taught in the
Roman de la Rose, or feeling that this vivid presentation of the evils
of the married state was considerably overdrawn, tried to stem the
[p. 5]
tide of feeling by writing a refutation of the Lamentations, which he
called the Livre de Leesce.[4] This praiseworthy attempt failed completely,
and the book against which it was directed, in spite of the
attacks of Christine de Pizan,[5] who saw its real character, became
more and more popular.
The influence of the Roman de la Rose is evident in the Roman de
Fauvel[6] (which is likewise composed of two independent parts) particularly
in its satires on the different classes of society and in its
general pessimistic outlook upon life; and is still more strongly seen
in the Registre of Gilles li Muisis.[7]
This Benedictine abbot was a great admirer of the famous romance,
and traces of the thought contained therein may be plainly
seen in his long arraignment of conditions then existing, as compared
with the ætas dorea, which to his old man’s fancy had existed when
he was a youth.
Eustache Deschamps (1338?-1415) naturally belongs on the side
of Jean de Meung (whose disciple he may be said to be) with numerous
ballades and his long poem against marriage, Le Miroir de Mariage.[8]
In the works of Deschamps we find the epicureanism combined with
the gift of genuine satire that we notice in the work of his master.
Le Miroir de Mariage is not mentioned here, however, because it had
a direct bearing upon our controversy. It seems not to have been
known to Christine de Pizan or to her allies. It does nevertheless
afford additional evidence of the far-reaching influence of the Roman
de la Rose.
We remark that up to this point the great popularity of the
Roman de la Rose had carried everything before it. Its influence upon
literature was supreme. It was the masterly work which terminated
the middle ages. But there was to be a reaction against its doctrines
and we come now to the first public challenge of the work of Jean de
Meung, at the beginning of the fifteenth century.
Christine de Pizan was not the first woman to resent the insinuations
against the feminine sex contained in many parts of the Roman
de la Rose, if we are to believe the rather doubtful legend[9] concerning
the ladies of the court who were going to whip the author, but she is
[p. 6]
certainly the first woman-writer to champion publicly the cause of
her sex, insulted, as she believed, by the ungallant Jean de Meung.
She is still as interesting to us by her character, her fate, and the
influence of her spirit on her time, says Wieland in a little known
essay,[10] as she once was to her contemporaries by her personal qualities
and her works. In 1399 she wrote her Epistre au dieu d’Amours[11]
(which for convenience of reference we call document I of the debate)
which asks, why is it that women, formerly so esteemed and honored
in France, are now attacked and insulted not only by the ignorant
and base, but also by the educated, the noble, the priestly classes?
This poem naturally encountered opposition among the partisans
of Jean de Meung, but Christine found powerful allies in Jean Gerson,
Chancellor of the University of Paris, Guillaume de Tignonville,[12]
Prévôt de Paris, and Marshal Boucicault.
The last named, indeed, who had just returned from his successful
campaign in the East, founded in 1399 an order of knighthood expressly
for the defence of women, called “l’écu verd à la dame
blanche.”[13]
A little later, February 14, 1400, St. Valentine’s day, a number
of great lords and poets assembled in the hôtel of the Duc de Bourgogne
in Paris and founded an extensive organisation called the
“Cour Amoureuse,”[14] to honor ladies and cultivate poetry. All
classes of society were represented in the six hundred members whose
names have come down to us.[15] We are perhaps especially interested
in noticing the names of Gontier Col, and his brother Pierre Col, probably
the foremost disciples (with Jean de Montreuil) of Jean de
Meung.
One year to the day after the formation of the “Cour Amoureuse,”
Christine de Pisan wrote her Dit de la Rose[16] (document II).
In this she seems to be conscious (probably from support given her
[p. 7]
by the “Cour Amoureuse” and by the queen) of having an established
position as a defender of her sex.
The controversy seems to have commenced,[17] as was very natural
considering the circumstances, with oral discussions between Christine
de Pizan, Jean de Montreuil,[18] and a third person, probably
Gerson.[19] Then Jean de Montreuil, wishing to convince Christine and
the third person before mentioned of the great value of the tenets of
Jean de Meung expounded in the Roman de la Rose, wrote, probably
in 1401, a treatise in the form of a letter (document III) now lost,
which he sent to his two opponents.[20] This correspondence with
Gerson (if it be he) is not improbable, as we have several other letters
of Jean de Montreuil addressed to him.[21] We subjoin herewith also
three undated Latin letters[22] from his pen, which bear on our subject.
Shortly afterward, Christine wrote a letter (document IV) to
[p. 8]
Jean de Montreuil (whom she calls “maistre Jehan Johannes”) refuting
his arguments and again assailing the Roman de la Rose.
Gontier Col,[23] secrétaire du roi, having heard of this letter of
Christine’s, sent her, in order to convince her of the unsoundness of
her views regarding the poem, “un pou de trésor” (i.e., the work, Le
trésor de Jean de Meung, ou les sept articles de la foi)[24] together with a
request for a copy of her letter to Jean de Montreuil, in order that he
might be informed concerning her point of view. This communication
(document V) is dated September 13, 1401.
After his request had been promptly acceded to, Gontier Col
hastened to write to Christine (document VI, September 15, 1401).
This letter censures Christine sharply for her narrowmindedness
regarding Jean de Meung’s great work, and rather brusquely calls
upon her to retract her statements and sue for pardon.
Shortly afterward the authoress replied to this (in document
VII). She now not only refuses to abandon in the slightest degree
the position she had taken, but proceeds to adduce other reasons for
condemning the poem and to repeat some arguments already brought
forward.
Christine went further still. With an impulse born of clever
feminine intuition, she assembled the documents of the debate and
“la veille de la chandeleur 1401” addressed one copy, with a dedicatory
letter (document VIII) to the queen, and the other, also with a
letter introducing the subject (document IX), to Guillaume de Tignonville,
prévôt of Paris. These two personages already favored her
side of the case, and Christine’s appeal to Cæsar, as it were, was well
calculated to prejudice further public opinion in her favor.
Doubtless Christine had already been confirmed in her attitude
by the support of Jean Gerson. The latter had written in 1399 a
Sermon contre la luxure, in one place in which, with all the authority
he possessed, he condemned the Roman de la Rose to the fire: “Au
feu, bonnes gens, au feu!... C’est le remède meilleur.” Gerson’s
condemnation of the work was based on grounds somewhat different
from those of Christine. He saw in it a work subversive of private
and public morality. Although a humanist and a friend of humanists,
he failed to see the real literary and philosophical merits of Jean
de Meung’s work, and endeavored to use the great authority of the
church to wipe it out of existence. On May 18, 1402, he wrote his
Tractatus contra Romantium de Rosa,[25] which we reprint here (document
X). This is cast in an allegorical mould, in the form of a
[p. 9]
“vision”—if he thought at all that he was borrowing a form of composition
established by his opponents, he probably regarded it as
fighting the devil with fire—and is a veritable procès-verbal against the
romance. He divides his work into eight articles, and writes in a
vivid, forceful, and conclusive style.
The quarrel seemed to be dying away, political events being presumably
responsible,[26] when, four months later, Pierre Col[27] wrote a
passionate letter (document XI) refuting both the Tractatus of Gerson
and the letter of Christine to Jean de Montreuil. He sent copies to
Gerson and Christine. With the appearance of Pierre Col the real
position of the partisans of Jean de Meung becomes clear for the first
time, and it is this part of the controversy which is particularly interesting
to us now. Pierre Col undoubtedly recognized the lubricity
of parts of the Romance, though he attempted to gloss it over. His
share in the debate is virtually an eloquent defence of freedom of
thought and liberty of expression, an attitude which links him with
the representative writers and thinkers of France. Jean de Meung
had dared to be free in thought and speech, and his great disciple
ardently champions his right (and inferentially anyone’s right) to
liberty in the intellectual and moral world, which France always has
allowed more than other nations, and to which one eventful day she
was to add political liberty. To him the Roman de la Rose was a
precious public possession, and he was determined to keep it such.
We reprint herewith the eloquent reply of Gerson: Responsio ad
scripta cujusdam errantis[28] (document XII) and publish for the first
time that of Christine (document XIII) dated October 2, 1402, in
which she adds no new arguments, though she reiterates and expands
[p. 10]
some already put forth, and confesses her weariness of an apparently
endless struggle.
The indefatigable Pierre Col apparently did not intend to let the
lady have the last word. Unconvinced by either the learned eloquence
of Gerson or the feminine appeals of Christine, he concludes
the controversy by a reply to Christine’s letter (the one dated October
2, 1402), of which only a short fragment has been preserved (document
XIV).
This, briefly, is the general course of the debate, which we shall
be satisfied to have outlined, preferring to let the documents speak
for themselves rather than to attempt further analysis here.
II.—MANUSCRIPTS.
The first six letters:
- IV.Christine’s letter to Jean de Montreuil;
- V.Gontier Col’s first letter to Christine, requesting
a copy of IV;
- VI.Gontier Col’s second letter to Christine;
- VII.Christine’s reply to VI;
- VIII.Dedicatory letter of Christine to Queen Isabelle
of Bavaria;
- IX.Dedicatory letter of Christine to Guillaume de
Tignonville
are contained in mss. A.B.C.D.E. (letter IV also in ms. F). They
have been already edited by F. Beck (in 1888) from a comparison of
A.D.E. only, but this edition contains a number of serious errors in
the text, and of course, as the author says (p. V.), it is not a critical
one.
The remaining letters, which have not been printed before, are
found in mss. as follows:
- XI.Pierre Col’s letter to Christine and Gerson; (Ms. F.)
- XIII.Christine’s reply to XI; (Mss. A.B.F.)
- XIV.Pierre Col’s reply to XIII—a fragment. Ms. F.
A brief summary of the manuscripts follows:
A. Paris, Bib. nat. fr. 835, fol. 87 a; B. London, Brit. Mus. Harl.
4431; C. Brussels, Bib. royale, 9561; D. Paris, Bib. nat. fr. 604, fol.
112 a; E. Paris, Bib. nat. fr. 12779, fol. 26 a; F. Paris, Bib. nat. fr.
1563, fol. 178 a (for IV); fol. 185 b. (for XI); fol. 190 vo. b (for XIII).
It has been impossible to determine accurately the date of these
manuscripts. They almost certainly belong to the fifteenth century,
[p. 11]
very probably (with the possible exception of F.) to the first part of
that century. They have already been described,[29] with the exception
of C (9561 Brussels) and F (1563 Bib. nat.)
The filiation of the manuscripts cannot probably be determined
with mathematical exactness. From internal evidence in the letters,
however, I am able to suggest a genealogical tree which would seem to
determine correctly the majority of variants.
In letter XIII, AB form a group as distinguished from F: l. 22 a
cause de AB, puis (?) F; l. 83 a ceste question ... response A,
aincois que question je ... response B, a cet demande que tu me
disse F; l. 144 tu erres AB, tu ti tiens F; l. 183 que la chose peust
AB, de la chose quelle peust F; l. 185 et plus AB, ou pour plus F;
l. 193 mie wanting F; l. 289 tel AB, ce F; l. 328 deffendi B, deffend
A, descendy F; l. 345 comme AB, quant F; l. 360 faire wanting F;
l. 400 parles a voulenté AB, parles et de voulanté F; l. 447 que
wanting F; l. 466 dame Eloquence, qui parles de Fol Amoureux dont
Meun parle wanting F; l. 533 en voye de perillez A, en voye de periller
B, en peril de perillier F; l. 546 les wanting F; l. 651 Salomon wanting
F; l. 858 plus inserted F; l. 878 maniere followed by ains dit plainement
et aluchie toutes pour tos et tos pour toutes F; l. 933 gloses AB,
choses F; l. 996 cellui que elle aimeroit par amours AB, maistre
Pierre Abalart F; in subscription, l. 1116 Christine AB, Christine de
Pizan F; etc.
In letters IV.-IX. there seem to be two groupings, AB (confirming
our investigation of the previous paragraph) and CDE.
CDE again break up into two smaller groups, C and DE. For letter
IV. F is available (though differing greatly from any other manuscript),
making four groups, AB, C, DE, and F. As evidence, let us
notice: IX., l. 54 lequel dit clerc meu de raison ACDE, lequel meu
de raison B; l. 58 enuoya a la dicte Christine ycelle A, enuoya a la
dicte Christine ycellui B, enuoya a elle icelle CDE; l. 59 Item comme
Christine veu et consideré AB, Item comme la dicte veu et consideré
CDE; IV., l. 12 de voz ditz fait en reprenant ACF + B (with reprouuant
for reprenant), de vos diz faiz si comme il me semble en reprenant
D + E (omits si); l. 80 reboutee AB, deboutee CDE; l. 104 car trop
est pire le vice de propre malice que cellui de simple ignorance wanting
CDEF; l. 112 et querez wanting CDE; l. 115 tant ouir de laidures
ABF, oir tant de laidures CDE; l. 200 ou tollent elles pas A
+ BF (tolent B, ilz F), ne tollent mie CD, ou tollent mie E, ne wanting
ABF; l. 206 estat ne pot AB, estat n’en pot CDE, wanting F; l. 227
valables AB, vaillans CDEF; l. 262 honte et raison ABF, raison et
[p. 12]
honte CDE; VI., l. 27 ie ne mette en peine d’escripre AB, je me
mette a escrire CDE; VII., l. 24 l’aucteur AB, l’acteur CDE; l. 32
bien soit de toy AB, soit bien de toy CDE; etc.
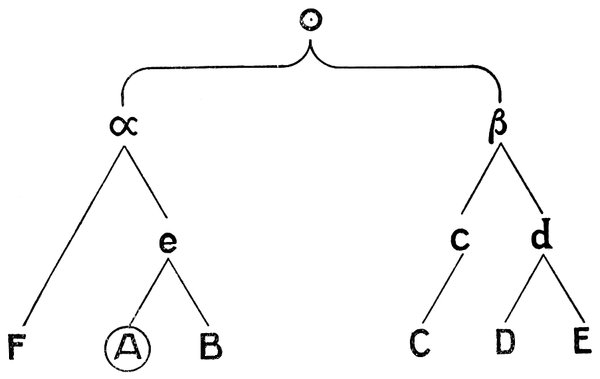
The following diagram, therefore, exhibits the relationship of
the manuscripts as nearly as it is possible to determine it with the
material which we have:
For the orthography, A, apparently the most reliable manuscript,
has been followed, when available; i.e., for letters IV-IX and XIII.
F is the only one containing letters XI and XIV. The text has been
determined by a comparison of all the manuscripts according to the
diagram above, i.e. of FAB with CDE. Where there was a deadlock
of α and β, what seemed the better according to the context has been
selected. When in the last case there was no preference, the reading
of α has been arbitrarily chosen. Variant readings will be given as
footnotes, as also occasional interesting differences in orthography.
I have also modernized the punctuation and paragraphing.
III.—BIBLIOGRAPHY.
In connection with my work I have consulted the following
works:
- Petitot, Collection des mémoires, 1717, V., p. 203.
- Boivin (Jean) de Villeneuve, Vie de Christine de Pisan et de
Thomas de Pisan son père, in the Mém. acad. inscrip. et Belles-Lettres,
1717, II., p. 762; 1736, II, pp. 704-14 (2a IV., pp. 465-80).
- Lebeuf, Dissert. hist. Paris, 1743, III., p. 89.
- Abbé Goujet, Bibl. franç., 1745, IX., pp. 422-25, x. p. 424.
- [p. 13]
Abbé Sallier, Notice sur Christine de Pisan, Mémoires de l’Académie
des Inscriptions, 1751, XVII., pp. 515-25.
- Marchand, Dict. hist., 1758, II., pp. 146-50.
- Lelong, Bibl. France, 1769, IV., 46870-71, 48148.
- La Croix du Maine et Du Verdier de Vauprivas, Bibl. Franç.,
Paris, 1772, I., pp. 127-28, III., pp. 319-20.
- Kéralio, Mlle. de, Collection des meilleurs ouvrages composés par
des dames, Paris, 1787, II.
- Fantuzzi, Scritt. Bologn., 1789, VII., pp. 54-59.
- Struve, Bibl. hist., 1795, VII., ii., pp. 111-12.
- Tiraboschi, Stor. lett. Ital., 1807, V., ii., pp. 447-49.
- Méon, M., Roman de la Rose, Paris, 1814.
- Thomassy, Raimond, Essai sur les écrits politiques de Christine de
Pisan, suivi d’une notice littéraire et de pièces inédites, Paris, 1838.
- Leroux de Lincy, in the Bibl. de l’Ec. de Chartes, 1840, A., I., pp.
374-88.
- Gautier, A., Notice sur Christine de Pisan, Actes acad. scien. de
Bordeaux, 1843, V., p. 555.
- Archæologia, 1847, XXXII., p. 401.
- Melzi, Dizionario di opere anonime e pseudonime di scrittori
italiani, 1848.
- Quicherat, Procès de Jeanne d’Arc, 1849, V., p. 3.
- Pougin, Paul, in Bibl. de l’Ec. de Chartes, 1857, D., III., pp.
535-55.
- Pougin, Paul, Christine de Pisan, sa vie et ses œuvres, Paris, 1857.
- Graesse, Trésor, 1859, I., p. 232, II., p. 137, IV., p. 69, VII., p.
180.
- Brunet, Manuel, 1860, I., 1855-58, S.I., 259; II., 1002.
- Carlo, in Miscell. stor. Ital., 1863, IV., pp. 591-600.
- Michel, F., Roman de la Rose, Paris, 1864 and 1872.
- Leroux de Lincy-Tisserand, Paris et ses historiens, 1867.
- Casati, Charles, in the Mém. soc. scien. de Lille, 1872, p. 447.
- Pugh, Annie Reese, Le Jugement du Roy de Behaigne de Guillaume
de Machaut et le Dit de Poissy de Christine de Pisan, Romania XXIII.,
pp. 581 sqq.
- Paris, G., Comptes rendus acad. Inscrip. et Belles-lettres, 1880-1,
D., VIII., 122-24; Rev. critiq., 1880, B., IX., 443-44.
- Püschel, Rob., Livre du chemin de long estude, 1881, i-xxii. Cf.
Archiv. f. das Stud. d. neueren Sprachen und Literaturen, 1882, LXVII.,
p. 327.
- Darmesteter, A., Rev. critiq., 1881, B., XII., pp. 350-51.
- Delisle, L., Le Cabinet des manuscrits de la Bibliothèque Nationale,
1868-1881.
[p. 14]
- Robineau, E. M. D., Christine de Pisan, sa vie et ses œuvres, St.
Omer, 1882.
- Thomas, A., De Joannis de Monsterolio vita et operibus sive de
romanarum litterarum studio apud Gallos instaurato, Carolo VI.
regnante, Paris, 1883.
- Skeat, Essays on Chaucer, pub. by the Chaucer Society V., 1884.
- Catalogue des livres composant la bibliothèque de feu M. le baron
James de Rothschild, Paris, 1884, II., pp. 185-86.
- Koch, F., Leben und Werke der Christine de Pizan, Goslar, 1885.
- Minto, W., Christine de Pisan, a Mediæval Champion of her Sex,
Macmillan’s Magazine, 1886, LIII., p. 264; Living Age, 1886,
CLXVIII, p. 730.
- Koch, F., Ueber die Werke der Christine de Pizan, in the Zeitschr.
für neufranzösische Sprach. und Liter., 1886, VIII., pp. 251-69.
- Müller, E., Zur Syntax der Christine de Pisan, Greifswald, 1886.
- Roy, Maurice, Oeuvres poétiq. de Christine de Pisan, in the Soc.
anc. textes franç., 1886-1896.
- Paris, G., Un poème inédit de Martin Le Franc, in Romania XVI.,
1887, pp. 382, sqq.
- Beck, F., Les Epistres sur le Roman de la Rose von Christine de
Pizan nach drei Pariser Hss. bearbeitet und zum ersten Mal veröffentlicht,
Neuburg, 1888.
- Piaget, A., Martin Le Franc, Lausanne, 1888.
- Langlois, E., Origines et Sources du Roman de la Rose, Paris, 1890.
- Paris, Gaston, La littérature française au moyen âge, Paris, 1890-1905.
- Heuckenkamp, Ferd., Le dit de la Rose von Christine de Pisan,
Einladungsschrift, Halle, 1891.
- Piaget, A., Chronologie des épistres sur le roman de la rose, in
Etud. rom. dédiées à Gaston Paris, 1891, pp. 113-120.
- Piaget, A., La Cour Amoureuse dite de Charles VI., Romania XX.,
p. 417, sqq. 1891.
- Toynbee, Paget, Christine de Pisan and Sir John Maundeville, in
Romania XXI., 1892, pp. 228-39.
- Hanscom, E. D., The Allegory of de Lorris’ Romance of the Rose
in Modern Language Notes, vol. VIII., 1893.
- Lenient, La Satire en France au Moyen Age, Paris, 1893.
- Rashdall, The Universities of Europe in the Middle Ages, 1895.
- Julleville, Petit de, in Rev. des cours et conférences, 1895-1896,
II., pp. 440, 540.
- Copinger, Suppl. to Hain, 1895, I., 4985-88.
- Julleville, Petit de, Hist. de la langue et de la litt. fr., II. Chap.
III. Le Roman de la Rose (E. Langlois); IV., Littérature Didactique
[p. 15]
(A. Piaget); VII. Les Derniers Poètes du Moyen Age (Petit de
Julleville).
- Delisle, Léopold, Notice sur les sept psaumes allégorisés de
Christine de Pisan, in Not. et Extraits d. mss., Paris, 1897, XXXV.,
pp. 551-59.
- Überweg-Heinze, Grundriss der Geschichte der Philosophie, 1898.
- Piaget, A., Le Chapel des fleurs de lys de Philippe de Vitry,
Romania XXVII, 1898, p. 72.
- Suchier, H., and Birch-Hirschfeld, A., Geschichte der Französischen
Litteratur von den ältesten Zeiten bis zur Gegenwart, Leipzig und
Wien, 1900.
- De Wulf, Histoire de la philosophie médiévale, 1900.
- Hentsch, Alice A., De la Litt. didactique s’adressant espécialement
aux femmes, Cahors, 1903.
- Haskins, Ch., The University of Paris in the sermons of the XIII.
century in American Historical Review, October, 1904.
- Warren, F. M., On the Date and Composition of Guillaume de
Lorris’ Roman de la Rose, in Publications of the Modern Language
Association of America, XXIII, 1908, pp. 269-284.
- Benedetto, L. F., Il Roman de la Rose e la Letteratura Italiana,
Halle, 1910.
[p. 16]IV.—THE DOCUMENTS.
I.—“EPISTRE AU DIEU D’AMOURS” OF CHRISTINE DE PIZAN.
See M. Roy, Œuvres poétiques de Christine de Pisan (Soc. des
anc. textes franç.) t. II., p. 1. sqq.
II.—“DIT DE LA ROSE” OF CHRISTINE.
See editions by F. Heuckenkamp, Halle, 1891, and by M. Roy, op.. cit., t.. II., p.. 29. sqq.
III.—THE TREATISE OF JEAN DE MONTREUIL.
Now lost.
[p. 17]IV.
CHRISTINE TO JEAN DE MONTREUIL.[30]
[fol. 88 verso b] Christine
Reuerence, honneur auec recommendacion a vous,
monseigneur
5meurs, ameur de science, en clergie fondé, et expert de rethorique,
et de sentement legier, pour lesquelles choses vostre
sagece
aucunement n’ait en despris la petitece de mes raisons,
ains vueille supploier par la consideracion de ma femenine
10foiblece. Et comme il vous ait pleu de vostre bien (dont vous
mercy)
moy enuoier un petit traictié ordenné par belle rethorique
reprenant, comme il me semble, aucuns blasmeurs de la compilacion
du Romant de la Rose en aucunes pars et moult soustenant
15icellui, et approuant l’œuure et les aucteurs d’ycelle et
par especial Meun, je,
ayant leu et consideré vostre
dicte prose
et compris l’effect selons la legiereté de mon petit engin (combien
que a moy ne soit adreçant, ne response ne requiert, mais
meue par oppinion contraire a vos diz et acordant a l’especial
grace) a grant tort et sans cause donnez si parfaicte louenge a
celle dicte œuure, qui mieulx
puet estre appellé[e] droicte oisiueté
que œuure utile, a mon jugement; [fol. 89 a] et combien que
25moult reprenez les contredisans, et dites: “que grant chose est
d’ainsi comprendre”; “ce que un aultre
dit tesmoingne mieulx”
“a construit et mis sus par grant estude et a long trait,” etc,
18
aucteur si solennel et tant soubtil. Mais soit nottee la ferme et
30grant oppinion, qui me meut contre aucunes particularitez qui
ou dit [traictié] sont comprises. Et, au fort, chose qui est
dicte par oppinion et non de loy
commandee se puet redarguer
sans prejudice. Et combien que ne soye en science
aprise ne
stilee de language soubtil, dont sache user
de belle arrenge
35et moz polis bien ordenez qui mes raisons rendissent luisans,
pour tant
ne lairay a dire materielment et en gros vulgar
l’oppinion de mon entente, tout ne le sache proprement exprimer
en ordre de paroles aournees.
Mais pourquoy ay je
dit deuant que mieulx peust estre
40appellee oisiueté? Sans faille il me semble que toute chose
sans preu, non obstant soit traictie, faicte, et
acomplie a grant
de tant comme plus mal en ensuit. Et comme ia pieça pour
la grant renommee
commune du dit romans, desiray le veoir,
45apres que cognoiscence
m’ot un
peu fait entendre choses soubtilles,
le leus et consideray au long et au lé, le mieulx que le
coq sur brese; si ne l’ay planté veu. Neantmoins [fol. 89 b]
50demoura en ma memoire aucunes choses traicties en lui, que
mon jugement condempna moult, et encore ne puet approuer
pour contraire louenge
d’autre gent. Bien est vray que mon
petit entendement
y considere grant ioliueté; en aucunes pars
tressolennelement
parle de ce qu’il voult dire et par moult
55beaux termes et vers gracieux bien leonimez; ne mieulx ne
pourroit estre dit
plus soubtilment, ne par plus
mesurez trais,
de ce qu’il voult traictier.
60pars, et meismement ou parçonnage que il claime Raison,
Et ad ce que son oppinion soustenez, et communiquez que
que Dieu a faictes, n’a nulle laidure, et par consequent n’en
65doit le nom estre eschiué. Je dis et confesse que voirement
[p. 19]
crea Dieu toutes choses pures et nettes venans de soy; n’adonc
en l’estat d’innocence ne eust esté laidure les nommer; mais
par la polucion de pechié deuint homme immonde, dont encore
nous est demouré pechié
originel, ce tesmoingne l’escripture
Lucifer bel sur tous angelz, et lui donna nom tressolennel et
bel, qui puis
fu par son pechié ramené a orrible laidece par
oyans pour l’impression de la personne.
75Encore proposez que Jhesucrist en parlant des pecherresses
les appella meretrix, etc. Et que il les appellast [fol. 89
de meretrix n’est mie deshonneste a nommer selon la vilté de la
chose; et plus vilment pourroit estre dit meismes en latin; et que
dont nature mesmes se hontoie. Je dis que (sauue la reuerence
de l’aucteur
et la vostre) grant tort commettez contre
la noble vertu de honte, qui de sa nature reffraint les goliardises
et deshonnestetez en diz et fais; et que ce soit grant
85vice et hors ordre de policie honneste et de bonnes meurs
appert en mains lieux
de l’escripture saincte; et que ne doye
estre repudié le nom ne que se[s] reliques fussent
nommées.
mais la chose fait le nom deshonneste. Pour ce selon mon
90foible auis en doit estre parlé sobrement, et non sans necessité
pour fin d’aucun cas particulier comme de maladie ou aultre
honnesteté necessaire. Et si comme naturelment les mucierent
noz premiers parens, deuons faire en fait et en parole.
95que l’office
de Raison, laquelle il mesmes dit fille de
Dieu,
doie mettre auant telle parole et par maniere de prouerbe,
comme ie ay nottee en ycellui chapittre la ou elle dit a l’Amant
que en la guerre amoureuse vault mieulz deceuoir que deceu
100Jehan de Meun, renia son pere a
celluy mot; car trop donna
que tous deux
fussent bons, qui ne puet estre.
Et je
[p. 20]
tiens
par oppinion contraire que moins est [fol. 89 verso b]
105OR ALONS OULTRE en considerant la matiere ou maniere
de parler qui au bon auis de pluseurs fait a reprochier.
Beau Sire Dieux! quel orribleté! quel deshonnesteté! et
diuers reprouués enseignemens recordé ou chapitre de la
Vieille. Mais pour Dieu, qui y pourra notter fors enortemens
110sophistes tous plains de laidure et toute
vilaine memoire? Ha!
hay! entre vous qui belles filles auez et bien les desirez entroduire
de la Rose pour apprendre a discerner le bien du mal—que
dis ie—mais le mal du bien! Et a quel utilité ne a quoy profite
Puis ou chapitre de Jalousie,
pour Dieu, quelz grans biens
y peuent estre nottez? n’a quel besoing recorder les deshonnestetez
et laides paroles, qui assez sont communes en la bouche
des maleureux passionez d’ycelle maladie? Quel
bon exemple
des femmes! Dient pluseurs en lui excusant que ce
est le Jaloux
qui parle, et voirement fait ainsi comme Dieu, qui
parla par la bouche Jeremie. Mais sans faille quelsque
adicions mençongeuses qu’il ait adioustees,
ne peuent (Dieux
Faulz Semblans, et choses dissimulees en mariage et autre
estat que l’en
peut retenir d’ycellui traictié—certes je juge
du tout faillies, se il tant ne les eust recommandees.
Mais
pour Dieu! qui est cil qui me sceust declairier ou souldre a
quoy peut estre proffitable le grant procés plein de vitupere,
[p. 21]
135qu’il appelle Sermon comme par derrision de saincte predicacion,
qu’il dit que fait cellui Genius, ou tant a de deshonnestetez
140ordre commun faillir ne puet; car se autrement fust, bon
seroit pour le proffit de generacion humaine trouer et dire moz
et termes atisans et enflamans pour inanimer homme a continuer
l’œuure. Encore plus fist
l’aucteur, (se bien en ay
memoire) dont trop ne me
puis merueillier a quel fin. Car ou
et puis conclut que tous entendent, hommes et femmes sans
espargnier, a perfurnir et exerciter les œuures de nature;
ne
en ce ne fait excepcion de loy, comme se il voulsist dire, mais
150dit plainement que ilz seront sauuez. Et par ce semble que
maintenir vueille le pechié de luxure estre nul, ains vertu, qui
que mains en ont laissié le monde, et entrés en religion, ou
155deuenus hermites pour celle saincte lecture, [fol. 90 b] ou retrais
de courage corrompu et abandonné a dissolucion et vice,
[p. 22]
petit, en quelle maniere puet estre valable et
a bonne fin ce
que tant
et si excessiuement, impetueusement, et tresnonveritablement
il accuse, blasme, et diffame femmes
de pluseurs
tresgrans vices, et leurs meurs tesmoingne estre pleins de toute
165peruersité, et par tant de repliques et
aucques en tous parçonnages
ne s’en puet saouler? Car se dire
me voulez que ce face
a l’office de Genius, qui tant recommande et enorte que
l’en couche auecques elles sans delaissier l’œuure qu’il tant
170loue. Et cil mesmes dit sur tous parçonnages moult de
grans
vituperes d’elles; et dit de fait, fuiés, fuiez, fuiez le serpent
venimeux;
[33] et puis
si
dit que on les continue sans delaissier.
175mais puis que tant sont peruerses, ne les deust commander
iene scay
ou tous les deables
trouua tant de fatras et de paroles
180gastees, qui la sont arrengees par long procés.
Mais je
foy, qu’ilz [fol. 90 verso a] me sachent a dire quans ont veus
[p. 23]
des grans desloyaultez et des grans deableries que il dit que
crismes peut
on accuser meismes les pires et qui plus deçoiuent?
200de l’argent de ta bourse, dont ne le t’emblent
ou
dis que tu en es assotés, si ne t’en assotes
pas. Te vont elles
en ton hostel querir, prier, ou prendre a force?
Bon seroit
205et laidement parla
des femmes mariees,
qui si deçoiuent
souspeçonneux et pou amans leurs femmes.
Dieux quelle
[p. 24]
car d’aultres n’auoit cognoiscence. Et se seulement eust
les accuse. Mais se tant oultre les mettes de raison se chargia
l’aucteur d’elles accuser ou iugier non veritablement, blasme
aucun n’en doit estre imputé a elles, mais a cellui qui si loins
de verité dist la mençonge,
qui n’est mie creable comme le
complisses en ce cas l’eussent iuré, (a nul n’en soit grief)
il a
esté, est et sera moult de plus
vaillans femmes plus honnestes,
mieulx moriginees, et meismes plus sauans et dont plus grant
doulcement [fol. 91 a]
et secretement, non obstant leurs
comme
Sarra, Rebecha, Ester, Judic, et autres
assez. Et
240d’Orliens, fille de roy de France,
la duchece d’Aniou, qui ores
[p. 25]
Et
donc que fait a louer lecture qui n’osera estre leue ne
parlee
en propre fourme a la table des roines, des princeces, et des
vaillans preudefemmes, a qui conuendroit couurir la face
de honte rougie?
[p. 26]
scet on comment
les hommes habitent aux femmes naturelment?
plus courtois termes s’en fust passé, et qui
mieux plairoient
mesmes aux amans iolis et honnestes et a toute autre vertueuse
280personne.
plus estre prolixe en langage, non obstant que assés plus pourroit
estre dit et
mieulx, ne sçay considerer aucune utilité ou
dit traictié. Mais tant m’i semble apperceuoir que grant
285labeur [fol. 91 verso a] fu pris sans aucun preu,
non obstant
que mon iugement confesse maistre Jehan de Meun moult
grant clerc soubtil et bien parlant; et trop milleur œuure plus
profitable et de sentement plus hault eust sceu mettre sus s’il
s’y fust appliquié, dont fu dommage, mais ie suppose que la
290grant charnalité peut estre, dont il fu remply, le fist plus
habonder a volenté que a bien proffitable, comme par les operacions
pars; car il y a de bonnes choses et
de bien dictes sans faille,
295et de tant est plus grant le peril, car plus est adioustee foy au
et palier auec verité et vertus. Mais si comme dit son
prestre Genius: “Fuiez, fuiez femme, le mal serpent mucié
[p. 27]
300soubz l’erbe”, puis ie dire, fuiez, fuiez les malices couuertes
305n’est digne que louenge lui soit imputee (sauue vostre bonne
grace) et grant tort faictes aux valables; car œuure sans
utilité et hors bien commun ou propre, poson[s] que elle soit
delictable, de grant labour et coust, ne fait a louer. Et comme
anciennement les Romains triomphans n’atribuassent louenge
310aucune ne honneur a chose quelconques, se elle n’estoit a
l’utilité de la chose publique, regardons a [fol. 91 verso b.] leur
exemplaire, se nous pourrons couronner cestui romant.
Mais je treuue, comme il me semble, ces dictes choses et assez
315de feu que couronne de lorier,
nonobstant que le claimez
miroir de
bien viure, exemple de tous estaz de soy politiquement
de vice, confortant vie dissolue, doctrine pleine de deceuance,
et mescreandise,
honte de pluseurs personnes, et puet estre
que on lui ramentoiue
le pié dont elle cloche pour plus droit
330viure et moralment sont trouuees en mains
autres volumes,
fais de philosophes et
docteurs de nostre foy comme
[p. 28]
Aristote,
Seneque, Saint
Pol, Saint Augustin, et d’aultres (ce
sauez vous) qui plus valablement et plainement tesmoingnent
moult plaist au malade qui a grant soif, quant le medicin
lecherie du boire se donne a croire que ia mal ne lui fera.
Et
autres—par la grace de
Dieu ramenez
a clarté et purté de
nette
conscience, sans soilleure
ou pollucion de pechié ne entencion
fait cler veoir le secret de conscience et condempne propre
345voulenté), comme
iuge de verité, ferez aultre iugement
du Romant
de la Rose, et vouldriez peut estre que oncques ne l’eussiez
aucteur tant soubtil
et son œuure amenuisier de
[p. 29]V.
GONTIER COL TO CHRISTINE, ASKING FOR A COPY OF NO. IV.
A prudent, honnouree et sauent damoiselle
Christine.
Femme de hault et esleué entendement, digne d’onneur et
recommendacions grans, j’ay ouy parler par la bouche de
5pluseurs notables clers que entre tes aultres estudes et euures
vertueuses moult a louer, comme ie entens par leur relacion,
tu as nouuellement escript par maniere de inuectiue aucunement
contre ce que mon maistre,
enseigneur et familier feu
maistre Jehan de Meun, vray catholique, solennel maistre, et
10docteur en son temps en saincte theologie, philosophe tresperfont
est scible, duquel la gloire et renommee vit et viura
leuez par grace de dieu et euure de nature, fist et compila
15ou liure de la Rose. Et comme dient les relateurs ou
refferendaires de ceste chose, t’efforces et estudies de
le reprendre
et chargier de faultes en ta dicte œuure nouuelle,
laquelle chose me vient a grant admiracion et merueille inextimable,
et ad ce non croire me meut l’experience et exercite
20de toy d’auoir sceu, leu, et entendu lui ou dit liure, et en ses
autres fais en francois, et autres pluseurs et diuers docteurs,
aucteurs, et poetes. Et pour ce que les denunciateurs de ceste
chose tiennent et gardent, les aucuns par auenture comme
enuieux sur les fais du dit feu maistre
Jehan, ta dicte inuectiue
25comme chose singuliere et haultement composee, edefiee et
conduicte a leur plaisir et intencion, si que de eulx n’en puis
auoir copie ne original, te pry et requier sur l’amour que tu as
a science que ta dicte œuure, telle que elle est, me vueilles
enuoier par cest mien message ou autre tel comme il te plaira,
30afin que sur ce je puisse labourer et moy emploier a soustenir
mon maistre et ses fais, dont il ne fust ia besoing que moy ne
autre mortel s’en meslast s’il fust en vie, laquelle
mieulx
ameroie auoir esté en mon temps que estre empereur des Romains
presentement. Et pour toy ramener a vraie verité et
35que plus auant saches et cognoisses les fais du dit de Meun;
pour toy donner matiere de plus escripre contre lui, se bon te
[p. 30]
semble, ou a tes [fol. 88 verso a] satalices [read satellites], qui en
ce fait t’ont boutee, pour ce que touchier n’y osoient ou ne
sauoient, mais de toy veulent faire chappe a pluye; pour dire
40que plus y sauroient que une femme et plus reprimer la renommee
(indeficient entre les mortelz) d’un tel homme,
t’enuoie patentement et hastiuement un pou de tresor
[36] que il
compila pour estre de ses enuieux et de aultres congneu a sa
mort; lequel est incorrect par faulte d’escripuain, qui
pas ne
45l’entendi comme il y pert, et n’ay eu espace ne loisir de le veoir
ne corrigier au long pour la haste et ardeur que j’ay de veoir
ton dessusdit œuure, et
mesmement qu’il est a supposer
corrigier et entendre. Et quant
ad ce qu’il fist du liure de la
50rose, ou plus a lettres et sentences estranges et diuerses, l’as
voulu ou osé chargier, corrigier et reprendre comme ilz dient,
une chose ne vueil oublier ne passer soubz dissimulacion: que
se de ce ne te rappelles et desdis, je, confiant de bonne et vraye
iustice et que verité (qui ne quiert angles) sera
o moy, combien
55que en grans autres occupacions soye de present astraint
et aye esté le temps passé, entreprendray le soustenir contre
tes autres escrips quelconques.
Escript hastiuement, presens
maistres Jehan de Quatre
Mares, Jehan Porchier, conseilliers, et Guillaume de Neauuille,
60secretaire du roy nostre sire, le mardi XIII. jour de septembre,
l’an mil

et un.
Le tien, tant comme loy d’amistié puet souffire—Gontier
Col, secretaire du roy nostre sire.
VI.
GONTIER COL TO CHRISTINE, REPROVING HER FOR HER ATTITUDE
TOWARDS THE ROMAN DE LA ROSE.
Maistre Gontier Col.
A femme de hault entendement damoyselle Christine.
Pour ce que la diuine escripture nous enseingne et comande
que quant on voit son ami errer ou faire faulte, on le doit
5corrigier et reprendre premierement a part, et se il ne se
veult amender pour celle fois, que on le corrige deuant gent;
et se pour ce ne se veult corrigier, que on le tiengne tanquam
[p. 31]
eunucus[37] et publicanus, et je te aime loyaument pour tes [fol.
92 b] vertus et merites, t’ay premierement par une mienne
10lettre, que auant yer t’enuoyay, exortee, auisee, et priee de
toy corrigier et amender de l’erreur manifeste, folie ou demenance
trop grant a toy venue par presompcion ou oultrecuidance
et comme femme passionnee en ceste matiere—ne te
desplaise se ie dy voir. Je ensuiuant le commandement diuin
15ayant de toy compassion par amour charitable te pry, conseille
et requier la seconde fois par ceste moye cedule que ton
dessusdit erreur tu vueilles corrigier, desdire et amender
enuers le tresexcellent et irreprehensible docteur en saincte
diuine escripture, hault philosophe et en toutes les sept ars
20liberaux, clerc tresperfont, que si orriblement oses et presumes
corrigier et reprendre a sa grant charge et aussi enuers ses
vrais et loyaulz disciples Monseigneur le preuost de Lysle
et moy et aultres, et confesser ton erreur. Et nous arons
pitié de toy et te prendrons a mercy en te baillant penitence
25salutaire. Et de ce auec la response de mon aultre lettre te
plaise moy ta bonne voulenté faire sauoir a ton aise et loisir,
auant que ie me mette en peine d’escripre encontre tes faulses
(sauue ta reuerence) escriptures, que de lui tu as voulu escripre.
Et se ores et aultreffois, quant ie te escripray, te appelle en singulier,
30ne te desplaise, ne le me imputes a arogance ou orgueil,
car c’est et a esté tousiours ma maniere, quant j’ay escript a
mes amis, especialment quant sont lettrés. Dieux vuelle
briefment ramener ton cuer et entendement a vraye lumiere
et cognoiscence de verité, car ce seroit dommage se plus demouroies
35en tel erreur soubz les tenebres [fol. 92 verso a]
d’ignorance. Escript ce jeudi XV iour de septembre.
le tien Gontier Col.
Cy apres s’ensuit la response enuoyee au dit maistre Gontier
Col.
[p. 32]VII.
CHRISTINE’S REPLY TO NO. VI.
A
tresnoble et souffisant personne, maistre Gontier Col,
secretaire du roy nostre sire.
O clerc soubtil d’entendement philosophique, stillé es
5sciences, prompt en polie rethorique et subtilité poetique, ne
vueilles par erreur voulontaire reprendre et
reprouuer ma
veritable opinion justement meue pourtant, s’elle n’est a ta
plaisance. Et comme i’ay sceu par tes premieres lettres a
moy enuoiees, tu desirant auoir la copie d’un petit traictié en
10maniere d’epistre de par moy ja enuoyé a sollennel clerc,
monseigneur le preuost de Lisle, ouquel est traictié et dit au
long, selons l’estendue de mon petit engin, l’oppinon de moy
tenue a la siene contraire de la grant louenge qu’il attribue
a la compilacion du Romans de la Rose, comme il m’apparu
15par un sien dictié
adrecé a un soubtil clerc docteur sien ami
contraire a sa dicte oppinion a laquelle la moye se confere, et,
pour vouloir emplir ton bon mandement, le t’ay enuoyé. Parquoy,
apres la veue et visitacion d’ycellui comme ton erreur
pointe et touchee de verité, meu de impatience m’as escript
20tes
deusiesmes lettres plus iniurieuses reprochant [fol. 92 verso
b] mon femenin sexe, lequel tu dis passioné comme par nature
et meu de folie et presompcion d’oser corrigier et reprendre si
hault docteur, si gradué et tant sollennel, comme tu claimes
l’
aucteur d’ycellui. Et de ce moult m’enortes que ie m’en desdie
25et
repente et mercy piteuse sera encore vers moy estendue, ou
se non, de moy sera fait comme du publican, etc. Ha!
homme
close la soubtilleté de ton engin! Regardes droit selon voye
theologienne la plus souueraine, et tu tant ne condempneras
30mes diz ainsi comme les ay escrips, et considereras se louenge
affiert es pas particuliers que ilz reprennent. Et toutefois
et quelles non. Et se tu tant desprises mes raisons pour la
petitece de ma faculté, laquelle tu me reproches de dire comme
35femme passionnee, etc., saches de voir que ce ne tiens ie a villenie
[p. 33]
ou aucun reproche pour le renconfort de la noble memoire
et continuele experience de tresgrant foison vaillans femmes
auoir esté et estre tresdignes de louenge et en toutes vertus
apprises, auxquieulx mieulx
vouldroie ressembler que estre
40enrichie de tous les biens de fortune. Mais encore, se a toutes
fins veulz pour ce amenuisier mes vehementes raisons, vueilles
toy reduire a memoire que une petite pointe de ganiuet ou coutelet
puet percier un grant sac plein et enflé de materieles
choses. Et ne sces tu que une petite
mustellete assault un
45grant lion et a la fois le [fol. 93 a] desconfist? Si ne cuides
aucunement moy estre meue ne
desmeue par legiereté par quoy
soye tost desdicte, ja soit ce que en moy disant villennie me
menaces de tes soubtilles raisons, lesquelles choses sont communement
espouentement aux couars. Mais afin que tu
50puisses retenir en brief
ce que au long ay autrefois escript, je
dis derechief et replique et triplique tant de fois comme tu
vouldras que le dit
intitulé Romant de la Rose, nonobstant y
ait de bonnes choses (et de
tant est le peril plus grant comme
le bien y est plus autentique, comme autrefois ay dit) mais,
55pour ce que nature humaine est plus descendent au mal, je dis
qu’il puet estre cause de
mauuaise et peruerse exortacion en
tresabhominables meurs, confortant vie dissolue, doctrine
pleine de deceuance, voie de dampnacion, diffameur
publique,
cause de souspeçon et mescreandise et honte de pluseurs personnes
60et puet estre d’erreur; et tresdeshonneste lecture en
pluseurs pars. Et tout ce ie vuel et ose tenir et maintenir
partout et deuant
tous et prouuer par lui mesmes
et m’en raporter
et attendre au iugement de tous iustes preudeshommes,
theologiens et vrays catholiques, et gens de honneste et saluable
65vie.
la tienne Christine de Pizan.
[p. 34]VIII.
CHRISTINE’S DEDICATORY EPISTLE TO THE QUEEN OF FRANCE.
DEBAT
SUR LE ROMANT DE LA ROSE ENTRE NOTABLES
PERSONNES, MAISTRE GONTIER COL,
GENERAL
A tresexcellent, treshaulte, et tresredoubtee
princesse,
madame Ysabel de Bauiere, par la grace de dieu royne de
10France.
Treshaulte, trespoissant et tresredoubtee dame, toute
humble recommendacion mise auant toute œuure. Et comme
ie aye entendu que vostre tres noble
excellence se delicte
15chose est accroisement de vertus et bonnes meurs a vostre
noble personne; car si comme dit un sage: vertus auec vertus,
sagece auec noblece rendent la personne reuerend, qui puet
ce que telle vertu est trouuee en vostre noble entendement,
20est chose conuenable que dictiez de choses esleues vous soient
presentés comme a souueraine. Pour tant moy simple et
ignorant entre les femmes, vostre humble chamberiere soubz
vostre obeissance, desireuse de vous seruir, se tant valoye en la
confiance de vostre benigne humilité,
suis meue a vous enuoier
25les presentes epistres, esquelles, ma tresredoubtee
dame, s’il
vous plaist me tant honnorer que ouir les daigniez, pourrez
[fol. 87 b] entendre la deligence, desir et voulenté, ou ma
petite poissance s’estent, a soustenir par deffences veritables
contre aucunes oppinions a honnesteté contraires et aussi l’onneur
30et louenge des femmes, laquelle pluseurs clers et autres
se sont efforcés par leurs dictiez d’amenuisier, qui n’est chose
[p. 35]
loisible
ne a souffrir ne soustenir. Et combien que foible soie
pour porter tel charge contre si soubtilz maistres, non obstant
ce, comme de verité meue ainsi com ie sçay de certaine science
35leur bon droit estre digne de deffence, mon petit entendement
a voulu et veult soy emploier, comme ycy appert et en autres
miens dictiez, a debatre leurs contraires et accusans. Si
suppli humblement vostre digne haultece que a mes raisons
droicturieres, non obstant que ne les sache conduire et mener
40par si beau language comme autre mieulz le feroit, y vueilliez
tout soit fait
soubz vostre sage et benigne correction. Treshaulte
et tresexcellent, ma tresredoubtee dame, je pri
la vray
Trinité
qu’il vous octroit bonne vie et longue et accomplissement
45de tous voz bons desirs.
Escript
la veille de la chandeleur, l’an mil

et un.
La toute vostre treshumble creature—
CHRISTINE DE PIZAN.
IX.
CHRISTINE’S DEDICATORY EPISTLE TO GUILLAUME DE TIGNONVILLE.
A mon treschier seigneur, noble cheualier et sage, messire
Guillaume de Tignonville, preuost de Paris.
A vous monseigneur le preuost de Paris par la grace de
5dieu et prouidence de vostre bon sens esleu a si digne siege et
office comme garde de si haulte iustice, recommendacion auec
obeissance premise, de par moy Christine
de Pizan, foible d’entendement
et la mendre des femmes desireuses vie honneste!
Sauoir vous fais que soubz la fiance de vostre sagece et valeur
10suis meue a vous
segnefier le debat gracieux et non haineux
meu par oppinions contraires entre sollenneles personnes,
maistre Gontier Col, a present general conseillier du roy nostre
sire, et maistre Jehan Johannes preuost de
Lisle et secretaire
du dit seigneur, duquel
dit debat vous pourrez ouir les premisses
15par les epistres enuoyees entre nous, et par les memoires,
[p. 36]
preuost, je supplie vostre humilité que non obstant les laborieuses
occupacions de plus grandes et necessaires negoces,
vous plaise par maniere de soulas vouloir entendre les raisons
20de nos discors. Et auec ce suppli la bonne discrete consideracion
de vostre sauoir que vueille discuter et proprement eslire
le bon droit de mon opinion, non obstant ne le sache viuement
disvulguer ne mettre en termes consonans et propices a la
deffense de mon dit droit, si comme aultre mieulx le scaroit.
25Pour ce requier vous tressauent que par compassion de ma
femmenine ignorance vostre humblece s’encline a ioindre a
mes dictiez vraies opinions par si que vostre sagece me soit
force, aide, deffence et appuial contre si notables et esleus
maistres, desquelz les soubtilles raisons aroient en petit d’eure
30mis au bas ma iuste cause par faulte de sauoir soustenir. Et
aliance soie plus hardiement inanimee de continuer la guerre
encommencee contre les diz poissans et fors, et de ce vous
plaise n’estre reffusant pour consideracion de leur grant faculté
35et la moye petite, comme vostre bon sens soit expert qu’il
appartiengne a vostre
office soustenir en tous cas la plus foible
partie par si que cause ait iuste. Aussi, chier seigneur, ne vous
a rimoyer, cestui estre en prose. Car comme la matiere ne le
40requiere autressi, est droit que je suiue le stile de mes assaillans,
combien que mon petit sauoir soit pou respondent a leur belle
eloquence. Si vous ottroit paradis cil qui toutes choses a
crees.
Comme ja pieça paroles fussent meues entre monseigneur le
45preuost de Lisle, maistre Jean Johannes, et Christine de Pizan
touchans traictiez et liures de pluseurs materes, esquelles dictes
paroles le dit preuost ramentut le Romant de la Rose en lui
attribuant tresgrant et singuliere louenge et grant digneté, de
laquel chose en repliquant et assignant pluseurs raisons
la dicte
50dist que (sauue sa reuerence) si grant louenge ne lui appartenoit
aucunement selon son avis.
Item.—
Apres pluseurs jours enuoya le dit preuost a la dicte
Christine la copie de une epistre, laquelle adreçoit a un sien ami,
notable clerc, lequel dit clerc meu de raison estoit de la meismes
[p. 37]
auoit le dit preuost escript la dicte epistre, moult notablement
aournee de belle rethorique, et pour estre en deux pars valable,
Item.—
Comme la dicte veu et consideré la dicte epistre
60rescript audit preuost si comme cy apres pourra estre veu.
Item.—Comme apres ces choses venist a cognoiscence a
notable personne maistre Gontier Col, que la dicte Christine auoit
[p. 38]X.
GERSON’S TRACTATUS.
JOANNIS GERSONII
Doctoris & Cancellarii Parisiensis
TRACTATUS,
CONTRA
ROMANTIUM DE ROSA,
Qui ad illicitam Venerem & libidinosam amorem utriusque
status homines quodam Libello excitabat.
Matutino quodam tempore paulò antequàm evigilasset
igneum meum cor, mihi visum est volare pennis & aliis diversarum
cogitationum de loco uno ad alium, ad Curiam usque
sanctæ Christianitatis; talem quidem, qualis esse solet.
5Illic erat Justitia Canonica & legalis, Throno æquitatis insidens,
sustentata hàc Misericordiâ, illàc verò Veritate. Justitia manu
sua dextra sceptrum tenebat remunerationis, levâ verò scindentem
gladium punitionis. Oculos habebat vivos, honorabiles,
& matutinâ stellâ, immò verò sole ipso splendidiores. Pulchra
10erat ejus societas; ex uno enim latere sapientissimum suum erat
Consilium, & in circuitu universa nobilis sua Societas, militia &
omnium virtutum Baronatus, quæ filiæ sunt propriæ Dei &
liberæ voluntatis, ut sunt Charitas, Fortitudo, Temperantia,
Humilitas, & aliæ in magno numero. Caput Consilii, & veluti
15miles, subtile erat Ingenium, firma societate Domini Rationi
sapienti junctum. Secretarii ejus erant Prudentia & Scientia.
Fides bona Christiani, & Sapientia divina, atque coelestis de
stricto, seu secreto erant Consilio. In auxilium earum erant
Memoria, Providentia, bonus Sensus, & alii complures. Eloquentia
20Theologica, quæ mediocris & temperati erat sermonis,
se Curiæ gerebat Patronum, sive Advocatum. Causarum
Promotor Conscientia nominabitur; nihil enim est, quin ipse
sciat & deferat.
Cum sic delectarer, magna quidem admiratione, omnem
25pulchrum ordinem Curiæ istius Christianitatis & Justitiæ jus
tribuentis contemplando: vidi (ut mihi videbatur) Conscientiam
exurgere, quæ ex officio suo Curiæ causas promovet, cum
[p. 39]
jure, quòd se Magistrum gerebat Requestarum. Conscientia
in manu sua, & in sinu suo multas habebat supplicationes.
30Inter alias erat quædam, cujus singula memoriæ teneo verba,
quæ continebat miserandam querimoniam pulcherrimæ &
purissimæ Castitatis. Quæ quidem Castitas nunquam dicere
voluit, aut cogitare aliquam turpitudinem, nec immunditiam.
Justitiæ legali, locum Dei in terra tenenti, & universæ
35Curiæ suæ religiosæ, devotæ & Christianissimæ supplicat humiliter,
& conqueritur Castitatis legitima vestra subdita, ut
remedium ponatur, & brevis provisio de intolerabilibus
forefactis, quæ mihi intulit, necdùm inferre cessat, quidam
fatuus, Amator appellari volens. Et hi sunt Articuli.
40Articulus Primus.
Fatuus hic Amator omnem adhibet conatum, ut me de
terra expellat, quæ innocens sum, & bonas meas custodes, quæ
sunt Verecundia, Pudor & Damnum, quod quidem Damnum
bonus est janitor, quæ nec auderent nec dignarentur concedere
45unicum quidem turpe osculum, aut dissolutum aspectum, aut
attrahentem risum, seu verbum leve. Et hoc facit per maledictam
quandam vetulam diabolo pejorem, quæ docet, monstrat,
& adhortatur, qualiter juveniles virgines omnes corpus
earum vendere debent citò, & charè, absque pavore, & sine
50verecundia: nec magni pendant fallere, aut pejerare, modò
semper aliquid inde assequantur. Nec curant, aut damnum
aliquod judicant, si festinent se citò prosternere, intereà dùm
pulchræ sunt, omni turpitudini, & carnalitatis immunditiæ,
sive Ecclesiasticis, sive laïcis, sive Presbyteris, absque ullo
55discrimine.
Articulus Secundus.
Reprobare vult Matrimonium sine ulla exceptione, per
contemptum quendam suspiciosum, odiosum, & litigiosum,
tam per seipsum stultum amatorem, quàm per aliqua adversariorum
60meorum. Et potiùs consulit, ut quisquam se suspendat,
submergat, aut peccata faciat, quæ nominari non
debent, quàm se Matrimonio jungat. Et vilipendit omnes
mulieres, nullam excipiendo, ut eas reddat odiosas viris omnibus,
eo quidem pacto, ne velint capere eas in fidem Matrimonii.
65Articulus Tertius.
Vilipendit homines juvenes, qui se dedunt Religioni.
Ideò dicit semper eos tendere, ut eorum exuant naturam, &
[p. 40]
hoc in meum est præjudicium, specialiter enim dedicata sum
Religioni.
70Articulus Quartus.
Jacit undique ignem ardentiorem, & magis fœtidum,
quàm sit ignis græcus, & sulphureus. Jacit, inquam, ignem
luxuriosorum verborum, immundorum & prohibitorum, interdùm
nomen Veneris, Cupidinis aut Genii, sæpiùs proprio
75suo nomine, per quod ardent, & comburuntur pulchræ
meæ domus & habitationes, sacrata templa mea humanarum
animarum, & turpissimè dejicior.
Articulus Quintus.
Infamat Dominam Rationem, bonam meam Magistram,
80imponendo ei talem rabiem, & turpe vituperium, quòd loqui
consulat nudè, illotè & turpiter, juxta libidinem, sine verecundia,
de omnibus rebus, quantumcumque abominabilibus,
aut erubescendis, ut dicantur, aut fiant, & inter personas
quidem admodùm dissolutas, & mihi adversas, heu! Si mihi
85utique parcere non vellet, quidnam mali contra eum egit
Ratio? Attamen ita est. Profectò prælium movet in omnes
virtutes.
Articulus Sextus.
Cùm loquitur de rebus sanctis, divinis & spiritualibus;
90&c. mox immiscet verba dissolutissima, ad omnemque immunditiam
moventia. Et tamen immunditia non ingredietur
Paradisum tale, quale ipse describit.
Articulus Septimus.
Promittit Paradisum, gloriam, & præmium, omnibus his,
95qui carnalia opera complebunt, præsertim non in Matrimonio:
consulit enim in propria sua persona, & ad suum exemplum
cum omnibus modis feminarum indifferenter congredi, &
periculum facere; maledicitque omnibus his, qui sic non
fecerint, saltem his omnibus, qui me recipient, & conservabunt.
100Articulus Octavus.
Nominat in persona sua partes corporis inhonestas, &
peccata immunda atque turpia, per verba sancta & sacrata;
[p. 41]
veluti si omnia talia opera res essent divinæ, & sacratæ,
ac odorandæ, etiam si non fiant in Matrimonio, sed fiant
105per fraudes & violentias.
Nec contentus est supradictis injuriis publico undique ore
dictis, sed & eas curavit juxtà posse suum tàm scribi & depingi
curiosè, & pretiosè ad citiùs alliciendas personas, ut eas audiant,
videant, & contineant. Sed adhuc pejus restat: ut
110enim subtiliùs falleret, mel miscuit veneno, saccarum intoxicationi,
serpentes veneficos sub viridi verbo devotionis latentes,
& hoc facit congregando materias diversas, parùm sæpiùs ei
conducendas, nisi ad supradictam causam, & ut meliùs illi fides
adhiberetur, & majoris esset autoritatis, quantò plura appareret
115eum vidisse, & ad majorem operam studiis impendisse.
Supplico igitur, Domina Justitia, de festinanti, & convenienti
remedio, & provisione super his omnibus injuriis, & aliis majoribus,
quas parva præsens non solùm continet supplicatio,
verumetiam Liber ejus fidem facit multò majorem, quàm
120foret necessarium.
Posteaquam hæc Castitatis supplicatio lecta fuit distinctè
& in aperto, illic percipere potuisses universum Consilium, &
omnem nobilem militiam, quæ in vultu suo & apparatu, indignationem
præ se ferebat. Attamen tanquam sapiens &
125temperata dixit, quòd pars altera audienda esset: sed quoniam
fatuus amator, cùm accusatus esset, non aderat (transierat
enim passum altum, à quo nullus regreditur) interrogatur,
si in Curia Christianitatis sint aliqui Procuratores, fautores,
aut faventes cuicumque illi.
130Tum ecce magna turba & homines sine numero, juvenes
& senes, omnium sexuum & ætatum, qui non servando
ordinem, sed distortè, & ex transverso voluerunt, unus quidem
excusare, alius tutari, alius laudare eum, alius veniam quærebat
ob juventutem & stultitiam, allegando illum amatorem pœnitentiâ
135ductum fuisse, quando scripsit. Feci, inquit, in juventute
mea varia dicteria per vanitatem. Alius eum sustinebat,
eò quod talis fuerit & tam notabiliter eruditus, & quia in
loquela Gallica non habuit similem: aliqui ob eam causam,
quòd tam aptè veritatem dixerat de omnibus statibus, non
140parcendo Nobilibus, non ignobilibus, patriis, nationi, nec
seculo, nec Religioni. Et quid mali est (ait unus inter alios
consultior) quid mali est, precor, si homo iste talium sensuum,
talis studii, & famæ talis, componere voluerit Librum, in quo
introducuntur personæ magno artificio, unaquæque secundùm
145jus suum, & proprietatem loquentes? Nonne dicit Propheta
in persona fatui, Deum non esse? Et Sapiens Salomon, nonne
[p. 42]
specialiter totum Ecclesiasticen tali tenore composuit? Ideoque
salvatur, & defenditur à centum erroribus, qui eo in Libro
scripti reperiuntur. Si hic amator levibus verbis usus sit,
150conditio est Veneris, vel Cupidinis, aut fatui cujusdam amatoris,
quem repræsentare volebat per verba, quæ trahi possent
ad malum. Veruntamen nonne leguntur, quæ loquebatur
Salomon in Canticis suis modo amatorio per verba? Si dicat
in persona Rationis omnia nominari debere suis nominibus,
155videntur ejus motiva. Sed quid mali est in nominibus, qui
non ibi immoratur? Nomina sunt sicut alia nomina, posteaquàm
ergò per unum nomen una res intelligitur, & per aliud
illa eadem, quid obesse potest per quod nomen res detur intelligi?
Certum est in natura nihil turpe esse. Turpitudo
160enim solùm est ex peccato, de quo tamen verba fiunt quotidiè
per propria ejus nomina, sicut de homicidio, furto, fraudibus,
& rapinis. Demùm si locutus fuerit de Paradiso, & de rebus
devotis, quarè vilipenditur de hoc, de quo laudari meritò
deberet? Sed esto aliquid mali in Libro suo sit, non dubium
165est, multo plùs boni illic esse. Sumat unusquisque bonum,
& malum dimittat. Expressè testatur, se solùm in malos viros,
& mulieres invehere, & quisquis se senserit reum & culpabilem,
vitam suam emendet. Nec etiam est adeo sapiens, quin
quandoque erret; quinimmò & magnus erravit Homerus, &
175hoc potiùs flectere, & inclinare debebit ad veniam, & benignitatem
sapientem hanc Christianitatis Curiam. Constat
divum Aurelium Augustinum, & ferè omnes alios Doctores in
quibusdam punctis errasse, qui tamen non sunt accusati ob id,
neque condemnati, verùm honorati. Et profectò non habere
175debet in suo serto pulchram rosam, qui rosam hanc vituperat,
qui se nominat Romantium de Rosa.
Ad hæc verba facilè videbatur amicis, aut fautoribus,
fatui amatoris causam suam esse justam, & obtinuisse victoriam
neque responderi posse ad dicta. Unus arridebat alteri, &
180sese mutuo intuebantur, cachinumque facientes, diversa signa
ostendebant.
Tum Eloquentia Theologica, quæ Christianæ Curiæ Advocata
est, ad petitionem tùm Conscientiæ, tùm Castitatis,
admodùm sibi dilectæ; ob rationem etiam officii sui, in pedes
185sese erexit, pulchro quidem gestu, & modo temperato, autoritate
magna, & veneranda gravitate.
Ipsa tanquam sapiens, & probè docta, postquàm faciem
suam paulisper deorsùm declinasset, instar hominis cogitabundi,
maturè & securè suspexit, vertensque intuitum suum
190ad Justitiam, ad omnemque ejus comitativam, aperuit os
[p. 43]
suum, & sonora voce, suavi & mediocri sic orsa est, causamque
suam sic coepit defensare.
Optarem, si Deo libitum esset, quem tu jam repræsentas, ô
Domina Justitia, Auctorem qui hîc accusatur, in propria
195persona præsentem adesse, redeundo de morte ad vitam. Nec
enim tunc opus esset verba multiplicari, nec Curiam prolixa
accusatione occupari. Opinor enim, quòd velociter, ultrò,
& æquo animo delictum suum fateretur, veniamque pro delicto
satisfaciendo esset petiturus. Ad id præsumendum multæ me
200movent conjecturæ, præcipuè verò illa, quam nonnulli
allegarunt, quòd adhuc superstes, & vivens pœnitentiam
egerit, Librosque interea de vera Fide, & sancta doctrina,
ediderit, atque excuderit. Adsum illi testis (quantum damnum
fuit) juventutem, aut malam aliam inclinationem, illum
205fellisse Clericum, atque induxisse inutiliter, & nimis vagè ad
hanc reprobam levitatem, subtile suum ingenium, magnam
scientiam, servens studium, pulchram eloquentiam in rithmis
atque fictionibus. Utinam melius his usus fuisset, heu! bone
amice & vir subtilis, heu! nonne erant sufficientes in mundo
210fatui amatores, etiamsi te huic turbæ non admisceres?
Nonne erant, qui ducerent & docerent eos in stultitia sua,
absque hoc, ut te eorum præberes Primipilum, Capitaneum
Ductorem, Ducem & Magistrum. Fatuus est, qui fatuitatem
facit, fatuitas non est sensus, nimis vituperari vult, qui se
215diffamat, & officium suscipit infamis. Eras profectò alio
Magisterio, alioque officio dignus: vitia & peccata (mihi crede)
facillimè discuntur, nec opus est quoque Magistro; natura
humana, præsertim in teneris Annis, & in adolescentia, nimiùm
prona & inclinata est ad cadendum, præcipitandumque se, &
220immergendum in immunditiam, spurcitiamque totius carnalitatis.
Non erat opus, te illos attrahere, & lacessere, aut vi
quadam compellere. Quid enim faciliùs capi potest, &
inflammari igne turpium delectationum, quàm cor humanum?
Quare ergò subministras & auges tu fœtidum hunc ignem ventis
225omnium levissimorum verborum, & autoritate personæ tuæ,
& exemplo tuo? Si tunc Deum non timebas, neque vindictam
ejus, si te non faciebat prudentem & circumspectum pœna &
supplicium, quod de impudico Ovidio sumptum fuit, saltem
tui honor retrahere te debuisset. Erubuisses proculdubiò, si
230clara die, palam in loco stolidarum muliercularum inventus
fuisses, quæ sese pro pretio prostituunt, sicque loqui quemadmodùm
scribis. Et tu pejus agis, ad pejus hortatis. Occidisti
stultitiâ, & incarcerasti (quantùm in te est) mille & mille
homines per diversa flagitia, & id adhuc facis in dies per
[p. 44]
235stolidum Librum tuum. Nec excusari potest propter tuum
loquendi modum, per personas, sicut in sequentibus clarè tibi
sum probaturus. Nec tamen semel & unico actu omnia dicere
possum.
O Deus, Optime, Maxime! si tu stulté amator (quia sic
240appellari cupis) si in adolescentia tua per vanitatem aliqua
scripseras, cur ea perdurare & extare sinebas? Nonne
exuri debebant? Mala est provisio venenum, aut intoxicatio
in mensa, aut ignis inter oleum & festucas: qui sparserit undique
ignem, & non aufert, quomodò absolvetur à domibus,
245quæ comburentur? Ecquis est pejor ignis, atque ardentior,
igne luxuriæ? Quænam domus pretiosior est humanis animabus,
sicut planè continetur in supplicatione Dominæ Castitatis?
Debent enim animæ illæ Templa esse Spiritus sancti, esse
sacratæ; sed quid plus urit, & inflammat has animas, quàm
250verba dissoluta, spurca, & luxuriosæ, scripturæ & picturæ?
Videmus pia & sancta verba, honestas scripturas, & imagines
incitare ad devotionem, ut dicebat Pythagoras. Ob hanc causam
Sermones fiunt, & Imagines in Ecclesiis. Multò faciliùs è
contrariò mala & impura verba ad dissolutionem trahunt, nec
255est quisquam, quin in se experiatur, plurimæque historiæ
illud ostendunt.
Sed ô bone amice! supervacaneè, & frustrà tibi loquòr,
qui absens sis, cui factum hoc prorsùs displicet, & ut prædixi,
si adesses, displiceret. Et si tunc hoc nescivisses, didicisti
260intereà magnis verberibus, & expensis, saltem in igne purgatorio,
aut per pœnitentiam in hoc mundo. Dices fortassis,
non potuisse te Librum tuum denuò consequi, aut habere
posteaquàm editus & divulgatus fuerat, aut fortassis fuerat
furto ablatus, te nescio, aut quovis alio modo ignoto.
265Id scio quòd Berengarius, Petri Abellart discipulus,
(cujus meministi sæpiùs) cùm ad horam mortis devenisset, in
qua veritas declarat hunc qui benè fecerit, eratque dies Apparitionis
Domini Nostri, suspirando dixerit: “Deus meus,
inquit Berengarius, hodiè mihi apparebis ad meam salvationem,
270ut spero, propter pœnitentiam meam, aut ad duram
meam damnationem, sicut timeo, propter eos quos perversa
doctrina decepi, quos nequivi reducere ad veram viam tui
Sacramenti.” Sic fortassis & tu dices breviter: jocus non
est, neque est res ulla periculosior, quàm perversam disseminare
275doctrinam in cordibus mortalium, quòd pœna illorum,
præcipuè qui damnati sunt, in dies magis atque magis crescit.
Si in igne purgatorio fuerint, eorum liberatio impeditur, &
protelatur.
[p. 45]
De Salomone, qui omnium totius mundi fuit Sapientissimus,
280dubitant plerique Doctores, si salvatus sit. Quare?
Quoniam ante mortem suam non curavit demoliri Idolorum
Templa, quæ fieri jusserat ob fatuum amorem exterarum
mulierum. Pœnitentia non sufficit, cùm non aufertur occasio
suorum propriorum peccatorum & aliorum, pro virili sua.
285Veruntamen quidquid de tua fuerit pœnitentia, si acceptata
fuerit à Deo, aut non desidero quod sic, loquor duntaxat de
facto & opere in seipso, ac de Libro tuo; quia eum non defendis
more Sapientis, convertam omnem querimoniam meam in
illos, qui ultra proprium tuum judicium & voluntatem, &
290grave præjudicium honoris tui & salutis tuæ, nituntur, sive
distortè, sive ex transverso, sustinere, nec sustinere solùm;
sed & adjuvare, & accumulare, tuam vanitatem. Et in hoc te
confundunt, arbitrantes te defendere, displicentque tibi &
nocent, volentes tibi gratificari, more violenti & importuni
295Medici, qui sanare putat, & occidit; & instar inutilis Advocati,
qui opinatur clientulum suum adjuvare, & ejus destruit causam.
Ego, è diverso, hoc obsequium, & servitium præstabo animæ
tuæ, eamque illi faciam gratificationem, aut hoc alleviamen,
ob causam tuæ doctrinæ & studii, quod arguam in hoc, quia
300omninò argui desideras in omnibus. Qualis ignorantia est
hæc chari amici? Sed quænam fatua præsumptio vestrûm,
quos hîc loqui percipio, vestrûm, inquam, qui excusare nitimini
prorsùs omnem stultitiam, aut errorem ejus qui seipsum condemnat,
ejus qui in fronte sua titulum offert suæ condemnationis;
305nec me intueamini, se gerit per prædicta vestra pro
fatuo quodam amatore.
Profecto cùm plures infamias de tali dicere velim Autore,
nequaquàm potero quidquam ei turpius & pejus imponere,
quàm stultum eum amatorem nominare. Nomen hoc grande
310nimiùm importat onus, & pondus nimiæ lubricitatis, atque
bestialis carnalitatis, omnium virtutum homicidium, incensorem
ignis ubicumque quieverit locorum: sic dicunt Plato,
Archita Tarentinus, Tullius, & alii complures. Quis succendit
magnam Trojam crudeliter igni & flamma? Stultus amator.
315Quis tùm interire fecit plures quàm centum mille Nobiles:
Hectorem, Achillem, Priamum, & alios? Fatuus amor.
Quis expulit urbe Tarquinium Regem & ejus sobolem? Fatuus
amator. Quis decipit per fraudes & perjuria illegitima filias
honestas, & virgines Deo sacras, atque Religiosas? Stultus
320amor. Quis obliviscitur Dei, & Sanctorum, & Sanctarum,
demùm verò ipsius Paradisi? Stultus amor. Quis nihilipendit
Parentes, omnes propinquos, amicos, & quaslibet virtutes?
[p. 46]
Stultus amator. Unde prodierunt conspirationes civiles,
unde rapinæ & latrocinia? Ad stultam enutriendam prodigalitatem.
325Unde spurii, unde puerorum suffocationes, unde
spontanei aborsus, unde odia & maritorum intoxicationes &
mortes? Et ut summatim dicatur, omne malum, & omnis
stultitia oritur ex fatuo amatore. Sed video quod pertitulum,
& hoc opprobrium eum excusare vultis à stultitia sua, eò quod
330fatuus nil quærere debet præter fatuitatem. Sed reverà,
bone Amice, stulto sua demonstrari stultitia debet, & multò
plus sapienti, cùm stultum agit; & ampliùs, si hoc est in
gravissimum malum maximæ Patriæ & in destructionem turpem
bonorum morum, Dominæ quoque Justitiæ, & totius
335nobilis Curiæ ejus Christianitatis. Videtis planè, quonam
pacto Domina Castitas conqueritur. Verecundia, Timor, &
Domina Ratio Magistra mea, dolore afficiuntur, breviter omne
Consilium, & Nobilis Virtutum militia (videtis in earum gestu)
indignantur vehementer. Et quare non? quoniam dicitis
340quòd Autor hîc non loquitur, sed alii, qui ab eo hîc
introducuntur.
Defensio hæc exigua nimis est pro tam grandi crimine.
Quæro enim, si quis Regis Franciæ nominaretur adversarius,
& sub nomine tali, & uti talis illi bellum inferret, nomen hoc
345defenderetne eum, ne proditor esset, & à morte? ita esse
nequaquam affirmaretis. Si in persona alicujus hæretici,
aut Saraceni, immò verò diaboli quispiam scribit, aut seminat
contrà Christianitatem errores, excusabiturne? Aliàs quidam
illud facere tentaverat, sed mox per quendam Ecclesiæ Parisiensis
350Cancellarium in plena Aula Episcopi, & Auditorio
revocare, & erratum suum corrigere compellebatur; non obstante,
quod loqueretur coram Doctis, intelligentibus, quando,
ait, loquor ut Judæus, revocabis, inquit Cancellarius, ut
Christianus. Si quisquam Libellos scribit diffamatorios, aut
355
famosos, de persona aliqua sive exigui status, sive non, sive
malè, aut illegitimè nata, & per introductas personas; Jus
censet, talem castigandum esse, atque infamem. Quid ergo
dicere debebunt Leges, & tu Domina Justitia, non de uno
Libello solum, verùm de grandi volumine, omnibus infamationibus
360resperso, atque referto; non contra homines modò,
sed & contra Deum, contra Sanctos, & Sanctas, qui amore
prosequuntur Virtutes? Dic mihi, essetne audiendus aliquis,
qui diceret Principi, aut alicui ex Magnatibus? certè, Domine,
dico vobis in persona unius zelotypæ, aut vetulæ, aut per
365somnium, mulierem vestram esse flagitiosissimam, & dirumpere
ac solvere Matrimonium; cavete diligenter, nec in ullo
[p. 47]
illi confidatis, & filiabus vestris, quæ usqueadeò pulchræ sunt
& Juvenes, consulo ut mox se prorsùs operi tradant carnali, &
unicuique se viro prostituant, qui gratum illis pretium largiatur.
370Dicite Amici charissimi, estisne adeò effrontes & imperiti,
ut judicaretis hujuscemodi hominem non esse puniendum;
sed sustinendum, audiendum & excusandum? Et multò
ampliùs, si præter verba, Libellos etiam transmitteret, aut
imagines, & picturas. Prætereà, quod est pejùs, aut Christianum
375Clericum in persona Saraceni prædicare contra Fidem,
aut quòd adduceret Saracenum loquentem, vel scribentem?
Nunquam tamen secundum toleraretur opprobrium; nihilominùs
pejus est primum, factum scilicet Christiani, quantò
clandestinus inimicus magis est nocivus quàm apertus, eò
380quod citiùs & faciliùs recipitur, auditur, & illi fides adhibetur.
Dabo venenum in melle absconditum, aliquis moritur, sumne
excusatus? Feriam osculando, occidam amplexando, erone
liber? Dicam publice alicui devotæ personæ; certè invidi, & qui
vos oderunt, dicunt vos esse hypocritam, & palliatum latronem,
385& homicidam, & se offerunt ad hoc probandum, excusaborne
de infamia hac? Dissolutus aliquis & malus faciet ac dicet
omnem lubricitatem, quæ inveniri potest inter virum & mulierem
coram puella aliqua innocente, dicendo: non sic agas,
quemadmodùm nos cernis agere, sic & sic, considera benè:
390excusabiturne? Certè non, quia castitas, fama, oculus &
Fides, non patiuntur ludum, aut jocum; nimis enim facilis
sunt læsionis & corruptionis.
Sed intelligo, quid ad invicem murmuretis, quòd unus
vestrùm priùs allegavit; Salomonem scilicet, & Davidem sic
395fecisse. Hæc est magna temeritas nimis, ut excusetur fatuus
aliquis amator, accusare Deum & Sanctos ejus, èos in accusationem
ducendo, immò hoc fieri non potest. Vellem stultum
hunc amatorem non fuisse usum his personis, nisi ut sancta
utitur Scriptura, reprobando scilicet malum, & taliter, ut
400unusquisque percepisset detestationem mali, & boni approbationem,
& (quod præcipuum est) ut omnia hæc fierent sine
levitatis excessu: sed non omne videtur esse dictum in persona,
omne videtur tam verum sicut Evangelium, & specialiter
stultis & vitiosis amatoribus, ad quos loquitur, & (quod doleo)
405citiùs inflammat ad luxuriam, etiam cùm eam videtur reprobare:
verùm casti, si dignarentur ipsius Libro operam dare,
audire eum, aut legere, pejores hinc essent futuri.
Dicunt Doctores, Cantica Salomonis, quamvis benè in se
sobria sint, olim legi non fuisse solita, nisi ab his qui triginta
410nati essent Annos, aut supra, ne ullam inde sumerent impuram
[p. 48]
carnalitatem. Juniores ergo homines vitiosi, & instabiles,
quid in tali facient Libro, scilicet in tali igne magis inflammante
quàm ignis Græcus, aut quàm vitrea fornax. Ad ignem,
chari homines, ad ignem. Tollite omnia, quæso, tollite,
415fugite omnes, salvate vos, & conservate vos, & filios vestros
sapienter. Non melius remedium. Qui non vitat periculum,
incidet in illud, & capietur veluti rattus, aut glis lardo, &
lupus in fovea lupina; aut papilio ab igne candelæ, propter
suam claritatem; vel fatui & pueri à micantibus gladiis, aut
420incensis carbonibus, propter eorum pulchritudinem, si quis
talia eis non aufert.
Si dicatis; in Libro hoc multa esse bona: suntne, quæso,
proptereà mala in eo deleta? Ignis est periculosior, hamus
nocet pisci, si coopertus sit escâ. Gladius unctus melle, feritne
425minùs? Non. Sed prætereà; defeceruntne alicubi puræ &
bonæ doctrinæ, absque mixtione mali seminis? Nec necessarium
fuit bonum aliquod involuto malo servare, charè
tenere, & laudare. Dico quòd Mahometus maximâ malitiâ
miscuit nostræ Fidei Christianæ veritates suis immundis erroribus.
430Quare? Ad alliciendos citiùs Christianos ad Legem
suam, & ad cooperiendas temeritates suas. Nonne diabolus
multas quandoque dicit veritates per dæmoniacos, per Cantatores,
per Magicos, & etiam per hæreticos? Sed hoc est, ut
latentiùs fallat: doctrina enim mala eò pejor est, quò plus boni
435continet.
Mihi credite, non mihi, sed Apostolo Sancto Paulo, 1 Cor.
XV. 33. Senecæ & experientiæ, quòd mala colloquia & Scripturæ
corrumpunt bonos mores, & faciunt peccata absque verecundia
perpetrari, omnemque auferunt pudorem, qui est in
440juvenibus præcipuus & principalis eorum custos, omnium conditionum
bonarum ipsorum juvenum contra universa mala,
persona juvenis expers verecundiæ, prorsùs est perdita. Cur?
nam Ovidius, vir utique doctus, ac ingeniosissimus Poëta,
missus fuit in exilium perpetuum. Ipsemet testis est, hoc ei
accidisse propter miserabilem suam Artem amandi, quam
445temporibus Octaviani Imperatoris scripserat, quamvis edidisset
ex adverso alium de remedio amoris Librum. Ovidius
benè novisset loqui per somnia, aut personas, si per hoc excusari
potuisset.
450O Deus! ô Sancti & Sanctæ! ô devota Christianæ Religionis
Curia! ô præsentis temporis mores! Inter Paganos Paganus
Judex & incredulus Paganum condemnat, qui doctrinam
scribit, quæ ad fatuum alliciebat amorem: & inter Christianos,
& per Christianos tale, aut pejus Opus sustinetur, laudatur,
[p. 49]
455defenditur! Reverà nequaquam satis rei hujus indignitatem
& horrorem exprimere possum, verba me deficiunt in ejus
reprobatione. Quod autem opus tale, Ovidii pejus sit Opere,
manifestè liquet, Ars enim amandi, quam scripsit Ovidius,
non solùm in dicto Romantii continetur Libro, sed translati
460sunt, aggregati, & vi quadam tracti, absque proposito ullo
complures alii Libri, tùm Ovidii, tùm aliorum, qui non sunt
minùs inhonesti & periculosi, ut sunt dicta Eligii, & Petri
Arbellart, Juvenalis, & fabellæ fictæ omninò ad perversum
hunc finem de Marte & Venere, Vulcano & Pigmalione, de
465Adonide, aliisque. Ovidius expressè protestatur, se non velle
loqui de bonis Matronis, & Dominabus Matrimonio conjunctis,
nec de illis, quæ licitè amari non possent. Liber vester annè
sic faciat? Reprehendit omnes, vilipendit omnes, contemnit
omnes sine ulla exceptione, saltem postquàm se Christianum
470faciebat, & de rebus loquebatur interdùm coelestibus. Quare
non demebat Gloriosas & Sanctas puellas, aliosque innumeros,
qui usque ad durissima tormenta, crudelemque mortem,
castitatem in cordis eorum templo servaverunt? Quare non
exhibet eam reverentiam Sanctæ Sanctarum? Sed non;
475erat enim fatuus amator, ideò non curabat quemquam excipere,
ut majorem omnibus se prosternendi daret audaciam.
Nec hoc meliùs poterat complere, quàm ut per eum mulieres
intelligerent, omnes esse tales, nec sese servare posse, quin
illud agant.
480Necessitas non habet Legem. O qualis doctrina: non
quidem doctrina, sed blasphemia & hæresis. Hoc pacto
demonstrat juniores homines nec firmos esse, nec stabiles in
Religionibus, quæ falsa est doctrina, & contra experientiam.
Sed si quis immorari vellet, omnia taxare, & reprehendere,
485quæ malè in hoc Libro ponuntur, potiùs dies deficeret, quàm
querela, & posset etiam forsitan nimia particularitas magis
bonis nocere moribus, quàm prodesse. Incidere possem in
hoc vitium quod reprehendo: rescindam igitur verba mea,
& dumtaxat dicam de Articulis, in Supplicatione Dominæ
490Castitatis per conscientiam porrecta contentis, & jamjam me
liberatam sentio de facilioribus Articulis. Ideò tempus est,
ut ad graviores, & inexcusabiliores descendam.
Res ardua est, Domina Justitia: Consilium tuum attentum
sit ad hos audiendos Articulos, ad sestinanter providendum.
495Certè in dicto Libro (si Liber appellari mereatur) convenienter
& aptè locum habet commune dicterium; In cauda jacet
venenum. Irrisio Horatii hîc locum habet de pictore pulcherrimam
feminam in capite pingente, & desinentem in piscem:
[p. 50]
tales dicuntur esse Harpyiæ, quæ vultum gerunt virginum,
500ventres vero, & reliquas partes immundissimas. Heu qualis
immunditia illic est posita & accumulata, quæ blasphemiæ,
quis se ibi seminando sparsit diabolus? Habere modò verba
de eo, de Paradiso, de dulci Agno & castissimo, de pulchro
fonticulo & puteo, in persona Auctoris subito & citissimè recensere
505dissolutissimam vitam suam, quam perpetrando
nullus est tam inhonestus, quin rubore suffunderetur & verecundia,
hortari ut omnes feminei sexus, sive corruptæ, sive
virgines, sese dedant, & tradant, ut de quolibet viro, &c.
experiantur. Et (quæ est summa mali) asserit res tales sanctas,
510& opera sacra atque veneranda. Dicere potiùs debuit execrabilia,
damnanda, & detestabilia. O quid hîc sum dictura?
proculdubiò abominatio est magna, duntaxat hæc in animo
volvere, atque meditari. Os meum non contaminabitur
ampliora dicendo, nec aures vestræ sanctæ gravabuntur, nec
515Curia hæc inficietur audiendo. Oro nihilominùs vos, ne ullum
causæ meæ fiat præjudicium. Et si verum est quod dicit sanctus
Augustinus, & utique verum est, quòd Minus malum non est,
spernere sanctum Dei verbum, quàm Corpus Jesu Christi. Nec
minus irreverentiæ sic loquendo Deo fecit, res vilissimas inter
520divina verba & consecrata miscendo, quàm si pretiosissimum
Corpus Domini nostri Jesu Christi ante porcos projecisset, aut
in, vel suprà fimum. Cogitate qualis temeritas, quàm despectibile
facinus, & qualis horror. Non pejus egisset projiciendo
Evangeliorum textum, aut Crucifixi Imaginem in lutum
525magnum, immundum & profundum. Dicit Aristoteles, ut
recitat Seneca, quòd Nunquam se tenendum est reverentius &
honestius, quàm cûm sermo de Deo habeatur. Et est hîc projicere
simul ad immundum quoddam lutum & fœtidum, pretiosum
lapidem & sanctum Christianæ veritatis de Deo loquentis.
530Hîc argumentari libet: aut credebat id quod de
Paradiso dicebat, sicut opinor. Heu! quare ergo non id
meditabatur quod credebat? Si non credebat; falsus erat,
hæreticus & fictus. Sic cùm arguo de dissoluta vita, de qua
gloriatur & se jactat.
535Ulteriùs dicerem, nisi esset quod aliqualiter meliùs salvari
potest: dicerem quomodò in persona modò naturæ, modò
genii, secundùm quod proposuit, & verum est, hortatur, &
præcipit, sine differentia omni uti carnalitate, & cunctos maledicit
homines, qui ea non utuntur, neque de Matrimonio
540mentio fiet, quod nihilominùs per naturam est ordinatum.
Nulla erit sobrietas loquendi, & se servandi: custodit & promittit
Paradisum omnibus his, qui ita facturi sunt. Fatuus
[p. 51]
igitur esset, qui illi non crederet, qui illam non imitaretur
doctrinam, qui eam non undique decantat. Verum est, hanc
545fictionem poëticam corruptè extractam fuisse ex Alani
magni Libro, quem De planctu naturae scripsit. Quia etiam
maxima pars illius, quod fatuus noster amator facit, est quasi
solum translatio dictorum aliorum Auctorum. Hoc probè scio,
humilis erat, qui mutuari dignabatur à vicinis suis, & se variis
550munivit plumis, ut de cornicula fabulæ referunt. Sed hoc
parùm me movet. Revertor ad Alanum & dico, per nullam
personam eum unquam tali modo locutum fuisse; hoc enim
immeritò fecisset, dumtaxat execratur & reprobat vitia contra
naturam, & bono quidem jure: hoc idem facio ego. Maledicti
555sint hi qui non abstinebunt, & justitia illos exurat; sed hoc
non est ut hortetur ad peccatum quodcumque, ut aliud evitetur
peccatum. Stulta esset chirurgia, velle unum vulnus,
aut plagam, per alteram curare, & ignem igni extinguere.
Qui autem ejus opera & temeritates excusare studet, loquatur.
560Pro te respondeo, Domina Natura, nunquam te consuluisse,
aut persuasisse peccatum, nec voluisse, ut quispiam contra
decem ageret Præcepta, quæ tua quidem Præcepta naturæ
Præcepta vocamus; qui secùs diceret & contrarium, erraret in
Fide: hoc est dicere, quòd secundùm Jus naturale, opus
565naturæ viri & mulieris præter Matrimonium peccatum non
esset.
Domina Justitia, diu locuta sum, & id (benè considero)
diu quidem quoad tempus, sed brevissimè quoad forefacti &
sceleris magnitudinem, quamvis tu & sapientissimum Consilium
570omnia brevi captis sermone. Odio habeatis omnem
turpem immunditiam, quæ scitis omnes Leges & Jura, multoque
priùs hac de causa (quæ sine magna curiositate dicta
est) verba fieri audistis. Scio enim, cui loquar, coram quo,
& pro quo. Quodigitur dictum est, sufficere quidem posset
575ad condemnandum dictum Librum & ad excommunicandum,
sicuti factum est de aliis, quæ Fidei nostræ, bonisque moribus,
damnum & detrimentum afferre videbantur; sicut Apostoli
fecerunt noviter conversis; sicut & fecerunt Veteres de cujusdam
Poëtæ Libris, qui Archilocus nominabatur, non quia
580magna editi essent arte & industria; sed quoniam nocebant
plus bonis juvenum moribus, quàm eorum prodessent ingeniis.
Idem per omnia hîc videmus.
Hîc igitur finem statuerem, finemque dictis imponerem,
nisi quod Domina Ratio sapiens, sed bona mea Magistra mihi
585signum facit ulterius dicendi, quod mirandum non est: magnus
enim dependet honor, si bene ipsa manifestam rem hanc
[p. 52]
tutari posset; sed quia dicere cœpi, & ita ei visum est me
continuare sermonem, faciam libenter, & satis breviter,
multòque succinctiùs, quàm crimen ipsum expostularet. Si
590error hic est irrationabilis, ô vos qui hîc adestis pro stulto
amatore, qui Rationi rabiem imponit: nonne rabies est,
dicere, loquendum esse nudè, apertè & sine verecundia quantumcunque
inhonesta sint verba, secundùm omnium judicium,
etiam illorum, qui sine Lege essent, & sine verecundia?
595Si error hic, inquam, non fuisset jamdudùm explosus, & per
antiquos Philosophos reprobatus; Auctor hic, aut vos, qui
eum defenditis, immò verò accusatis, non essetis tantoperè
vituperandi. Sed veritas est, Tullium ante Jesu Christi
adventum in suo De Officiis Libro, & alios Philosophos (intereà
600quoque, Sanctos Doctores, ut modò legere potestis, & scire)
hanc reprobasse stultitiam, immò & bona consuetudo (quæ
æquivalet naturæ) ipsam contemnit, & despicit, & aspernatur.
Quomodò ergò sustineri potest, ut Dominæ Rationi talis
adaptetur persona, veluti si qui sic non faciunt insensati forent
605& absque ratione, sicut loquebatur Ratio, non quidem sapiens,
sed stulta & insulsa? Profecto hæc persona meliùs spectasset
ad porcos, aut canes, quàm ad Rationem. Nec hoc dictum
meum impugnes: nam plerique priscorum, qui Philosophi
dicebantur, appellati sunt canes, seu canini, propter infamem
610hanc doctrinam. Nonne Cham maledictus fuit & servus vilis,
solummodò quià vidit secretas & obscœnas Patris sui Noë
partes, non eas tegendo? Iste error etiam error erat Thure
lupinorum sustinentium quòd esset status innocentiæ &
summæ perfectionis in terra. Quomodò res magis irrationabilis
615rationi potuit imponi? Quomodò major audacia omnibus
irrationabilibus dari potuit, quàm ut sic ratio loqueretur,
præcipuè cùm inter loquendum res recitet allicientes, & ad
omnem inclinantes levitatem.
620Committite, committite filias vestras, & pueros tali Doctori,
& si non satis fuerint sapientes, dirigite eos ad scholas illius
Rationis, docete eos in omnibus malis, si non sufficienter per
seipsos invenire queant, eos verberibus afficite, si non loquantur
secundùm quod Ratio præcepit. Sed prætereà ex eadem
radice & motivo probaretur nudè incedendum esse, & omnia
625facere ubique, & nudè, sine pudore. Credo, pudorem id
sustinere debere, secundùm illius Auctoris positionem.
Considera etiam, si quis sustineat hoc per vicos. Experientia
sumatur, quomodò Ratio defendet eum quin acclametur,
allatretur, & vilipendatur. Si saltem Ratio locuta fuisset
630docto viro rerum naturas intelligenti, aut magno Theologo
[p. 53]
qui noscit quòd si non esset peccatum originale, nihil nobis
ad verecundiam imputaretur, haberet excusationem talem,
qualem allegare posset Evæ & Adæ nuditatem, quamvis non
sit simile pro statu innocentiæ, & nostro; talis enim est differentia
635& comparatio, sicuti dicit sano ad infirmum, vinum
quod non noceret sano, insensatum reddet eum qui febribus
contremiscit. Sic est quòd videre, aut audire carnales actus,
& præcipuè secundùm præsentem Statum peccatores aspicientes,
aut audientes, ad turpissima movent desideria, sed
640pro innocentiæ statu non sic accidisset. Hoc omninò apparet,
quoniam antè peccatum Adam & Eva positi erant sine verecundia;
posteà peccaverunt, & mox se absconderunt, & magna
cum verecundia operuerunt. Nec opus est quærere, quare
unus loquendi modus potiùs prohibitus sit, quàm alter, quando
645dicitur una & eadem res hîc & illìc. Non convenit, ut quis
immoretur causam naturalem reddendo, experientia satis
declarat; est enim propter phantasiam, quæ plùs movetur: &
phantasia ea est, quæ totum parit desiderium. Inde est, quod
Domina Otiositas, janitrix est fatui amoris; non enim reperit
650imaginationem ac phantasiam hominis occupatam, ideoque
carnalia hujusmodi ei desideria immittit, quocircà non est
remedium efficacius, quàm sese in bono aliquo negotio occupare.
Hinc oritur, quòd persona aliqua melancholica, infirma,
& debilis complexionis interdum ardentiùs de carnalitate
655tentabitur, quàm persona incolumis, sana & sanguinea,
quæ tam spurcas suggestiones facilè vincit ridendo atque
jocando: & omne id ex phantasia procedit. Quid mirum si
ignis cinere coopertus non tam citò comburat, quàm si nudus
sentiretur. Idem est de rebus carnalibus nudè dictis, aut
660inspectis. Sed sumo propositum meum, & dico, quòd si
persona Rationis sapienti & maturo viro locuta fuisset, aliquid
esset, sed non; immò loquitur stulto amatori. Et hîc malè
servabat Auctor nostræ regulas palestræ. Regula Rhetoricorum
est, ut is qui loquitur, consideret, cui loquatur, & quo
665tempore loquatur: & non solùm hic defectus est, sed in
pluribus aliis locis attribuit personæ quæ loquitur, id quod ad
eummet spectat; ut si introducat naturam de Paradiso loquentem,
& de Fidei nostræ Mysteriis, & Venerem per carnem Dei
jurantem. Sed illud nihilipendo, quàmvis error sit in illo
670quem nonnulli usqueadeò supra omnes alios, qui ferè unquàm
fuerunt, imitari velint. Nimiùm tristor propter Dominam
Rationem, & propter Castitatem, de hoc quod per sapientem
Rationem fatuo amatori dici voluit tales ineptias, quas priùs
Cupido (qui Deus dicitur amoris) defenderat, omnia verba
[p. 54]
675turpia, obscœna & immunda, omniaque mulierum vituperia,
ac si Cupido castior esset & rationabilior, quàm Domina Ratio,
& Castitas. O Deus! Erro, non fuit idem Auctor, sed fuit
ille à principio, cujus est Auctor de quo loquor. Ædificavit
enim omne opus suum; dudùm fundamenta jacta fuerant per
680primum, & propria manu sua, atque materia, non mendicando
hîc & illic, & non aggregando talem turpitudinem luti & fimi
multùm fœtidi, sicut ponitur in hoc opere. Nescio, si successor
eum honorare opinabatur, & si id credidit, profecto
deceptus est. Nam initio, quòd forsitan satis admitteretur
685secundùm factum suum, etiam inter Christianos adjungit
turpissimum finem, & medium irrationabile contrà rationem.
Quem quidem finem & media, infideles in Republica eorum
(ut prius dixi) Octavianus & Philosophi nunquam pati potuerunt,
neque sustinere. Sancti etiam Doctores correxerunt
690dicta sua, & emendarunt, quamvis non sint falsæ hîc, & alibi.
Concludo igitur coram te Domina Justitia, & nobili Curia
tua Canonica, quòd provisio poni debet per Arestum, nulla
parte contradicente. In hoc defectu nihil concludo contra
personam Auctoris: hoc enim Deo convenit. Sed de errore,
695qui magnus est nimiùm loquor, quomodò nimis magnum
errorem ostendit superiùs; & succinctim repeto, valde magnum
in occasionibus errorum, in blasphemiis, in veneficis doctrinis,
in destructionibus & desolationibus pauperum animarùm
Christianorum, in illicita perditione temporis, quod usque
700adeò pretiosum est, in præjudicium Castitatis, in dissipationem
fidelitatis, extra Matrimonium & intra, in expulsionem timoris,
& verecundiæ, in diffamationem Rationis, in maximam inhonorationem
tui, Domina Justitia Canonica, Legum tuarum
& Jurium, totiusque hujus religiosæ Curiæ totius Christianitatis,
705immò verò omnium vestrûm, & malorum, qui hinc pejores
efficiuntur.
Auferatur ergo Liber talis, & exterminetur absque ullo
usu in futurum, specialiter autem in his partibus, in quibus
utitur personis infamibus, & prohibitis; sicut vetula damnata,
710quæ judicari debet ad supplicium pillorii; & Venere, hoc est,
luxuria, quæ est peccatum mortale; & fatuo amore, qui non
ad placitum suum stultitias exercere debet, permitti ei major
contrarietas fieri non posset, nec ipsum magis odio habere.
Hæc ergo petitio meo Deo placens, & tibi Domina Justitia
715rationabilis, toti Curiæ tuæ accepta, & fatuis amatoribus
(quantumcumque modò reclament) utilissima & amabilis, &
postquam sanati fuerint, placidissima, & delectabilis. Et ne
quisquam existimet, aut conqueratur, me aliud accusare
[p. 55]
quam vitia, & non personas ipsas, facio nomine Castitatis, &
720Conscientiæ talem petitionem, & conclusionem contra omnes
picturas, aut scripturas, aut dicta ad lubricitatem moventia.
Nimis enim de se nostra inclinata est fragilitas absque ulteriori
inflammatione, & prostratione in profundum vitiorum, longè
à virtutibus, & Deo, qui est gloria nostra, amor noster, nostra
725salus, jocunditas & felicitas.
Eloquentia suam finierat Orationem, cum perciperem
horam, in qua cor meum ad pristinum revolabat statum, &
nil audiendo sententiæ apud meipsum, fui in Bibliotheca mea
vesperi. Anno gratiæ Millesimo quadringentesimo secundo,
73018, Maji. Ibi aliam reperi materiam ad cor meum occupandum,
ne amodò usquè adeò vagum esset. Et fuit materia de benedicta
Trinitate in unitate divina & simplici. Deinde de
Sacramento Sancto Altaris.
[p. 56]XI.
PIERRE COL’S LETTER REPLYING TO CHRISTINE AND TO GERSON.
La responce maistre Pierre Col, Chanoine de Paris aux
d[e]ux traictiés precedens.
[fol. 185 b]
[38] Apres ce que je oy parler de ton hault entendement,
cler engien, et de ton eloquance melodieuse, j’é
5desiré tres ardemment veoir de tes epistres et autrestelz
chosettes. Si est, apres grant sollicitude d’en querir, venue
entre mes mains une certaingne tienne espistre, addrecee a
mon aduis, a ung mien seigneur et maistre especial, monseigneur
le preuost de Lisle, laquelle fu commancé: “Reuerance,
10honneur,” etc.; et par laquelle tu t’efforces de reprandre
[fol. 185 vo. a] ce tres deuolt catholique et très esleuey
theologien, ce tres diuin orateur et poete et tres parfait philozophe,
maistre Jehan de Meung, en aucunes particularités de
son liure de la Rose, pour lequel louer, je n’ose ouurir la bouche,
15ne que je feroye auancie[r] mon pié pour entrer en ung abisme.
Car selonc ce que nous lison de Herode, qui pourfita plus aux
innocens par hayne en les faisant occirre qu’il n’eust peu fere
par amour; pareillemant toy et aultres, qui s’eufforcent
comme toy a impugner ce tres noble escripuain Meung, le
20loués plus en le cuidant blasmer que je ne pouroye le louer
pour y user tous mes membres, fussent ilz ores tous convertis
en langues; tant pour la rudesse de mon engien, grosseur
d’entendement, labile memoyre et langaige mal ordonné,
comme plus vraiemant pour l’abbisme multipliee de biens
25qui y sont non disibles a homme, lesquelz vous fe[t]es avertir
en le cuidant blasmer. Toutefois, je confiant de verité par
les raisons de luy meismes me efforceray de respondre aux
tiennes plus polies de langaige que ton langaige n’est poly de
raison des aultres ses adversaires par moy veues ou oyes, dont
30je ne
[39]
puis auoir memoire; et ne me soit imputey a presumpcion
ou arogance, (ce ne le me fait mie faire en verité), mais
pour ce que entre les aultres disciples dudit Meung je desire
estre au moins le manre, (et que les raisons que tu amainnes
encontre ses raisons [qui] doiuent estre nommees sont telles
35qu’il n’est ja besoing) je ne dis pas des plus auanciés disciples
dudit Meung, mais des moyens ou assés aprés au dessoubz
qu’ilz y respondent. Confiant aussy du grant droit que
[p. 57]
je uueil soustenir, ja soit ce que trop se soustiengne de leur
[sic] meismes. Mais j’en fais mon escu; et me pardonne si je
40parle par “tu,” car je le fais pour monstrer que ceste mienne
responce vient pour bonne amour, c’est assauoir, pour toy
ramener a droite voye, et auxi pour parler plus proprement
selonc que nos anciens maistres ont parley.
Premierement—tu (sans raison) commences ou chapistre
45[fol. 185 vo. b] de Raison et dis qu’elle nomme les
secrés membres d’omme par leur propre nom.
[40] Et respons a
tel argument que diex fist les choses—dont sont elles bonnes,
donc les puet on bien nommer. Vraiement se dis tu: “Je
confesse que dieu crea toutes choses pures et nettes venans
50de soy; n’adonc en l’estat d’ignocence n’eust esté laidure de
les nommer; mais par la polucion de peché devint homme
immonde”; et fais exemple de Lucifer, qui fut premierement
bel et le nom bel, qui puis par peché fu rameney a orrible
laidesse; par quoy le nom, tout soit il de soy bel, donne il
55erreur aux oyans. Oultre tu dis que le nom ne fait pas la
deshonnesteté de la chose, mais la chose fait le nom deshonneste.
Ycy resambles tu le pellican; tu te tues de ton bec.
Par ta foy, ce la chose fait le nom deshonneste, quel nom
pués tu baillier a la chose qui ne soit deshonneste, se la chose
60ne se change comme le nom. Mais je viens a ce que tu dis,
que en l’estat d’ingnocence estoit licite de nommer les secrés
membres, et que dieu les forma en tel estat. Je te demande se
tu parloies des secrés membre[s] d’ung enfant de deux ou de
trois ans, (car tu ne niroyes pas que dieu ne nous forme trestous)
65les oseroies tu bien nommer par leur propre nom? Se
tu dis que non, toutevoies est il en l’estat d’ignocence sans
polucion en fait et en parolle.
[41] Et ne vault riens si repliques
tu [que c’est pechié orig]inel
[42], car il vint par inobedience.
Et si la polucion de nos premiers parans fait le nom des secrés
70membres si lait qu’on ne les puisse licitement nommer, je
dy que par plus fort raison on ne deuroit pas nommer yceulx
nos premiers parens. Car se sunt ceulx qui pecherent, et non
pas membres. Se tu dis que oy, c’est assauoir, c’on puisse
nommer les secrés membres d’ung enfant, je te prie que tu
75nous declaires l’aage jusques auquel il est [licite] de les nommer,
et auxi s’on peut nommer par leur nom les membres secrés
d’ung aagié homme chaste et vierge toute sa vie; pareillement
des [fol. 186 a] mambres pareilz aux membres secrés qui sont
[p. 58]
es bestes mues, se tu les oseroies nommer (car ceulx ne pechent
80point), affin qu’apraignes a Raison et aux disciples dudit
Meung comment on doit parler. En verité l’Amant ou
chapistre de Raison fait plus d’argumens et de plus fors la
moitié que tu ne fais; au quelx Raison [fait] respons, et toutevoies
tu ne respons pas aux raisons d’icelle meisme, laquelle
85chose tu deusses faire auant que tu la reprisses. Si n’est plus
besoing de te respondre quant ad ce.
MAIS J’AY VEU ung escript
[43] fait en maniere d’une
plaidoierie en la court sainte de Crestienté, en laquelle estoit
Justice canonique establie comme juge, et les vertus entour
90elle comme son conseil, duquel le chief et comme chancellier
estoit Entendement subtil, joint par compaignie a dame
Raison, Prudence, Science, et autres comme secretaires,
Eloquence theologienne comme aduocat de la court; et le
prometeur des causes estoit Conscience, lequel prometeur
95out fait leuer et presenter une requeste pour Chastetey, contenant
ceste forme: “A Justice la droituriere, tenant le lieu
de dieu en terre, et a toute sa religieuse court deuote et tres
crestienne, supplie humblement et se complaint Chasteté,
vostre feable subiecte, que remede soit mis et prouision
100briefue sur les forfaitures intollerables lesquelles m’a fait et
ne cesse faire ung qui se fait nommer le fol amoureux;” et met
aprés huit ou neuf articles. OR EN VERITE, je cuide congnostre
la personne qui celle plaidoierie a compilee, et ne
doubte qu’il ne parle de fol amoureux comme clerc d’armes,
105et ne li desplaise. Car par ma foy je tiens qu’ainsy comme il
meismes, quant il prescha en greue le jour de la Trinité, dist
que icelle Trinité nous veons et cognoissons en guivre, et
comme par ung mirouer. Ainssy voit, entent et parle d’ung
fol amoureux, car je panse qu’il ne le fut onques, ne n’y ot
110onques pensé(e); en tant que je oseroie dire qu’il contoit
mieulx la Trinité qu’il ne fait fol amoureux. Aussi y a il plus
pansé. Et pour yce j’eusse cause assés de dire a toute celle
[fol. 186 b] plaidoirie, qu’il n’y fault point respondre, car tout
le plaidoié est fondé sur ung fol amoureulx, et l’aucteur ne
115sceit qu’est fol amoureux. Et ne vault riens de dire que,
ja soit ce qu’il ne soit fol amoureux, si entent il par auenture
mieulx que tel [qui] l’est ou a esté—ce puet estre. Mais j’ose
bien dire que c’il meismes l’eust esté et ne le fust aparent il
entendist mieux la moitié, qu’il ne fait. Car trop plus a
[p. 59]
120experience de ne say quelle puissance que n’a meismes l’effait
de viue voix. Toutevoies la verité et le bon droit sont telz
et si clers pour celluy qu’il appelle fol amoureux, qu’il ne me
greuera riens respondre aux particulieres raisons que propose
dame Eloquance theologienne, comme on li met seure. Car
125par ma foy elle nel se pansa onques, la bonne dame, comme je
diray cy aprés. Je suppose encor que le dit Meung eust esté fol
amoureux par aucun temps.
PREMIEREMENT donc dame Eloquance theologienne
dist que maistre Jehan de Meung porte en son front le tiltre
130escript de sa condampnacion par ce mot fol amoureux, en
disant: “Qui craventa jadis par feu et flamme Troye la grant?
FOL AMOUREUX. Qui fist destruyre lors plus de cent mil
gentilz hommes, Hector, Achilles, et autres? Fol amoureux.
Qui chassa hors de Ronme le roy Tarquinius? Fol amoureulx,”
135—et d’autres similitudes parelles. JE DEMANDE a dame
Eloquance se cest argument tent a blasmer estre fol amoureulx,
ou a blasmer le liure de la Rose pour ce qu’un qui fut
fol amoureulx l’a fait? Si tent
[44] a blasmer fol amoureux,
je n’y respons point, car je confesse que c’est folie et sans
140raison que de l’estre, et ne fault ja qu’on c’efforce de plus
blasmer fol amoureux que fait le liure de la Rose. Auise
bien, qui le lit, ne dit-il pas du dieu d’Amours:
“C’est le dieu qui tous les desuoye”
[45] et depuis:
“Mais de la fole amour se gardent,
145Tant les cuers esprennent et ardent.”
[46]
“C’est ce que la pel t’a maigroié.”
[47]
“Son cuer mis en amour de famme,
Dont maint ont perdu corps et ame.”
[48]
“C’est l’amour, qui souffle et atise
150La brese qui t’a ou cuer mise.”
[49]
“Quiconques a raison s’accorde
Jamais par amours n’amera.”
[50]
[fol. 186 vo. a] “Que ceulx qui plus le hantent
En la fin plus s’en repantent”
[51]
155et en plus de cent autres lieux que je laisse pour cause de
brieté. Si non, ung ver qui souffir[o]it assés pour tous, c’est
assauoir:
“Maint y perdent, bien dire l’os,
Sens, temps, chatel, corps, ame, los.”
[52]
[p. 60]
160Or espluchent hardiement ce “los,” ceulx qui
plus veulent blasmer fol amoureux que maistre Jehan
de Meung ne fait, et je croy que n’y troueront
que rengier; et quant maistre Jehan de Meung
appelle les secrés membres de famme “saintuaires,” et “reliques,”
[53]
165il le fist pour monstrer la grant folie qui est en fol
amoureux. Car ung fol amoureux ne pense a aultre chose
que a ce bouton, et est son dieu et la onre comme son dieu.
Aussi en ce pas la y faigny poetiquement, et aux poetes et
paintres a tousiours esté license pareille de tout faindre,
170comme dit Orace:
[54] si n’est ce pas si mal appellé c’on pouroit
bien dire d’appeller ses secrés mambres ceintuaires, car les
portes et les murs d’unne citey selonc les loys sont appellés
saintes pour ce que s’on y commet force ou les trespasse sans
congié il (l)y a poinne. Ainssy est il des secrés membres de
175fame, il y a peine qui y fait force ou qui sans force indeuement
les trespasse; et si dit la Bible qu’on souloit saintifier les
secrés manbres de femme.
[55] MAIS se l’argument tant a
blasmer le liure de la Rose pour ce qu’un qui fut fol amoureux
l’a fait, je me merueille comment dame Eloquance ne fait
180premierement ses conclusions contre Salmon, Dauid, et aultres
folz amoureux, qui furent trop deuant Meung, desquelz les
liures sont meslés en la sainte escripture et les paroles ou saint
mistere de la messe. Qui fist tuer Urie le bon cheualier par
trahison pour commettre adultere auec sa femme? Fol
185amoureux. Qui fist edifier temples aux ydoles pour l’amour
de fammes estranges? Fol amoureulx,—et trop d’autres
que je trespasse. Contre ceulx cy deust premieremant parler
dame Eloquance, se son argument protestast. Mais nannin
voir. Ne lisons nous pas que Saint Pierre et Saint Pol aprés
190leur pechié furent plus fermes en la foy, et plusseurs autres
[fol. 186 vo. b] pareillement? Je dy que maistre Jehan de
Meung, puisqu’il fut fol amoureux, fu tres fermes en raison;
car de tant qu’il congnut mieux la folie qui est en fole amour
par experience, de tant la desprisa il plus et loua raison. Et
195quant il fist ce liure de la Rose il n’estoit plus fol amoureux,
ains s’en repantoit de l’auoir esté, comme il appert par ce
qu’il sceut si bien parler de raison. S’il ne l’eust congnue,
amee et entendue, il n’en
[56] eust ainssy seu parler, comme il en
parla. Et toutevoies il est vray que fol amoureux ne la congnoist,
200aime, ou entent. Et si dit, en chapistre de Nature,
[p. 61]
quant il parle de paradis, que les choses du Vergier Deduit ne
sont que fanfelues.
[57] Et de la fontaine Narcisus dit:
“Dieux! que bonne fontaine et sade,
Ou li saint deuienent malade.”
[58]
205Et qu’elle
“enjure de mort les vifs.”
[59]
Comment pouoit il mieux monstrer qu’il n’estoit pas
fol amoureux, et qu’il amoit raison que en blasment le Vergier
Deduit et les choses qui y sont; et en louant raison et mettant
210ung aultre part
[60] ou Vergier, ouquel il figure si noblement la
Trinitey et l’Incarnacion par l’escharboucle et par l’oliue qui
prent son acroissement de la rousee de la fontaine,
[61] etc. Des
qu’il commensa ce[ste] escripture, il entre en raison et dieu
sceit combien il se tient, a painne se peut il oster. Aussy ne
215s’i estoit gaires tenu le premier aucteur. Et ne cuide pas que
ce qu’il dit en son Testament: “J’ay fait en ma jonesse maint
dit par vanitey”
[62]—qu’il entende de ce liure de la Rose. Car
vraiement comme je monstreray mais, il entendoit d’aucunes
balades, rondiaux [et] virelais que nous n’auons pas par
220escript, au moins moy. MAIS VENONS A CE QUI FAIT A
TON PROPOS—dame Eloquance, adressant ses parolles a
ceulx qui soustiennent ce fol amoureux, dit ainssy: “N’est
ce pas,” fait elle, “rage dire que on doye parler muement et
baudement, et sans vergoingne, tant soient deshonnestes les
225parolles au jugement de toute gent, etc?” Ha! dame Eloquance,
on vous impose cy mal reciter vostre fait principal,
sur quoy vous fondés tous vos argumans ensuiuans. Mais
n’en sachiés mal gré a celluy qui ce fait; car je tieng veritablement
qu’i[l] ne le fait pas essienment. [fol. 187 a] Certes il a
230eu pou plaisance a ce tres noble liure de la Rose, par quoy il
l’a pou veu, ou noyant, ou, comme je cuideroie mieux, [de]
ce qu’il a pou veu y a il desplaisance. Je ne doubte point
que, c’il eust veu et releu par fois souuent recordees, que de
tant comme son entendement passe tant d’autres que je ne
235say lesquelz non, de tant plus le louast, prisast, amast et
honnourast. VEES CI, VEES CI les parolles que dit Raison:
“Biaux amis, je puis bien nommer,
Sans moy faire mal renommer,
Appertement par propre nom
[p. 62]
Chose qui n’est ce bonne non
Voire du mal seürement
Puis je bien parler proprement”
[63]
etc. Il ne dit pas c’on en doye parler. Il dit qu’on en puet
parler; ce n’est pas tout ung deuoir et pouoir. Je confesse
245que querir occasion de parler de l’euure de nature, en laquelle
se fait la polucion qu’aucuns tant abhominent, et se soubtiuer
a en parler diuersement pour le plaisir c’on y auroit, trop ce
seroit mal fait. Et ainsy l’entent Tulle ou liure des Offices
[64]
et les autres philozophes qui pareillement en parlerent. Mais
250quant on parle de plusseurs choses diuerses, et, sans y venir
par affeccion particuliere, on descent aux secrés membres, on
en puet parler proprement. Et ainssy en parle maistre Jehan
de Meung ou chapistre de Raison. Et par dieu une fois en
conuient il parler au moins, quant on leur meist non premierement,
255et on ne meist pas le non premierement pour en parler a
celle fois seulement et non jamais aprés. Et s’il est licite d’en
parler en la maniere que Raison en parle. Ainssy les nomme
la sainte escripture par leur propre non et tres proprement;
pareillement les loys en plusseurs lieux; et oultre les secrés
260membres sont necessaires et utiles et proufitables et biaux et
bons. Encor deffent la Bible que homme a qui on les a
coupés n’entre en l’eglise.
[65] Et la les nomme elle tres proprement,
ne je ne croy pas que Jhesu Crist eust membre qu’on ne
pouist nommer honnestement. Toy et tes complices aussy
265les nommés par leur seur non, lesquelz seur nons, par ce que
les propres nons sunt communs a diuerses choses, furent
trouués pour plus specifier ycelles. Et si ne parle pas Raison
de l’euure en laquelle est pollucion, mais nomme les membres
ad ce: et autres choses deputés, non pour tant ce ses nons
270desplaisent [fol. 187 b] a aucuns: ne desplaisent il a chascun.
Je dis cecy pour ce que dame Eloquance dit “tant soient
deshonnestes les parolles au jugement de toutes gens.” N’il
ne faut ja dire que bonne coustume defent d’en parler proprement.
Se la coustume est bonne ou mauuaise, je me tais.
275Mais dire que fammes n’ont pas a coustume d’en parler ainsy
plainnement, dame Eloquance n’en aura pas les gans. Car ou
chapitre de Raison est dit:
“Se fammes nes nomment en France.
Ce n’est fors desacoustumance.”
[66]
280et dit “en France” notablement
[67] pour ce que son liure est en
[p. 63]
franssois; et si puet estre qu’ailleurs qu’an France fammes
les nomment proprement. Encor suis ie esbahis de la coustume.
Car fammes nomment bien leurs secrés membres par
leur propre non; ilz ne veulent nommer ceulx des hommes.
285Si ne voy je pas qu’il soient plus honnestes que ceulx des
hommes. VOIRE mais, ce dit dame Eloquance, il garda mal
les regles de rethorique, car il deust auoir resgardé a qui
Raison parloit;—c’elle eust parlé a ung lé, clerc, ou theologien,
aucune chose feust. Mais elle parloit a ung fol amoureux,
290qui par telz parolles puet estre esmeu a charnalité, ce que
ne seroit ung grant clerc ou theologien. Et semble par ses
paroles qu’estre clerc, philozophe, ou theologien et fol amoureux,
ne se sueffrent pas ensemble, ains sont incompatibles.
Helas! il en va bien autrement, et est alé et ira. Donc c’est
295dommages, comme de Dauid et Salemon et autres. Aucuns
docteurs meismes dient que Salemon fist les cantiques pour
l’amour de la fille Pharaon, si fust il tenu le plus sage qui fust
deuant luy ne de son tamps. Brief, on y ameneroit plus de
mil exemples de gens qui furent clers et folz amoureux. Car
300il s’antresueffrent auxi bien ensemble qu’estre clerc et cheualereux
comme furent Pompee, Julius Cesar, Cipion, Tulle et
autres. Mais je croy pour ce que cil qui telle plaidoierie a
compilee est clerc, philozophe, et theologien sans estre fol
amoureux, qu’i[l] cuide qu’ausy soit il des autres. Et n’est
305il pas possible que il meismes ou tamps a venir soit fol amoureux?
Par dieu si est; si n’en seroit il ja moins clerc, au moins
au commansement de la fole amour. Aussy ne s’esmeut pas
ung homme a folement amer pour nommer deux ou trois
membres secrés, de par dieu, puis qu’il les fault ainssy nommer.
310Quant Raison les nomme elle presche au fol amoureux
qu’il s’ostast [fol. 187 vo. a] de la fole amour. Et en parlant
de diuerses choses vint a propos de parler des secrés membres.
Vrayement s’il eust tousiours ainsy esté auccupé,
Oyseuse ne luy eust ja ouuert l’uis du Vergier. Encore nonobstant
315qu’il fust desja fol amoureux, le fist Raison esmouuoir
de s’en oster, comme le dieu d’Amours luy reproche.
[68] Et que
maistre Jehan de Meung ou chapistre de Raison ne descendi
pas a parler des secrés membres pour affeccion qu’il y eust
d’en parler nuement et baudement, mais pour ce qu’il
320vint a propos et pour monstrer la folie a ceulx qui dient qu’il
n’est licite d’en parler en nul cas par propres nons, appert
[p. 64]
par ce que ailleurs, ou il parle de l’euure de nature, ne le
nomme il pas par propre non comme ou chapistre d’Ami et de
la Vielle, esquelz il nomme le “jeu d’amours,”
[69] la “besongne
325d’amours,”
[70] et
“ce tripot:”
[71] si ne fault ja dire qu’il garda mal
les regles de rethorique, car il monstre euidement qu’il les
auoit naturelement et par estude. J’ose dire que qui le dit
[72]
et entent, il entendra auec maistre Jehan de Meung, ne deuoir
autremant parler qu’il parla. Et quant dame Eloquance dit
330qu’il atribue a nature parler de dieu, je dy qu’elle le puet et
doit faire. Et que la chamberiere peut bien parler a son
maistre; et pareillement Saint Augustin (ou liure de seul parlers,
la ou il fait l’ame deuote demander a la terre et aux
autres elemans, c’ilz estoient son dieu et qu’il respondent que
335non, et qu’elle la quiere plus hault) dit aprés que les responces
de choses sont la testacion de dieu.
[73] Aussy veult monstrer
Meung qu’il estoit naturel et crestien en parlant de nature, et
sy estoit poete comme j’ay dit, pourquoy li [p]laissoit de tout
parler par ficcion. VOIRE-MAIS, FAIT DAME ELOQUANCE:
340“Ce fol amoureux fait dire a Raison ce que par
auant Cupido deffent et puis fait une meniere de se reprandre.”
“O! dya, fait elle, ce ne fu pas ung meisme aucteur, mais cil
sur le commensement duquel cestuy Meung edifia son ouuraige:
les fondemans estoient bons et nes et cestuy y fist ung
345fo[r]millon de fange.”
CERTES VESCY TROP BIEN DIT! a quel fin est ce,
je luy pry, que Cupido baille du bouton [fol. 187 vo. b] c’est a
dire, qu’il amengne a execucion fole amoureusse? Et veuci
trop contradiccion, qu’il blasme Raison qui chastie l’Amant
350d’estre fol amoureux, et loue Cupido qui ensaingne comment
on en venra a chief. MAIS TU NE PEUS TAIRE, se dis
tu de ce que Raison dit, que en la guerre amoureuse, mieulx
vault decepuoir que deceus estre
[74]; et argues donc, s’ensuit il,
que tous deux sont bons, qui ne puet estre par mon serment.
355Se tu te fusses deportee d’escripre cest argument ce fust ton
honneur, il n’est pas a mettre en escript; nom, c’est pour les
enfans d’escole enpennee et defant d’autres, quant ilz sont
plusseurs, a arguer sur une mesme proposicion. Et ne dit pas
Jhesucrist que mieux fust a Judas s’il n’eust onques esté,
360qu’auoir [fait] trahison [a son] maistre? Il s’en suyroit par
ton argument que tous deux fussent bons. L’en ne doit pas
prendre ainssy les mos a la letre, mais selons les mos precedans
[p. 65]
et l’entendement de l’aucteur. Le ver sans
[75] moyen precedant
ces quatre que tu as allegués, est:
365“Mais se sont li moins deceü.”
[76]
Je croy que ce n’est pas a dire que bon soit deceuoir.
En oultre je dy qu’il ne vaulroit mieux, c’est a dire, qu’il me
greu[er]oit moins faire samblant de toy amer pour moy aasier
de ton corps qu’il ne feroit pour celle meisme fin que j’en
370fuisse fol amoureux pour quoy j’en perdisse mon estude, sans,
tamps, chastel, corps, ame, los, comme dit est
[77]. Car tous les
maux qui s’ensuiuent par le premier cas s’ensuyent par le
second, mais non pas tous ceulx qui s’ensuiuent par le second
s’ensuyent par le premier. Toutevoies tien je que ces quatre
375vers: “car adés vault il mieux, biau mestre,” etc. et aucuns
autres sont adioustés; donc ceux qui ce sont m’esprannent
trop. Car je ne voy pas c’on y peust adiouster n’y oster sans
empirer.
OR ALONS OULTRE. Quelle deshonnesteté a il, se dit
380dame Eloquence et toy aussy, en ce chapistre de Vielle, qu’i
peut on noter fors toute laidure, et pareillement, ou chapistre
de Jalousie, et voulroies [fol. 188 a] bien auoir trouué qui te
peust soulre par quoy ton entendement fust rasadiés! A
quoy peuent estre proufitables tant de parolles deshonnestes,
385qui en ce liure sont? Mais, sais tu, je ne condampne pas
l’aucteur en toutes pars dudit liure, comme se tu voulsisses
dire que tu le condampnes en ce en quoy tu le reprens, et te
fais juge aprés ce que tu as parlé par oppinion ou par
presumpcion oultrageuse. O tres fole oultrecuidance! O parolle
390trop tost yssue et sans auis de bouche de famme, qui condampne
homme de si hault entendement, de si feruant estude,
qui, a si grant labeur et meme deliberacion, a fait si tres noble
liure comme celluy de la Rose, qui passe aussy tous autres qui
oncques fussent en langage ou il escript son liure, duquel, quant
395tu l’aras leu cent fois, se tu entens la greigneur partie, tu
n’employeras onques mieulx temps ne ton entendement. Vrayement
celuy qui a compillee la plaidoierie dame Eloquance, a
esté plus prenant et gracieux que tu n’as. Car il dit a la fin
du plaidoyé qu’il n’oÿ point de sentence rendre. Mais quoy!
400selonc ce que dit Terence: veritey engendra hayne, et flaterie,
amis;
[78] je me doubte pour ce qu’il dit verité que tu le vuelles
mordre. Mais je te conseille que tu gardes tes dens. Je
[p. 66]
respons a dame Eloquance et a toy par ung meisme moyen, et
dy que maistre Jehan de Meung en son liure introduisy
405personnaiges, et fait chascun personnaige parler selonc qui luy
appartient, c’est assauoir, le Jaloux comme Jaloux, la Vielle
comme la Vielle, et pareillement des autres. Et est trop mal
pris de dire que l’aucteur tiengne les maulx estre en famme
que le Jalous, en faisant personnaige, propose;—non fait,
410certes, mais il recite ce que tous les jours ung jaloux dit de
toutes fammes pour monstrer et corrigier la tresgrant
desraisonnableté et passion desordenee, qui est en homme jaloux.
Et la cause pourquoy ung jaloux dit, c’est a dire, que le muer
[read muet] a dire tant de maulx de toutes fammes, et non pas
415seulement de la sienne, c’est a mon auis que regulierement
ung chascun homme marié, auant qu’il soit jaloux, cuide
auoir la milleur [fol. 188 b] famme, ou au moins auxi bonne
comme il en soit point, et vient ceste cuidance, comme je
tieng, partie pour l’amour qu’il a a elle—et chose amee n’est
420pas de legier mescrue, laquelle amour vient pour ce que la
famme est sienne, et nos choses nous samblent plus belles et
meilleurs que les estranges—partie aussy pour ce que famme
en la presence de son mary se maintient le plus bel et simplement
qu’elle peut; supposé c’en son
[79] absence elle se tiengne
425baudement, et pour ce, comme dit Saint Jherome en une
sienne epistre, ung chascun seut sauoir le darrenier les maulx
de son ostel.
[80] Je croy bien qu’il y a d’autres raisons assés.
Mais toutevoyes quelque raison qu’il y ait, experience monstre
ce que j’ay deuant dit, c’est assauoir, que l’omme auant qu’il
430soit jaloux, [croit] sa famme la meilleur ou auxi bonne comme
il en soit point, mesmement quant a chasteté, et c’est bien fait
d’ainsy cuidier en marraige parmy la moderacion terencienne,
[81]
c’est assauoir sans riens trop, car autrement n’y auroit paix
entre gens mariés, et fut le moyen par quoy Aspasia mist
435accort entre Xenophon et sa famme, comme recite Tuelle en
sa rethorique.
[82] Pour ce donc, quant jalousie surmeut a ung
mary et souspessonne mal en celle qu’il tenoit parauant pour
si bonne que maleur n’y suppose qu’elle n’y ait coulpe comme
il auient bien souuent, mannuement celle furent [read fureur]
440et passion desordenee de jalousie, qui propremant est appellee
mal felon ... dit il que toutes sont teles. Et c’est ce que dit
Aristote en sa rethorique
[83] que qui a ung mauuais voisin, il
[p. 67]
cuide que tous les autres soient telz. Ung cheualier a renon
d’estre le plus fort, le plus appert, le plus hardy, et le mieux
445auisé en armes d’ung royaume, et pour tel le tiengne chascun;
et il vient cheualier estrangier, qui le desconfesse cheualereusement;
on tenroit qu’il n’est autre cheualier d’icelluy royaume
que l’estrangier n’eust desconfit. Et pareillement juge ung
jaloux sur toutes fammes quant il tient la sienne pour abatue—
450en especial ceulx qui plus ont cuidé et tenu leurs fammes
bonnes et chastes, auant que jalousie y suruenist. Or aux
similitudes dame Eloquance. Se ung se nomme aduersaries
du [fol. 188 vo. a] Roy de France, ce dit dame Eloquance, et
soubz ce nom il li fait guerre; se en la personne d’ung sarrazin
455ung homme seme erreurs en la foy, en sera il excusé? Et
d’autres pareilles, qui tant soit pou ne sont a propos. Je li
demande pourtant, se Saluste recite la coniuracion de Catiline
encontre la chose publique de Ronme, en est il pour ce coulpable?
Pourtant, se Aristote recite les oppinions des anciens
460philozophes contenant erreurs en philozophie, est il semeur
d’erreurs en icelle? Pourtant, se la sainte escripture recite les
abominnables pechés de Soudome et Gomorre, enorte elle
yceulx ensuir? Quant tu vas au sermon, n’ois tu pas aux
prescheurs respondre
[84] les vices que tous les jours font hommes
465et fammes, affin qu’ilz aillent le droit chemin? En bonne
foy, damoiselle, si fait; on doit rementeuoir le pié de quoy on
cloche pour plus droit aler. HA! DAME CHASTETÉ, est ce
le louyer que vous voulés rendre a maistre Jehan de Meung,
qui tant vous a prisee et toutes autres vertus et blasmés tous
470vices comme entendement humain le puet concepuoir? Voire,
comme entendement humain le puet concepuoir, non [read
n’en] vous soubzriés
[85] ja. Je dy que qui bien lit se liure, et
souuent pour le mieux entendre, il y trouuera ensaignemans
pour fouir tous vices et ensuir toutes vertus. Et ne dit il pas
475en chapistre du Jaloux que:
“Nul qui viue chastement
Ne peut venir a dampnement?”
[86]
Et ou chapistre de Raison:
“Celuy, qui va de ly querant,
480Sces tu qu’il se fait? Il se rent,
[p. 68]
Commes serfs et chetif et nices
Du prince de trestous les vices;
Et que c’est de tous maulx la racine,
Si comme Tulle le determine.”
[87]
485“Jeunesce met hommes es folies,
Es bobans, et es ribaudises,
Es luxures et es oultraiges.”
[88]
Et pour plus blasmer vices dit que li mauuais ne sont pas
homme. Et, ou chapistre du Jaloux, dit que tous les vices
490firent faillir [sic] poureté d’enfer pour venir en terre.
[89] Et de
Honte dit qu’elle refrene et dompte.
[90] Encor parle il plus
contre les hommes que contre les fammes. Ne reprant il, ou
chapistre de Nature, vint et six vices dont hommes est enthechiés?
Et en tant d’autres lieux, que je trespasse, que
495c’est sans nombre. Ou chapistre de Nature [dit] que clers
abandonnés a vices doiuent estre plus pugnis que gens lais et
simples,
[91] et que gentillesce gist en vertus; entre lesquelz
vertus, il met dames honnorer et damoiselles.
[92]
Par dieu [fol. 188 vo. b] ce n’est pas blasme[r] tout le
500sexe femenin. Je dy cecy contre ton excusacion mise es
darreniers mos de ton epistre. Saint Ambroise, en ung sien
sermon, (le) blasme plus le sexe femenin, car il dit que c’est
ung sexe usagié a deceuoir. Vraiement aussy fais tu;—tu
blasmes plus que Meung, quant tu dis que s’on lisoit le liure
505de la Rose deuant les roynes, princesses et autres grans dames,
ilz leur conuenroit couurir leur face de honte rougie. Car
pourquoy rougiront ilz?
[93] Il samble qu’ilz se sentiroyent
coulpables des vices que le Jaloux recite de famme. N’IL NE
BLASME pas religion, comme luy met sus dame Eloquance.
510Il est bien vray qu’il dit que ypocrisie
trahist mainte region Par habit de religion:
[94]
il ne dit pas par religion, mais par l’abbit de religion. Car
comme il dit:
“Qui de la toison dam Belin,
515En lieu de mantel sebelin,
Sire Ysangrin affubleroit”
[95] etc.
Et c’est ce que dame Eloquance et toy aués dit par autres mos,
[p. 69]
c’est assauoir, de mesler miel auec venin pour plus nuyre.
Et quant dame Eloquance dit qu’il dit que jeunes gens ne
520sont point estallés en religion, je dy que quant ung jeune
homme entre en religion par jeunesce et non pas par deuocion,
qu’il n’est pas fermes en icelle. Et c’est ce que dit maistre
Jehan de Meung ou chapistre de la Vielle; et veés cy les
propres parolles:
525“Aussy vous dy [je] que li hom,
Quant il entre en religion
Et vient aprés qu’il s’en repent,
Par pou que de deuil ne se pent.”
[96]
Et ainsy appert qui presuppose qu’i parle d’ome qui se repent
530d’estre entré en religion, comme il auient souuent. Lors dit
il aprés que:
“Ja si gran solers n’aura
Ne ja si faire ne saura
Grant chaperon, ne grant aulmuce,
535Que nature ou cuer ne se muce”
[97]
etc. Et ung pou aprés dit:
“Ainssy est il, biaux filz, par m’ame
De tout homme et de toute famme
Quant a naturel apetit,”
[98]
540etc. Il est certaing que naturel apetit d’omme n’est pas de
soy obligier a ne mengier jamais de char, ou estre chaste ou
poure toute sa vie, ou soy tenir [fol. 189 a] tousjours a une
famme, ne pareillement d’une famme a se tenir tousiours a
ung homme, comme propose mesmes dame Eloquance.
545Nostre fragilité est encline aux vices. Veult elle pour ce
louer les vices? Nannil. Aussy, se maistre Jehan de Meung
dit que naturel appetit n’est pas a religion mais au contraire,
ne vuelt il pas par ce blasmer religion et louer son contraire?
MAIS TU ME DIRAS a cecy, que je recite les bonnes paroles
550et non les mauuaises, lesquelles esmeuent a lubricité et
ensaingnent a prendre le chastel Jalousie. Et dame Eloquance
dit qu’il veult bouter hors de chasteté
[99] toutes fammes. Je
respons et te dy qu’en toutes manieres de guerre c’est plus
grant auentaige d’estre deffendeur qu’asaillant, mais c’on en
[p. 70]
555soit par auant auisé. Et presupposé, se Jalousie a fait faire
ung fort chastel et y a mis bonnes gardes pour le garder, et ce
chastel a esté pris par une certaingne maniere d’assault, se
maistre Jehan de Meung a escripte la maniere comment il fu
pris, ne fait il plus grant auentaige aux gardes du chastel de
560leur auoir enseingné par ou il fu pris, pour eulx en garder
dorenauent pour estouper le trou par ou ce fu, ou y mettre
meilleurs gardes qu’il ne fait a ceulx qui le vouldroient
assaillir? Par dieu, si fait! presupposey ce que j’ay dit auant,
que c’est auantaige que d’estre deffendeur et meismement
565qu’il escript la maniere du prendre en langaige commun a
hommes et fammes, jeunes et vielz, c’est assauoir, en franssois.
OUIDE, quant il escript l’Art d’Amours, il escript en
latin lequel n’entendent fammes; et ne le bailla qu’aux assaillans
pour aprandre a asaillir le chastel—c’estoit la fin de
570son liure sans parler par personnaiges. Mais il, comme Ouide,
bailla tous ses ansaingnemans. Pour ce, moyennant la tres
enorme jalousie des maris Rommains, fut il exillié—que ay je
dit moiennant—certainnement ce fu commensement, moyen,
et fin pourquoy il fu exillié, si le fu que la [fol. 189 b]
580Jalousie tresenorme et felonne des maris Rommains....
Comme, j’ay oy dire a ceulx qui ont esté par pays, la
femme du moins jaloux du pays d’Ytalie et de Rommenie est
plus estroit tenue que la famme du plus jaloux de France. Et
pour ce, s’Ouide fu exillié par jalousie, ce fust
[100] comme ung
585homme pour escripre contre la foy. Si se rapelle ne sera point
exillié, mais son liure sera ars. Et le liure pour lequel Ouide
fu exillié dure, dura, et a duré en toute crestienté. Et si se
rappella aussy Ouide en faisant le liure de Remede d’Amours.
Vraiement je n’entens point comment cest exillement se
590soustiengne par raison. Je dy que si un liure est cause
d’exillier son aucteur, le liure doit estre premierement exillié.
Mais a propos de ce que dit dame Eloquance theologienne,
qu’un vin qui ne nuyra a ung sain, fera fors du sens ung qui
tremblera fieures. Pareillement di je qu’un regart fait par
595la fourme
[101] ou la famme d’ung Rommain ou Ytalyen donra
occasion au mary, comme j’ay oy dire, de l’empoisonner et
ainssy le murdrier mauuaisement, la ou ung baisier en
France ne donroit pas occasion de tenser sa famme ou au
mains la ferir. Si ne fault ja dire que maistre Jehan de
600Meung ne mist pas tant seulement en son liure l’Art d’Amours
[p. 71]
que Ouide fist, mais de biaucop d’autres aucteurs, car, de tant
comme il recite diuerses manieres d’assaillir, de tant aduise il
plus les garder du chastel pour eulx en deffendre, et a celle
fin le fist il. En verité, je cognois homme fol amoureux
605lequel pour soy oster de fole amour a emprunté de moy le
Rommant de la Rose, et luy ay oy jurer par sa foy que c’est la
chose qui plus li a aidié a s’en oster. Je di cecy pour ce que
tu quiers: “Quans en sont deuenus hermites ou entrés en
religion?” et “qui print grant paine pour noyant?”
610ENCORE QUI PLUS EST. La Vielle que dame Eloquance
et toy blasmés tant, auant qu’elle presche a Bel
Aqueil, dit en protestant:
“Je vous dy bien auant le cop
Ne vous vueil pas en amour mettre
620[fol. 189 vo. a]
Mais soubz
[102] en voulés entremettre,
Je vous mostreray voulantiers
Et les chemins et les santiers
Par ou je deusse estre allee,”
[103]
etc. Et aprés dit expressement a Bell Aqueil, que ce qu’elle
625luy presche c’est affin qu’il n’y soit deceus:
[104]
“Et qu’il est fol
[105] certainnement
Qui pour jurer croit nul amant;”
[106]
et s’il y a paroles qui samblent plus baudes ou plus diffamans
le sexe feminin, il recite les aucteurs qui dient ycelles, car,
630comme il dit, il n’y fait riens fors reciter, si me semble c’on
deust premierement blasmer les aucteurs que les reciteurs
d’iceulx comme j’ay desja dit. Mais tu me diras: pourquoy
les recitet il? Je di qu’il le faisoit pour plus ansaingnier les
portiers et a garder mieulx le chastel, et aussy qu’i
[107] sont a
635propos, car son propos fu de poursuir la matiere commensee
et touchee par Guillaume de Lorris, et en ce faisant parler
de toutes choses selonc leur estat au proufit de creature humaine,
tant a l’ame comme au corps. Pour ce parle il de
Paradis et des vertus pour les suir, et des vices pour les fouir.
640Et de tant comme il parle de vices et de vertus d’enfer et
[p. 72]
paradis pres a pres l’ung de l’autre, monstre il plus la beauté
des uns et la laidure des autres. Et ce qu’il dit ou chapistre
de Jalousie et de la Vielle et en autres lieux touchans le fait
d’amours, il le fist en poursuyant l’euure commencee par
645Guillaume de Lorris. Ne Genius ne permet pas paradis aux
folz amoureulx, comme li met sus dame Eloquance, car il
parle de ceulx qui exercitent bonnement les œuures de nature.
Ce n’est pas tout ung, exerciter les euures de nature bonnement
et estre fol amoureulx; ne Nature ne Genius n’enortent pas
650c’on soit fol amoureux, mais ilz enortent suyure les euures de
nature, lesquelz sont licites aux fins auxquelz ilz les enortent
d’exerciter, c’est assauoir, pour continuer l’espesse humaine,
et pour delaisser l’euure contraire a nature, qui est abhominnable
a plus exprimer. Et combien que je n’ose ne vueil dire
655que exercer l’euure de nature a ses deux fins dessusdictes, tant
seulement hors de marraige, ne soit pas pechié, toutevois
[fol. 189 vo. b] ose je dire qu’il est permis icelle exercer a ses
deux fins en l’estat de marraige, et c’est ce que dit maistre
Jehan de Meung ou chapistre de la Vielle. Pour ce fist on les
660mariaiges
Par les conseilz des hommes saiges,
[108]
* * * * * * * * * * * * * * * * * * *
Pour oster dissolucions
Et contemps et occisions,
Et pour aidier les norretures,
665Dont il ont ensemble les cures.
[109]
Par dieu ce n’est pas blasmer mariaige, di ie, qu’il fut ordenés
par sages gens, mais je te diray que Saint Augustin en dit en
son liure des confessions: “bonne chose est a homme ne
toucher famme,” et “qui est sans famme espousee, il panse
670aux choses qui sont de dieu pour luy plaire, mais cil qui est
joint par marraige panse les choses qui sont du monde pour
plaire a sa famme.”
[110] Je te ramentoy cecy et a ceulx qui voullent
aprandre et corrigier par leur langaige sans raison aucteur,
lequel soit notable et non repris parauant, combien qu’il puet
675estre qu’il saiche mieulx que le ramenteueur. Mais il n’est si
mauuais sourt que cil qui ne vuelt oyr. IL SAMBLE DONQUES
que se l’euure de nature est licite an aucun cas, qu’elle
n’est pas mauuaise de soy, mais par aucun consequant; se
Genius ammonneste a suyre les euures de nature meismemant
680a ces deux fins que j’ay dites, et qu’il est licite a les exerciter
au moins par mariaige en permettant paradis a ceulx qui les
[p. 73]
suyront bonnemant, mais qu’ilz se gardent bien des vices.
Car ce sont ses propres mos; je n’y voy point de mesprison.
ET POUR CE que chascun n’a pas leu le liure de la Rose, je
685reciteray ycy les propres mos de Genius, et me soit pardonné
se je suis trop prolix en recitant ores et autresffois les propres
mos du liure. Deux causes le me font faire, l’une ci est affin
c’on ne cuide que je die chose qui ne soit ou liure, pour ce que
mains [fol. 190 a] sont qui ne le lisent point, comme j’ay dit.
690L’autre raison est que je ne pouroye en prose aussi briefment
reciter une chose, comme maistre Jehan de Meung la dit en
rime leonine. Veés cy doncques les mos de Genius:
“Et qui de bien amer se painne
Sans nulle pensee villainne
695Et qui loyaulment s’i trauaille
Floris en paradis s’en aille;
Mais qu’il se face bien confes,
J’en praing sur moy trestout son fes
De tel pouoir comme jel puis prendre.”
[111]
700Et pour recapituler son sermon dit:
“Pansés de nature honorer,
Serués la (bien) par bien labourer.
[112]
* * * * * * * * * * * * * * * * *
Et se de l’autruy riens aués
Rendés le, se vous le saués
705Et se vous rendre ne poués
Les biens despendus ou joués,
Aiés en bonne voulenté
Quant des biens aurés a planté.
D’occision nul ne s’aprouche,
710Nettes aiés les mains et bouche,
Soyés loyal, soiés piteux,
Lors yras ou champ delicteux
Par trace l’aignelet suyant”
[113]
et cetera. C’est en brief la recapitulacion de tout le sermon
715Genius et son entencion des choses qu’il a deuant dictes. Et
puis que c’est son entencion, quant tu l’as leu tout au long et
ceulx qui le reprennent, que n’y prenés vous garde? Si ne me
puis assés esmerueiller comme personne l’ose blasmer—je ne
dy pas seulement li, mais ceulx qui prisent et aiment son liure
720de la Rose. Quant a moy, en bonne verité je desire plus estre
des blasmés et repris por protisier [read prisier?] et amer le
[p. 74]
liure de la Rose, que je ne fais estre soubtilz blasmeurs et
repreneurs d’icelluy. Et sachent tuit cil qui le reprennent,
qu’il reste encore ung mille, que ne ploienent [read ploieront]
725onques le genoul deuant Baal, qui sont tous prests de le deffendre.
S’il eust esté du tamps d’entre vous qui le blasmés, je
deisse que vous eussiés hayne particulere a sa personne, mais
vous ne le veïstes onques. Si ne puis ymaginer dont
ce vient, si non pour la tres eleuee haultesse du liure,
730plus hable a recepuoir les vens de souffles enuieux.
Ta ygnorance n’en est point cause en telz y a; celle
ne venoit [fol. 190 b] toutevoies par pou lire le dit
liure de la Rose; ou, par auenture, faignés vous blasmer
le dit liure pour cause de l’essaucer par esmouuoir les escoutans
735les paroles a le lire? Et vous saués bien que qui le lira, il
trouuera le contraire de vos escripts et tous ensaignemans
tres notables, et en ce cas les repreneurs deuroient estre tenus
assés pour excusés. Car la fin et leur entencion seroit bonne,
quelque moyen qu’il y eust. Si te prie, femme de grant engin,
740que tu gardes l’onneur que tu as pour la hautesse de ton
entendement et langaige bien ordené, et que s’on t’a loué pour
ce que tu as tirey d’un voulet pardessus les tours de Nostre
Dame, ne t’essayes pourtant a ferir la lune d’un bouion
pesant; garde que tu ne rassambles le corbel, lequel pour ce
745qu’on loua son chant se prist a chanter plus fort qu’il n’auoit
a coustume et laissa cheoir sa bouchie; et pour toutes solucions
prie a tous et toutes quil (read s’ilz) le veulent reprendre
ou blasmer en quelque part que ce soit qu’i le lisent auant
quatre fois du moins et a loisir pour mieulx l’entendre. Et je
750pren leur lecture bien entendue pour solucion, et c’ilz ne veulent
riens faire, qu’ilz aduisent la fin a laquelle il escript son
liure, et qu’ilz lisent son excusacion sans estre affecté au
contraire, et je ne doubte pas qu’ilz ne le tiengnent pour excusé,
car il n’y fault aultre excusacion ne responce que celle qu’i
755met droitement deuant le commencement de l’assault. Car
la seulement parle il comme aucteur et la comme aucteur dit:
“Que nul ne doit famme despire,
Si n’a cuer des mauvais le pire.”
[114]
“Et si fait protestacion
760Que ce n’est pas s’entencion
De parler contre homme vivant,
Sainte religion suiant
Or qui vie usë en bonne euure
[p. 75]
De quelque robe qu’il se cueure.”
[115]
765Et
Que s’il y a paroles
Trop baudes ou trop foles,
Que ce requeroit sa matiere
Qui vers telz parolles le tire
770par les propretés de soy, et qu’il n’y fait riens fors reciter.
Et generalment dit qu’il ne dist onques riens qui ne fust pour
ensaignement, c’est assauoir, pour ung chascun auoir congnoissance
de luy meismes et d’autres. Et finablement,
[fol. 190 vo. a]
775“Que c’il y a parole
Que sainte esglise tiengne a fole”
[116]
qu’il est tout prest de l’amender.
Si m’esbahis par trop, quant il metoit ce los en la bouche
dame Eloquance theologienne, et de tous ceulx de la court de
780sainte crestienté, d’auiser c’il y auoit en son liure que
reprendre, qu’il ont ainssy laissié dormir par l’espasse de cent
ans ou plus; et tant qu’il est maintenant publié par toute
crestienté et, qui plus est, translaté en estranges langaiges.
Mais je croy qu’ilz t’atendoient, toy et les autres qui le veulent
785reprandre. Car je say de vray que par deuant n’a esté
personne qui l’eust seu reprandre. Si sont piessa les quatres
ordres mandiens, entre lesquelz a eu de tres nobles clers,
lesquelz n’auoient pas petite auctorité enuers le pape et les
princes et princesses temporelz et lesquelx il ne flata mie
790grandement. Or resgardés quel prometeur que de Conscience,
qui laisse dormir une cause l’espace de cent ans;—par le corps
dieu! on ne fait point d’onneur a toute celle court sainte de
Crestienté de li mettre asseure telle negligence, et en especial
a dame Eloquance theologienne, qui propose mal son fait
795principal, et emprant mauuaise querelle en la faisant maintenir
et parler par la maniere que les maistres de rethorique
ont baillié en leurs liures, ce qui n’apartient a dame Eloquance
theologienne, comme dit Saint Augustin ou quart de doctrine
crestienne.
[117] En bonne foy on li vouloit faire emprandre dure
800prouince a dame Eloquance, si ne li pouoit on trop bailler
[p. 76]
d’ayde. Mais je say bien leur responce. Ilz diront qu’ilz n’y
panserent onques. Toutevoyes pri je a toute celle benoite
court qu’ilz pardonnent a celuy qui ce leur a imposé. Car je
say certainnement qu’il tent a bonne fin, c’est assauoir, celle
805meismes a quoy tend maistre Jehan de Meung. Vray est que
je ne le pouroye excuser du tout, qu’i n’y ait mesprenture en
les imputer si negligens et vouloir faire emprandre mauuaise
querelle, mais non pas par malice. Car je tiens que en li n’an
a point, ou si pou comme en homme viuant. Mais par ce tant
810seulement qu’il a pou veu ce noble liure de la Rose, [ne]
cointement ce qu’il en a veu. Veulliés luy donques pardonner,
vous, dame Justice [fol. 190 vo. b] canonique, Raison, Eloquance,
Conscience, et les autres barons de la court sainte
Crestienté et luy commender, en penitance de ce forfait, que
815il lise tout au lonc et au ley, et a loisir, ce tres noble liure de la
Rose, trois fois en l’onneur de celle benoite Trinitey en unité,
laquelle nous ottroit a tous toison si blanche que nous puissiens,
auec le dit de Meung, brouter de[s] herbes qui sont ou
parc a l’aignelet saillant. Amen.
[p. 77]XII.
GERSON’S REPLY TO PIERRE COL.
JOANNIS GERSONII
Doctoris & Cancellarii Parisiensis
RESPONSIO[118]
AD SCRIPTA
Cujusdam errantis.
DE
INNOCENTIA
PUERILI.
Ad MSS. Codd. Vict. 137.
Defendit iste Tractatus quod dixerat in præcedente: de picturis lascivis
pueris non exhibendis, & de Libris impudicis ab iis non legendis.
Talia de me scribis, Vir Erudite & Frater in Christi
charitate Dilectissime, qualia mihi nequaquàm usurpo: neque
enim me tali dignor honore; horreo potiùs hanc laudem, dùm
inter nugas, immò (parce Frater vera dicenti) inter insanias
5falsas memorata miscetur. Fit nihilominùs, ut vel in mediis
occupationibus tibi rescribere non differat tùm zelus meus
redamare debens atque morem gerere tibi, qui me diligere,
non dico simulas (seorsùm à te hæc fictio) sed verè demonstras
tùm prætereà spes, qua confido, te ei fidem non denegaturum,
10quem tantoperè commendaveris; tùm denique professio mea
debens erroribus & vitiis quantùm valet obniti, quæ jam effecit
ut sub involucro quodam nuper ediderim Gallico sermone,
quantùm diei cursus tulit, Orationem non contra insanum
amatorem; sed adversùs scripta verba, & picturas, ad illicitos
15amores amariores morte sollicitantes, stimulantes, & urgentes.
Porrò neque repetiturus sum, neque in Latinum versurus
eloquium, ea quæ ibidem disputata legisti. Illìc peroratum
satis arbitror, scripta verba, & picturas provocatrices libidinosæ
lasciviæ penitùs execrandas esse, & à Republica Christianæ
20Religionis exulandas: & hoc quidem apud omnem intellectum,
[p. 78]
qui & Catholica Fide illustratus est, & nequaquàm vitiosa
passione corruptus; Apud illos verò qualis Oratio persuadere
sperabitur, qui suaderi nolunt, quibus suus error placet, quos
excæcavit malitia eorum, qui dati sunt in reprobum sensum,
25qui avertunt oculos suos ne videant in finem, qui denique illud
severissimum maledictionis genus incurrunt, ut mala consuetudine
delectentur, ut blandiatur mentiaturque iniquitas
sibi. Inter quales te numerare nec debeo, Frater Charissime,
& ut nunquam debiturus sum supplex oro.
30Proposui autem decerpere aliqua eorum, quæ scriptum
tuum hesterno sero monstratum corrigenda, delendaque continet.
Quid dico aliqua? cùm fere omnia (tecum loquor
Frater) sint in hoc, vel in illo culpanda. Proptereà scriptum
illud mox ut ipsum receperis, si quid in me est consilii, flamma
35rapax absumet, aut laceratum minutatim perget in oblivionem
sempiternam. In primis tamen te tuosque similes admonitos
velim, ne sapientiorum actorum ignorantiam habere vos concludat
tanta hujus actoris, vix inter mediocres numerandi,
tanquam hyperpobilica admiratio, quem multi superant, quantùm
40Delphinis Balena Britannica major, & quantùm inter
virgulta cupressi. Tu verò tibi nunc attende, quale præcipitium
paraverit attentata tractatio materiæ Theologicæ.
Dicis itaque, quòd puer biennis, aut triennis sit in
statu innocentiæ. Hæc est hæresis Pelagii, quam asserens pertinaciter,
45hæreticus est censendus. Ea insuper multa quæ ad
dissolutionem indissolubilis rationis agitasti, plùs & plùs te
circumligant nodis ejusdem hæresis, exemplo avium laqueatorum,
viscove suo se volutantium: adeò anxium, noxiumque
est obniti veritati! Legatur non ego, sed Augustinus in De
50Nuptiis & Concupiscentia, præsertim in secundo Libro; videbitur
quod dico. Putasti tamen, ut arbitror, quod putare non
debueras, puerum ideò esse in statu innocentiæ, vel quia
ignorans est, vel peccati actualis nondum reus: sed originalem
corruptelam morbidæ concupiscentiæ advertere mens tua
55debuerat, quæ ab ea ut omnes pessundantur. Dicis id quod
te scripsisse miror, si non pudet & pœnitet te. Amator, inquis,
insanus solus benè judicat de hujusmodi vitiosa, immò furiosa
passione. Alienus verò ab ea (qualem me esse tu dicis, non
ego dico) eam non nisi in speculo & ænigmate recognoscit;
60quasi videlicet oporteat omnes qui de vitiis rectè incorruptèque
judicaturi sunt, ut eisdem priùs vitiis corrumpantur. Longè
aliter est. Nullus de vitiosis operibus fert judicium perversius,
quàm ipsi talium febrili ægritudine, aut lætali morbo corrupti,
& qui abominabiles facti sunt in studiis suis. Ps. xiii. i. Exemplum,
[p. 79]
65à sensualitate suppetunt multa. Malè verum examinat
omnis corruptus Judex, inquit Flaccus. Sed quod addis,
membra secreta mulierum sanctificata olim ex more fuisse,
nescio qualis te Biblia docuerit, nisi fortè tu aliam à nostra te
penes habueris. Aut si non movet te, seducitque illud Lucæ:
70II. 23. Omne masculinum adaperiens vulvam, Sanctum Domino
vocabitur. Quid, oro, Sanctum Domino vocabitur? Si siles,
Respondeo; primogenitus. Ceterum actor tuus, & penè Deus
tuus, plurima bona, inquis, scripsit, plurima valde suprà communem
Doctorum omnium intelligentiam, quorum lectio non
75nisi decies repetita cognoscitur. Quid si etiam mala plurima
nimis, & multò plùs plurima commiscuit bonis istis contraria?
Quid reliquum est dicere, nisi cum more insani amatoris insaniisse,
variasse, discordasse, & juxta Terentianum verbum,
voluisse cum ratione insanire. Proptereà opus illud Chaos
80informe rectè nominatur, & Babylonica confusio, & brodium
quoddam Alemanicum, & Protheus in omnes se formas mutans:
tale demum, cui dici possit illud pueris decantatum:
Convenit nulli qui secum dissidet ipse.
Sanè quod de Theologis introducitur, quos labi refers in
amorem quandoque insanum, quemadmodùm mihi ipsi comminaris,
85à quo malo me avertat non Cupido falsus, sed verus
dilectionis Deus. Istud positum mihi visum est magis ad
diffamationem Theologorum, quàm pertinenter ad rem; & ut
fortassis sub umbra culpæ majoris in Theologis, isti sua crimina
vel solarentur, vel absconderent, vel probarent: nam si Tullius
90cùm virum eloquentem describeret, dixit, esse eum virum
bonum dicendi peritum; multo ampliùs cùm Theologum
nomino, virum debeo intelligere bonum, sacris Literis eruditum.
Age rursùs si tuus actor non ex affectione inhonestè locutus est,
da rationem, quis eum impulerit ea introducere, ex quibus
95ratio tam obscœno illotoque sermone loqueretur. Ampliùs
verò culpatur actor tuus, non quòd introduxerit naturam de
Deo loquentem; sed quòd taliter loquentem de his mysteriis,
quæ sola revelatio gratuita & supernaturalis ministrarunt.
Et quia me in Opusculi mei impugnatione cùm insigni femina
100miscuisti, quæro, si virilis illa femina, cui tuus sermo dirigitur,
quamquam ita confuso ordine, ut nunc ab ea ad eloquentiam
Theologicam, nunc è converso raptim migret; si illa, inquam,
virago arguit erroneum hoc pro proverbio positum? Meliùs
est decipere quam decipi: nunquid non rectè redarguit. Ostendit
105evasionis tuæ tam anxia & ficta meditatio, quòd magno
[p. 80]
rationis aculeo urgebat te mulier, quando ad hoc confugisti, ut
diceres in hac parte Librum additione subdola deturpatum,
quòd qua ratione scire potueris, nec dicis, nec video. Illud
subinde hæc mulier prudenter attulit, quòd ad lecturam actoris
110tui erubescerent Reginæ, erubescerent ingenia benè moderata,
ingenuoque pudore prædita, quale tuum esse etiam scriptura
tua (velis, nolis) ostendunt: nihil enim ibi obscœnum loqui
potuit bona indoles tua. Nullum quippe consequens est, eas
personas taliter agentes, se proptereà de criminibus suspectas
115ostendere, immo verò si erubescunt, magis salva res est, ut
Terentianus sermo dicit.
Non attingam omnia, alioquin linea ferè quælibet eliminanda
occurreret; ut cùm dicis, non esse naturalem appetitum
hominis conjungi matrimonialiter solum virum cum muliere
120unica, & solam cum unico: hoc enim & falsum est, & uni ex
dictis tuis inconsonum, dùm genium naturæ Deum defendis;
quia, inquis, de sola matrimoniali copula loquebatur. Similiter
quale est illud, quòd turpitudinem actoris hac pictura
celare putaveris, quod malum docuit ut cognitum vitaretur,
125quòd prætereà unus tibi notus philocaptus, remedium sibi ex
hoc melleo toxico, velut theriacam de veneno confecerit.
Omnia quippe talia frivola sunt. Illud quoque parum Catholice
allegatum est, dixisse quosdam, Cantica Canticorum ob
laudem Filiæ Pharaonis edita: nam qui dixit irreligiosè mentitus
130est. Illud verò magis subdolum videtur, dùm contendendo
vis inducere recursum ad Librum esse faciendum. Non
habet Liber, inquis, per omnia, sicut sonat ejus impugnatio.
Nolo contra niti, malo dare victas manus, malo succumbere,
quàm tam improba contagiosaque lectio repetatur. Porrò
135finis scripti tui notat, illos curvasse genua coram Baal, à quibus
Liber iste spretus viluit. Dicam liberè quod sentio, ista introductio
vel depravat sententiam, & vitiosa est, vel tanquam
scandalosa, injuriosa & falsa, hæresimque sapiens in Fide &
moribus radenda est. Denique si seriò dictum est, tu
140nunquam præconiis tuis tantundem extollere parvitatem
meam potueris, quantùm vituperas, dùm confingit tua fortè
libertas mecum loquendi, ea me scripsisse, quæ scripsi, quatenùs
homines, quos scimus niti in vetitum, flamma major
exureret, animaretque ad lecturam Libri hujus repetendam,
145quasi videlicet professionem meam commutaverim in mendacium,
& sit Officium meum fictè agere in doctrina morum, &
mihi ipsi, more actoris tui, immò Christianæ Religioni dissidere,
corde insuper & corde loqui. Moriar priusquam ista unquam
fictione palliatus inveniar: vide potiùs ne actorem tuum iste
[p. 81]
150dolus infecerit. Dùm enim amoris carnalis inducit vituperia,
cujus laudes sæpiùs extollit, quidni secundùm tuam notitiam,
faciles ad illum animos proniores reddere studuerit? Quid
de protestatione illa actoris tui loquar, quam pro velamine
quodam suæ fœditati superinducere conatus est? Nihil, inquit,
155ipse de meo posui. Se ergo recitatorem, non actorem
profitetur. Quamobrem nolite, vos admiratores sui, laudem
ei tribuere si benè dixit; sicut non vult maledicta sua in probrum
ejus versa iri, si quædam arguenda transtulerit. Nolite
prætereà tanto contra nos odio excandescere, neque tam ampullosis
160verbis buccisque tumentibus in nos declamare, si
Liber iste pro sua parte culpatur; non enim personas, sed
scripta (quisquis illa confecerit) infamamus, nisi fortè ministrator
potionis toxicatæ, etiam ab alio compositæ, non inde culpa
carere judicandus æstimatur. Quale est iterùm, Deus optimè,
165protestari unum, & eodem contextu protestationi suæ obvium
iri. Istud certè non est excusare se, sed taliter agere, ut dicatur:
ex ore tuo te judico, serve nequam.—Matth. XIX, 22.
Tandem verò ego te nunquam, ô Christiana Curia, animo
læsi, neque verbo. Tu non omnia potes delicta corrigere,
170fateor. Alioquin quid divinæ justitiæ in futuro servaretur?
Sufficit in multis redargutio per Leges, & Edicta
communia, sicut contrà simoniam, furta, homicida, & adulteria;
ita contra hanc contagiosissimam malè loquendi, vel
scribendi licentiam, præsertim ubi publicus accusator
175invenitur nullus. Nihilominùs habitatores tuos Ecclesiasticos
multos, ego neque Libris multis Ovidii, neque super magicis
figmentis, neque nominatim super hoc Libro, & aliis conservatis
in multorum perniciem excusare propono.
Illos excuso, quos officium nullum ad damnandum constringebat,
180& qui pro sua parte verbo, vel scripto generaliter, aut
specialiter (ut ego nunc & multi pridem talia) reprobarunt.
Neque prætereundum censeo, quod scribunt Actus Apostolorum,
Act. XIX. 19, omnes conversos noviter ad Fidem, qui
fuerant curiosa sectati, combussisse Libros suos valoris denariorum
185quinquaginta millium. Ecce coram Deo, quia non
mentior. Et si quid in me est, cui fidem dare dignum ducis,
affirmo, si solus esset Liber actoris tui mihi proprius, valens
mille libras & ampliùs, ego priùs darem eum flammis rapacibus
exurendum, quàm venderem taliter publicandum. Vide
190quantùm afficiar, immò verò non afficiar, ipsum relegere, non
quidem ex ignorantia, sicut tu reputas, quamquàm in me
multa sit, sed pro mea & aliorum conscientia. Itaque memini,
me pridem gustasse jam ab adolescentia fontes illos omnes,
[p. 82]
aut ferè omnes à quibus actoris tui dicta, velut
195rivuli quidam traducti prodierunt; Boëtium, Ovidium,
Terentium, Juvenalem, Alanum, & de Sancto Amore,
Abelardum cum suo Heloyde, Marcianum Capellam,
& si qui sunt alii. Scito prætereà, quod codicillum
unum, cujus titulus est; Itinerarium mentis in Deum, à Domino
200Bonaventura conscriptum (quem uno die perlegi) ego toti
Libro tuo, immò & decem talibus in profunditate scientiæ
opponere non dubitaverim. Et eum ad intelligendum hunc
librum nos adeò brutos & hebetes esse dijudicas. Attamen
pro hac commonitione tua, ut relegam & sic intelligam, ego vicem
205reddo. Lege Frater, & iterùm relege quartum Librum De
Doctrina Christiana. Ille enim aliquantò plùs affert difficultatis,
quàm Liber tuus in vulgari. Animadvertes (crede mihi)
non esse factam injuriam tyrannicam eloquentiæ, si eam
Theologiæ sociaverimus. Pudebit te forsan audaciæ allegandi
210ea, quæ non plenè perspexeris. Augustinus planè tibi reclamat,
tùm expressissimis verbis idem quarto De Doctrina
Christiana: in ipso operis vestibulo, tùm factis operum suorum
tantis eloquentiæ viribus elaboratorum; quamquàm temperatâ
modestiâ locutus sum, si adverteris, dùm eloquentiam
215Theologicam mediocri sermone loquentem esse introduxi, curiositatem
quasi mihi jamjam opponendam vigilanter excludens.
Postremò cessent joci Frater optime, & melioris causæ
patrocinio dignissime. Taceat interim libido vel vincendi, vel
garriendi: veniamus ad rem seriam religiosamque. Assero
220tibi; si scirem Germanum meum composuisse talem Librum,
atque publicasse, pœnitere autem super hoc præmonitus &
animadversus sufficienter, finaliter recusasse; ego non plus
pro eo in hac impœnitentia mortuo, quàm pro damnato preces
offerrem Domino nostro Jesu Christo. In quo benè vale,
225tradens te deinceps salubrioribus, castioribusque studiis, neque
dans occasionem scandali simplicibus. Et si quid asperius
dictum fortassis offenderit, da veniam meæ fidei multùm de
te præsumenti, quia multùm diligenti. Denique totum tùm
veritatis Catholicæ zelo, tùm desiderio ad salutem tuam deputatum
230habe. Et oremus pro invicem ut salvemur.
[p. 83]XIII.
CHRISTINE’S REPLY TO PIERRE COL.
[fol. 93 a] A maistre Pierre Col, secretaire du roy nostre
sire.
Pour ce que entendement humain ne puet estre esleué
jusques a haultece de clere congnoiscence d’enterine verité
ate[i]ndre des choses occultes par l’offuscacion grose et terrestre
qui l’empesche et tolt vraye clarté, comment par oppinion
5plus que de certaine science determiner des choses ymaginees
plus voirsemblables—pour
cette cause souuentes fois sont
esmeues diverses questions mesmement entre les plus soubtilz
par opinions contraires, et chascun s’efforce de monstrer
par viue raison son opinion estre vraye; et que l’experience
10en soit manifeste est clere chose, ce pouons nos voir par nos
mesmes presentement; pour ce dis en parlant a toy, clerc
soubtil, a
qui aucune ignorance ne tolt vif sentement et
abilleté de langage a demonstrer de toy les choses oppinees,
vueil que tu saches, tout soient tes raisons, bien conduictes a
15la fin de ton entencion, contraires a la mienne oppinion, [qu’]
ycelles, non obstant la belle eloquence, ne meuuent en riens
mon corage ne troublent mon sentement au contraire de ce que
autrefois ay escript sus la matiere dont presentement et de
nouuel me veulx poindre et renouueller les aguillonnemens ja
20a moy lanciez par les escriptures d’aultres sollenelles
personnes sus la matiere(s) dont tu m’as enuoyé ta nouuelle
compilacion du Romant de la Rose. Et combien que occupee
soye autre part, ne mon entencion [fol. 93 vo. a] n’estoit de
25plus escripre sur ce, encore te respondray, en gros et rudement
selon mon usage, verité sans paliacion. Et comme je ne
sceusse suiure ton bel stile, supploier vueilles le deffault et
l’ignorance.
Tu m’escrips a ton comencement que, comme tu desirasses
30veoir de mes escriptures, te soit venu entre mains un certain
mien epistre adreçant a monseigneur le preuost de Lille,
laquelle se commence: “Reuerence et honneur,” etc. Si dis
tost apres qui ie m’efforce de reprendre ce treshault catholique,
diuin orateur, etc., maistre Jehan de Meung,
en liure de
35la Rose en aucunes particularitez, pour lequel louer
tu
n’oseroies ouurir la bouche ne que ton pié auancier a entrer
[p. 84]
en un abeisme. Mere dieu! arrestons
nous cy un pou. Est
il doncques pareil a Jhesucrist ou a la Vierge Marie, plus que
Saint Pol ou les docteurs de saintte eglise, qui dis que ne le
40pourroies souffisement louer pour y user tous tes membres se
tous estoient deuenus langues, etc.? Touteffois est il vray
(sauue ta reuerence) que trop extreme et excessiue louenge
donnee a creature fait a reprendre et tourne a blasme. Et
comme verité pure me contraigne a toy respondre ce que plus
45voulentiers tairoye, pour ce que la matiere n’est a ma plaisance,
le feray selon mon rude stile. Mais si
tu m’escrips que
ie te pardonne se tu parles a moy par “tu”, semblablement te
pry, comme ce soit le plus propice selon noz anciens, comme
50Premierement, tu proposes que sans raison je blasme ce
qui est dit ou dit Romans [folio 93 vo. b] de la Rose, ou chapistre
de Raison, la ou elle nomme les secrez membres d’omme
par leur droit nom, et relates ce que aultrefois ay respondu
ailleurs, que voirement crea dieu toutes choses bonnes, mais
55par
la pollucion du pechié de nos premiers parens deuint
homme immonde; et ay donné exemple de Lucifer, dont le
nom est bel et la personne horrible; et en concluant ay dit
que le nom ne fait pas la deshonnesteté de la chose, mais la
chose fait le nom deshonneste, et de cecy dire tu dis, que ie
60ressemble le pellican,
[119]
qui s’occist de son bec. Si fais ta
conclusion et dis apres, se la chose doncques fait le nom deshonneste,
quel nom ie puis baillier a la chose qui ne soit deshonneste?
Ad ce ie respondray (sans passer oultre) grossement,
car ie ne suis logicienne, ne (a vraye verité dire) n’est ia
65besoing telles persuasions. Sans faille ie confesse que ie ne
pourroye en nulle maniere parler de deshonnesteté de voulenté
corrompue ne afin d’elle, quelconques nom que ie lui
baillasse, ou fust aux secrez membres ou aultre chose deshonneste,
que le nom ne fust deshonneste. Et touteffois, se pour
70certain cas de maladie ou autre necessité il conuenoit declairier
ou les membres ou quoy que ce fust,
et i’en parloye en
maniere que on
entendist et non nommer par propre nom, je
ne parleroie point deshonnestement. La cause si est pour ce
que la fin pourquoy i’en parleroie ne seroit pas
deshonneste, et
75neantmoins se ie les nommoye par leur propre nom, et fust
ores a cause bonne, si parleroie ie deshonnestement, car la
[p. 85]
premiere entencion de la chose a ia fait le nom deshonneste,
dont s’ensuit vraye [fol. 94 a] ma premiere proposicion, que la
chose fait le nom deshonneste et non mie le nom la chose. Et
80a la question que tu me fais, se ie parloie des secrez membres
d’un petit enfant lequel est innocent, se ie les oseroie bien
nommer pour ce que il est sans polucion de pechié. Ainçois
se un enfant petit est ramené a autelle innocence et en
85aussi egal estat ne plus ne moins que estoit Adam quant dieu
l’ot créé? Se tu dis ouil, c’est faulx; car le petit enfant meurt
a douleur, ains
que il ait pechié; ce que n’eust point fait Adam
en l’estat de innocence, car de son pechié fut engendré la mort.
Se tu me dis
que non, doncques te dis ie vraye ma proposicion
90que tel honte nous est engendree par la polucion de noz
premiers parens. Et ce que tu dis que riens ne vault tant
repliquer du pechié originel, car il vint de la desobeissance;
je te confesse que de ce vint il. Mais tu me dis, se la pollucion
de noz premiers parens fait le nom deshonneste des secrez
95membres, doncques ce dis tu par plus forte raison, on ne
deuroit mie nommer yceulx noz premiers parens, car ce sont
ceulz qui pecherent et non pas les membres. Ad ce ie te
feray
pour response un gros argument, et vouldroye que bien le me
soluces. Pourquoy fut ce que tantost que noz premiers
100parens orent pechié, et congnoiscence orent de bien et de mal,
ilz mucierent incontinent leur secrez membres et se hontoierent,
touteuoies n’en auoient encore usé? Je te demande pourquoy
ilz ne couurirent leurs yeulx ou leur bouche, dont ilz
auoient pechié, et non pas les secrez membres? Et me
105semble que tres lors fut nee honte raisonnable, laquelle la
raison de ton maistre et toy et tes complices voulez chacier
et estirper. Si m’est auis que ie ne me suis point occise de
mon bec ainsi comme tu me condampnes.
Comme ie ne soye
mie seule en la tres bonne, vraye, iuste
de la Rose pour les tresreprouuees exortacions qui y sont, non
obstant tel
bien que il y peut auoir, soit vraye chose que entre
les autres bonnes personnes concordans a ma ditte oppinion
auint . . . . Apres que ie os escript mon epistre, lequel tu
115dis que as veu, vint en voulenté pour l’acroissement de vertu
et le destruisement de vice, de quoy le dit de la Rose puet auoir
[p. 86]
empoisonné pluseurs cuers humains.... Pour y obuier
[un] tresvaillant docteur
[120] et maistre en theologie, souffisant,
digne, louable, clerc solempnel, esleu entre les esleus, compila
120une oeuure en brief, conduicte moult notablement par pure
theologie. De quoy tu m’escris en ton traitié, que tu as veue
en maniere d’une plaidorie en la court de saincte Crestienté, en
laquelle estoit Justice canonique establie comme iuge, et les
Vertus entour elle comme son conseil, duquel le chief et comme
125chancelier estoit Entendement soubtil, ioingt par compagnie
a dame Raison, Prudence, Science et aultres comme secretaires,
Eloquence theologienne comme auocat de la court. Et le
promoteur des causes estoit Conscience, lequel promoteur out
fait leuer et presenter [folio 94 vo. a] une requeste pour
130Chasteté contenant ceste fournie: a Iustice la droicturiere
tenant le lieu de dieu en terre et a toute sa religieuse court
deuote et trescrestienne, supplie humblement et se complaint
Chasteté, vostre feale subiette, que remede soit mis et prouision
brieue sur les forfaictures intollerables, lesquelles m’a fait et
135ne cesse de faire un qui se fait nommer le Fol Amoreux, et met
aprés viii. ou ix. articles.
Et non obstant que a moy singulierement adreces le
premier proeme de ta deuant dicte escripture, comme tu presumes
a toy estre legier repudier mes raisons pour mon ignorance
140confiant en ton bon sens et soubtilleté, m’est aduis;
encore tu oses adioindre tes reprehensions, telles comme tu les
veulz dire, aux dis de si notable personne dessusdicte et de
euure tant bien composee, comme est la sienne, pour ce que
elle est contraire a l’oppinion en quoy
tu erres. Or auises, or
145auises, se ie pourroye raisonnablement toy dire l’opprobre que
tu me dis en aucune des tes chapitres en ceste maniere: “O
presompcion oultrageuse! O tresfole oultrecuidance!” etc. Si n’est
mie mon entencion de moy chargier [de] deffendre contre toy
150dessusdicte, car il ne touche du tout au propos de ma premiere
epistre, se n’est en aucunes pars, ou il touchera a la matiere
dont tu me redargues. Car ie m’en attens a cellui, qui la dicte
plaidoierie a composee, qui en pou de paroles la sara mieulx
deffendre que toute ma vie ne saroye
a son droit regarder;
155mais tant en puis ie bien dire que tu qui mieulx le cuides entendre
que lui plein de sagece et haulte clergié le veulz reprendre
de ignorance. Bien dis (pour plus courtoisement parler
[p. 87]
de si notable personne) que, se bien eust estudié le
dit liure
d’autant comme son entendement passe tous aultres, de tant
160plus le louast et prisast. Ainsi loué soit dieux (toy mesmes
le confesses sollennele personne) si est bon a croire et a
presumer que tel homme eust blasmee publiquement oeuure, qu’il
n’eust par auant bien auisee et comprise!
Encore puis ie bien respondre ad ce que tu dis qu’il parle
165de Fol Amoreux comme clerc d’armes, si comme cellui qui
oncques riens
n’en senti, qu’il n’est
mie necessaire pour parler
proprement des choses auoir l’experience; et moult d’exemples
t’en pourroient estre donnés, tu meismes le sces et
170sentement naturel ont esté descriptes proprement, que l’effet
d’amours n’est a entendre a homme soubtil et d’entendement,
et toy mesmes confesses qu’il n’est necessaire auoir l’experience.
Et neantmoins tu conclus, que s’il eust eu l’experience de Fol
Amoreux, autrement deist qu’il ne fait.
175Je trespasse cy endroit aucuns articles de la dessusdicte
plaidoierie de dame Eloquence pour ce que ce n’est
a moy a
respondre, et mesmement de ce que tu dis que maistre Jehan
de Meun appella sainctuaires, ne me debatis ie oncques [fol.
95 a], car le taire en est le plus
seur. Mais pour ce que tu
180l’excuses et dis que ainsi se peuent appeler et selon loy et pour
monstrer la folie au Fol Amoreux, sans faille tu dis autrement
que tu ne penses (sauue ta grace); car tu sces bien que oncques
saincte, mais le dist par une maniere d’une derrision plus
185aluchant, et plus grant atisement aux luxurieux. Au moins
quelque entencion qu’il eust, sçay ie bien qu’il sonne mal a
ceux
qui ne se deliçtent en telle charnalité.
Je ne vueil mie passer oultre ce que tu dis, que ie ne doy
mie cuidier ce que il
dit en son testament: “J’ay fait en ma
190jeunesce maint dit par vanité,” qu’il entende de ce liure de la
Rose. Et comme se tu le sceusces bien affermer que oncques
ne s’en repenti, ne dist pour celle cause, et touteffois ne
l’excepta il
mie de riens. Mais tu dis qu’il entendi de balades,
rondiaulx,
et virelais que nous n’auons mie. Ou sont doncques
195ces autres dictiez que il fist, vains et folz? Merueilles est
que de si souerain dicteur n’ont esté sollenneement gardés, car
[p. 88]
d’aultres qui ne furent a lui a comparer est grant mencion
faite, et des siens n’est personne en vie qui oncques en oïst
parler, et vraiement moy mesmes me suy maintes fois merueillee
200que si grant dicteur cessast a si peu de oeuure, nonobstant
que pluseurs qui lui sont fauorables lui veulent imposer
des dictiez mesmes de Saint Augustin. Mais touteffois, se tu
veulz dire que il s’en soit teus pour escheuer gloire vaine, et que
voirement en fist pluseurs, regardes ou prologue de Bouece
205que il translata, ou il raconte les translacions et escriptures que
il a faictes, si croy que il n’en oublia nulles. Ce dis ie pour
ceulx, qui aultres escriptures lui veulent attribuer, combien
que de ce n’ay ie que faire. Mais a nostre propos, vrayement
je croy et tiens qu’il dist ce qui est dit en son testament
210purement pour cellui romant, car il nous appert par celle parolle
et ne sauons le contraire.
Tu viens à mon propos, et dis que dame Eloquence dit:
“N’est ce pas,” fait elle, “grant rage dire qu’on doye parler
nuement et baudement et sans vergoingne, tant soyent
215deshonnestes les paroles au iugement de toutes gens.” Puis tu
dis a dame Eloquence, que
on lui impose mal reciter son fait
principal, sur quoy elle fonde tous ses argumens ensuiuans,
mais tu excuses aprés son aucteur en l’accusant d’ignorance,
et dis ce que i’ay cy deuant recité, que c’est
comme tu tiens
220par faulte de le voir et pour [ne] l’auoir estudié.
En faisant ta response a dame Eloquence tu recites les
paroles que dit Raison ou dit romant, qui sont telles en
substances qu’elle puet bien nommer par propre nom les choses,
qui ne sont se bonnes non, et dis qu’il ne dit pas que on en
225doye parler, mais que
on en peut bien parler. Si te respondray
cy un petit pour dame Eloquence un pou grossement.
Je sçay bien voirement que deuoir est contrainte et pouoir est
volenté, mais touttefois par la maniere de parler de quoy on
use en tel cas, on n’en puet parler nuement ne oultrement sans
230mesprendre, comme il est prouué cy deuant et encore sera
proprement on en puet sans mesprendre, et allegues que la saincte
escripture et la Bible les nomme par propre nom, ou il eschiet.
Si te respons, beaulx doulz amis, se la Bible les nomme ou la
235saincte escripture, ce n’est mie en telle maniere ne a tel propos,
ains est la matere trop loings de aluchement charnel, et si
n’est mie la Bible faicte d’un parçonnage femmenin qui s’appellast
[p. 89]
fille de dieu, et si ne parle mie a Fol Amoreux, ou elle
puist atiser le feu. Tu dis encore que, se le nom desplaist a
240aucuns, qu’il ne desplaist mie a tous; mais de ce te croy ie
moult bien, car chose mal faicte et mal dicte ne desplaist mie
a chascun. Et dis que ce dis tu pour ce que dame Eloquence
dit, tant soyent les paroles deshonnestes au regart de toutes
gens, et
cy endroit te prens tu a la cordele ou tu m’as cuidé
245prendre, quant tu dis que
l’en ne doit mie prendre les moz si a
la lettre. Car tu sces bien que la plus grant partie est prise
pour le tout, et vraiement a la plus grant partie desplairoit
ouir nommer en publique deshonnestetez. Tu dis qu’il ne
fault ja dire que bonne costume deffent en parler proprement,
250dont tu te tais.
Ce dis tu, se la coustume est bonne ou mauuaise,
si ne sçay pourquoy tu t’en tais, se tu y sces rien de bon.
Mais, se au contraire penses, tu as fole oppinion que femmes ne
l’aient mie acoustumé, ce dit dame Eloquence comme tu dis.
Elle dit voir; et dommages seroit, se autrement
fust et que
255tant de reproche peust estre raporté es aultres contrees des
femmes de ce royaume. Car on dit un prouerbe commun: a
la langue est cogneue l’affection. Car ycelle Raison que tu
tant auctorises dit que ce n’est fors desacoustumance en
France. Ce n’est mie desacoustumance. Car oncques ne
260l’acostumerent, et dont vient que elles ne l’ont acoustumé? Il
vient de raisonable honte, qui (dieux mercis!) n’est mie
chacié
de leurs frons. Encores
dis qu’il puet estre que en autres pais
les femmes les nomment proprement. Mais ie ne sçay pourquoy
tu fais telle consequence, quant tu n’en sces riens, et si
265n’est mencion que en tout le monde femmes ne hommes
mesmement en parlent plainement et en publique. Et si
t’esbahis ce dis tu de la coustume, que femmes nomment leurs
secrez membres par leur propre nom, mais elles ne vuellent
nommer ceulz aux hommes. Je te respons
ad ce que (sauue
270ta grace) certes non font femmes honnorables mie en publique;
et se aucunes femmes plus nomment les choses qui leur sont
priuees que celles qui leur sont plus estranges, tu ne t’en dois
merueiller. Mais tu qui tant te debas, et par tant de repliques,
que plainement se doiuent nommer par nom et que bien dist
275la raison maistre Jehan de Meun, je te pry chierement, tu qui
es son tres especial disciple comme tu dis, pourquoy ne les
nomes plainement en ton escripture sans aler entour le pot?
Il me semble que tu [folio 96 vo. a] n’es pas bon escolier, car
tu n’en suis
mie bien la doctrine de ton maistre, qui te muet ad
[p. 90]
280ce. Se tu dis que ce n’est
mie la coustume, si as doubté d’en
estre repris, que te chault de celle coustume? Veulz tu viure
a oppinion de gent, suis la bonne doctrine, si monstre aux
aultres qu’ilz doiuent faire, car toutes choses se commencent
une fois. Et se on t’en blasme au premier, tu en seras aprés
285loué, quant on verra la coustume bonne et belle. Ha! par
dieu! par dieu! aultrement va: tu ne le peux nier que honte
ne t’en garde. Et ou est la raison maistre Jehan de Meun?
Elle a pou de poissance quant honte le desconfist. Benoite
soit telle honte, qui desconfist
tel raison. Et se ie te haïsse, je
290diroye, pleust a dieu que tu l’eusses fait. Mais ie t’aime pour
ton bon sens et le bien que on dit de toy; nonobstant ne te
congnoisse, si ne vouldroye ta deshonneur, car parler honnestement
auec les vertus moult auient en bouche de louable
personne.
295Il me semble que tu reprens la maniere de parler de dame
Eloquence, qui dit que mal garda Meun les regles de rethorique,
car il deust auoir regarde a qui Raison parloit; car
c’estoit au Fol Amoreux qui plus en pouoit estre embrasez; ce
300estre amoreux, mais si puet comme tu dis, et donnes exemple
de Dauid
et Salemon et aultres. Si me merueil moult de toy
qui veulz autrui
corigier du mesmes deffault, en quoy tu de
commun
cours enchiez; et soustiens ou il te plaist, ce que
veulx confondre pour un aultre. Il est bon assauoir que
305quant le vaillant preudomme parla de Fol Amoureux, il supposa
que
ycellui fust soubstrait de toute science; quant au
cas de fole amour, suppose que grant science
fust en lui; et
quant il dit un grant clerc theologien, il suppose que la passion
de fole amour n’y soit point, car il conuient que son soubtil
310entendement qui point ne erre l’entendist ainsi ou plus soubtilment.
Mais tu dis que un homme ne s’en mouura ia
a folement
amer pour telz paroles, et on te dit qu’il y est ia meu,
puis qu’il est Fol Amoreux. Mais son embrasement en puet
bien croistre. Tu dis que quant Raison les nomma, elle preschoit
315a l’Amant qu’il s’en ostast du tout. Response. S’il est
ainsi, comme tu l’entens et comme maistre Jehan de Meun dit
estre la fin d’amours, laquelle chose on pourroit debatre que
ne soit mie rigle generale de tant tendre a celle fin. Raison
fist a l’Amant ainsi comme se ie parloie a une femme grosse ou
[p. 91]
320a un malade et ie lui ramenteuoie pommes aigres ou poires
nouuelles ou aultre fruit qui lui fust bien appetiçant et contraire,
et ie lui disoie que, se il
en mengoit, ce lui nuiroit moult.
Vraiement ie tiens que mieulx lui souuendroit, et plus lui
aroit penetré en son appetit les choses nommees que la deffense
325faicte de non en mengier; et sert au propos que aultrefoiz ay
dit. Et tu tant le reprens, que on ne doit ramenteuoir a
nature humaine le pié dont elle cloche. Tu argues que maistre
Jehan de Meun ou chapistre de Raison ne
deffendi pas a parler
des secrez membres pour affection qu’il eust d’en parler, mais
330pour monstrer la folie de ceulz qui dient qu’il n’est licite d’en
parler. Et sans faille
se pour celle cause le fist,
il failli a
son
esme, quant par une tres grant folie faire il cuida estaindre
un tres grant sens. Si appert, ce dis tu, qu’il ne le fist mie
pour delict par ceste raison
que ailleurs, ou il parle de l’oeuure
335de nature, il l’appelle
jeu d’amours. Nous sommes bien.
Hay! vray dieux! tu dis merueilles; ainsi pourroies tu dire
que en la fin de son liure il ne nomme mie les deshonnestetez
qui y sont par leurs propres noms. Et voirement ne fait, et
que vault cela? Il les nomme par moz poetiques entendables
c.
340foiz plus atisans et plus penetratis et plus
delicteux a ceulx
qui y sont enclins, que se il les nommast par leurs propres
noms. Tu dis oultre que qui lit et entent le dit romant, que il
entendra que maistre Jehan de Meun ne deuoit aultrement
parler qu’il parla. Tu dis trop bien,
mes que il l’entende a ta
345guise. Sces tu
comme il va de celle lecture ainsi comme des
liures des arquemistes. Les uns
les lisent, et les entendent
d’une maniere; les autres qui les lisent les entendent tout au
rebours. Et chascun cuide trop bien entendre; et sur ce ilz
oeuurent et aprestent fourniaulx, alembis, et croisiaulx,
et
pour un petit de sublimacion ou congiel qui leur appert
merueillable, ilz cuident ataindre a merueilles. Et puis quant
ilz ont fait et fait et gasté leur temps, ilz y sceuent autant
comme deuant, mais que cost et despence et la maniere de
355distiller et d’aucunes congellacions
de nulle utilité. Ainsi est
il de toy et de moy et de plusieurs. Tu l’entens et le prens
d’une maniere; et moy tout au rebours. Tu recites, ie replique;
et
quant nous auons fait et fait, tout ne vault riens;
[p. 92]
car la matiere est tres deshonneste, ainsi comme aucuns arquemistes
360qui cuident
faire de fiens. Or le taire en fust bon,
et mieulx me plairoit non estre arquemiste en ceste partie,
mais la deffense m’est conuenable puis que ie suis assaillie.
De ce que tu argues ensuiuant contre la plaidoierie
deuant Justice par dame Eloquence a la charge du deuant dit
Tu relates ce que aultre fois ay dit, que ie ne me puis taire
et trop meruellier de ce que Raison dit que mesmes en la
guerre amoreuse, mieulx vault decepuoir que deceu estre;
370et que j’argue qu’il s’ensuiuront doncques tous deux
estre
bons—qui ne puet estre; et puis si iures ton serement que, se
me fusse de portee d’escripre cest argument, ce
fust mon
honneur; et que c’est proposicion d’enfans quant ilz arguent.
Touteuoies te promez ie bien, quoy qu’il t’en soit auis, ie ne
375la pensse mie a chanceller. Mais de ce que tu cuides confondre
mon argument de dire, Jhesucrist dist que mieulx
fust a
Judas que il n’eust
oncques esté, que auoir trahy son maistre,
vraiement je te respons que bon fu que Jhesucrist morust, et
bon fu que [fol. 97 a] Judas naquist. Mais mieulx fust pour
380lui, s’il n’eust oncques esté né, pour cause de l’inconuenient
de sa desperance et la pugnicion de sa trahison. Et tu mesmes
n’as pas tenue la rigle en toutes tes
solucions, dont tu me veulz
reprendre. Et merueilleusement interpretes ce qui est dit
clerement et a la letre. Il vault trop mieulz, beaul maistre,
deceuoir que estre deceu, qui dit que ce est a dire, que il te
385greueroit moins faire semblant de moy amer pour toy aisier
de mon corps, que se tu en perdoies ton estude, sens, temps,
ame et corps et los. C’est bien extremement parlé. Dont
semble il qu’il conuiengne deceuoir, ou perdre sens, temps,
390ame, etc. Sans faille la faueur que tu y as te fait bien loings
aler querre ceste extreme excusacion. Et toutefois ne met il
point ces deux extremitez ensemble. Si te dis encore et derechief
que en la loy de Jhesucrist et selon
sa doctrine, plus est
395deceuance frauduleuse. Car par maniere de parler puet estre
dit deceuance tel chose qui n’est mie grant vice. Mais afin
[p. 93]
que ie ne l’oublie, je diray ce dont ie suis contente: c’est que
tu dis que tu as oppinion que oncques maistre Jehan de Meun
n’escript ce en son liure, et que c’est chose adioustee. Bien
propre langage et tout un mesmes mettre et stile, mais tu
vouldroies bien qu’il ne l’eust oncques dit. Tu puez bien
tel mot.
405Ha! decepuance frauduleuse! mere de trahyson! qui est
ce qui t’ose mettre auant en nul cas? Et puis que nous y
sommes entrez, (pour dieu!) que ie m’y arreste un petit non
obstant la prolixité, car on ne puet bonnement
en brief
comprendre moult de choses. Par ta foy consideres un petit, tu
410qui as leues les hystoires, quel vice a tenu et tient en ce monde
plus grant lieu a aidier a parfurnir les plus grans peruersitez,
tu trouueras deceuance. Regardes se deceuance nous donna
la mort premierement. Lis les hystoires troyennes. Tu
trouueras selon Ouide et aultres, comment
dame Discorde
415sema la graine de la guerre. Mais iamais n’eust tout cueilli, se
dame Deceuance n’y
fust venue, quant elle fist trahir et prendre
la fort cité de Troye; et tout est plein de ses fais qui trop
seroient longs a dire. Ha! dieux! comme tout noble courage
se doit bien garder d’auoir en soy si vilain vice qui passe tous
trayson et deceuance? Je n’y en sçay point, mais que l’un
sonne pis que l’autre. Et se tu dis doncques s’en vault il
mieulz aidier sus un aultre, que un aultre s’en aidast sur soy,
je te dis derechief que non fait. Car selon la iustice de dieu,
425cellui est plus punis qui iniure aultrui, que cellui qui est
iniuriez. Et disons encore mesmement en cas d’amours, pour
ce que la raison maistre Jehan de Meun dit que mieulx vault
etc. Vrayement j’en diray mon oppinion et m’en tiengne
a fole qui vouldra tant. He! deceuance! je ay
un seul [fol.
43097 vo. a] filz, (que dieu me vueille conseruer s’il lui plaist), mais
ie aimeroie mieulx qu’il fust parfaictement amoreux auec le sens
que i’espoire que dieux lui donra, comme ont hommes raisonnables,
d’une femme bien condicionee et sage, qui amast honneur
et lui, (en auenist ce que auenir lui en pourrait) que ie ne
435ferroie qu’a son pouoir
fust deceueur de toutes ou de pluseurs.
[p. 94]
Car ie cuideroie que a pluseurs deceuoir, il peust
plus tost
perdre sens, temps, ame, corps et los, que de bien amer une
seule. Et cuides tu que ie croye par ta foy que ce soit le plus
grant meschief, qui puist auenir a ioeunes hommes d’estre
440amoureux (mais que ce soit en bon lieu, ou il est honneur et
sens)? Car qui aimeroit une bergiere, si vouldroit il
brebis
pour monstrer que le cuer qui aime desire tousiours soy tourner
aux
meurs de ce ou il a mise s’amour. Pour ce croy bien que
445ceulz qui aimer veulent doiuent moult eslire ou ilz mettront
tu
que ie croye tous ceulz, qui ont esté ou sont bien amoreux,
que toute leur felicité soit de tendre a couchier auec leur dames.
Certes ce ne croys ie mie, car ie croy que pluseurs ont amé
450loiaument et parfaictement qui
oncques n’y couchierent, ne
oncques deceurent ne furent deceuz, de qui estoit principale
entencion que leurs meurs en vaulsissent mieulx. Et pour
celle amour deuenoient vaillans et bien renommez et tant que
en leur viellesce ilz louoient dieu qu’ilz auoient esté amoreux.
455Ainsi ay ie ouy dire que le disoit mesmement le bon connestable
messire Bertran de Claquin,
[122] messire Morise de Trisguidi [fol. 97
ceulz
sens, temps, ame,
corps et loz. Je parle tant de ce loz,
pour
ce que tu m’as escript que ie l’espuluche bien. Or le t’ay
460espuluchié. Mais tu me
feroies ycy pluseurs responses, et
diras que maistre Jehan de Meun entendoit de ceulz qui en
sont oultreement foulz. Je te respons que de toutes choses
mesmement qui sont bonnes puet on mal user. Mais puis
qu’il vouloit descripre entierement amours, il ne la deust
465mettre si extreme a une seule fin, voire fin si deshonnestement
[p. 95]
estre
bien amoureux n’est point necessaires estre fol, ne que
on en perde sens, temps, etc. Tu me diras encore que ie conforte
470les joeunes a estre amoreux. Je te dy que ie ne
lo point
qu’ilz le soient, car toute amour mondaine n’est que vanité.
Mais, se l’un
des deux conuenoit, c’est pis decepuoir qu’estre
bien amoreux; et pis en puet venir. Mais pour ce que maistre
Jehan de Meun qui pluseurs choses bien descript ne descript
475mie la proprieté de deceueur, j’en parleray un petit en rude
stile pour aguiser l’appetit de ceulz qui s’i delictent. La
condicion du deceueur est menteur periure, faulz semblant,
flateur, traittre,
fallacieux, malicieux, agaitant, couuert, et
aultres maulz infinis; et la fin qui lui en demeure quant plus
480n’en puet, moqueur mesdisant, enuieux et souspeçonneux—
telz en sont les
titres. Mais pour ce que ie ay parlé de ceulz
qui aiment honnourablement, je [fol. 98 a] puis dire ainsi
comme tu dis de cellui, qui composa la plaidoirie dessusdicte,
qu’il ne senti oncques que fu fol amoreux. Aussi croy ie que
485maistre Jehan de Meun ne senti oncques que fu honnourable
amoureux.
Apres tu repliques ce que dame Eloquence et moy disons
par grant admiracion de la grant deshonnesteté qui est ou
chapitre de la Vieille, et disons qui y pourra notter fors toute
490laidure et vil enseignement, et assez plus en disons que tu ne
repliques, et pareillement ou chapistre de Jalousie. Et
puis tu me fais un grant fault sur ce que j’ay dit
a la fin du dit
mien epistre, et rameines ceste part mal a propos (ne te
desplaise), et dis que i’ay dit que ie ne condempne pas l’auteur
495ou aucteurs en toutes pars du dit liure. Comme, ce dis tu,
se ie vouloie dire, que ie le condempnasse en ce en
quoy ie le
reprens, et dis que ie me fais iuge de ce que i’ay dit par
oppinion. Si te respons que en verité tu as mal cueilli les flours
de mon dicté, et fait chappel mal acoustré et mal sorti (sauue
500ta grace). Car i’ay dit non mie par oppinion mais de certaine
science, qu’il parla treslaidement et tresdeshonnestement en
pluseurs pars, et tres mauuaise exortacion; et le iugement
de ce est legier a faire, car il se preuue par lui mesmes. Si le
puis et moy et chascun qui entent françois condempner en
[p. 96]
505celle partie; mais pour ce que en toutes pars ne traicte mie
de celle deshonnesteté, dis ie que ie ne le condempne mie en
toutes pars. Et tu repliques
trop bien que ie vouldroie auoir
trouué, comme ie ay dit, qui me sceust souldre souffisemment
a quoy peuent estre bonnes tant de deshonnestetez; et touteffois
510ne m’i fais tu nulle solucion, ains
t’en passes oultre sans
respondre ad ce propos; et
comme m’animez sans achoison,
me dis telle villennie comme cy s’ensuit: “O presompcion
oultrageuse! O tresfole oultrecuidance! O parole trop tost
yssue et sans auis de bouche de femme qui condempne homme
515de si hault entendement, de si feruent estude, qui a si grant
labeur et meure deliberacion, a fait si tresnoble liure, comme
est cellui de la Rose qui passe ainsi tous aultres qui oncques
quant tu l’aras
leu c. fois, se tu en entens la
grigneur partie, tu
520n’emploias oncques mieulx temps ne ton entendement!”
ie te pourroie respondre et ne vueil opprobieusement, nonobstant
que par laiz reproches me
rauales par petite reputacion
et sans raison. O entendement offusqué! O congnoiscence
525peruertie, aveuglee par propre voulenté, qui iuges venin
angoisseux estre restaurement de mort, doctrine peruerse
estre saluable exemple, fiel amer miel doulcereux, laidure
auec la doctrine de saincte eglise puet reprendre ton erreur!
530Fuis et eschieues la doctrine peruerse qui te pourroit mener
a dampnement, de laquelle, quant dieu t’ara enluminé de
vraye congnoiscence, tu aras orreur en toy retournant arriere,
Tu dis pour moy reprouuer que verité engendre haine et
535flatterie [entre] amis—ce dit Terence. Et pour ce tu te
doubtes que
ie le vuel [fol. 98 vo. a] le mordre, et me
conseilles
que je garde mes dens. Si saches certainement que tu
faulz a cuidier (sauue ta reuerence), car pour ce que mençonge[s]
deceuables y a et faulte de verité, je ne le voulsisse
540mie seulement mordre, mais
errachier les tresgrans mençonges
fallacieuses qui y sont. Tu respons a dame Eloquence et a
moy, que maistre Jehan de Meun en son liure introduisi
[p. 97]
parçonnages, et fait chascun parler selon ce qui lui apertient et
vrayement. Je te confesse bien que selon le
jeu que on veult
545iouer il conuient instrumens propres. Mais la voulenté du
jueur les apreste,
telz comme
il les lui fault. Toutefois, certainement
(ne te desplaise) il failli
a bien introduire ses parçonnages
de commetre a aucuns autre chose que leur office;
comme a son prestre que il appelle Genius qui tant commande
550couchier auec les femmes et que on continue l’euure sans
delaissier; et puis si dit que on fuie femmes sur toute riens;
et en dit plus de mal
ou autant de villenie comme nul qui y
soit. Si ne sçay entendre qu’il appertiengne a son office ne a
mains aultres parçonages qui de celle matiere parlent. Tu dis
en tous parsonnages ne se puet taire de
vituperer les femmes
qui (dieux mercy!) ne sont de ce en riens empirees, et de ce
ay ie assez parlé en mon autre epistre sur quoy tu ne m’as
gaires respondu. Si ne m’en
passe cy endroit gaires a chargier.
560Puis que cellui liure de la Rose est tant necessaire et
expedient pour doctrine de bien viure tant proffitablement, je
te pry que tu me dies a quel proffit du bien commun puet venir
tant auoir assemblé de dissolucions que dit le parçonnage de
[fol. 98 vo. b] la Vieille. Car se tu
dis, que c’est affin que on
565s’en garde, je cuide qu’il ait la plus grant partie des gens qui
oncques n’orent que faire de
telles deableries comme elle
recorde, et ne sceuent que ce puet estre, dont ne puet venir
tel mal au proffit du bien commun, dont la plus grant partie ne
s’en empesche. Et ie sçaroye voulentiers, se toy mesmes
570quant tu les as leues, se tu as plus a memoire la bonté de
t’en
garder et viure chastement, ou la dissolucion des paroles. Si
est une merueilleuse interpretacion que vous faictes entre
vous ses aliez que telle orrible mauuaistié soit tournee a si
575jaloux. Je te dis que grant neccessité estoit tel gastement de
paroles mal gracieuses pour le bien et introduction du bien
commun. Si
t’en fai pareille response comme de la Vieille.
Ce que tu as dit en oultre de la cause (comme tu crois) qui fait
parler le Jaloux tant de mal de femme, ne fait point a mon
580propos; pour ce le passe oultre.
[p. 98]
Oultre tu dis a dame Eloquence et a moy en repliquant
par similitude, que se un relate ce que un aultre a dit comme
fait Saluste (qui recite la coniuracion de Catiline encontre la
chose publique de Ronme) ou Aristote (qui recite
oppinions
585des anciens philosophes contenans erreurs), s’ilz sont cause
de ce mesmes meffait, comme la Saincte Escripture recite les
abhominables pechiez de Sodomme et de Gomorre, enorte elle
pour tant yceulz ensuiuir? Tu dis trop bien, ce te semble, et
bien [fol. 99 a] a propos, mais ie te demande, se quant yceulx
590ou autres
en la Saincte Escripture recite[nt] telz choses, se il
y a deuant ou apprés parsonnages ou autres propos qui conforte[nt]
trahisse, ou que l’en soit herité, et ainsi des autres maulx?
Tu sces bien que nenil, car en quelque lieu que telz maulx ou
595autres soient pareillement recitez
en liures, c’est a la vituperacion
de la chose en telle maniere de lecture, que elle sonne
desplaisamment a tous ceulz qui l’oyent. Et le prescheur,
dont tu m’as escript qu’il ramentoit le pié dont on cloche en
son sermon: ce as tu dit pour ce que ie dis que on ne le
600deuoit ramenteuoir a nature pour plus droit aler. Comment
le ramentoit il? Comment, dist il, mes enfans, jouez! galez!
tenez vous aise—c’est la voie de paradis, fait[es]. Par dieu,
sire, non fait, ains ramentoit ce pié de telle maniere que il fait
grant orreur aux oyans, et on puet en telle maniere dire “dieu
605te doint bon iour” qu’il sonne mal et rancune.
Et puis tu fais une maniere de complainte a Chasteté et
dis: “Ha, dame! est ce le loyer que vous voulez rendre a
maistre Jehan de Meun qui tant vous a prisee et toutes autres
vertus, et blasme tous vices comme entendement le puet
610conceuoir?” Voire, fais tu,
comme entendement humain le
puet conceuoir. Et puis aprés si dis que ie
ne m’en
sobzrie ia.
Ha! que tu sçauoies bien que ie m’en riroie de ce bon mot.
Car quant ie pense aux beaulx enseignemens de Chasteté et
aux honnestes paroles qui y sont, [fol. 99 a] vrayement ie ay
615matiere de moy rire de ce que tu dis. Puis aprés tu dis que,
tous vices et suiuir toutes vertus, et puis tu recites aucuns
enseignemens que tu dis qui y sont; et vraiement ie te dis
que
aussi feras tu en la loy de Mahomet. Se tu lis l’Alcoran,
620tu y trouueras de tresbons poins de nostre foy et de bien
[p. 99]
ensemble ne vault rien. La consequence en est toute gastée;
a la conclusion tient tout. Ne sces tu que au conseil mesmement,
quoy que on ait dit par auant, on se tient a la conclusion
625derreniere? Et se maistre Jehan de Meun (se ie l’ose dire) eust
parlé parmi son liure de pluseurs choses a quoy nature humaine
est encline et qui auiennent, et puis ramené
a propos et
fait sa conclusion en meurs de bien viure, tu eusses plus grant
cause de dire que il le fist a fin de bien;
car tu sces se un dicteur
630veult user d’ordre de rethorique, il fait ses premisses de ce que
il veult traictier, et puis entre de propos en propos, et parle de
plusseurs choses s’il lui plaist, puis reuient a sa conclusion de
ce pourquoy il a faicte sa narracion. Et vrayement en ce cas
ne failli de riens
l’aucteur ou dit liure, car ignorance n’y a lieu.
635Mais tu me diras que ce fist Lorris. Response. Je tiens
tout un mesme edifice, et souffist pour response ad cest chapistre,
nonobstant y aies dit maintes choses a ton propos que
ie passe oultre; car tout vient a une fin, et l’espuluches tant
comme bon te semblera.
640Tu as deuant dit qu’il ne blasme pas les femmes, ains en
dit bien: si m’en attens a la verité prouuee; et dis que Saint
Ambroise blasma plus le sexe femenin qu’il ne fait, car il dist
que c’est un sexe usagié
a decepuoir. [fol. 99 vo. a] Je te
respondray ad ce: tu sces bien que quant les docteurs ont
645parlé, c’est a double entendement, et mesme Jhesucrist en ses
sermons. Si est bon assauoir que Saint Ambroise ne le dist
oncques pour les personnes des femmes. Car ie croy que
le bon sire n’eust riens voulu blasmer fors
vice. Car bien
sauoit qu’il estoit maintes sainctes femmes, mais il voult dire
650que c’est un sexe dont homme usageement deçoit son ame,
ainsi comme
Salomon qui dist mieulz vault le meffait d’un
homme que le bienfait d’une femme. Nous sauons bien que
c’est faulx a le prendre a la letre. Mais par lui mesmes pouons
prendre exemple. Mieulx eust valu pour lui le meffait d’un
655homme. En tel cas peust auoir esté que aucun bien qu’il pot
veoir en la femme, dont il fu si fort amoreux qu’il en aoura
les ydoles. Et
aussi le pot il dire par prophecie, car mieulz
nous vault le meffait de Judas que le bienfait de Judich
qui
occist Holophernes, ou d’une autre femme. Mais tu dis
660merueilles aprés, car tu affermes vrayement que ie les blasme
[p. 100]
plus qu’il ne fait, quant ie dis que, se on lisoit le liure de la
Rose deuant les roynes
ou princeces, que il leur conuendroit
couurir la face de honte rougie. Et puis si respons pourquoy
rougiroient? Il semble que elles se tendroient pour coulpables
665des vices que le Jaloux recite des femmes. Ha! dieux!
que c’est
bien dit et
bien raporté! Tu ne te fais point de
honneur de raporter chose que le contraire puist estre prouué.
C’est mal estudié quant ie disoie que aux dames conuendroit
couurir la face de honte rougie. Ce n’estoit point pour les
670paroles du Jaloux, ainçois dis [je], d’ouir les orribletés qui sont en
la fin tant abhominables, de quoy ie disoie a quoy puet
[estre
leur presence, et de dire que elles en rougiroient. Je ne les
blasme de riens, ains les loe d’auoir la chaste [fol. 99 vo. b]
675vertu de honte.
Tu respons aprés a dame Eloquence, pour ce que il est
contenu en sa complainte, les diffamacions et vituperes que
maistre Jehan de Meun raconte de religion, et dis qu’il ne la
blasma mie. Et vraiement ie te respons
que, (sauue ta grace)
680car comme il
fust diffameur publique, il la diffame excessiuement
et sans riens excepter, et bien le scet entendre le bon
catholique de tresreligieuse voulenté qui bien en scet le tort
reprendre, et de ce m’attens a lui, car il ne touche au propos
de ma premiere epistre. Et comme tu mesmes dis que ie te
et les vas cueillant ainsi comme il te plaist a ton propos et
laisses les mauuaises. Se l’enortement dont dame Eloquence
se plaint de l’enseignement de prendre le chastel de Jalousie,
dont elle dit qu’il vouloit bouter chasteté hors de toutes
690femmes, tu en fais merueilleuse response en ce que tu dis
que ce est pour auiser les gardes de mieulx estouper les
lieux,
ou il peut estre pris, ou d’y mettre meilleurs gardes. Et puis
tu dis que en toutes manieres de guerres les assaillans ont
l’auantage, mais que ilz en soient auisiez. Or parlons un
695petit des guerres a l’auenture entre toy et moy. Je te dis
qu’il est aucune maniere de guerre que les assaillans ont
l’auantaige; et sces tu quant c’est? Quant le capitaine ou
le conduiseur est plus malicieux et duit de guerre, et il a a faire
a foible partie et simple, non usagee de guerre. Encore y
700a il un autre point [fol. 100 a] qui souuent
nuit aux deffendeurs,
[p. 101]
(supposé que ilz soient fors):
c’est trahison ou faulx
blandissement de ceulx mesmes, en qui ilz se fioient. Par ce
fut pris jadis le fort chastel de Ylion. Et du chastel assailli
ne saroies tu ne aultre conseillier comment les pertuis de
705traison seroient estoupez, car ilz sont trop couuers. Maistre
Jehan de Meun enseigne comment le chastel de Jalousie sera
assailli et pris. Il ne fait point afin que les deffendeurs
estoupent les pertuis, car il ne parle point a eulx, ne il n’est de
leur conseil, ains conforte et enorte les assaillans en
toute
710maniere d’assault; ainsi comme se ie te conseilloie la maniere
de
vaincre ton anemi, ce ne seroit mie afin qu’il se gardast de
toy.
Et se tu veulx dire il ne l’enseigne pas, mais il dit comment
il
fu pris, ie te dis que qui raconteroit une malicieuse
maniere de faire fausse
monnoye ou comment on l’aroit
faite,
715il l’enseigneroit assez, dont ie dy certainement que il ne le fist
a aultre fin fors pour entroduire les assaillans.
Apres tu dis ce, dont tu te prens trop bien au las, se le
vouloies considerer quant tu ameines Ouide de l’Art d’Amours
a ton propos. Et
encore la preuues, dont ie te sçay bon gré,
720quant tu dis que a tort en fu exillé. Tu dis que quant Ouide
l’escript, ce fu en latin, lequel n’entendoient femmes; et que
il le bailla la seulement aux assaillans pour apprendre a assaillir
le chastel, et c’estoit la fin de son liure, mais la jalousie des
Romains
tresenorme l’[e]xilla sans raison pour celle cause,
725comme tu [fol. 100 b] dis. Sans faille il me semble, se te
fussez bien
auisé, n’amennasses ja cellui Ouide de l’Art
d’Amours en place pour excusacion de ton maistre. Mais de
tant le peux tu bien faire, que c’est le pur fondement et principe
de ce liure de la Rose, lequel est mirouer et exemple de
730bien et chastement viure, ainsi comme il l’a pris ou dit Ouide
qui d’aultre chose ne parle fors de chasteté. Ha dieux! comme
il appert que ta pure voulenté aveugle ton bon sens, quant tu
dis que sans cause
fu exillé! Voire que les Romains, lesquelx
gouuernoient tous leurs fais par polixie souuerainement ordenee,
735en cellui temps le chacierent a tort comme tu dis
pour
pas en son liure tant seulement l’Art d’Amours que Ouide fist,
mais beaucop d’aultres aucteurs, doncques par ta raison
[p. 102]
mesmes est prouué que Meun parle aux assaillans comme
740Ouide que il prent. Mais tu dis que, de tant comme il recite
diuerses manieres d’assaillir, de tant auise il plus les gardes
du chastel de eulx deffendre. Voirement fait ainsi comme qui
t’assauldroit pour toy occire, (dont dieux te gart) il t’aprendroit
comment tu te deuroies deffendre. Il te
seroit grant
745courtoisie, bien l’en deuroies mercier. Au moins ne peus tu
nyer que il n’enseigne a faire mal aux assaillans, foibles ou
fors que soient li deffendeur.
Encore ne me
veulx ie mie taire que tu dis, par jalousie et
sans raison fu exillé Ouide, quant les sages Romains virent et
750apperceurent la peruerse doctrine et le venim engoisseux
apresté [fol. 100 vo. a] pour lancier es cuers des jeunes a les
attraire a dissolucion et oiseuse, et les engins tendus a deceuoir,
prendre, suborner, et soubztraire la virginité et chaasteté
de leurs filles et femmes, eulx a bonne cause dolens de telle
755doctrine semencé[e]. Adonc pour pugnicion voire plus piteuse
que souffisante exillerent l’aucteur de telle doctrine. Et n’est
pas doubte que son liure ardirent, ou le porent trouuer. Mais
de male plante demeure
toudis racine. Ha! liure mal nommé
Art d’Amours; car d’amours n’est il mie, mais art de
fausse,
760malicieuse industrie de decepuoir femmes puet il bien estre
appellez. C’est belle doctrine! Est ce donc tout gaigné
que de bien decepuoir
ces femmes? Qui sont femmes? Qui
sont elles? Sont ce serpens, loups, lyons, dragons, guieures,
ou bestes rauissables deuourans et anemies a nature humaine
765qu’il conuiengne faire art a les decepuoir et prendre? Lisez
deceuez lez, vituperez les, assailliez ce chastel, gardez que
honte! Et, par dieu! si sont elles voz meres, vos suers, voz
770filles, voz femmes et voz amies, elles sont vous mesmes et
vous mesmes elles; or les deceuez assez, car il vault trop
mieulx, beau
maistre, deceuoir, etc.
Je me ris de ce que tu dis que tu as presté ton liure de la
Rose a un homme fol amoureux pour soy oster de fole amour,
775lequel
lui a ia tant prouffité que tu lui as ouy iurer sa foy que
c’est la chose qui plus lui a aidié a s’en oster, et tu dis que ce
as tu dit pour ce que
ie dis a la fin de mon epistre, quans en
sont deuenus hermites? Response. Et ie te promet, [fol. 100
[p. 103]
vo. b] se tu eusses
appresté a ton ami .i. liure des
780deuocions Saint Bernart ou aucune bone legende introduisant a
sauuement et a demonstrer, qu’il n’est que une seule amour
bonne en laquelle on doit fichier son cuer et son affection en la
maniere que philosophie le demonstre,
a Bouece, ou a aultre
chose semblable, tu lui eusses mieulx fait son profit. Mais
785prens toy garde que ne lui
aies baillié l’instrument pour soy
oster de la chaleur du soleil et soy gitter en une fournaise toute
enbrasee. Et je te diray un aultre exemple sans mentir,
puis que nous sommes es miracles du Romant de la Rose.
J’ay ouy dire, n’a pas moult, a un de tes compaignons de
790l’office dont tu es et que tu bien cognois et homme d’auctorité,
que il cognoist un homme marié, lequel adioste foy au Romans
de la Rose comme a l’euuangile. Cellui est souuerainement
jaloux, et quant sa passion le tient plus aigrement, il va
querre son liure et
lit deuant sa femme, et puis fiert et frappe
795sus et dit orde telle comme quelle. Il dit: “Voir que tu me
fais tel tour, ce bon sage homme maistre Jehan de Meun
sauoit bien que femmes sauoient faire.” Et a chascun mot
qu’il treuue a son propos il fiert un cop ou .ii. du pié ou de la
paume. Si m’est auis que quiconques s’en loue,
celle poure
800femme le compare chier.
Il m’anuye moult si grant prolixité de langage. Car
comme anuy est a moy mesmes, suppose que pourra estre aux
lisans. Mais pour ce que il me conuient repliquier les choses
proposees, [fol. 101 a] aultrement ne seroit entendable,
m’en
805estuet esloingnier ma matiere, si me soit pardonné de qui le
tendra a anuy.
Encore ne te
peux taire de la Vieille, et dis que quant elle
parle a Bel Accueil, elle lui dit auant le cop: “ne vous vueil
pas en
amours mettre, mais se vous en voulez entremettre je
810vous monstreray voulentiers,
etc.”
[124] Et puis si
dit que elle
lui presche afin qu’il ne soit deceuz.
[125]
Response. Vray dieux!
[p. 104]
comment est ce malicieuse maniere de deceuoir—
demonstrer
que ce que on fait et dit, quelque mal que ce soit, que c’est
a
bonne fin, et a cause bonne! Car il n’est si simple, se il
815apperceuoit la deceuance
qu’il ne
s’en gardast. Si la fault
couurir par cautelle, et le droit tour du malicieux deceueur
est commencier langaige par bonne introite pour mieulx parfurnir
son malice. Si n’est point de excusance en ceste partie
ce que tu as mis auant. Tu dis s’il y a riens mal dit et a
820diffame du sexe femmenin que il n’en est que reciteur des
aultres aucteurs. Response. Je sçay bien que il n’est mie
le premier qui ait mal dit, mais il l’acroist, quant il le recite.
Tu dis que ce estoit pour plus
enseigner les parties a garder
le chastel. Response. Le mal amonnesté et loué a faire
825n’est mie a supposer que ce soit affin que on
s’en gard. Tu
dis que il le fist aussi pour suiure la matiere maistre Guillaume
de Lorris.
Response. Cellui qui
suit le fouruoyé ne fait mie
a excuser
si se foruoye. Tu dis que en ce faisant parle de
toutes choses en leur estat au proffit de creature humaine, tant
830[fol. 101 b] a l’ame comme au corps.
Response. On ne
l’oit point parler en comun de toutes choses en leur estat, et
aussi il parle de pluseurs autrement que leur estat et au dommage
de l’ame et du corps, comme il est ia prouué. Tu dis
que pour ce parla il de paradis et des vertus pour les suiuir, et
835les vices pour les fuir. Response. Voire mais il dit que
vices sont vertus, quant par
ces parsonnages il loue mal faire
comme il est dit. Et de vertus fait vice, quant il dit tant de
vitupere et doloreux mal de l’ordre de mariage, lequel est saint
et aprouué, et d’aultres bons estas semblablement que il
840diffame generaument. Et mal parle de paradis, quant il
dit (combien que ce soit par moz un pou enuelopez, mais
autant vault a dire) que les luxurieux yront en paradis.
[126] Et
ce fait il dire a Genius lequel escomenie de sa puissance, qui
est nulle, ceulx qui ne
excercitent l’oeuure de nature. Et les
845vices enseigne plus proprement que il ne fait les vertus. Tu
dis que, de tant comme il parle de vices et de vertus d’enfer et
des uns et la laidure des aultres. Response. La
beatitude de paradis ne monstre il mie, quant il
dist que les
850malfaicteurs yront. Et pour ce mesle il paradis auec les
[p. 105]
ordures dont il parle pour donner
plusgrant foy a son liure.
Mais se mieulx veulx ouir descripre paradis et enfer et par
plus soubtilz termes et plus haultement parlé de theologie
plus proffitablement, plus poetiquement, et de plusgrant
855efficace, lis le liure que on appelle le Dant, ou le te fais exposer,
pour ce que il est en langue florentine souuerainement dicte.
La orras aultre [fol. 101 vo. a] propos mieulx fondé, plus soubtilment,
(ne te desplaise) et ou plus tu porras
profiter que en
ton Romant de la Rose, et cent fois mieulx composé, ne il n’y
860comparoison (ne t’en courouces ia). Tu dis que Genius ne
permet mie paradis aux folz amoreux.
Response. Dyables
li feist promettre quant il n’est mie a lui a
liurer. Mais
tu dis que dame Eloquence lui met sus. Et il parle, ce dis tu,
de ceulx qui excerciteront bonnement les oeuures de nature.
865Response. Or viens tu a mon propos (dieux mercis!)
Vraiement il n’y met ne bonnement ne mauuaisement mais simplement
ceulz qui excerciteront les
susdictes oeuures. Et dis
que ce n’est mie tout
un ce faire bonnement, et estre fol
amoreux. Response. De ce [faire] bonnement ne parla il
870oncques en ce pas. Mais ie te dis que ce est pis estre luxurieux
en plusieurs lieux, comme il veult enseigner, que estre fort
amoreux en un seul lieu. Tu dis que Nature
et Genius n’enortent
pas estre fol amoureux, mais ilz enortent suiure les
œuures susdictes, lesquelles sont licites aux fins amoureux.
875Response. Doncques veulx tu dire, puis que nature ne
l’enorte, que estre fort amoureux est contre nature, laquelle
chose n’est mie (sauue ta grace). Mais puis que il dit que ilz
sont licites aux fins, il conuendroit sauoir en quel
maniere les
conuient affiner. Tu dis que ce est pour continuer l’espece
880humaine, et pour laissier
le mauuais pechié que on ne doit
nommer. Response. Sans cause se debat tant de ce, car
pechié qu’il veult dire n’est point renommé en France, dieux
885soit louez! Il n’en conuient ia mettre tel [fol. 101 vo. b] [m]oz
en bouche de nullui. Tu dis que combien que tu n’oses, ne
vueilles dire que excerciter la dicte oeuure
hors mariage ne soit
pechés. Responses, sans passer oultre. Voire mais dieux
scet que toy et d’aultres disciples comme toy (qui l’ossast
[p. 106]
890dire) en pensses. Mais il s’en fault taire et pour cause.
Toutefois ce dis tu: “Est il permis en mariage?” Response.
Dieux en soit louez, ce sauons nous bien. Touteffois
ne l’exprime point le liure de la Rose en nul endroit en telle
maniere. Mais tu veulz dire que ainsi l’entendi maistre Jehan
895de Meun, quant il dist ou chappitre de la Vieille cestui mot:
pour ce sont fais les mariages par le conseil des plus sages pour
oster dissolucion.
[127]
Response. Tu le me vas querre biens
loings et meines a propos ce qui est dit bien hors propos. La
Vieille ne preschoit mie a Bel Acueil de mariage. Elle s’en
900gardoit moult bien, ne chose que elle die ne tourne a bonne
fin. Et si croy que maistre Jehan de Meun ne fist point dire a
elle ce mot pour louer mariage, car ce n’estoit mie son office.
Et te souuiengne que tu as dit aultre part que ce n’estoit pas
Meun qui parloit, ce faisoient les parçonnages chascun en son
905office. Mais c’estoit il qui dist ce bon mot, et ce n’estoit il mie
qui parloit ou chapistre du Jaloux. Et ainsi as ton dit et ton
desdit, et est bien loings du propos de Genius dont nous
parlons,
lequel ne pensa oncques a mariage, le bon homme. Et
aussi n’est ce mie ton oppinion, se dieux m’aïst, quoy que tu
910dies. Et encore pour ce que tant t’efforces de excuser Meun,
et veulx gloser que ce vouloit il [fol. 102 a] entendre que on
peust excerciter la dicte oeuure licitement au moins en mariage,
vient trop mal a propos que en cel estat on doie tant excerciter
l’euure et
si diligentment; et il tant et si excessiuement
qui ne s’en deust tirer arriere qui le croiroit. Et ainsi seroient
mal continuez ces oeuures. Il deust auoir loué l’estat ou l’en
les doit faire, pour donner appetis a chascun que il si meist,
n’appert que il l’entende en celle guise. Et toy mesmes, pour
mieulx amender la besoingne, dis ensuiuant bien a propos de
louer mariage, pour confermer que pour ce le dist il que Saint
Augustin dist: “Qui est sans femme espousee, il pense aux
925choses de dieu pour lui plaire, mais cellui qui y est ioint par
femme,” dont tu dis aprés que ce as tu dit pour ceulx qui
[p. 107]
veullent reprendre par leur langage sans raison aucteur,
quelqu’il soit notable et non repris par auant. Si as tresbien
930prouué que maistre Jehan de Meun, quant il tant parloit de
excerciter l’oeuure de nature, que il l’entendoit en mariage.
935Encore ne te peux tu taire et fais une
aultre grant narracion
pour tousiours excuser ton bon maistre. Mais ie ne
pense [fol. 102 a] mie a tout relater
mot a mot. Car trop
m’anuieroit et
ia anuye de tant parler de cestui propos; et
aussi tout vient assez a une fin. Tu dis que pour ce que
940chascun n’a pas leu le liure de la Rose, tu reciteras les
propres
moz de Genius comme ilz sont ou liure. Si en recites
voirement pluseurs de ceulx propres que il dit, mais tu en
trespasses assés et vas cueillant ça et la ceulz qui mieulx te
plaisent, et n’as talent de mettre arriere le bien
que il dit
qui l’a, et que on soit piteux et misericors et telz choses.
Voire, et que on face les oeuures dieu, de par dieu, et on yra
en paradis! Je croy que il vouloit suiure l’ordre et la secte
des turlupins et ainsi mesloit venin auec miel et doulce liqueur
950auec fiel,
ve la le bien qui y est.
Je ne sçay a quoy tant nous debatons ces questions, car
ie croy
que toy ne moy n’auons taillent de mouuoir noz
oppinions. Tu dis qu’il est bon; je dis qu’il est mauuais. Or
me solz
qui soit bon; et quant toy auec tes autres complices
955arez assez debatu par voz soubtilz raisons et tant poures faire
que mal soit bien, je
croiray que le
Romant de la Rose soit bon.
Mais je sçay bien que il est propre a ceulx qui veulent
malicieusement viure et mieulx eulx garder d’aultrui que ilz ne
veulent que aultrui se
gart de eulx, mais a ceulx qui veulent
960bien et simplement viure sans trop enuelopper es voluptés du
monde ne aultrui deceuoir, ne que aultre les deçoiue, ce liure
n’a mestier; et vrayement je aimeroie mieulx estre du
part
des opposites que de ses complices, car ie ay oppinion que
mendre part en ait le loup. Et comme dit le bon preudomme
[128]
965qui composa la plaidoierie dessusdicte: “Pleust a dieu que
[p. 108]
telle rose n’eust oncques esté plantee ou jardin de chretienté,”
combien que tu te dies estre de
ses disciples; et puis que le
veulx estre, si le soies. Quant a moy je renonce a sa discipline.
Car ie
temps a autre que ie cuide estre plus proffitable,
970et qui mieulx m’est agreable; et si ne suis mie seule en
celle oppinion, ne sçay pourquoy plus que
aux aultres vous en
prenez a moy entre vous ses disciples. Ce n’est mie honneur
soy prendre a la plus foible partie; il y a si grant foison de
sages docteurs, dignes de foy et pleins de science, et vraiement
975si y a il des grans princes de ce royaume et cheualiers, et
nobles, et pluseurs aultres qui sont de la mesme opinion que
ie suis, et tienent que ce est lecture inutile et non
honorable.
Pourquoy entre vous n’alez vous desrompre la grosse tige de
980dont puet venir et sourdre la ceue et liqueur, soit toute amortie,
non mie vous prendre aux petites branches par dessure,
en prenez a moy, qui ne suis fors comme la vois d’un petit
grisillon qui toute iour bat ses
eletes et fait grant noise et tout
985est noyant enuers le hault chant delictable des gracieux
oisiaulx.
Mais tu dis que tu ne te peux assez merueillier comment
personne ose blasmer non pas seulement lui, mais ceulx qui
prisent et aiment son liure de la Rose. Response. Je ne me
990puis assez merueillier comment personne ose entreprendre
a
louer cellui liure, ouquel sont comprises
maintes materes
Tu dis que quant a toy, plus desires estre [fol. 102 vo. b]
repris pour prisier et amer son liure que estre des trop soubtilz
995blasmeurs. Tu ressembles en ceste partie
celle qui dist que
bien que les voulentez qui mieulx plaisent ne sont mie toutes
1000Tu dis que sachent tuit que il reste
encore .vii. mille, qui
sont tous prestz de le deffendre.
Response. C’est
rigle
general que mauuaise secte acroist volentiers aussi comme la
[p. 109]
mauuaise
herbe, mais la plus grant quantité ne fait mie
pourtant a presumer estre meilleur. Et se dieux plaist a ja si
1005grant assemblee n’en sera faicte. Ce n’est mie article de foy;
tiengne chascun ce qu’il vouldra. Tu dis que, s’il eust esté
du temps de entre nous qui le blasmons, tu
deisses que nous
eussions haine particuliere a sa personne. Mais nous ne le
veismes oncques, dont tu ne peux ymaginer dont ce vient.
1010Response. Pour ce que oncques ne le veismes, ne oncques
ne nous meffist, as tu mieulx cause de penser que droicte
vraye pure verité nous meut, car le haineux ne doit estre creu.
Se non, ce dis tu, qu’il viengne de la haultece du liure plus
habile a receuoir les vens des soufflez enuieux, car
ignorance
1015n’en est point cause de tel y a. Ce dis tu ce n’est pour cause
de pou lire le dit liure. Response. Tu pues estre certain
que le bon preudomme qui le blasme, dont tu veulx dire que
n’est
mie par ignorance, il n’a mie enuie sur cellui liure, car ie
croy que la haultece de sa tres esleue[e] vie ne lui lairoit [fol.
1020103 a]
auoir enuie de plus digne chose. Quant est de moy,
Et pourquoy aroye? Il ne me fait ne froit, ne chault, ne mal,
soye
parquoy aye cause de indignacion? Car ie ne
suis mariee,
1025ne espoir estre, ne religieuse, aussi n[ul]e chose qu’il die ne me
touche. Je ne suis Bel Acueil, ne ie n’ay paour de la Vieille,
ne boutons n’ay a garder. Et si te prometz que i’aime beaulx
lis voulentiers, si rudement comme les sache entendre, et si
1030n’aime point cellui de la Rose, la cause si est simplement et
absoluement pour ce que il est de tres mauuaise exortacion et
deshonneste lecture, et qui plus penetre en corage mal que
bien. Et puet estre, selon mon iugement, cause de
dampnacion
et dampnement de vie a ceulx qui l’oient, et qui s’i delictent,
1035et
de traire a deshonnestes meurs. Si te iure sur mon
ame et par ma creance que autre cause ne me meut. Et ce
que tu dis aprés que puet estre que le blasmons pour donner
plus grant appetit de le veoir, et ainsi seroit nostre opinion
bonne. Tu pueux estre certain que ce n’est pas nostre motif.
1040Apres tout ce, tu me appelles de plus grant valeur que ie
[p. 110]
ne suis, tienne mercy; et dis que tu me pries que ie garde
l’onneur que i’ay a garder; et que, se on m’a louee pour ce
que i’ay tiré d’un voulet pardessus les tours de Nostre Dame,
1045que me garde de ressembler le courbel, que pour ce que on
[fol. 103 b] loua son chant, commença chanter plus hault et
laissa cheoir la
buschete.
Response. Vraiement je ne
pourroie d’aucune chose respondre si proprement comme de mon
propre fait. Si puis en ceste partie tesmoingnier verité de
1050certaine science. Tu
m’adioins ou accuses comme de presompcion
de moy mesmes. Si te iure sur ma foy que oncques ne
presumay auoir si hault
lancé comme
sur les tours Nostre
Dame. Ne sçay comment plus hault tascheroie ne pour
cuidier hault chanter, ne me cherra ia
buschete; car ie repute
1055mon fait et mon sauoir
chose de nulle grandeur. Aultre
chose n’y a quelconques, fors tant je le puis bien dire veritablement
que
i’ame l’estude et vie solitaire, et par frequenter
et
excerciter ycellui puet bien estre que g’i ay cueilli des basses
flouretes du jardin delicieux, non pas monté sur les haulx arbres
1060pour cueillir de ce beau fruit odorant et sauoureux, non mie
que l’appetit et la voulenté n’y soit grant, mais foiblece
d’entendement ne le me sueffre, et mesmes pour l’odeur des
flourettes, dont j’ay fait graisles chappellez. Ceulx qui les ont
voulus auoir, a qui ne les osasse ne pensse veer,
se sont
1065esmerueillez de mon labour, non pour la grandeur qui y
soit,
mais
pour le cas nouuel qui n’est acoustumé. Si ne s’en sont
mie teus non obstant ait esté long temps celé. Et te promet
que a ma requeste n’est manifestez. Et se veulz dire que
aucunes choses aye faictes ou nom de singulieres personnes,
1070ce a esté despuis que ia en estoit commune renommee. Ce ne
dis ie mie pour nulle excusance, car il n’en est besoing, mais
pour oster toute oppinion qui pourroit estre que en mon fait
presumasse aucune auctorité. Et supplie toy et tes consors
en oppinion, ne me sachiez
mal gré pour cause [fol. 103 vo. a]
1075de mes escriptures, et du present debat sus le liure de la Rose.
proposee, quelque oppinion que
g’y eusse, ainsi comme tu le
pueux veoir en un petit traictié, ou
ie deuisay le premier
[p. 111]
motif et le derrenier terme de nostre debat. Et trop me seroit
1080grief estre subgiette a tel seruitude que n’osasse respondre
a autrui verité selon ma conscience de
la chose, qui ne puet
tourner a preiudice, ains puet auiser plus sage
de plus auant
penser que il n’a consideré par long temps, car comme dit un
commun prouerbe, a la fois auise un fol un sage. Et c’est neant
1085que tu dis que l’eglise saincte, ou tant a
eu de vaillans hommes
depuis qu’il fu fait, l’a souffert par long temps sans reprendre,
attendoit que moy et les autres le venissions reprochier; car
tu sces que toutes choses sont meues a certain temps, ne riens
n’est long enuers l’espace des ans. Et souuent auient que
1090par
une pointellete est curee une grant enfleure. Comment a
souffert l’eglise saincte demourer si long temps l’oppinion de
la concepcion de Nostre Dame, qui plus est chose notable sans
esté debatu est venu auant par si grant esmeute, et si n’est ce
1095pas article de foy, aussi n’est cecy. Si en croye chascun ce
qui lui plaist le
mieulx. Et quant a moy, plus n’en
pense
faire escripture, qui que m’en escrise, car ie n’ay pas empris
toute Saine a boire. Ce que i’ay escript est escript.
Non mie
tairé pour doubte de mesprendre quant a oppinion, combien
1100que faulte d’engin et de sauoir me toult beau stile, mais mieulx
me
plaist excerciter en aultre matiere
mieulx a ma plaisance.
Si pry tous ceulz qui mes petiz dictiez verront, que ilz vueillent
supploier le deffault de mon sauoir par [fol. 103 vo. b] consideracion
de la personne, et prendre tout a bonne fin et entencion
1105pure, sanz laquelle ne vouldroie aucune chose mettre
auant. Si feray fin a mon dictié du debat non hayneux,
commencié, continué, et finé par maniere de soulas sans indignacion
a personne. Si pry la benoite Trinité Parfaicte et
Enterine Sapience, qu’il vueille toy et tous ceulx par especial
1110qui aiment science et noblece de bonnes meurs enluminer de si
Amen.
Escript et complet par moy Christine de Pizan le iie jour
d’octobre l’an mil c.c.c.c. et deux.
1115Ta bien vueillant
[p. 112]XIV.
PIERRE COL’S REJOINDER TO THE FOREGOING.
(Fragment)
A FAME DE HAULT ENTENDEMENT DAMOISELLE CHRISTINE DE PIZAN
Combien que tu aies proposé de n’esc(r)ire plus reprehension
ou blasme contre la compilacion du Romant de la
Rose, comme sage et rauisee qui ses et appersois que humaine
chose est de pechier mais perseuerence est euure de deable,
5pourtant ne retarderas tu ma plume qu’elle ne te refrene;
car apres tant de reprehencions et duplicacions par toy proposees
et escriptes contre si notable escripuain, raison de droit
et bonne coustume ensemble m’ottroient replique, qui comme
disciple dudit escripuain ay fait une seule responce, combien
10qu’il n’en fust besoing pour ce que selonc que mon petit
entendement le peut concepuoir la seule lecture de tes euasions
est assés solucion, et n’ofusque ne [noirçoie] en riens la verité
que je soustiens, ne tasche aucune empraingnent a la treschere
renommee maistre Jehan de Meung tes palliacions extrauagans
15et ornemens de langaige, et croy que point ceste cause t’a
laissié a respondre le preuost de Lisle. Je mesme en fu esmeus
par aucun espace de temps de ne te respondre point, et pour
ce aussy que j’auoye bien ailleurs ou entendre. Toutesuoyes
par maint desbat pour aprendre et moy excerciter je respondray
20a aucuns fais particuliers et euasions mises en ton
epistre responsiue a moy presentee le xxxe jour d’octobre
et te prie que tu tiengnes pour repetees mes excusacions
mises en mon aultre responce.
JA SOIT CE QUE TU DIS ung pou deuant la fin de ta
25darreniere response que ce N’EST MIE HONNEUR DE SOT PENDRE
A TOY QUE ES LE PLUS FOYBLE PARTIE ET QU’ON DEUST
DEROMPE LA GROSSE TIGE NON PAS SOY ARESTER AUX PETITES
BRANCHES, VEU QUE DE TON OPPINION SONS PLUSSEURS SAGES
DOCTEURS, GRANS PRINCES DE CE ROYAUME, ET CHEUALIERS.
30Si n’ay je sceu personne qui l’ait blasmé par auant toy ne
par aprés, se non celuy qui a composee la plaidoierie dame
Eloquance et touteuoyes me reprens tu de ce que j’ay ozé
reprendre a euure de si notable clerc, qui sonne contradicion
et (ne te desplaise) ci et ailleurs tu trebuches en la fosse que tu
35m’auoyes appareillié. C’est assés de dit et de desdit quant tu
[p. 113]
dis c’on se deust prendre aux autres, et tu me reprans de ce que
je n’y suis prouins (prins?) QUANT IE PANSE a celle petite
branchette il me souuient du prouerbe commun que l’en dit:
ce blasme te vault ung grant los. O DONLE DIEU tresglorieux!
40quantes gens sont qui jamais n’appetissent leur los,
ou se blasment aucunement se n’est pour eulx magnifier.
Vescy que tu t’appelles petite branchette et touteuoyes.......
..............................................................................................
..............................................................................................
[p. 114]APPENDIX.
LETTERS OF JEAN DE MONTREUIL
(Amplissima Collectio de Dom Martene, tome II., pp. 1419-21, 22.)
Epistola LIV.
Ad quemdam causidicum[130]
Petit ut ea quae adversus Johannem de Magduno dixerat
retractet
Quo magis magisque perscrutor, vir acutissime, mysteriorum
pondera, ponderumque mysteria operis illius profundi
ac memoriæ percelebris, a magistro Johanne de Magduno
editi, et ingenium accuratius revolvitur artificis, totus quippe
5in ammirationem commoveor et accendor, quo instinctu quove
spiritu seu mente, tu praecipue qui inter civiles actiones omni
die versaris, quae maxime ex electione sana pendent, et ubi praecipitur
tarde et cum gravitate de rebus ferre sententiam, eumdem
dissertissimum et scientificissimum actorem leviter
10nimis, scurriliterve, aut inepte loquutum fuisse censuisti. Et
quasi in praetorio causam ageres, nudius tertius contra mortuum
verba faciens, debacchando jurgabatis, in inventionem
nihilominus atque claritate, proprietateque et elegantia,
magistrum Guillelmum de Lorris longius anteponens; de quo
15tunc certa motus consideratione exclamare praetermisi, et
nunc linquam. Sed si a modo serio dixisse fatearis, dic quo
pignore certes, veniam, ut ait Virgilius, quocumque vocaris;
ut qui magistros et benefactores meos ad extremum usque
singultum non desero, aut suo in honore, quoad potero
20sinam laedi. Sin vero, ut potius reor, joco protuleris,
aut forsan motus aliunde, non adeo feroces sumus, ut quae sit
in disputando libertas ignoremus, aut linguae vertibilitati non
noverimus indulgere; immo quia altercando scitur veritas,
aurumque probatur in fornace, de industria ingenuissimi doctoris
25hujus concedo disputare. Da tamen ut nihil in posterum
cum obstinatione adversus imitatorem nostrum asseveres.
Vale, et intimato super hoc quid intendis. Qui si pergis de
praeceptore nostro
[131] ulterius male loqui, non est quod dissimulare
[p. 115]
queamus. Hanc ex nunc pro diffidentia suscipito. Sunt
30etenim, ne in dubium revoces, pugiles et athletæ non pauci,
qui scripto voceque et manu pariter ut est posse, causam istam
defensabunt.
Epistola LVI.
Ad quemdam amicum[132]
Hortatur ut Johannis de Magduno librum, quem quam
plures damnabant doctores, defendat.
Scis me, consideratissime magister atque frater, jugi
hortatu tuo et impulsu nobile illud opus magistri Johannis de
Magduno, Romantium de Rosa vulgo dictum vidisse: qui
quia de admirabili artificio, ingenio ac doctrina rerum sisto,
5et irrevocabiliter me fateor permansurum, a plurimis scholasticis
non parvae auctoritatis viris supra quam credibile tibi
foret, male tractor et arguor amarissime, ut si ulterius defendere
coner, plane me probare velint, ut dicunt, haereticum.
Nec praetendere prodest te totque viros alios valentes scientificos
10et perdoctos illum tanti fecisse pene et colerent, utque,
quam eo, carere mallent camisia, et nihilominus nostris correctoribus
anteponere suos aemulos, qui, si quid reprehensionis
inesset, adeo magni erant, ut librum suum vivere nequaquam
permisissent una hora. Nec eos juvat insuper obsecrare, quod
15jus omne poscit, ut prius videant notentque quamobrem, qua
dependentia et occasione dicat res, quas vel personas introducat,
quam damnetur tantus auctor. Sed confestim verba
intercipiunt mea, interrumpuntque, ut labra movere vix
audeam, quin mihi anathematis opprobrium comminentur,
20ac ferme judicent reum mortis. Quid vis dicam? tantis
quod me magis urit, magistrum nostrum prosequuntur maledictis,
ut ignem potius quam lecturam meruisse attestentur,
seque inexpiabili scelere contaminari existimant, si quidquam
audierint. Cumque rursus jure humanitatis submissius expostulo,
25ut non prius damnent, quam universa cognoverint,
ostendendo quod etiam sacrilegis, et proditoribus, veneficisque
potestas defendendi sui datur, quodque nec praedamnari
quemquam, incognita causa, licet; nihil agimus tamen, frater
honoratissime, sed tempus terendo incassum aera verberamus,
30nec est quod speremus posse aliquid impetrare, tanta est
hominum pertinacia. Hi sunt mores, ea dementia; timent
[p. 116]
enim ne a nobis revicti manus dare aliquando clamante ipsa
veritate cogantur. Obstrepunt igitur, ut ait Lactantius, et
intercidunt ne audiant, oculos suos opprimunt, ne lumen
35videant quod offerimus, morem Judaeorum adversus Salvatorem
nostrum observantes, penes quem inimici facti sunt
judices. Sic doctor noster emeritissimus condemnatur,
quod vetant leges omnes, innocentissimus non auditus, ab
his qui perfecto coram vivente mutire non tentassent,
40eumdem tamen, et quod molestius ferendum est, male
visum perscrutatumque et notatum ignominiose despiciunt
nostri correctores, execrantur et impugnant. O arrogantiam,
temeritatem, audaciam, opus tantum, tot diebus
ac noctibus, tanto cum sudore et attentione digesta
45elaboratum et editum, hi qui superficie tenus nec eodem contextu,
aut ex integro se legisse profitentur, subito instar eorum
qui mensae inter crapulas omnia ut libet et fert impetus accusant,
reprehendunt atque damnant. Paulo magis ponderis in
stateram ponentes tantum opus, quam lucis unius Cantilenam
50histrionis. Quorum praetextu in alterum istorum patronorum
scripto tenus invexi, sicut videbis per eam quam tibi fert epistolam
is bajulus. Tuum ergo erit, dux, princeps, rectorque
hujus præcepti laudatissimum et amantissimum imitatorem
tuum defensare et hos malesanos et deliros conculcare, ac
55ratiunculas meas indigestas disertiae tuæ acumine validare,
comere et linire, quatenus ego qui auxilii tui confidentia et
ingenii ope fretus campum hunc duelli introii, alias non facturus.
Scio enim quod ubi obdormientes sui sensus expergiscentur,
et calamus jacens exeret se, non praevalebunt adversus
60nos isti veritatis inimici; sed eos cum voles non dubito
efficies oves mites et mutos, reddes per omnia tamquam truncos.
Vale, nec amicos sinas, quoad potes, sic injuste, vafre,
pernitiose et inique pessum dari.
..............................................................................................
Epistola LVII.
Ad quemdam anonymum.[133]
Ut retractet ea quæ de Johanne de Magduno dixerat.
Etsi facundissimus, si copiosus, si eloquens et abundans,
sed, quod scribendi fons est, sapiens es, vir insignis; vides
tamen veritate vincente ac pariter conscientia remordente,
adversus satiricum illum perseverum magistrum Johannem
[p. 117]
5de Magduno, nihil te ulterius mutire audere, aut disserere
posse. Ipsius quippe veritatis tanta vis est, ut ei nullius
rhetoris industria sese aequet, illo assentiente, qui dicit:
Veritas manet in aeternum; falsa non durant. Redi ergo
ipsius doctoris et praeceptoris carissimi in gratiam, nec quia
10facile prorupisti verearis. Illico enim cum voles, veniam
impetrando noster eris, modo de resipiscentia tua ex fideli
promissione nullus apud nos scrupulus remaneat. Non enim
latet nos quousque disputandi progrediatur licentia, et quod
disputationi serotinae saepe numero matutina contradicit.
15Scis insuper, vir experte, Originem et una Lactantium erravisse,
et pariter Augustinum, plerosque magni nominis atque
famae alios revocasse doctores. Non igitur pudeat nimis
liberte dicta et attentata obnoxius reparare. Forsitan vero
quae damnas perfunctorie vidisti, nec recenter; quae duo
20maxime judicium perverterunt, ac te praecipitem dederunt
in errorem, non fidei quidem vel iniquitatis, aut malitiae; sed
in quem nonnulli praedictorum ipsius de Magduno superficie
tenus viso pede tecum ruunt. Neque praesentem monitionem
nostram parvi pendas, aut existimes caritate fraterna vacare,
25vel me gratis prioribus nostris in litteris te de amantissimis
defensoribusque philosophi praelibati animadvertisse. Sunt
enim quorum calcaria auro fulgent, magnisque dignitatibus
potiuntur, qui pro tuitione nostri propositi pulchram petunt
cum Marone per vulnera mortem, nec acceptius quidquam
30Deo agere putarent, quam in eos irruere, qui nostrum coarguunt
instructorem de syllaba solum parvula sive coma.
Atqui te quid facturum censeam a me quaeris? Id quod propheta
simul et rex non erubuit suppliciter confiteri hortor
dicas: Delictum meum cognitum tibi feci, et injustitiam
35meam non abscondi. Quod si tractatum super inde conficeres,
interim per amicitiam nostram precor, taedio tibi nequaquam
adveniat tuo huic mandare quampiam praeposito remissivam,
quae levatio praesertim sit nostrae expectationis et tuae intentionis
nuntia in aliquo, cum psalmista, Laetabor ego super
40eloquia tua, quasi qui invenit spolia multa. Vale.
TABLE OF CONTENTS
| |
Prefatory Note. |
2 |
| I. |
INTRODUCTION. |
3 |
| II. |
MANUSCRIPTS. |
10 |
| III. |
BIBLIOGRAPHY. |
12 |
| IV. |
THE DOCUMENTS. |
16 |
| I. |
“Epistre au Dieu d’Amours” of Christine De Pizan. |
16 |
| II. |
“Dit de la Rose” of Christine. |
16 |
| III. |
The Treatise of Jean de Montreuil. |
16 |
| IV. |
Christine to Jean de Montreuil. |
17 |
| V. |
Gontier Col to Christine, Asking for a Copy of No. IV. |
29 |
| VI. |
Gontier Col to Christine, Reproving Her For Her Attitude Towards the
Roman de la Rose. |
30 |
| VII. |
Christine’s Reply to No. VI. |
32 |
| VIII. |
Christine’s Dedicatory Epistle to the Queen of France. |
34 |
| IX. |
Christine’s Dedicatory Epistle to Guillaume de Tignonville. |
35 |
| X. |
Gerson’s Tractatus. |
38 |
| XI. |
Pierre Col’s Letter Replying to Christine and to Gerson. |
56 |
| XII. |
Gerson’s Reply to Pierre Col. |
77 |
| XIII. |
Christine’s Reply to Pierre Col. |
83 |
| XIV. |
Pierre Col’s Rejoinder to the Foregoing. |
112 |
| |
APPENDIX. |
114 |
| |
Epistola LIV. |
114 |
| |
Epistola LVI. |
115 |
| |
Epistola LVII. |
116 |
Transcriber's Notes
Textual notes in the original are not numbered but start with the
line number and the word(s) to which they apply, such as
4. Treschier sire] wanting F.
indicating that those words do not appear in manuscript F. In the
transcription the line numbers have been placed in square brackets
and the pertinent word(s) in round brackets:
[l. 4] (treschier sire) wanting F.
All notes have been placed at the end of each document. In a few places
the order of the notes has been silently corrected.
Where appropriate, punctuation and French accents have been silently
corrected, and in a few places italics have been silently adjusted. Also,
confusions between u and v and between f and s in the French texts
have been silently corrected.
Spelling variations such as œuure/oeuure/euure have not been harmonized, but
obvious typographical errors have been corrected. Such corrections
in the text are underlined with blue
dots. When placing the cursor on such words the original text
appears.
A table of contents has been added.