The Project Gutenberg eBook of Gaston Darboux: Biographie, Bibliographie analytique des écrits

This eBook is for the use of anyone anywhere in the United States and most other parts of the world at no cost and with almost no restrictions whatsoever. You may copy it, give it away or re-use it under the terms of the Project Gutenberg License included with this eBook or online at www.gutenberg.org. If you are not located in the United States, you will have to check the laws of the country where you are located before using this eBook.

Title: Gaston Darboux: Biographie, Bibliographie analytique des écrits

Author: Ernest Lebon


Release date: March 11, 2013 [eBook #42310]
Most recently updated: October 23, 2024

Language: French

Other information and formats: www.gutenberg.org/ebooks/42310

Credits: Produced by Laura Wisewell, Hans Pieterse and the Online
Distributed Proofreading Team at http://www.pgdp.net (The
original copy of this book was generously made available
for scanning by the Department of Mathematics at the
University of Glasgow.)

*** START OF THE PROJECT GUTENBERG EBOOK GASTON DARBOUX: BIOGRAPHIE, BIBLIOGRAPHIE ANALYTIQUE DES ÉCRITS ***

Note de transcription:

L'orthographe originale a été conservée et n'a pas été harmonisée. Seules quelques erreurs typographiques évidentes ont été corrigées.

GASTON DARBOUX

PRINCIPAUX OUVRAGES DE M. ERNEST LEBON.


Chez M. Gauthier-Villars, Quai des Grands-Augustins, 55, Paris.

Histoire abrégée de l'Astronomie. Petit in-8, en caractères elzévirs, titre en deux couleurs, avec 16 portraits et 1 Carte du Ciel; 1899 (Ouvrage couronné par l'Académie Française).

8 fr.

Théorie et Application des Sections homothétiques de deux quadriques. Grand in-8, avec 9 figures; 1884.

2 fr.

Savants du Jour: Biographie, Bibliographie analytique des Écrits. Grand in-8 (28-18), papier de Hollande, avec un portrait en héliogravure (Collection honorée d'une Souscription de l'Académie des Sciences):

Henri Poincaré, 1 vol. de VIII-80 p., 1er Juillet 1909.

7 fr.


Chez MM. Delalain Frères, Boulevard Saint-Germain, 115, Paris.

Traité de Géométrie Descriptive (comprenant la Géométrie Cotée). 2 vol. grand in-8.

Ier Volume. Classe de Mathématiques, 286 épures dans le texte; 3e éd., 1901.

5 fr.

IIe Volume. Classe de Mathématiques spéciales, 199 épures dans le texte, 1 Atlas in-8 de 14 planches in-4 gravées; 1882.

12 fr.

Table de Caractéristiques relatives à la base 2310 des Facteurs Premiers d'un nombre inférieur à 30030. Gr. in-8, 12 pages de texte, 20 Tableaux; 1906 (Ouvrage honoré d'une Subvention de l'Association Française pour l'Avancement des Sciences).

1 fr. 50.

Portrait de M. G. Darboux

Phot. Valéry.

SAVANTS DU JOUR


GASTON DARBOUX

BIOGRAPHIE,
BIBLIOGRAPHIE ANALYTIQUE DES ÉCRITS,

PAR

Ernest LEBON,

Agrégé de l'Université,
Lauréat de l'Académie Française,
Correspondant de l'Académie royale des Sciences de Lisbonne
et de la Société royale des Sciences de Liége,
Membre honoraire de l'Académie de Metz.

Logo de l'éditeur: 'ΑΕΙ Ο ΘΕΟΣ ΓΕΩΜΕΤΡΕΙ'

PARIS,

GAUTHIER-VILLARS, IMPRIMEUR-LIBRAIRE

DU BUREAU DES LONGITUDES, DE L'ÉCOLE POLYTECHNIQUE,
Quai des Grands-Augustins, 55.

10 Janvier 1910.

(Tous droits réservés.)

TABLE DES MATIÈRES.

Abréviations. VI

SECTION I.—BIOGRAPHIE.

Notice sur M. Gaston Darboux. 1
Grades. Fonctions. Titres honorifiques. Prix. Décorations. 8

SECTION II.—ANALYSE MATHÉMATIQUE.

Rapport de M. Camille Jordan sur le Prix Petit d'Ormoy. 13
Ouvrages. 15
Mémoires. Notes: Analyse pure. Analyse appliquée à l'Algèbre. 15

SECTION III.—GÉOMÉTRIE INFINITÉSIMALE.

Rapport de Michel Chasles sur la Thèse de M. G. Darboux. 22
Analyse par Jules Houel d'un Ouvrage de M. G. Darboux. 23
Rapport de M. Camille Jordan sur le Prix Petit d'Ormoy. 25
Ouvrages. 27
Mémoires. Notes. 29

SECTION IV.—MÉCANIQUE ANALYTIQUE. MÉCANIQUE CÉLESTE ET PHYSIQUE MATHÉMATIQUE.

Analyse par Ph. Gilbert de Notes de Mécanique dues à M. G. Darboux. 37
Mémoires. Notes: Mécanique analytique. Mécanique céleste. Physique mathématique. 41

SECTION V.—MATHÉMATIQUES SUPÉRIEURES.

Ouvrage. 47
Mémoires. Notes: Algèbre. Géométrie synthétique. Géométrie analytique. Mécanique. 47

SECTION VI.—HISTOIRE DES SCIENCES.

Ouvrage. 55
Éloges et Notices historiques. 56
Discours nécrologiques. 57
Discours. 58
Conférence. 59
Notices nécrologiques. 59
Rapports. 60
Articles. 61
Analyses. 62

SECTION VII.—PUBLICATIONS DIVERSES.

Mémoires. Notes: Mathématiques. 68
Discours. 69
Rapports. 70
Comptes rendus. 71
Articles. 71
Préfaces. Analyses. 71

ABRÉVIATIONS.

A A I A Archives de l'Association Internationale des Académies. Paris, G.-V., in-4.
A M Acta Mathematica. Journal fondé et rédigé par G. Mittag-Leffler. Berlin, Stockholm; Paris, Hn., in-4.
A M P G Archiv der Mathematik und Physik, Geg. 1841 durch J. A. Grunert, Her. von E. Lampe,... Leipzig, B. G. T., gr. in-8.
A S A P P Annaes scientificos de Academia polytechnica do Porto, publicados sob a direcção de F. Gomes Teixeira. Coïmbre, gr. in-8.
A N S E N Archives Néerlandaises des Sciences exactes et naturelles, La Haye, M. Nijhoff, gr. in-8.
A S E N Annales scientifiques de l'École Normale supérieure. Paris, G.-V., in-4.
B A Bulletin astronomique publié par l'Observatoire de Paris. Président de la Commission de rédaction: H. Poincaré. Paris, G.-V., gr. in-8.
B A M S Bulletin of the American mathematical Society. Lancaster, PA., and New York, the Macmillan Society, 2d s., in-8.
B D B Börsenblatt für den Deutschen Buchhandel. Redakteur: Max Evers. Leipzig, in-4.
B M I P Bulletin administratif du Ministère de l'Instruction publique. Paris, I. N., in-8.
B S M Bulletin des Sciences mathématiques, fondé en 1870 par Gaston Darboux, publié par Gaston Darboux, Émile Picard et Jules Tannery. De 1870 à la fin de 1884, le titre fut Bulletin des Sciences mathématiques et astronomiques. Paris, G.-V., gr. in-8.
B S M F Bulletin de la Société mathématique de France. Paris, G. V., gr. in-8.
B S P Bulletin de la Société philomathique de Paris. Paris, S., de 1864 à 1888, in-8; ensuite gr. in-8.
C E St L Congress of Arts and Science, Universal Exposition, Saint Louis, 1904. Boston and New York, Houghton, v. I, 1905, large 8vo.
C M C In Memoriam Dominici Chelini Collectanea mathematica, nunc primum edita cura e studio L. Cremona et E. Beltrami. Neapoli, Pisis, sumptibus Ulrici Hoepli, 1881, gr. in-8.
C M D Cours de Mécanique par M. Despeyrous. Paris, Hn., t. I, 1884; t. II, 1886, gr. in-8.
C M F Časopis pro pěstování matematiky a fysiky, redigu jí K. Petr, Boh. Kučera. Praze, B. Stýbla, gr. in-8.
C R Comptes rendus hebdomadaires des Séances de l'Académie des Sciences. Paris, G.-V., in-4.
E C C Affaire Dreyfus. La Revision du Procès de Rennes. Enquête de la Chambre criminelle de la Cour de Cassation, 5 mars-19 novembre 1904. Paris. Ligue des Droits de l'Homme, 1908, 1909, gr. in-8.
I L'Institut. Journal universel des Sciences et des Sociétés savantes en France et à l'Étranger. Première section jusqu'à la fin de 1872. Nouvelle série à partir de 1873. Paris, in-4.
vii I F Institut de France. Paris, F.-D., in-4.
I M L'Intermédiaire des Mathématiciens fondé en 1894 par C.-A. Laisant et Émile Lemoine. Paris, G.-V., in-8.
J F M Jahrbuch über die Fortschritte der Mathematik. Beg. von Carl Ohrtmann. Her. von Emil Lampe. Berlin, Georg Reimer, gr. in-8.
J L Journal de Mathématiques pures et appliquées fondé par J. Liouville, rédigé par Camille Jordan. Paris, G.-V., in-4.
J S Journal des Savants. Paris, H., in-4.
J S T Jornal de Sciencias mathematicas e astronomicas publicado pelo Dr Gomes Teixeira. Coïmbre, gr. in-8.
L C D Literarisches Centralblatt für Deutschland. Beg. von Fredrich Barncke. Her. von Edward Barncke. Leipzig, E. Avenarius, in-4.
L C K Leçons de Cinématique professées à la Sorbonne par Gabriel Kœnigs. Paris, Hn., 1897, gr. in-8.
L T S D Leçons sur la Théorie générale des surfaces et les Applications géométriques du Calcul infinitésimal, professées à la Sorbonne par Gaston Darboux. Paris, G.-V., 1887-1896, 4 v. gr. in-8.
M A Mathematische Annalen, Beg. 1868 durch Alfred Clebsch und Carl Neumann. Her. von Felix Klein,... Leipzig, B. G. T., gr. in-8.
M A S Mémoires de l'Académie des Sciences de l'Institut de France. Paris, G.-V., in-4.
M G G The mathematical Gazette edited by W.-J. Greenstreet. London, George Bell, in-8.
M G M N Mitteilungen zur Geschichte der Medizin und der Naturwissenschaften. Her. von S. Günther und K. Sudhoff. Hamburg, Voss, in-4.
M M P Monatshefte für Mathematik und Physik. Her. von G. v. Escherich, F. Mertens und W. Wirtinger. Wien, J. Eisenstein, gr. in-8.
Ms Mathesis. Recueil mathématique publié par P. Mansion et J. Neuberg. Gand, Ad. Hoste; Paris., G.-V., gr. in-8.
M S A S Mémoires présentés par divers Savants à l'Académie des Sciences de l'Institut de France. Paris, I. N., in-4.
M S S B Mémoires de la Société des Sciences physiques et naturelles de Bordeaux. Paris, G.-V.; Bordeaux, gr. in-8.
N Nature. London and New York, in-4.
N A M Nouvelles Annales de Mathématiques, fondées en 1842 par Gérono et Terquem, dirigées par C.-A. Laisant, C. Bourlet et R. Bricard. Paris, G.-V., in-8.
N A W Nieuw Archief voor Wiskunde onder redactie van J. C. Kluyver, D. J. Korteweg en P. H. Schoute. Amsterdam, Delsman en Nolthenius, gr. in-8.
N T M Nyt Tidsskrift for Matematik, Redigeret of C. Juel og V. Trier. Kobenhavn, Jul. Gjellerup, in-8.
P L M S Proceedings of the London Mathematical Society. London, F. Hodgson, in-8 jusqu'en 1903, gr. in-8 à partir de 1904.
P M L Periodico di Matematica per l'Insegnamento secondario, diretto dal Prof. Giulio Lazzeri. Livorno, R. Giusti, gr. in-8.
R I E Revue internationale de l'Enseignement publiée par la Société de l'Enseignement supérieur. Rédacteur en chef: François Picavet. Paris, 20, rue Soufflot, gr. in-8.
R M La Revue du Mois. Directeur: Émile Borel. Paris, H. Le Soudier, gr. in-8.
viii R M M Revue de Métaphysique et de Morale: Secrétaire de la rédaction: M. Xavier Léon. Paris, A. C., gr. in-8.
R O Revue générale des Sciences pures et appliquées. Directeur: Louis Olivier. Paris, in-4.
R P A B Rapport sur les Progrès les plus récents de l'Analyse mathématique par J. Bertrand. Paris, Impr. Impér., 1867, gr. in-8.
R P G C Rapport sur les Progrès de la Géométrie par M. Chasles. Paris, I. N., 1870, gr. in-8.
R R Revue scientifique. Revue rose. Directeur de la rédaction: Ch. Moureu. Paris, 41 bis, rue de Châteaudun, in-4.
S S A S Société de secours des Amis des Sciences. Compte rendu des Exercices. Paris, G.-V., in-16 jésus.
U P R Académie de Paris. Conseil général des Facultés ou Conseil de l'Université de Paris, à partir de 1895-1896. Rapports sur les travaux et les actes des Établissements d'Enseignement supérieur pendant l'année scolaire... Paris, gr. in-8.
Z M P Zeitschrift für Mathematik und Physik. Her. von O. Schlömilch und M. Cantor. Leipzig, B. G. T., gr. in-8.
aa. aargang.
Afd. Afdeling.
Abt. Abteilung.
Bd. Band.
Beg. Begründet.
d. R. dritte Reihe.
f. fascicule.
Geg. Gegründet.
Ht. Heft.
Her. Herausgegeben.
J. Jahrgang.
Lit. Literaturberichte.
n. note.
n. s. nouvelle série, new series.
R. Ročnick.
S. Seite.
s. série, series.
A. C. Armand Colin.
A. M. A. Marty.
B. G. T. B. G. Teubner.
D. Delagrave.
F.-D. Firmin-Didot.
G.-V. Gauthier-Villars.
H. Hachette et Cie.
H. L. H. Laurens.
Hn. A. Hermann; Hermann et Fils.
I. N. Imprimerie nationale.
S. A la Sorbonne.

GASTON DARBOUX


SECTION I.
BIOGRAPHIE.

NOTICE SUR M. GASTON DARBOUX.

M. Jean-Gaston Darboux, aîné des deux fils d'un commerçant en mercerie, naquit à Nîmes le 13 août 1842, dans une maison qui avait été autrefois une chapelle de la cathédrale. Son père, de santé délicate, mourut en 1849. C'était un homme instruit. Il laissait quelques livres qui firent les délices de l'enfance et de la jeunesse de son fils aîné. Sa mère prit avec courage la suite des affaires. Elle plaça ses deux enfants dans une institution voisine de sa demeure, puis, en 1853, au lycée de Nîmes. A cette époque le régime scolaire était plus sévère qu'aujourd'hui: les deux frères, demi-pensionnaires, entraient au lycée dès 6h du matin et n'en sortaient qu'à 8h du soir. Mme Darboux, douée d'une intelligence peu commune, voyant que ses fils avaient d'heureuses dispositions pour les travaux intellectuels, mit leur avenir au-dessus de tout: au lieu de les associer à son commerce, elle leur permit de continuer leurs études quand ils eurent pris le baccalauréat ès sciences.

En octobre 1859, M. Darboux entra dans la classe de Mathématiques spéciales du lycée de Montpellier. Le professeur, Charles Berger, exposait clairement les matières de son cours, s'occupait de ses élèves pendant les veillées, conduisait les meilleurs d'entre eux à la bibliothèque où il leur faisait lire des Ouvrages de hautes Mathématiques. Après une seule année de travail, M. Darboux se présenta, surtout pour faire plaisir à son professeur, aux examens du concours d'admission à l'École Polytechnique; 2 déclaré admissible, il ne voulut pas subir l'examen du second degré, car il avait déjà le désir d'entrer dans l'enseignement. Il suivit de nouveau le cours de Charles Berger et eut le rare bonheur, en octobre 1861, d'être admis premier à la fois à l'École Polytechnique et à l'École Normale supérieure dans la section des Sciences. Fidèle à son idée de devenir professeur, M. Darboux choisit l'École Normale.

Cette résolution, qui lui avait été inspirée par son goût pour l'enseignement, eut alors un grand retentissement dont J.-J. Weiss s'est fait l'écho dans le Journal des Débats[1]. Auparavant l'immense majorité des élèves qui étaient à la fois reçus aux deux Écoles, dans un bon rang, entraient à l'École Polytechnique. M. Darboux a donné un exemple qui a été suivi immédiatement; il a été le premier d'une série qui contient des noms tels que ceux de Didon, de Paul Appell, d'Émile Picard et de bien d'autres qui, comme lui, ont opté pour l'École Normale. Sa mère vint elle-même le présenter à Pasteur, directeur des études scientifiques. Comme il est naturel, celui-ci approuva tout à fait la résolution prise par elle et par son fils. Bientôt après, en parlant de ce choix, Désiré Nisard, directeur de l'École, écrivait, dans une Lettre[2] adressée au ministre de l'Instruction publique, cette phrase que Mme Darboux aimait à répéter à son fils: «C'est, dans nos annales domestiques, le premier exemple d'une conquête de ce genre.»

M. Darboux eut en outre la satisfaction d'être autorisé par le ministre à suivre, en dehors de l'École Normale, les cours qui lui plairaient. Il profita de cette faveur pour assister aux leçons que Joseph Bertrand, son maître de conférences à l'École, professait au Collège de France sur la Physique Mathématique. Ce fut l'origine de l'amitié de ce géomètre pour M. Darboux, qui, plus tard, conquit aussi l'estime et la bienveillance d'autres savants, notamment de Bouquet, de Briot, de Chasles et de Serret.

Pendant ses trois années de séjour à l'École Normale, M. Darboux se livra, dans ses loisirs, à l'étude approfondie des belles questions géométriques qu'avaient résolues Monge, Gauss, Poncelet, Dupin, Lamé, Jacobi; il fit même, sur la théorie des surfaces orthogonales, un travail que Serret présenta à l'Académie des Sciences le 1er août 1864 et dont le résumé fut inséré aux Comptes rendus. Bientôt après, le 20 septembre 1864, M. Darboux était reçu premier au concours d'agrégation des Sciences mathématiques. Pour lui, Pasteur fit alors créer une place de préparateur agrégé de Mathématiques à l'École Normale, car il voulait lui permettre de poursuivre des recherches si bien commencées. M. Darboux eut ainsi le temps de composer, sur les surfaces orthogonales, une thèse où il donnait beaucoup de résultats nouveaux et qu'il soutint brillamment en Sorbonne le 14 juillet 1866. Ses juges, Chasles, Serret, Bouquet, le félicitèrent hautement en le déclarant docteur ès sciences mathématiques.

3 En 1866-1867, M. Darboux fut pris par Joseph Bertrand comme remplaçant pour son cours de Physique mathématique au Collège de France, et, en octobre 1867, Bouquet le fit nommer son suppléant dans la chaire de Mathématiques spéciales au lycée Louis-le-Grand. Du 10 septembre 1868 au 26 septembre 1872, M. Darboux fut titulaire de cette chaire. Bien que cette période ait été la plus chargée de sa vie professorale, c'est l'une de celles où il fit, en Analyse et en Géométrie, un grand nombre d'importantes recherches dont les résultats attirèrent l'attention des savants français et étrangers. Parmi les publications de cette période, il faut en citer deux, parues en 1870: d'abord des Notes Sur les équations aux dérivées partielles du second ordre, qui ont ouvert une voie nouvelle dans cette difficile théorie et dont la plus complète a été reproduite par M. Paul Mansion dans un Ouvrage publié en 1892; ensuite un long Mémoire Sur une classe remarquable de courbes et de surfaces algébriques et sur la théorie des imaginaires, qui contient soit le développement, soit le germe de plusieurs méthodes intéressantes.

Le 1er octobre 1872, M. Darboux quitta définitivement l'enseignement secondaire pour remplir les fonctions de maître de conférences de Mathématiques à l'École Normale supérieure. Dès lors il se consacra, avec un zèle soutenu, à la tâche si belle qui lui était confiée. Bersot, directeur de l'École, appréciant ses efforts, lui témoignait son estime et sa confiance en le consultant volontiers sur les questions relatives à la Section des Sciences. Les résultats de ce zèle et de ces efforts ont été ainsi appréciés, en 1895[3], par M. Jules Tannery: «Je ne veux pas parler de ceux qui sont trop près de nous. Comment ne pas rappeler pourtant que la Section mathématique de l'École a brillé d'un éclat incomparable pendant que M. Darboux la dirigeait.»

Le 24 janvier 1873, M. Darboux fut désigné pour suppléer Liouville dans sa chaire de Mécanique rationnelle à la Sorbonne. Mais à ses débuts il se trouvait en présence de cinq ou six auditeurs seulement: les élèves de l'École Normale avaient déserté le cours que Liouville, âgé et malade, ne faisait que très irrégulièrement, et auquel Briot suppléait dans ses conférences à l'École. Dès l'année suivante, ces derniers reprirent le chemin de la Sorbonne, et M. Darboux eut la satisfaction d'avoir des auditeurs aptes à suivre un enseignement qu'il avait dû établir sur des bases nouvelles. Parmi eux, il convient de citer MM. Paul Appell et Émile Picard, aujourd'hui ses collègues à l'Institut. On retrouve dans ses Mémoires et dans les Notes qu'il a insérées à la fin du Cours de Mécanique de Despeyrous quelques-uns des points nouveaux qu'il a développés en Sorbonne de 1873 à 1878.

La chaire de Géométrie supérieure à la Faculté des Sciences de Paris 4 avait été créée en 1846 pour que Chasles y développât les résultats de ses nombreuses recherches ainsi que les théories de ses devanciers. Mais plusieurs des questions que traitait ce géomètre ne tardèrent pas à être enseignées dans les lycées. Aussi M. Darboux, succédant, le 28 décembre 1880, à Chasles, dont il avait été le suppléant pendant 2 ans, dût-il donner au cours une physionomie tout autre. Par ses remarquables travaux analytiques et géométriques, il s'était merveilleusement préparé à inaugurer une ère nouvelle dans l'enseignement de la Géométrie supérieure à la Sorbonne: c'est pourquoi, depuis une trentaine d'années, cet enseignement s'est tellement modifié que la chaire occupée par M. Darboux paraîtrait mieux dénommée si elle s'appelait chaire de Géométrie infinitésimale.

M. Darboux possède les qualités d'organisateur à un degré aussi élevé que celles de professeur. Il l'a révélé dans les hautes et délicates fonctions de doyen de la Faculté des Sciences de Paris, auxquelles il fut nommé, sur la proposition de ses collègues, par le ministre de l'Instruction publique, le 12 novembre 1889. Mais, désireux de prendre un repos qu'il avait bien mérité, M. Darboux demanda à être relevé de ses fonctions avant l'expiration de son cinquième mandat: il fut nommé doyen honoraire le 4 mars 1903. Le vif regret causé par cette démission fut exprimé, dans les Rapports relatifs à l'Enseignement supérieur pendant l'année scolaire 1902-1903, par M. L. Liard, vice-recteur de l'Académie de Paris, président du Conseil de l'Université de Paris, et par M. P. Appell, successeur de M. Darboux au décanat.

Au nom de M. L. Liard, le rapporteur, M. Ch. Lyon-Caen, a écrit: «M. Darboux a, avec un zèle infatigable et l'intelligence la plus éclairée, contribué au développement considérable qu'a reçu dans les dernières années la Faculté des Sciences, et à l'organisation de l'Université de Paris reconstituée. Son nom aura une place d'honneur dans l'histoire de la Faculté des Sciences et dans celle de l'Université.»

Et M. P. Appell, plus explicite, a parlé en ces termes: «La Faculté adresse à M. Darboux tous ses remercîments pour l'activité incessante, pour l'intelligence vive et pratique, avec laquelle il a toujours défendu ses intérêts, étendu son enseignement et accru son influence; la comparaison de l'affiche des cours de 1888 et du budget de cette époque avec le tableau de l'enseignement et du budget actuels montrent combien l'administration de M. Darboux a été féconde. Jamais, d'ailleurs, aucun de nos doyens ne s'était trouvé en présence d'une œuvre aussi considérable à accomplir tant dans le domaine matériel que dans le domaine de l'enseignement: reconstruction de la Sorbonne; constructions, agrandissements et créations de laboratoires; organisation du P. C. N.; créations de chaires et de maîtrises de conférences nouvelles.»

5 M. Darboux eut encore l'occasion de s'occuper d'affaires administratives comme membre du Conseil supérieur de l'Instruction publique, dont il fit presque toujours partie depuis 1888. Le 4 juillet 1908, il fut nommé vice-président de ce Conseil et bientôt après membre de sa Commission permanente. Grâce au renom qu'il s'est acquis comme savant et administrateur, il est devenu membre ou président d'un grand nombre de Commissions universitaires, de divers Bureaux scientifiques de l'État, de Conseils d'Observatoires nationaux, d'institutions officielles ou privées.

Après avoir eu la vive satisfaction de voir ses recherches favorablement appréciées par les savants, M. Darboux eut la joie d'être élu, le 3 mars 1884, membre de l'Académie des Sciences, dans la Section de Géométrie. On peut se rendre compte de l'importance et de la variété des travaux qui lui ont valu cet honneur si recherché en parcourant le Rapport que M. Camille Jordan lut en public peu de temps après. Plus tard, le 21 mai 1900, en élevant M. Darboux aux fonctions de Secrétaire perpétuel pour les Sciences mathématiques, ses collègues de l'Académie lui accordaient la plus haute des marques d'estime et de confiance dont ils puissent disposer. A cette nouvelle satisfaction éprouvée par M. Darboux se joignirent de profonds regrets qu'il a exprimés publiquement en de nobles termes, le 16 décembre 1901, dans un Éloge historique dont voici le début: «Appelé pour la première fois à prendre la parole dans cette enceinte, je crois remplir un devoir en vous présentant d'abord l'éloge d'un homme que j'ai beaucoup aimé et profondément admiré, mon illustre maître Joseph Bertrand.» En choisissant M. Darboux comme Secrétaire perpétuel, l'Académie des Sciences a été bien inspirée. Ce savant marche sur les traces de son spirituel devancier: comme lui, dans des Éloges et Notices historiques, il expose en un style élevé la vie et l'œuvre d'Académiciens décédés; comme lui, en présentant les pièces de la correspondance, il donne d'intéressantes explications que les Membres de l'Académie et le public écoutent toujours avec le plus vif plaisir.

Outre qu'il fait partie de l'Institut de France, M. Darboux est membre à divers titres de 21 Académies royales ou impériales, docteur honoris causâ des Universités de Cambridge, Christiania et Heidelberg, membre honoraire de l'Université de Kasan et de 11 Sociétés scientifiques étrangères.

Le présent Opuscule contient la liste, le plus souvent avec des analyses, de toutes les publications mathématiques de M. Darboux; il suffit donc, dans cette Notice, d'indiquer les principaux caractères des recherches de ce géomètre. M. Darboux a généralisé des questions dont des cas particuliers avaient seuls été abordés. Il a su établir des rapprochements entre des théories dont on n'avait pas encore aperçu les points communs. Il a 6 fait faire de sensibles progrès à la solution de problèmes qui se rencontrent en Analyse et en Physique mathématique. Dans un important Ouvrage sur la Géométrie infinitésimale, dont les quatre Volumes ont été publiés de 1887 à 1896, il a exposé non seulement les travaux de ses devanciers, mais encore ses recherches personnelles qui auraient pu donner naissance à un grand nombre de Mémoires originaux. A côté d'une exposition très complète des travaux des anciens géomètres sur les surfaces minima, il faut remarquer des théories entièrement nouvelles: celles, par exemple, de l'équation de Laplace, de la déformation infiniment petite et des 12 surfaces, des systèmes conjugués, des mouvements relatifs; une exposition originale des principes de la Dynamique, une solution aussi complète qu'il est possible de la donner actuellement du problème de la représentation sphérique, etc. Il a aussi semé dans son travail un grand nombre de remarques qui paraissent contenir le germe de futures découvertes. Enfin, il ne néglige jamais de présenter les considérations géométriques auxquelles conduit l'Analyse, ni celles qui permettent d'écrire avec le plus de simplicité les équations qu'exige la solution algébrique d'un problème. Avec le même soin et la même compétence, M. Darboux a commencé en 1898, Sur les systèmes orthogonaux et les coordonnées curvilignes, la publication d'un Ouvrage qui complète le précédent et dont on souhaite vivement voir apparaître la suite. Il serait superflu de rappeler que les deux théories précédentes ont toujours fait l'objet de ses recherches favorites.

L'ensemble de ces deux Ouvrages constitue une histoire documentée de la Géométrie infinitésimale pendant le XIXe siècle. M. Darboux a tracé les grandes lignes de cette histoire dans la Conférence qu'il a faite au Congrès des mathématiciens tenu à Rome en avril 1908. Quelques années avant, au Congrès d'Arts et de Science tenu à Saint-Louis en septembre 1904, il avait lu une étude approfondie sur le développement de toute la Géométrie moderne. De plus, il a fourni de précieux matériaux à l'histoire des Sciences en analysant un grand nombre d'Ouvrages variés, en composant quelques Éloges et Notices historiques et plusieurs Discours qu'il a lus dans de solennelles cérémonies où il représentait l'Institut, le Gouvernement ou l'Université de Paris. Tous ces écrits donnent à M. Darboux une place importante dans le monde des lettres.

De taille élevée, d'aspect sévère et froid, M. Darboux intimide ceux qui l'abordent pour la première fois. Heureusement cette impression s'efface vite après quelques minutes d'entretien. On reconnaît alors qu'il est bienveillant et que sous une écorce rude il cache un cœur généreux. Il a plusieurs fois donné des preuves de ces deux qualités, notamment depuis une dizaine d'années comme président de la Société de secours des Amis des Sciences. Sa conversation, qui roule sur les sujets les plus divers, est à la 7 fois instructive et attrayante. Il reconnaît que ses professeurs de Mathématiques ont découvert, éveillé et entretenu son goût pour la Géométrie et il répète leurs noms avec émotion et plaisir. Il s'efforce de juger sans parti pris et avec équité les questions qui lui sont soumises. Lorsqu'il préside une commission, il a une confiance absolue en ses collègues et il les défend s'ils sont attaqués. A quelqu'un qui lui avait écrit qu'on avait cherché à surprendre la bonne foi du président, il répondit: «Soyez persuadé, Monsieur, qu'aucun des membres de la commission n'est capable de chercher à abuser de la confiance de ses collègues». Dans toutes les circonstances de la vie, M. Darboux procède avec méthode; il ne faut donc pas être surpris de retrouver cette qualité lorsqu'il développe le programme de son cours et qu'il écrit sur le tableau les équations dans l'ordre où elles se présentent. Très consciencieux par nature, il ne laisse inachevé aucun raisonnement et expose à ses auditeurs des leçons toujours soigneusement préparées. Il existe dans sa bibliothèque une preuve irréfutable de ce dernier fait: elle consiste en une douzaine de gros cahiers reliés, où l'on peut trouver, clairement écrits par lui-même, les développements des cours qu'il professa en Physique mathématique, en Mécanique analytique et en Géométrie infinitésimale. Ces précieux manuscrits renferment des méthodes et des remarques qu'il n'a pas publiées, mais dont on pourra plus tard tirer profit, car son intention est de les donner à l'Institut. M. Darboux est resté simple et modeste, bien qu'il soit arrivé à une situation très élevée. Il importe de faire remarquer qu'il la doit seulement à ses efforts et à son talent: aucun de ses ascendants n'a occupé de position même modeste, dans le monde de la science, de l'administration ou de la politique; si des savants l'ont protégé au début de sa carrière et lui ont ouvert les portes de la gloire, c'est qu'ils avaient vu dans ses travaux des points de nature à faire progresser la Science et reconnu en lui des qualités de premier ordre.

Désiré Nisard ne s'était pas trompé lorsque, dans sa Lettre[4] au ministre de l'Instruction publique, il signalait M. Darboux comme «un jeune homme du plus rare savoir et de la plus haute espérance».

E. L.

NOTES.

[1] Journal des Débats, Paris, 20 nov. 1861, in-fol., p. 1.

[2] [4] Journal général de l'Instruction publique, Paris, v. 30, no 90, 9 nov. 1861, in-4, p. 723.

[3] Le Centenaire de l'École Normale, 1795-1895, Paris, H., 1895, in-8 jésus, p. 394.

8 GRADES. FONCTIONS. TITRES HONORIFIQUES. PRIX. DÉCORATIONS.

Jean-Gaston DARBOUX,
Né à Nîmes le 13 août 1842.


13 SECTION II.
ANALYSE MATHÉMATIQUE.

Extrait du Rapport lu par M. CAMILLE JORDAN, en décernant a M. GASTON DARBOUX, au nom de l'Académie des Sciences, le Prix PETIT D'ORMOY pour les Sciences mathématiques, le 5 mai 1884.

L'Académie se trouve appelée à décerner, pour la première fois, l'un des prix que la généreuse munificence de M. Petit d'Ormoy lui a permis de fonder.

Les progrès remarquables accomplis depuis quelques années, et notamment en France, dans le domaine des Mathématiques pures, ont déterminé la Commission à proposer à l'Académie de fixer son choix sur un géomètre. Plusieurs auraient été dignes de cet honneur; mais nous avons dû prendre celui que l'étendue de sa réputation, la maturité de son talent, le nombre et la variété de ses travaux désignaient plus particulièrement à nos suffrages.

L'œuvre de M. Gaston Darboux est trop étendue pour que nous essayions de l'analyser en détail, car elle se compose de plus de 100 Mémoires, dont le cercle embrasse presque toutes les branches du Calcul intégral et de la Géométrie, diverses parties de l'Algèbre et de la Mécanique. Tous ces travaux se distinguent par une extrême lucidité, par une profonde connaissance de toutes les ressources de l'Analyse, par une rare habileté à relier entre elles des questions en apparence distinctes, et à remonter aux véritables principes des théorèmes, pour leur donner toute la généralisation dont ils sont susceptibles; ils contiennent un grand nombre de résultats nouveaux et importants, dont nous ne pouvons signaler ici qu'un petit nombre....

Nous signalerons tout d'abord un Mémoire important sur les fonctions discontinues, où M. Darboux soumet à une analyse approfondie les principes de la théorie des fonctions, et établit, entre autres, une proposition 14 remarquable, qui permet de définir de la manière la plus nette la condition d'intégrabilité d'une fonction.

Plusieurs autres Mémoires sont consacrés aux développements en série. M. Darboux y donne une démonstration nouvelle de la convergence des développements suivant les fonctions de Laplace, ou les polynomes de Legendre. Il a établi un peu plus tard d'autres développements plus généraux suivant les polynomes de Jacobi, en se fondant sur l'expression asymptotique qu'il avait trouvée pour ces polynomes.

Les équations différentielles où les variables se trouvent mêlées, et qui ne se ramènent pas à la forme homogène ou linéaire, ont été jusqu'à ce jour peu étudiées. Une équation remarquable, intégrée par Jacobi, était restée jusque-là isolée. M. Darboux a montré qu'elle constitue le premier terme d'une classe étendue d'équations différentielles, dont on pourra écrire l'intégrale générale toutes les fois qu'on aura réussi à obtenir des intégrales particulières algébriques en nombre suffisant. Cette importante proposition permet de construire une foule d'équations différentielles dont l'intégrale générale s'obtienne, pour ainsi dire, à la simple vue.

M. Darboux a fait cette remarque simple, mais importante, qu'une équation différentielle n'admet d'intégrale singulière que dans des cas exceptionnels, et que la méthode indiquée avant lui pour déterminer l'intégrale singulière en partant de l'équation différentielle fournit en général le lieu des points singuliers des courbes intégrales, et non leur enveloppe.

Il a encore montré que, si un système d'équations linéaires admet une intégrale algébrique, il admettra également comme intégrale tous ses covariants.

L'Académie avait proposé, il y a quelques années, comme sujet du grand prix de Mathématiques, l'étude des solutions singulières des équations aux dérivées partielles du premier ordre. Le Mémoire transmis par M. Darboux en réponse à cette question et couronné par l'Académie est une œuvre considérable. Il contient, entre autres résultats, la fixation précise des caractères des solutions singulières; la détermination des règles qui permettent de les déduire directement de l'équation différentielle; l'étude des relations de contact qui existent entre cette solution et les autres intégrales complètes ou générales; enfin l'extension aux équations aux dérivées partielles de la méthode d'intégration par différentiation.

Dans un travail antérieur, sur les équations aux dérivées partielles du second ordre, M. Darboux avait indiqué un procédé nouveau d'intégration qui supplée à la méthode de Monge lorsque celle-ci n'est pas applicable, et permet de déterminer l'intégrale, toutes les fois qu'elle ne contient pas de signe d'intégration....

15 OUVRAGES.

1. Notice sur les Travaux scientifiques de M. GASTON DARBOUX.

Rédigée par lui-même à l'appui de sa candidature comme membre de l'Académie des Sciences, dans la Section de Géométrie.

2. Sur le Problème de PFAFF.

La méthode que Pfaff a fait connaître en 1814, pour l'intégration d'une équation aux dérivées partielles à un nombre quelconque de variables indépendantes, a été longtemps négligée....

Cependant, la méthode de Pfaff, qui est, d'ailleurs, la généralisation de celle qu'on doit à Lagrange pour le cas de deux variables indépendantes, offre de sérieux avantages....

Je me suis proposé d'expliquer la solution du problème de Pfaff sans rien emprunter à la théorie des équations aux dérivées partielles, et je me suis surtout attaché à mettre en évidence les propriétés d'invariance qui jouent un rôle fondamental dans cette solution.  G. D.

La première Partie de ce Mémoire a été écrite en 1876 par M. G. Darboux et exposée en janvier 1877 par M. J. Bertrand au Collège de France.

MÉMOIRES. NOTES.

Analyse pure.

1. Sur la série de Laplace.

Lagrange a donné une importante série servant au développement en série convergente des racines d'une certaine équation. Laplace a exposé une formule plus générale, mais moins simple que celle de ce géomètre. M. G. Darboux est parvenu à simplifier la formule de Laplace et a ainsi trouvé un résultat analogue à celui de Lagrange.

16 2. Sur les séries dont le terme général dépend de deux angles et qui servent à exprimer des fonctions arbitraires entre des limites données.

3. 4. Mémoire sur l'approximation des fonctions de très grands nombres et sur une classe étendue de développements en série.

5. Sur les développements en série des fonctions d'une seule variable.

6. Sur les différentielles des fonctions de plusieurs variables indépendantes.

7. Note sur une fonction numérique.

8. Sur les différentielles successives des fonctions de plusieurs variables indépendantes.

9. Sur les différentielles successives des fonctions de plusieurs variables et sur une propriété des fonctions algébriques.

17 10. 11. Mémoire sur les fonction discontinues.

Je reprends, en donnant tous les développements nécessaires, la définition de l'intégrale définie d'après Riemann, et je montre comment cette définition doit conduire à une infinité de fonctions continues n'ayant pas de dérivée.

Laissant ensuite de côté la définition des fonctions continues comme intégrales, j'expose quelques principes sur les séries dont les termes sont des fonctions de la variable indépendante.  G. D.

12. 13. Sur les solutions singulières des équations aux dérivées ordinaires du premier ordre.

Dans le second Mémoire, M. G. Darboux complète les résultats indiqués dans le premier, et donne un théorème précis faisant connaître dans quelles circonstances une équation différentielle peut admettre une intégrale ou solution singulière.

14. Mémoire sur les solutions singulières des équations aux dérivées partielles du premier ordre.

Ce Mémoire, présenté au Concours pour le grand prix des Sciences mathématiques (Géométrie), a été couronné.

15. Sur les équations aux dérivées partielles du second ordre.

Dans l'état actuel de la Science, on connaît peu de choses sur les équations aux dérivées partielles du second ordre....

Je me propose d'exposer les principes seulement d'une nouvelle méthode qui, sans donner la solution complète du problème, me paraît constituer un progrès dans la théorie des équations aux dérivées partielles.  G. D.

18 16. Sur la théorie des équations aux dérivées partielles.

17. Sur les équations aux dérivées partielles du second ordre.

Dans ce Mémoire, qui contient les Notes nos 15 et 16, M. G. Darboux développe une troisième application de la méthode qu'il a proposée.

18. Sur l'existence de l'intégrale dans les équations aux dérivées partielles d'ordre quelconque.

19. 20. Sur les équations aux dérivées partielles.

M. G. Darboux montre que l'on peut adjoindre à une équation quelconque aux dérivées partielles une équation auxiliaire, linéaire, dont l'étude conduit à des résultats très importants se rapportant à l'équation proposée; puis il applique cette méthode à deux problèmes de Géométrie: l'un se rapporte à une famille d'un système triple orthogonal, l'autre à la recherche des surfaces applicables sur une surface donnée.

21. Sur l'équation auxiliaire.

22. 23. Sur une équation différentielle du quatrième ordre.

24. Application d'une méthode de M. Hermite à l'équation linéaire à coefficients constants avec second membre.

19 25. 26. Sur les systèmes formés d'équations linéaires à une seule variable indépendante.

27. Remarque sur une Lettre de Laplace à Condorcet.

M. G. Darboux rectifie une règle pour l'intégration des équations différentielles linéaires, donnée par Laplace dans une Lettre à Condorcet.

28. Sur une proposition relative aux équations linéaires.

29. Sur une équation linéaire.

30. Sur une équation linéaire aux dérivées partielles.

31. Sur les équations linéaires à deux variables indépendantes.

32. Sur certains systèmes d'équations différentielles linéaires.

33. 34. Sur les systèmes d'équations différentielles homogènes.

35. Sur la première méthode donnée par Jacobi pour l'intégration des équations aux dérivées partielles du premier ordre.

36. Mémoire sur l'existence de l'intégrale dans les équations aux dérivées partielles contenant un nombre quelconque de fonctions et de variables indépendantes.

20 37. Note sur deux intégrales elliptiques qui se présentent sous forme indéterminée.

38. Remarque sur une Note de M. Ch. Méray,

Intitulée Sur des systèmes d'équations aux dérivées partielles qui sont dépourvues d'intégrales, contrairement à toute prévision.

39. Sur les équations différentielles du premier ordre et du premier degré.

40. Mémoire sur les équations différentielles algébriques du premier ordre et du premier degré.

41. De l'emploi des solutions particulières d'une équation différentielle du premier ordre et du premier degré dans la recherche de l'intégrale générale.

42. De l'emploi des solutions particulières algébriques dans l'intégration d'un système d'équations différentielles algébriques.

43. Sur l'intégration de l'équation dx2 + dy2 = dz2 et de quelques équations analogues.

44. Sur la résolution de l'équation dx2 + dy2 + dz2 = ds2 et de quelques équations analogues.

Dans ce Mémoire, M. G. Darboux complète les résultats qu'il a indiqués en 1873 (no 43) et en déduit de nouvelles conséquences.

21 45. Sur l'équation de Riccati.

Ce Mémoire est inséré dans In Memoriam Dominici Chelini Collectanea Mathematica.

46. Sur l'application du théorème fondamental d'Abel relatif aux intégrales algébriques à la recherche de systèmes complètement orthogonaux dans un espace à n dimensions.

Ce Mémoire est inséré dans le premier des deux Tomes des Acta mathematica imprimés Niels Henrik Abel in Memoriam.

Analyse appliquée à l'Algèbre.

1. Sur la résolution de l'équation du quatrième degré.

2. Mémoire sur la théorie algébrique des formes quadratiques.


22 SECTION III.
GÉOMÉTRIE INFINITÉSIMALE.

Rapport de MICHEL CHASLES sur la Thèse intitulée «Sur les Surfaces orthogonales», soutenue en Sorbonne par M. GASTON DARBOUX le 14 juillet 1866.

Cette Thèse est un travail étendu et fort important sur les surfaces orthogonales. Elle comprend trois Parties.

La première, intitulée: Étude d'un système remarquable de coordonnées orthogonales, contient différentes propriétés des coordonnées curvilignes formées par le triple système orthogonal auquel l'auteur et M. Moutard ont été conduits, chacun de son côté. La seconde Partie renferme des Recherches sur les surfaces orthogonales en général. M. Darboux, prenant pour point de départ le théorème de M. Dupin, d'après lequel dans tout système triple de surfaces orthogonales les courbes d'intersection des surfaces sont leurs lignes de courbure, auquel il ajoute comme complément l'énoncé suivant: Quand deux systèmes de surfaces orthogonales se coupent suivant les lignes de courbure de ces surfaces, il existe un troisième système orthogonal aux deux premiers, donne d'abord une démonstration simple de ce théorème de M. Ossian Bonnet, que la recherche de tous les systèmes orthogonaux revient à l'intégration complète d'une équation aux différences partielles du troisième ordre à trois variables indépendantes. Puis il fait connaître une Nouvelle méthode de recherche des systèmes orthogonaux, fondée sur l'emploi d'une certaine fonction auxiliaire V. La troisième Partie contient des Applications de la méthode exposée dans la deuxième Partie. L'auteur considère d'abord une classe particulière de systèmes orthogonaux dans lesquels les surfaces d'un même système s'obtiennent en déplaçant l'une d'elles parallèlement à elle-même par une simple translation sans altération de forme. La détermination de la 23 fonction V dépend alors de l'intégration d'une équation aux différences partielles du troisième ordre à deux variables indépendantes. Le second cas traité par M. Darboux est celui des surfaces pour lesquelles les lignes de courbure sont planes dans les trois systèmes. Les intégrations s'effectuent alors complètement, et le résultat, d'une forme très simple, contient trois fonctions arbitraires; ces surfaces sont, dans certains cas, un exemple des systèmes orthogonaux étudiés dans le paragraphe précédent, c'est-à-dire que chacun des trois systèmes est formé par une surface de forme invariable qui se déplace parallèlement à elle-même. Le troisième et dernier cas se rapporte aux systèmes pour lesquels chaque surface peut être partagée en carrés infiniment petits par ses lignes de courbure. M. Darboux avait déjà observé, dans la première Partie, que les surfaces du triple système orthogonal antérieurement découvert par M. Moutard et par lui jouissent de la propriété dont il s'agit. Par une analyse savante et extrêmement ingénieuse, il fait voir maintenant que ce dernier système est le seul qui réponde à la question.

Analyse par JULES HOÜEL de l'Ouvrage intitulé «Sur une Classe remarquable de courbes et de surfaces algébriques et sur la Théorie des imaginaires», lue a la séance du 13 juin 1870 de la Société scientifique de Bordeaux.

Dans le travail actuel, notre Correspondant s'est proposé d'étudier une classe remarquable de courbes et de surfaces du quatrième ordre, qui se rapprochent par leurs propriétés des courbes et des surfaces du second degré. Ces propriétés ont fait l'objet des études de plusieurs géomètres; M. Darboux les soumet à une revision d'ensemble, dans laquelle il expose, en même temps que des propriétés nouvelles, des propriétés connues et qui ont déjà été publiées soit par d'autres géomètres, soit par lui.

Ces courbes et ces surfaces jouissent de la propriété de se transformer les unes dans les autres quand on les soumet à une transformation par rayons vecteurs réciproques. Aussi l'Auteur a-t-il consacré la première Partie de son travail à l'étude analytique et détaillée de cette transformation dans ses rapports avec la théorie des imaginaires et avec celle des focales des surfaces, qui lui est due pour les surfaces du degré supérieur, et qu'il a développée pour la première fois dans un travail inséré aux Annales de l'École Normale en 1865. Nous signalerons dans cette Partie la définition des foyers des courbes planes et sphériques, celle des focales des courbes gauches et des surfaces, et la théorie complète d'une classe importante de surfaces développables imaginaires circonscrites au cercle de l'infini, et que 24 l'Auteur a appelées développables focales. On remarquera, dans cette Partie du travail, un moyen simple de trouver l'équation différentielle des surfaces applicables sur une surface donnée, et l'explication des solutions singulières de cette équation, la démonstration du théorème que, lorsque les lignes de courbure d'une surface ont une enveloppe, cette enveloppe, en laissant de côté un cas exceptionnel, se compose d'une suite de droites isotropes, etc.

Dans la deuxième et la troisième Partie de cette étude, se trouve comprise l'étude détaillée des cycliques. C'est ainsi que l'Auteur nomme les courbes sphériques, intersections de la sphère et d'une surface du second degré, et les courbes planes qui en sont les transformées par rayons vecteurs réciproques. Les classifications de ces courbes, leur mode de génération, leurs propriétés métriques et focales sont successivement examinés. Il est facile de comprendre l'intérêt qui s'attache à cette étude, si l'on remarque que les coniques sphériques, les ovales de Descartes, la cissoïde de Dioclès, les spiriques de Perseus, les ovales et l'ellipse de Cassini, les podaires de coniques, le limaçon de Pascal, la fenêtre de Viviani font partie de cette classe très générale de courbes, et sont réunis ici dans une étude commune. Quelques-unes d'entre elles, analogues à l'ellipse de Cassini, ont des propriétés semblables à celles du cercle, et l'Auteur donne pour toutes des propriétés analogues à celle de l'angle inscrit dans le cercle. En même temps l'étude de ces courbes fournit à l'Auteur une occasion d'appliquer des principes généraux relatifs à la transformation des relations où entrent les imaginaires. Je signalerai en particulier un procédé nouveau pour déduire, des théorèmes généraux sur les coniques planes et sphériques, les propriétés focales de ces courbes.

Les cycliques sont, après les courbes du troisième degré, les courbes les plus simples, dont l'étude se ramène à celle des fonctions elliptiques. L'Auteur signale rapidement ce lien, qui a été déjà étudié complètement à un point de vue général par M. Clebsch.

Les surfaces analogues aux courbes cycliques sont les surfaces du quatrième ordre, ayant le cercle de l'infini pour ligne double, et les surfaces du troisième ordre qui contiennent le cercle.

Elles ont d'abord été étudiées en 1864 par M. Moutard, mais déjà en 1863 M. Kummer avait étudié d'une manière générale les surfaces du quatrième ordre à ligne double, qui comprennent les précédentes comme cas particulier. On sait que ces surfaces donnent lieu à un système de coordonnées curvilignes orthogonales tout à fait analogue au système des coordonnées elliptiques, qui a rendu à la Science de si grands services entre les mains de Lamé et de Jacobi.

L'Auteur étudie les propriétés analytiques et géométriques, la classification des sections planes des surfaces que nous venons de définir, et qu'il appelle 25 des cyclides, parce qu'elles comprennent comme cas très particulier la cyclide de M. Dupin qu'on pourra distinguer sous le nom de cyclide à lignes de courbure circulaires. En un mot, on a un exposé complet de la théorie de ces surfaces si importantes, qui trouveront sans aucun doute de belles applications, et qui paraissent être en quelque sorte l'intermédiaire par lequel on étendra aux surfaces de degré supérieur une foule de propositions de la théorie des surfaces du second degré.

Extrait du Rapport lu par M. CAMILLE JORDAN, en décernant a M. GASTON DARBOUX, au nom de l'Académie des Sciences, le Prix PETIT D'ORMOY pour les Sciences mathématiques, le 5 mai 1884.

Les premières recherches de M. Darboux ont eu pour objet la théorie des surfaces orthogonales, question sur laquelle les beaux théorèmes de Dupin et les travaux de MM. Bonnet et Serret avaient fortement attiré l'attention des géomètres. On connaissait depuis longtemps un système de ce genre, formé de surfaces homofocales du second ordre. La découverte d'un système analogue, faite simultanément par M. Darboux et par M. Moutard, excita un vif intérêt. Un peu plus tard, M. Darboux, généralisant le problème pour l'étendre aux fonctions d'un nombre quelconque de variables, forma les équations aux dérivées partielles analogues à celle que M. Bonnet avait donnée pour le cas des surfaces, et qui sont la condition nécessaire et suffisante pour que la question admette une solution. Il fit voir en outre que d'un système orthogonal à n variables on peut déduire un système analogue à n – 1 variables; théorème important, qui permettait de tirer du système déjà connu à cette époque une infinité de systèmes nouveaux. Enfin, comme corollaire de ces recherches, il détermina les lignes de courbure des surfaces tétraédrales de Lamé.

Dans un autre Mémoire, Sur les systèmes linéaires de coniques et de surfaces de second ordre, il a également déterminé les lignes asymptotiques d'un grand nombre de surfaces (surfaces de Steiner, surface des centres de l'ellipsoïde, surfaces tétraédrales, etc.).

Les théorèmes célèbres de Poncelet et de Chasles sur les polygones inscrits et circonscrits à des coniques ont été pour M. Darboux l'occasion d'une nouvelle et importante série de recherches. Il en donne une démonstration nouvelle, montre leur liaison avec la théorie de la transformation des fonctions elliptiques, et enfin les étend aux polygones inscrits dans un ellipsoïde.

26 Nous devons citer encore, parmi les travaux géométriques de M. Darboux, un Mémoire justement remarqué sur les groupes de points, de cercles et de sphères; une élégante application des fonctions elliptiques à l'étude des déformations d'un quadrilatère articulé; un Ouvrage sur les théorèmes d'Ivory; un autre Livre plus étendu, intitulé: Sur une classe remarquable de courbes et de surfaces algébriques et sur la théorie des imaginaires. Ce dernier Ouvrage et les notes qui l'accompagnent ont été très favorablement appréciés par les géomètres les plus éminents, et contiennent une foule de résultats remarquables. Nous nous bornerons à signaler une méthode nouvelle et très simple pour former l'équation différentielle des surfaces applicables sur une surface donnée, et cette proposition que les coordonnées d'une surface du troisième ordre (et plus généralement d'une surface cyclide) peuvent s'exprimer par des fonctions hyperelliptiques de deux paramètres variables. L'analogie de ce dernier résultat avec le célèbre théorème de Clebsch sur les courbes du troisième ordre suffit à en faire ressortir l'importance.

Enfin, M. Darboux a publié récemment de nombreuses recherches sur la théorie des surfaces, et notamment sur la détermination des surfaces qui admettent une représentation sphérique donnée....

27 OUVRAGES.

1. Sur les théorèmes d'IVORY relatifs aux surfaces homofocales du second degré.

Je me propose d'exposer, dans ce travail, certaines propriétés focales des surfaces du second ordre, et aussi des surfaces du quatrième ordre ayant le cercle de l'infini pour ligne double.  G. D.

2. Sur une classe remarquable de courbes et de surfaces algébriques et sur la théorie des imaginaires.

Cet important travail comprend:

La transformation, par rayons vecteurs réciproques, des foyers et des focales;

L'étude d'une classe remarquable de courbes du quatrième ordre, de certaines propriétés des imaginaires en Géométrie, d'une classe générale de courbes algébriques;

L'étude analytique et géométrique des surfaces cyclides;

Plusieurs Notes importantes.

3. Leçons sur la théorie générale des Surfaces et les applications géométriques du Calcul infinitésimal.

Cours de Géométrie de la Faculté des Sciences de Paris.

Ire Partie: Généralités. Coordonnées curvilignes. Surfaces minima.

IIe Partie: Les congruences et les équations linéaires aux dérivées partielles. Des lignes tracées sur les surfaces.

28 IIIe Partie: Lignes géodésiques et courbure géodésique. Paramètres différentiels. Déformation des surfaces.

IVe Partie: Déformation infiniment petite et représentation sphérique.

4. Leçons sur les Systèmes orthogonaux et les Coordonnées curvilignes.

Cours de Géométrie de la Faculté des Sciences de Paris.

Tome I.

29 MÉMOIRES. NOTES.

1. Note sur une classe de courbes du quatrième ordre et sur l'addition des fonctions elliptiques.

2. Sur un nouveau système de coordonnées et sur les polygones inscrits et circonscrits aux coniques.

3. Sur une série de lignes analogues aux lignes géodésiques.

4. Sur les cercles géodésiques.

5. Remarque au sujet d'une Note de M. Jamet,

Intitulée Sur une propriété des courbes à double courbure.

6. Sur la torsion des courbes gauches et sur les courbes à torsion constante.

7. 8. Sur un théorème relatif à la théorie des courbes gauches.

On sait trouver tous les couples de surfaces qui se correspondent point par point, de telle manière que les deux plans tangents en ces points et la droite qui joint les points de contact forment un système invariable. Je me suis proposé de traiter le problème analogue de la théorie des courbes, c'est-à-dire de rechercher deux courbes qui se correspondent point par point, de telle manière que les tangentes aux points correspondants et la droite qui joint ces points forment un système invariable.  G. D.

30 9. Sur la rectification des ovales de Descartes.

10. Sur la rectification d'une classe de courbes du quatrième ordre.

11. Sur le contact des coniques et des surfaces.

12. Sur le contact des courbes et des surfaces.

13. Remarques sur la théorie des surfaces orthogonales.

Extrait d'une Lettre adressée à M. J.-A. Serret par M. G. Darboux, élève de 3e année à l'École Normale supérieure.

14. Recherches sur les surfaces orthogonales.

M. G. Darboux donne quelques propriétés nouvelles des surfaces formant un système triple orthogonal, puis indique un système de surfaces orthogonales du quatrième degré qui admettent pour ligne double le cercle imaginaire de l'infini. Il rappelle la Note no 13.

15. Sur les surfaces orthogonales.

Depuis les travaux de MM. Dupin et Lamé sur les surfaces orthogonales, le problème de la recherche des systèmes orthogonaux a pris une grande importance. ... M. O. Bonnet, en 1861, a montré que le problème se ramène à l'intégration d'une équation aux dérivées partielles du troisième ordre linéaire par rapport aux dérivées d'ordre supérieur. ... Je me propose de démontrer ce résultat en suivant une voie tout à fait différente.  G. D.

31 16. Sur les coordonnées orthogonales.

17. Sur les surfaces orthogonales.

Thèse pour le grade de Docteur ès Sciences mathématiques, soutenue devant la Faculté des Sciences de Paris le 14 juillet 1866.

Cette Thèse comprend l'Étude d'un système remarquable de coordonnées orthogonales, des Recherches sur les surfaces orthogonales en général et des Applications.

18. Sur les systèmes de surfaces orthogonales.

19. Sur une nouvelle série de systèmes orthogonaux algébriques.

20. 21. Sur l'équation du troisième ordre dont dépend le problème des surfaces orthogonales.

22. Sur le problème des surfaces orthogonales.

23. Sur une classe de systèmes orthogonaux comprenant comme cas particulier les systèmes isothermes.

24. Sur les systèmes orthogonaux comprenant une famille de surfaces du deuxième degré.

25. Mémoire sur la théorie des coordonnées curvilignes et des systèmes orthogonaux.

32 26. Sur l'équation aux dérivées partielles du troisième ordre des systèmes orthogonaux.

M. G. Darboux montre que la théorie de Lamé conduit à un moyen simple de former l'équation dont il s'agit, et même de l'écrire avec un système de variables quelconques.

27. Note sur une Communication de M. S. Carrus,

Intitulée Sur les familles de surfaces à trajectoires orthogonales planes.

28. Sur les trajectoires orthogonales d'une famille de surfaces.

29. Sur un problème relatif à la théorie des systèmes orthogonaux et à la méthode du trièdre mobile.

30. 31. Détermination des systèmes triples orthogonaux qui comprennent une famille de cyclides de Dupin et, plus généralement, une famille de surfaces à lignes de courbure planes dans les deux systèmes.

32. 33. Second Mémoire sur la détermination des systèmes triples orthogonaux qui comprennent une famille de cyclides de Dupin.

34. Théorèmes sur les surfaces cyclides.

35. Mémoire sur les surfaces cyclides.

36. Détermination des lignes de courbure de la surface de quatrième classe, corrélative de la cyclide, qui admet le cercle de l'infini comme ligne double.

33 37 à 43. Sur la représentation sphérique des surfaces.

M. G. Darboux donne la solution du problème suivant, qu'il a posé le premier dans toute sa généralité: Trouver toutes les surfaces qui ont une représentation sphérique donnée, après avoir fait remarquer que le problème de la recherche des surfaces à lignes de courbure planes et sphériques en est un cas particulier.

44. Des courbes tracées sur une surface et dont la sphère osculatrice est tangente en chaque point à la surface.

45. Détermination des lignes de courbure d'une classe de surfaces et en particulier des surfaces tétraédrales de Lamé.

46. Sur la forme des lignes de courbure dans le voisinage d'un ombilic.

47. Observations sur une Note de M. Eugène Cosserat,

Intitulée Sur les surfaces qui peuvent, dans plusieurs mouvements différents, engendrer une famille de Lamé.

48. Sur les familles de Lamé engendrées par le déplacement d'une surface qui demeure invariable de forme.

34 49. 50. Détermination d'une classe particulière de surfaces à lignes de courbure planes dans un système et isothermes.

51. Sur la surface des centres de courbure d'une surface algébrique.

52. Réponse aux Observations de M. Catalan,

Contenues dans sa Note intitulée Remarques sur une Note de M. Darboux, relative à la surface des centres de courbure d'une surface algébrique.

Il s'agit d'une proposition que M. G. Darboux a énoncée et d'après laquelle une équation différentielle prise au hasard n'a pas de solution singulière.

53. Sur la surface des centres de courbure de l'ellipsoïde et sur les coordonnées elliptiques.

54. Sur les surfaces dont la courbure totale est constante.

55. Sur les surfaces à courbure constante.

56. Sur l'équation aux dérivées partielles des surfaces à courbure constante.

57. Sur les lignes géodésiques de l'ellipsoïde.

58. Sur la théorie des surfaces minima.

35 59. Sur un problème relatif à la théorie des surfaces minima.

60. Sur les surfaces dont la courbure totale est constante.

La théorie des surfaces dont la courbure totale est constante a les rapports les plus étroits avec celle des surfaces minima, bien qu'elle soit certainement de beaucoup plus difficile.  G. D.

61. Sur les surfaces à courbure constante positive.

62. 63. Sur la déformation des surfaces du second degré.

64. Sur la déformation des surfaces générales du second degré.

65. Sur les transformations des surfaces à courbure totale constante.

66. Sur la déformation des surfaces du second degré et sur les transformations des surfaces à courbure totale constante.

Ce Mémoire est l'ensemble des Notes nos 62, 63, 65 et 61.

67. Sur les déformations finies et sur les systèmes triples de surfaces orthogonales.

68. Sur les transformations conformes de l'espace à trois dimensions.

M. G. Darboux donne une démonstration très simple du théorème suivant, dû à J. Liouville: Toutes les transformations conformes de l'espace se ramènent à une inversion ou à une homothétie, précédée ou suivie d'un déplacement.

36 69. Sur les surfaces isothermiques.

Je voudrais étudier une classe spéciale de surfaces isothermiques (c'est-à-dire à lignes de courbure isothermes) qui interviennent dans la théorie de la déformation des surfaces les plus générales du second degré.  G. D.

70. Sur une classe de surfaces isothermiques liées à la déformation des surfaces du second degré.

71. Des surfaces applicables sur le paraboloïde de révolution.

72. Sur les surfaces applicables sur le paraboloïde de révolution.

M. E. Estanave a construit en plâtre des modèles, qui sont à la Sorbonne, des deux surfaces applicables sur la paraboloïde de révolution et définies par M. G. Darboux dans ses Mémoires nos 71 et 72: B S M, t. 29, 1re p., août 1905, p. 225-246.

73. Sur la Géométrie Cayleyenne et sur une propriété des surfaces à génératrice circulaire.

74. Sur une équation différentielle et sur les surfaces spirales.

75. Sur les congruences de courbes et sur les surfaces normales aux droites d'un complexe.

M. G. Darboux a publié en 1870 (B S M, t. 1, p. 348) une Note Sur les systèmes linéaires de coniques et de surfaces du second ordre où se trouvent énoncés sans démonstration un grand nombre de résultats. Dans cette nouvelle Note, il revient sur la proposition suivante: Étant données les normales à une famille de surfaces, on peut déterminer sans intégration toutes les familles de surfaces normales aux mêmes droites, l'énonce autrement, la démontre et lui adjoint quelques autres propositions relatives aux congruences de courbes.


37 SECTION IV.
MÉCANIQUE ANALYTIQUE, MÉCANIQUE CÉLESTE
ET
PHYSIQUE MATHÉMATIQUE.

Extrait de l'Analyse due a PHILIPPE GILBERT des Notes insérées par M. GASTON DARBOUX dans le «Cours de Mécanique par M. DESPEYROUS».

Ce qui donne au Cours de Mécanique de Despeyrous une valeur et un intérêt particuliers, ce sont les nombreuses Notes qu'y a jointes M. G. Darboux, en les extrayant de ses propres travaux parus dans les Mémoires de la Société des Sciences de Bordeaux, le Bulletin des Sciences mathématiques, etc. Arrêtons-nous un instant sur ces Notes, aussi remarquables par la forme que par le fond.

Le but de la Note I est d'examiner à fond les démonstrations purement statiques du parallélogramme des forces (Daniel Bernoulli, D'Alembert, Cauchy, etc.), d'indiquer les postulats qu'il est nécessaire d'introduire pour rester rigoureux et ne rien emprunter à la théorie du mouvement. L'Auteur discute avec beaucoup de finesse et de rigueur tous les points, et prouve que les postulats nécessaires et suffisants peuvent se réduire à quatre: 1º la résultante de plusieurs forces appliquées à un même point doit être unique et déterminée, indépendante de l'ordre dans lequel on les compose; 2º indépendante de l'orientation du système des forces dans l'espace; 3º la loi de la composition des forces doit se réduire à l'addition algébrique dans le cas de forces de même direction; 4º une certaine fonction φ(P) doit être continue (ou être toujours positive)....

La Note VII contient la solution complète de ce joli problème: Trouver la figure d'équilibre d'un fil flexible parcouru par un courant, sous 38 l'action d'un pôle d'aimant. La tension du fil est constante; la figure d'équilibre est une ligne géodésique d'un cône de révolution qui a son sommet au pôle. M. Darboux donne le moyen de construire ce cône, connaissant la longueur du fil et ses extrémités.

La Note VIII constitue un beau Mémoire sur le mouvement d'une figure plane dans son plan. Il y est montré que l'aire décrite par le rayon vecteur d'un point de la figure mobile, quand celle-ci passe d'une position à une autre, est égale à la moitié de la rotation de la figure multipliée par la puissance de ce point par rapport à un cercle déterminé de la figure mobile. Dans les mouvements fermés, le centre de ce cercle est au centre de gravité des courbures (Steiner) de la roulette mobile. Si l'on prend trois points en ligne droite, on trouve des relations élégantes comprenant le théorème de Holditch. De même, en étudiant par l'analyse les enveloppes des droites de la figure, on retrouve le théorème bien connu et celui-ci: L'arc enveloppé par une droite quelconque, entre deux positions, a pour mesure l'angle de rotation multiplié par la distance de la droite à un point fixe de la figure mobile. Ce Mémoire a paru (plus complet) dans le Bulletin de 1878, à la suite d'une très intéressante Communication de M. Liguine sur les aires des roulettes.

Dans la Note IX, M. Darboux décrit un nouveau système articulé à cinq tiges, de M. Hart, propre à décrire une ligne droite et se transformant, dans certaines conditions, en un compas à ellipses. Il donne la théorie de cet appareil et l'extension à un système plus compliqué. On consultera sur ce sujet un autre travail de M. Darboux, publié dans le tome III, 2e série, du Bulletin, et les très instructives Conférences de M. J. Neuberg (Liége, 1886)....

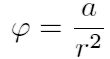
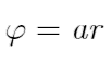
Dans la Note XII, l'Auteur traite un problème posé par M. J. Bertrand à propos des lois de Kepler; il démontre géométriquement ce résultat dû à M. Halphen: Quand une force fonction de la position du point lui fait décrire une trajectoire plane quelle que soit la vitesse initiale, cette force passe par un point fixe ou est parallèle à une droite fixe; il résout par l'analyse cette question: Un point sollicité par une force centrale décrit une conique, trouver la loi de la force en fonction de la position. Outre les deux solutions connues

φ = ar  et  φ = a/r^2,

M. Darboux en trouve deux autres dans lesquelles la force dépend de r et de ω, avec l'équation générale correspondante de la trajectoire; il fait voir qu'il n'y a pas d'autres solutions (Comptes rendus, 1877, 1er semestre, pp. 760 et 936)....

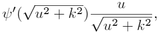
La Note XVI est consacrée au développement d'un théorème énoncé par 39 l'Auteur dans son Mémoire sur les théorèmes d'Ivory: Si l'on sait calculer l'attraction d'un ellipsoïde sur un point quelconque pour une loi d'attraction en fonction ψ'(u) de la distance, on saura la calculer pour la loi

Expression 1

k étant une constante quelconque.

La Note XVII est très importante: elle roule sur l'herpolhodie et sur la théorie de Poinsot. La méthode est entièrement analytique. Après avoir établi les équations de la polhodie, M. Darboux en déduit celles de l'herpolhodie en suivant une voie bien plus commode que celle de Poinsot, habituellement adoptée, et qui consiste à établir entre le rayon vecteur et l'arc de la polhodie une relation qui subsiste nécessairement pour l'herpolhodie. Il se sert de cette remarque: Les aires élémentaires du cône fixe et du cône roulant coïncident, et il en est de même de leurs projections sur le plan tangent à l'ellipsoïde central. Or, on obtient facilement les projections de l'aire élémentaire sur les plans principaux de l'ellipsoïde et les angles de ceux-ci avec le plan tangent, ce qui conduit rapidement et sous forme élégante à l'expression de l'aire élémentaire de l'herpolhodie, le pôle étant à la projection du centre de l'ellipsoïde sur le plan tangent. Joignant cette formule à l'expression de la vitesse rotatoire au moyen du rayon vecteur, on trouve deux équations du mouvement du pôle instantané de rotation du corps sur le plan tangent, de la forme

Expression 2      Expression 3

ρ, θ étant les coordonnées polaires de la courbe, F(ρ2) un polynome du 3e degré en ρ2. Il montre que tout système de deux équations semblables représente une herpolhodie, si l'on a la relation n2 = k2 F(0); mais la surface roulante n'est pas nécessairement un ellipsoïde d'inertie.

M. Darboux met encore l'équation différentielle de l'herpolhodie sous d'autres formes, dont l'une, très simple, lui permet de démontrer presque sans calcul que, dans le cas d'un ellipsoïde d'inertie, la courbe ne peut avoir de point d'inflexion. Ce théorème avait été signalé par M. de Sparre et souvent démontré depuis, mais M. Hess, de Munich, l'avait trouvé dès 1880 (Ueber das Rollen einer Fläche vom zweiten Grade, u. s. w.).

Parmi d'autres résultats importants donnés dans ce travail, notons celui-ci: En combinant la représentation du mouvement par le roulement du cône mobile sur le cône fixe de Poinsot, avec une autre représentation qui lui est due aussi, le roulement d'un troisième cône sur le plan tangent invariable, on peut représenter en même temps la loi du temps, et l'on a une image complète du mouvement du corps. M. Sylvester a donné une 40 solution du même problème (Philos. Trans., 1866): M. Darboux s'en occupe; il établit, au sujet des normales de longueur constante menées à l'ellipsoïde le long de la polhodie, un beau théorème de géométrie, qui lui fournit une infinité de manières de réaliser le mouvement de Poinsot par le roulement d'un ellipsoïde, ou même d'une ellipse, sur un plan fixe. Il déduit de là, sans calcul, la loi du mouvement trouvée par Jacobi au moyen des fonctions elliptiques.

La Note XVIII est intitulée Sur la théorie de Poinsot et sur deux mouvements différents correspondant à une même polhodie. Dans ce travail d'un haut intérêt, la question traitée conduit à des résultats géométriques inattendus et, en combinant un théorème de J. de la Gournerie avec le théorème d'Ivory sur les surfaces homofocales, on obtient le beau théorème de M. Greenhill sur l'hyperboloïde articulé.

La Note XIX, qui exige l'étude de la précédente, est aussi très remarquable. M. Darboux montre d'abord que, dans les deux mouvements de Poinsot qui répondent à une même polhodie, le mouvement relatif d'une herpolhodie par rapport à l'autre est le mouvement d'un corps pesant qui aurait une sphère pour ellipsoïde d'inertie relatif au point fixe. Il ramène à ce cas celui d'un solide de révolution quelconque et retrouve ainsi le beau théorème de Jacobi mis au jour par M. Weierstrass (Œuvres de Jacobi, t. II): Le mouvement le plus général d'un solide pesant autour d'un point de son axe de figure est une combinaison de deux mouvements de Poinsot attribués à un système mobile, l'un par rapport à des axes fixes, l'autre par rapport au corps considéré. Il admet cette représentation géométrique remarquable: le roulement d'un cône qui a pour base une herpolhodie sur une sphère ayant son centre sur la verticale du point fixe, et il étudie la courbe sphérique décrite par le pôle instantané....

La Note XXI, intitulée Étude géométrique sur les percussions et le choc des corps, constitue un Mémoire important sur la théorie des percussions, exposée d'une manière bien plus rigoureuse qu'on ne le fait d'habitude: ce Mémoire renferme plusieurs belles propriétés générales relatives au choc de deux systèmes matériels.

La Note XXII a pour titre: Sur les rapports de la théorie des moments d'inertie avec celle des surfaces homofocales. On connaît, là-dessus, un célèbre théorème de Binet qui donne les axes principaux d'inertie relatifs à un point quelconque de l'espace. En introduisant deux autres espèces de moments d'inertie (relatifs à un point et à un plan), M. Darboux démontre une série de beaux théorèmes concernant les moments d'inertie, les surfaces homofocales, etc.

41 MÉMOIRES. NOTES.

Mécanique analytique.

1. Sur le centre de gravité de certains volumes.

2. 3. Sur le choc des corps.

4. Sur le frottement dans le choc des corps.

5. Étude géométrique sur les percussions et le choc des corps.

6. Sur le tautochronisme quand on a égard au frottement.

7. Recherche de la loi que doit suivre une force centrale pour que la trajectoire qu'elle détermine soit toujours une conique.

8. Problème de Mécanique.

M. G. Darboux résout le problème suivant: Trouver la figure d'équilibre d'un fil flexible inextensible non pesant, traversé par un courant et soumis à l'influence d'un pôle d'aimant.

42 9. Sur la brachystochrone relative à un point matériel pesant.

10. Étude d'une question relative au mouvement d'un point sur une surface de révolution.

11. Sur le mouvement d'une figure invariable; propriétés relatives aux aires, aux arcs des courbes décrites et aux volumes des surfaces trajectoires.

12. Sur le déplacement d'une figure invariable.

Pour le mouvement d'une figure dans l'espace, on possède, en Géométrie, des propositions générales applicables à tout déplacement, mais on connaît peu de mouvements particuliers. Le plus simple des mouvements dans lesquels tous les points de la figure mobile décrivent des courbes unicursales de degré donné, en laissant de côté la translation, est celui dans lequel tous les points de la figure mobile décrivent des coniques. C'est ce mouvement que M. G. Darboux étudie dans cette Note.

13. Sur le mouvement d'une figure invariable.

14. 15. Sur la théorie de Poinsot et sur deux mouvements correspondant à la même polhodie.

16. Remarque au sujet d'une Note de M. J.-N. Franke,

Intitulée Sur la courbure de l'herpolhodie.

43 17. Sur l'herpolhodie et sur quelques propositions relatives à la théorie de Poinsot.

18 à 20. Sur le mouvement d'un corps pesant de révolution, fixé par un point de son axe.

Jacobi a énoncé et démontré un théorème d'après lequel le mouvement de rotation d'un corps pesant de révolution, fixé par un point de son axe, peut se ramener à une combinaison des mouvements de rotation de deux solides différents sur lesquels n'agirait aucune force accélératrice. M. G. Darboux, en donnant une démonstration directe et élémentaire de ce théorème, a été conduit à des propositions nouvelles relatives à la représentation cinématique du mouvement.

21. Sur diverses propositions relatives au mouvement d'un corps solide autour d'un point fixe.

22. Sur une question relative au mouvement d'un point sur une surface de révolution.

23. Sur les formules d'Euler et sur le déplacement d'un solide invariable.

24. Sur la sphère de rayon nul et sur la théorie du déplacement d'une figure invariable.

Cette Note est le résumé de Leçons professées par M. G. Darboux à la Sorbonne en 1900 et en 1904.

44 25. Sur les rapports de la théorie des moments d'inertie avec celle des surfaces homofocales.

26. Sur un problème de Mécanique.

En 1857, Joseph Bertrand remarque que si l'on connaît une intégrale d'un problème de Mécanique pour lequel on sait seulement que les forces dépendent uniquement des coordonnées de leurs points d'application, et nullement des vitesses de ces points, on peut trouver quel est le problème et déterminer les composantes de la force qui sollicite chaque point...

Dans le cas où l'intégrale supposée connue est entière et du second degré par rapport aux vitesses, J. Bertrand n'a fait qu'ébaucher la solution et l'a ramenée à dépendre d'une équation linéaire aux dérivées partielles dont il n'a pas donné l'intégrale générale. C'est sur ce point particulier de ses recherches que je veux revenir aujourd'hui.  G. D.

Ce Mémoire fait partie du Livre Jubilaire offert à la Société Hollandaise des Sciences à Harlem par les amis de J. Bosscha, à l'occasion de son soixante-dixième anniversaire, le 18 novembre 1901: La Haye, 1901, gr. in-8o.

27. Remarque sur une Note de M. E. Goursat,

Intitulée Sur les transformations isogonales en Mécanique.

28. Sur la solution particulière que peut admettre le problème du mouvement d'un corps attiré vers deux centres fixes par des forces réciproquement proportionnelles aux carrés des distances.

29. Sur les oscillations infiniment petites d'un système de corps.

M. G. Darboux, en suivant une méthode, due à M. Kronecker, de réduction des formes quadratiques, montre qu'une certaine équation algébrique, établie par Lagrange, admet, contrairement aux affirmations de ce géomètre, des racines égales.

45 Mécanique céleste.

1. 2. Sur des transcendantes qui jouent un rôle important dans la théorie des perturbations planétaires.

3. Sur les lois de Kepler.

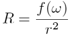
4. Sur une loi particulière de la force signalée par Jacobi.

Dans la théorie des forces centrales, on s'occupe surtout du cas où la force dépend seulement de la distance du point mobile au centre attirant. L'illustre Jacobi a signalé une loi plus compliquée de la force, qui est donnée par la formule R = _f_(ω)/_r^2_, r désignant la distance au pôle et ω l'angle polaire.  G. D.

5. Sur un problème relatif à la théorie des forces centrales.

6. Sur une extension du théorème d'Ivory relatif à l'attraction des ellipsoïdes.

7. Sur les trois intégrales de Laplace.

M. G. Darboux montre que, d'une propriété, qu'il rappelle, de l'hodographe, dérivent immédiatement les trois intégrales de Laplace pour la solution du problème des trois corps.

46 Physique mathématique.

1. Sur une nouvelle définition de la surface des ondes.

D'un théorème, dû à M. Niven, relatif à la surface des ondes, M. G. Darboux a déduit, pour cette surface, une définition simple et nouvelle, dont le caractère essentiel est de n'exiger l'emploi d'aucun ellipsoïde. Il montre que la surface des ondes est une simple variété d'une surface du quatrième ordre n'ayant aucun point singulier et contenant 16 coniques isolées.

2. Sur les lignes asymptotiques de la surface des ondes.

3. Sur les lignes de courbure de la surface des ondes.

4. Sur la surface des ondes.

Ce Mémoire contient, avec quelques compléments, les Notes nos 2 et 3.

5. Sur les lignes asymptotiques et sur les lignes de courbure de la surface des ondes de Fresnel.

6. Sur l'application des méthodes de la Physique mathématique à l'étude des corps terminés par des cyclides.

7. Sur des Mémoires de Poisson relatifs à la distribution de l'électricité.


47 SECTION V.
MATHÉMATIQUES SUPÉRIEURES.

OUVRAGE.

1. Mémoire sur l'Équilibre astatique et sur l'effet que peuvent produire des forces de grandeurs et de directions constantes appliquées en des points déterminés d'un corps solide, quand ce corps change de position dans l'espace.

Il était naturel de chercher à étendre aux systèmes composés de forces quelconques les propriétés du centre des forces parallèles, c'est-à-dire d'examiner comment varie l'effet d'un système quelconque de forces appliquées en des points déterminés du corps solide, soit lorsque, leur grandeur et leur direction demeurant les mêmes, l'orientation du corps vient à changer, soit, ce qui est la même chose, lorsque, le corps demeurant en repos, les forces changent de direction de manière à conserver entre elles les mêmes angles. On peut demander, par exemple, quelles sont les conditions nécessaires pour qu'elles se fassent équilibre dans toutes les positions du corps: nous dirons alors que le corps est en équilibre astatique...

Le travail actuel contient la démonstration des propositions déjà connues dans cet ordre de recherches et celle de plusieurs propriétés qui me paraissent entièrement nouvelles.  G. D.

MÉMOIRES. NOTES.

Algèbre.

1. Note relative à un Mémoire de Fourier,

Intitulé Solution d'une question particulière du calcul des inégalités.

48 2. Sur un théorème relatif à la continuité des fonctions.

3. Mémoire sur le théorème de Sturm.

Au lieu d'exposer à part les deux démonstrations connues du théorème de Sturm, celle de l'inventeur et celle de M. Hermite, et d'établir ensuite le lien entre ces deux démonstrations au moyen de l'expression des fonctions de Sturm, due à M. Sylvester, M. G. Darboux développe la théorie tout entière, en employant uniquement la méthode de M. Hermite; il a été ainsi conduit à plusieurs formules nouvelles.

4. Sur une question de priorité.

Dans une Lettre à M. Resal, M. G. Darboux fait remarquer qu'une formule attribuée à M. Laurent par M. Heine est une simple application d'une formule qu'il a donnée au début de son Mémoire no 3.

5. Sur une méthode d'Abel pour déterminer la racine commune à deux équations algébriques.

6. Sur la théorie de l'élimination entre deux équations à deux inconnues.

7. Sur l'élimination entre deux équations algébriques à une inconnue.

8. Note relative à un Mémoire de Fourier,

Intitulé Sur l'usage du théorème de Descartes dans la recherche des limites des racines.

M. G. Darboux restitue à Fourier la découverte d'un théorème attribuée à Budan par Arago.

9. Sur la méthode d'approximation de Newton.

49 Géométrie synthétique.

1. Sur un mode de transformation des figures et son application à la construction de la surface du deuxième ordre déterminée par neuf points.

2. Sur les modes de transformation qui conservent les lignes de courbure.

3. Sur les polygones inscrits et circonscrits à l'ellipsoïde.

4. Sur les polygones inscrits à une conique et circonscrits à une autre conique.

5. Sur une classe de courbes unicursales.

Laguerre a donné, en 1882, d'intéressantes propriétés de certaines courbes de quatrième classe, qu'il nomme hypercycles. En janvier 1880, M. G. Darboux, dans son Cours à la Sorbonne, a énoncé, relativement à des courbes unicursales de toutes les classes, des propositions qui ont les rapports les plus étroits avec celles qu'a données Laguerre: il développe ces propositions dans cette Note.

6. Sur une propriété du cercle.

A diverses courbes unicursales de classe quelconque, M. G. Darboux étend cette propriété du cercle: Le périmètre du triangle formé par deux tangentes fixes à un cercle et une tangente variable est constant.

50 7. Sur les systèmes linéaires de coniques et de surfaces du second ordre.

Cette Note ne contient que des énoncés; mais elle embrasse toute cette théorie qui, depuis, a pris un si grand développement.

8. Sur les caractéristiques des systèmes de coniques et de surfaces du second ordre.

9. Mémoire sur une classe de courbes et de surfaces.

10. Sur une surface du cinquième ordre et sa représentation sur le plan.

11. Sur la représentation des surfaces algébriques.

12. Sur les lignes asymptotiques de la surface de Steiner.

13. Sur la surface à seize points singuliers et les fonctions Θ à deux variables.

14. Sur la surface à seize points singuliers.

51 15. 16. Sur les relations entre les groupes de points, de cercles et de sphères dans le plan et dans l'espace.

La théorie des tétraèdres et des distances mutuelles des points dans le plan et dans l'espace doit, à un grand nombre de géomètres, des formules élégantes établissant des relations entre les aires, les volumes, les distances se rapportant aux groupes considérés.... Je me suis aperçu qu'il pouvait y avoir, dans bien des cas, avantage à considérer ces formules, en les rattachant à certaines formes homogènes qui se présentent naturellement dans cette théorie.  G. D.

Géométrie analytique.

1. Sur un problème de Géométrie analytique.

Dans une Lettre à M. Brisse, M. G. Darboux donne l'énoncé et la solution d'un problème relatif à des coniques variables passant par quatre points d'une conique fixe.

2. Sur les polygones circonscriptibles à un cercle.

3. De l'emploi des fonctions elliptiques dans la théorie du quadrilatère plan.

4. Sur un Mémoire de M. Dini.

M. G. Darboux étend à l'espace un théorème de M. Dini, relatif aux figures homographiques dans le plan.

5. Sur le théorème fondamental de la Géométrie projective.

Extrait d'une Lettre adressée à M. F. Klein par M. G. Darboux.

52 6. Remarques sur une Note de Mlle L. Bortniker,

Intitulée Sur un genre particulier de transformations homographiques.

7. Sur les sections du tore.

8. Théorèmes sur l'intersection d'une sphère et d'une surface du second degré.

9. Sur les propriétés métriques des surfaces du second degré.

Il existe trois séries de petits cercles doublement tangents à une conique sphérique, les cercles d'une même série ayant leurs centres sur le même axe de la conique. M. G. Darboux énonce et démontre 14 théorèmes relatifs à ces cercles et les étend aux quadriques.

10. Sur une classe particulière de surfaces réglées.

11 à 28. Notes dans l'Ouvrage intitulé «Application de l'Algèbre à la Géométrie par M. Bourdon»:

  Pages.
I. Sur le théorème des projections et la transformation des coordonnées. 499-510
II. Sur le centre des distances proportionnelles. 511-518
III. Sur la distance d'un point à une droite et sur la surface du triangle déterminé par trois points. 519-524
IV. Sur la discussion de l'équation générale du second degré. 525-532
V. Sur l'interprétation des inégalités en Géométrie analytique. 533-537
VI. Sur les lieux géométriques. 538-550
VII. Sur les déterminants et leur application en Géométrie analytique. 551-558
VIII. Sur la réduction de l'équation du second degré à sa forme la plus simple par le changement des coordonnées. 559-566
IX. Sur les théorèmes relatifs aux diamètres conjugués dans l'ellipse. 567-572
X. Sur la théorie des tangentes. 573-585
53XI. Sur l'intersection de deux courbes du second degré. 586-593
XII. Sur l'équation qui détermine les couples de sécantes communes à deux courbes du second degré. 594-603
XIII. Sur la détermination des courbes du degré m passant par un nombre donné de points. 604-608
XIV. Du plan tangent dans les surfaces algébriques. 609-616
XV. Du plan polaire dans les surfaces du second degré. 617-623
XVI. Du centre et des plans diamétraux. 624-629
XVII. Des plans principaux dans les surfaces du second degré. 630-638
XVIII. De la réduction de l'équation du second degré à sa forme la plus simple par le changement des coordonnées. 639-648

Mécanique.

1. Sur la composition des forces en Statique.

Dans cette Note, qui se rapporte à une question souvent étudiée, M. G. Darboux se propose de faire l'analyse des postulats qui sont nécessaires dans la démonstration du théorème fondamental de la Statique.

2. Étude sur la réduction d'un système de forces, de grandeurs et de directions constantes, agissant en des points déterminés d'un corps solide, quand ce corps change de direction dans l'espace.

3. Sur le système de quatre forces en équilibre.

4. Note relative à deux théorèmes de Lagrange sur le centre de gravité.

5. Sur l'équilibre astatique.

54 6. Sur un nouvel appareil à ligne droite de M. Hart.

M. Hart, qui avait déjà trouvé un premier système articulé réalisant, avec cinq tiges seulement, la description mécanique de la ligne droite, a fait connaître une nouvelle solution du même problème, dans laquelle il emploie le même nombre de tiges.... Nous nous proposons d'exposer la méthode de M. Hart, en la généralisant quelque peu et en mettant en évidence quelques conséquences très simples des résultats obtenus par l'auteur.  G. D.

7. Recherches sur un système articulé.

Ce Mémoire se rapporte à un système de deux quadrilatères articulés que M. Kempe a défini et étudié seulement dans certains cas où la déformation est possible. La solution complète que donne M. G. Darboux permet de rattacher à une théorie générale deux appareils dus à M. Hart, au moyen desquels on peut décrire une ligne droite en n'employant que cinq tiges articulées.

8. Sur deux appareils nouveaux de Mécanique.

En commun avec M. G. Kœnigs.

Le premier de ces appareils, fondé sur un théorème démontré par M. G. Darboux (C M D, Note XVIII), a pour but de décrire le plan dans l'espace au moyen de tiges articulées. Le second fournit une représentation du mouvement d'un corps solide tournant librement autour de son centre de gravité; il est fondé sur l'utilisation simultanée, faite par M. G. Darboux (C M D, Note XVII), des deux modes, indiqués par Poinsot, de représentation de ce mouvement.

9. Nouvelle démonstration des formules d'Euler et d'Olinde Rodrigues.

10. Sur les mouvements algébriques.

11. Sur les renversements et les inversions planes.


55 SECTION VI.
HISTOIRE DES SCIENCES.

OUVRAGE.

1. Étude sur le Développement des Méthodes géométriques.

Conférence lue, le 24 septembre 1904, à la Section de Mathématiques appliquées du Congrès international d'Arts et de Science de l'Exposition universelle de Saint Louis.

56 ÉLOGES ET NOTICES HISTORIQUES

Lus en séances publiques annuelles de l'Académie des Sciences par M. GASTON DARBOUX, en qualité de Secrétaire perpétuel.

1. Éloge historique de Joseph-Louis-François Bertrand,

Lu le 16 décembre 1901.

2. Éloge historique de François Perrier,

Lu le 21 décembre 1903.

3. Notice historique sur Charles Hermite,

Lue le 18 décembre 1905.

4. Notice historique sur Antoine d'Abbadie,

Lue le 2 décembre 1907.

Antoine d'Abbadie, explorateur de l'Éthiopie, membre de la section de Géographie et Navigation de l'Académie des Sciences, appartenait par ses origines et sa famille au Pays Basque. Il avait constitué dans le voisinage de Hendaye une belle propriété de plus de 300 hectares, au centre de laquelle il avait fait construire un magnifique château et un Observatoire astronomique. Pour assurer la continuation de son œuvre, il a légué cette propriété à l'Académie en lui imposant la condition de poursuivre les observations astronomiques qu'il avait commencées. M. l'abbé Verschaffel est à la tête de cet Observatoire, qui est placé sous la direction du Secrétaire perpétuel pour les Sciences mathématiques.

5. Notice historique sur le Général Meusnier,

Lue le 20 décembre 1909.

57 DISCOURS NÉCROLOGIQUES.

1. A l'Inauguration de la statue de J.-B. Dumas,

A Alais, le lundi 21 octobre 1889, Discours prononcé par M. G. Darboux, au nom de la Faculté des Sciences.

2. Aux Funérailles de Hébert,

A Paris, le mardi 8 avril 1890, Discours prononcé par M. G. Darboux, au nom de la Faculté des Sciences.

3. Aux Funérailles de Ossian Bonnet,

A Paris, le vendredi 24 juin 1892, Discours prononcé par M. G. Darboux, au nom de la Faculté des Sciences.

4. A l'Inauguration de la statue du Général Perrier,

A Valleraugue (Gard), le dimanche 28 août 1892, Discours prononcé par M. G. Darboux, au nom de l'Académie des Sciences.

5. Aux Funérailles de Joseph Bertrand,

A Paris, le vendredi 6 avril 1900, Discours prononcé par M. G. Darboux, au nom de la Société de secours des Amis des Sciences.

6. Sur Émile Fernet,

Allocution prononcée par M. G. Darboux, Secrétaire perpétuel.

7. Sur Marcelin Berthelot,

Allocution prononcée par M. G. Darboux, Secrétaire perpétuel.

8. Sur A. de Lapparent,

Allocution prononcée par M. G. Darboux, Secrétaire perpétuel.

58 9. Aux Funérailles de Henri Becquerel,

A Paris, le 29 août 1908, Discours prononcé par M. G. Darboux, au nom de l'Académie des Sciences.

DISCOURS.

1. A la Cérémonie de l'Hommage à M. de Lacaze-Duthiers,

A Paris, le 1er juillet 1909, Discours prononcé par M. G. Darboux, en qualité de Doyen de la Faculté des Sciences.

2. A la XVIe Conférence «Scientia»,

A Paris, le 28 juin 1900, Discours prononcé par M. G. Darboux, Président de cette réunion, à laquelle «beaucoup de savants, élèves et admirateurs, amis ou collègues de M. Darboux, avaient tenu à assister».

3. A la première Assemblée générale de l'Association Internationale des Académies,

A Paris, du 16 au 20 avril 1901, Discours prononcé par M. G. Darboux, en qualité de Président de cette Assemblée.

4. A l'Ouverture du Congrès international d'Arts et de Science,

A Saint Louis, le 19 septembre 1904, Allocution de M. G. Darboux, en qualité de Représentant de la France au Congrès.

5. Au Banquet officiel du Congrès international d'Arts et de Science,

A Saint Louis, le 23 septembre 1904, Discours prononcé par M. G. Darboux, en qualité de Représentant de la France au Congrès.

6. A la Séance générale du Congrès des Sociétés Savantes,

A Montpellier, le 6 avril 1907, Discours prononcé par M. G. Darboux, en qualité de Président du Congrès.

59 7. Au troisième centenaire de l'exploration de la rivière Hudson et au premier centenaire du lancement du Clermont par Robert Fulton,

Adresse de M. G. Darboux, Délégué de la République Française, au Gouverneur de l'État de New York, au Maire de la Ville de New York et aux Membres de la Commission Hudson-Fulton, lue le 27 septembre 1909.

CONFÉRENCE.

1. Les origines, les méthodes et les problèmes de la Géométrie infinitésimale.

Conférence lue à Rome au palais Corsini, le 7 avril 1908, devant le IVe Congrès des Mathématiciens.

NOTICES NÉCROLOGIQUES.

1. Sur Jules Hoüel.

2. Sur Marius Sophus Lie.

3. Sur Moutard.

4. Sur les Travaux scientifiques de Michel Chasles.

5. Sur Albert Gauthier-Villars.

M. G. Darboux, après MM. Ch. Wolf et J. Bertrand, rappelle les titres de M. A. Gauthier-Villars à la reconnaissance du monde savant.

60 6. La Vie et les Travaux de Paul Serret.

7. Sur Amédée Mannheim.

8. Sur Marcelin Berthelot.

9. Sur Henri de Parville.

10. Sur Hébert, Hermite, Duchartre, Pasteur, Tisserand, Hermite, A. Joly, Friedel, de Lacaze-Duthiers.

RAPPORTS.

1. Rapport relatif à la Répartition du Fonds Bonaparte.

2. Rapport relatif à la Fondation Jean Debrousse.

3 à 6. Rapports sur divers Concours de Prix décernés par l'Académie des Sciences.

7. Rapport sur le Mémoire de M. Désiré André,

Intitulé Sur le triangle des séquences.

61 ARTICLES.

1. Sur une méthode nouvelle pour l'étude des courbes tracées sur les surfaces algébriques.

Nous avons déjà parlé à nos Lecteurs (B S M, t. 1, 1870, p. 129-130) des travaux récents de quelques géomètres, MM. Clebsch, Cremona, Nöther, Zeuthen, etc., sur une méthode nouvelle dont l'origine et la première application se trouvent dans les travaux de M. Chasles sur les courbes algébriques tracées sur les surfaces du second degré. Cette méthode devant conduire à des conséquences très importantes, il m'a paru utile de la faire connaître et d'en développer les principes, en ce moment surtout où elle est encore récente.  G. D.

2. Hommage à J.-A. Serret,

Publié par M. G. Darboux au début de son Avertissement de la 4e édition de la Mécanique analytique de J.-L. Lagrange.

3 à 8. Au sujet de l'Association Internationale des Académies:

Communication de M. Darboux.

Compte rendu des Séances tenues à Paris, les 31 juillet et 1er août 1900, par le Comité de cette Association, sous la direction de l'Académie des Sciences, rédigé par M. G. Darboux, Président de l'Assemblée.

Historique de l'Association Internationale des Académies, fait par M. G. Darboux en analysant les Comptes rendus des réunions de Göttingue, les 31 mai et 1er juin 1898; de Wiesbaden, les 9 et 10 octobre 1899; de Paris, les 31 juillet et 1er août 1900.

Compte rendu préliminaire des Séances de la troisième Assemblée générale de cette Association, tenue à Vienne du 28 mai au 2 juin 1907.

Sur la troisième Assemblée générale de cette Association, réunie à Vienne du 28 mai au 2 juin 1907.

Résumé du Compte rendu de la quatrième Assemblée générale de cette Association, réunie à Rome du 1er au 3 juin 1909.

62 9. 10. L'Académie des Sciences, dans l'Ouvrage intitulé L'Institut de France.

M. G. Darboux donne une idée nette de l'organisation de l'Académie des Sciences depuis sa fondation et des services que celle-ci a rendus à la Science et au Pays.

11. Sur l'«International Catalogue of Scientific Literature» by the Royal Society of London.

12. Publication de Lettres inédites dues à divers Savants.

Cet Article contient deux Lettres de Laplace à Condorcet, deux de Laplace à D'Alembert, une de Borda à Condorcet, une de Fuss à Condorcet, une de Jean Albert Euler à Condorcet. Il contient en outre une Remarque de M. G. Darboux: Voir no 27, p. 19.

ANALYSES.

1 à 17. Analyses des Œuvres suivantes:

Œuvres complètes de Niels Henrik Abel, publiées par Sylow et Lie.

  • B S M, 2e s., t. 5, 1re p., déc. 1881, p. 457-462.

Œuvres de Lagrange, Tome XIV.

  • C R, t. 115, 21 nov. 1892, p. 853-854.

Édition nouvelle de Diophante, par Paul Tannery, Tome I.

  • C R, t. 116, 2 janv. 1893, p. 18.

Gesammelte wissenschaftliche Abhandlungen von Julius Plücker. Erster Band herausgegeben von A. Schœnflies.

  • B S M, 2e s., t. 20, 1re p., nov. 1896, p. 277-278.

The collected Mathematical Papers of A. Cayley.

  • B S M, 2e s., t. 17, juin 1893, p. 141-142;—t. 21, mars 1897, p. 66-67;—t. 22, janv. 1898, p. 23.

Ludwig Otto Hesse's gesammelte Werke.

  • B S M, 2e s., t. 21, 1re p., mars 1897, p. 65-66.

63 Œuvres de P. L. Tchebycheff, publiées par MM. A. Markoff et N. Sonin. Tome I.

  • B S M, 2e s., t. 24, 1re p., janv. 1900, p. 28-29.

Carl Friedrich Gauss' Werke. Achter Band.

  • Ce Tome VIII a été publié sous la direction de M. Felix Klein.
  • J S, nov. 1900, p. 668-678.—B S M, 2e s., t. 24, 1re p., déc. 1900, p. 269-280.

Opere matematiche di Francesco Brioschi.

  • B S M, 2e s., 1re p., t. 25, juin 1901, p. 94-96;—t. 28, oct. 1904, p. 266-267;—t. 33, oct. 1909, p. 227.

The Collected Mathematical Papers of James Joseph Sylvester:

  • B S M, 2e s., t. 28, 1re p., oct. 1904, p. 265-266;—2e s., t. 32, 1re p., juin 1908, p. 163-165.

Œuvres de Laguerre, publiées par Ch. Hermite, H. Poincaré, E. Rouché.

  • B S M, 2e s., t. 29, 1re p., juin 1905, p. 158-161.

Œuvres de Charles Hermite, publiées par Émile Picard.

  • B S M, 2e s., t. 29, 1re p., nov. 1905, p. 313-315;—t. 32, 1re p., juin 1908, p. 161-162.

Œuvres scientifiques de L. Lorentz, revues et annotées par H. Valentiner.

  • B S M, 2e s., t. 22, 1re p., juil. 1898, p. 167;—t. 29, 1re p., mars 1905, p. 57-58.

Scientific Papers of Peter Guthrie Tait. Volume I.

  • B S M, 2e s., t. 23, 1re p., juin 1899, p. 129-130.

Mathematical and Physical Papers of Sir G. G. Stokes.

  • B S M, 2e s., t. 28, 1re p., nov. 1904, p. 281.

Hermann Grassmann's gesammelte mathematische und physikalische Werke. II. Band: I. Theil, II. Theil.

  • B S M, 2e s., t. 29, 1re p., mars 1905, p. 67-68.

Souvenirs de Marine, par l'Amiral Paris. VIe Partie.

  • C R, t. 147, 19 oct. 1908, p. 659-660.

18 à 63. Analyses des Ouvrages suivants:

Traité de Calcul différentiel et de Calcul intégral, par J. Bertrand.

  • B S M, t. 1, fév. 1870, p. 41-49.

Vorlesungen über die Theorie der bestimmten Integrale zwischen reellen Grenzen, mit vorzüglicher Berücksichtigung der von P. Gustav Lejeune-Dirichlet im Sommer 1858 gehaltenen Vorträge über bestimmte Integrale von Gustav Ferdinand Meyer.

64 Éléments de Calcul infinitésimal, par J.-M.-C. Duhamel.

Cours de Calcul infinitésimal, par J. Hoüel.

Lezioni di Geometria differenziale, di L. Bianchi.

Vorlesungen über differenzial Geometrie, von L. Bianchi. Uebersetzung von Max Lukat.

Théorie de la multiplication et de la transformation des Fonctions elliptiques, par Paul Mansion.

Théorie des Fonctions elliptiques, par Briot et Bouquet.

Vorlesungen über die Theorie der elliptischen Functionen, von Königsberger.

Trattato elementare delle Funzioni elliptiche, di Cayley. Traduzione di Jorini e F. Brioschi.

Researches in the Calculus of Variations, principally on the Theory of discontinuous Solution, by I. Todhunter.

Wolfangi Bolyai de Bolya. Tentamen juventutem studiosam in elementa Matheseos puræ elementaris ac sublimioris... Ediderunt J. König et M. Réthy.

Theorie der algebraischen Gleichungen, von J. Petersen.

Obras sobre Mathematica, publicadas por ordem do governo portugués, por F. Gomes Teixeira.

Die Auflösung der bestimmten Gleichungen (Analyse des équations indéterminées), von J.-B. Fourier. Uebersetzung von Alfred Lœwy.

Encyclopädie der Elementar-Mathematik, von H. Weber und I. Wellstein. Erster Band: Elementare Algebra und Analysis.

65 Éléments de la théorie des Quaternions, par J. Hoüel.

Principes de la Géométrie analytique; Géométrie dans l'espace, par L. Painvin.

A Treatise on the Analytic Geometry of three Dimensions, by G. Salmon.Analytische Geometrie des Raumes, von G. Salmon. Deutsch bearbeitet von W. Fiedler.

Die ebenen Curven dritter Ordnung, von H. Durège.

Ueber solche Minimalflächen, welche eine vorgeschriebene ebene Curve zur geodätischen Linie haben, von L. Henneberg.

Bestimmung zweier speciellen periodischen Minimalflächen, auf welchen unendlich viele gerade Linien und unendlich viele ebene geodätische Linien liegen, von E. R. Neovius.

Handbuch der Kugel' Funktionen. Theorie und Anwendungen. Von E. Heine.

Theorie des Transformationsgruppen, von Sophus Lie.

Die Focaleigenschaften der Flächen zweiter Ordnung, von O. Staude.

General Investigations of Curved Surfaces of 1827 and 1825, by K. F. Gauss. Translated by J. C. Morehead and A. M. Hiltebeitel.

Ueber die Enneper'schen Flächen mit constantem positivem Krümmungsmass, bei denen die eine Schaar der Krümmungslinien von ebenen Curven gebildet wird, von G. Bockwoldt.

Grundlagen einer Krümmungslehre der Curvenschaaren, von R. v. Lilienthal.

Theorie der Flächen mit ebenen und sphærischen Krümmungslinien, von H. Dobriner.

66 Kummer's quartic Surface, by R. W. H. T. Hudson.

Géométrie de direction, par Paul Serret.

Rapport sur les Progrès de la Géométrie, par Michel Chasles.

A Treatise on some new Geometrical Methods, by J. Booth.

Aperçu historique sur l'origine et le développement des méthodes en Géométrie, par Michel Chasles.

Il passato ed il presente delle principali Teorie geometriche, di Gino Loria.

Urkunden zur Geschichte der Nicht-Euklidischen Geometrie, herausgegeben von Friedrich Engel und Paul Stäckel.

Wissenschaft und Hypothese, von H. Poincaré. Deutsche Ausgabe von F. und L. Lindemann.

La Statique graphique et ses applications aux constructions, par Maurice Levy.

Théorie Mécanique de la Chaleur, par Ch. Briot.

Cours de Physique mathématique, par Émile Mathieu.

Reprint of Papers on Electrostatics and Magnetism, by Sir William Thomson.

Compte rendu de l'Inauguration à Kasan du monument de N. Lobatchefsky et Éloge historique de N. Lobatchefsky prononcé par M. A. Vassilief.

Briefwechsel zwischen Carl Friedrich Gauss und Wolfgang Bolyai, herausgegeben von Franz Schmidt und Paul Stäckel.

67 Jacob Steiner's Lebensjahre in Berlin, 1821-1863, von Julius Lange.

Correspondance d'Hermite et de Stieltjes, publiée par B. Baillaud et H. Bourget, avec une Préface de Émile Picard.

Problèmes plaisants et délectables qui se font par les nombres par C.-G. Bachet; 3e édition revue par A. Labosne.

64 à 73. Analyses des Mémoires suivants:

Die linearen Transformationen der Hermite'schen φ-Funktion, von Königsberger.

  • B S M, t. 2, déc. 1871, p. 353-354.

Zur Theorie der binären algebraischen Formen, von A. Clebsch.

  • B S M, t. 2, déc. 1871, p. 360-361.

Ueber die Bewegung eines Körpers in einer Flüssigkeit von A. Clebsch.

  • B S M, t. 2, déc. 1871, p. 358-360.

Ueber die Jacobi-Hamilton'sche Integrationsmethode der partiellen Differentialgleichungen, von A. Mayer.

  • B S M, t. 2, déc. 1871, p. 364-366.

Sur les singularités ordinaires d'une courbe gauche et d'une surface développable, par H. G. Zeuthen.

  • B S M, t. 1, mai 1870, p. 139-152.

Étude sur le déplacement d'une figure de forme invariable; nouvelle méthode des normales; applications, par A. Mannheim.

  • B S M, t. 1, oct. 1870, p. 297-302.

Ueber die Haupttangenten-Curven der Kummer'schen Fläche vierten Grades mit 16 Knotenpunkten, von Felix Klein und Sophus Lie.

  • B S M, t. 2, mars 1871, p. 72-74.

Untersuchungen über die Flächen mit planen und sphärischen Krümmungslinien, von A. Enneper.

  • B S M, 2e s., t. 2, 1re p., oct. 1878, p. 432-433.

Étude des élassoïdes ou surfaces à courbure moyenne nulle, par A. Ribaucour.

  • B S M, 2e s., t. 6, 1re p., janv. 1882, p. 11-14.

Sull' equilibrio delle superficie flessibili ed inextensibili, di E. Beltrami.

  • B S M, 2e s., t. 6, 1re p., fév. 1882, p. 38-40.

68 SECTION VII.
PUBLICATIONS DIVERSES.

MÉMOIRES. NOTES.

Mathématiques.

1. Sur l'extraction de la racine carrée.

2. Sur le maximum du produit de plusieurs facteurs positifs dont la somme est constante.

3. Note relative à un Article de M. André Durand,

Intitulé Sur un théorème relatif à des moyennes.

4. Discussion de la fraction rationnelle du second degré.

5. Sur l'application du Calcul des Probabilités.

Rapport fait par MM. Darboux, Appell et Poincaré, sur l'Ordonnance du 18 avril 1904 de la Cour de Cassation.

6. Sur un problème de Géométrie élémentaire.

Étant donné un polygone plan ou gauche, on forme un second polygone en joignant les milieux de ses côtés, un troisième en joignant les milieux des côtés du second, et ainsi de suite indéfiniment. M. G. Darboux démontre que ces polygones deviennent de plus en plus petits et qu'ils tendent à devenir semblables à des polygones semi-réguliers inscrits dans une ellipse.

69 7. Sur un problème de courriers.

Cet intéressant problème est ainsi énoncé: n personnes doivent se rendre d'une localité à une autre; elles ont à leur disposition une voiture pouvant contenir n' personnes (n' < n). Chaque personne, à pied, ferait le trajet en un temps t, et la voiture le ferait dans le temps t' (t' < t). On demande le meilleur mode d'utilisation de la voiture.

8. Problèmes de Géométrie.

Questions proposées:

DISCOURS.

1. 2. A deux Distributions solennelles des Prix,

Discours prononcés par M. G. Darboux, en qualité de Président.

3. A la célébration du XXVe anniversaire de la Fondation de l'Enseignement secondaire des jeunes filles et de la Création de l'École normale de cet Enseignement, à Sèvres, le 18 mai 1907,

Discours prononcé par M. Gaston Darboux au nom des Professeurs.

4. Félicitations adressées par M. G. Darboux à M. Ph. van Tieghem,

A l'occasion de son élection comme Secrétaire perpétuel de l'Académie des Sciences pour les Sciences physiques.

5. Au dîner annuel de la «Conciliation Internationale», le 23 mars 1909,

Donné en l'honneur de la présence à Paris du Prof. W. Fœrster et des Membres du Comité International des Poids et Mesures, Discours prononcé par M. G. Darboux.

70 6 à 14. A des Séances publiques annuelles de la Société de secours des Amis des Sciences,

Allocutions prononcées par M. G. Darboux, en qualité de Président du Conseil d'administration de la Société.

RAPPORTS.

1. Rapport du Conseil général des Facultés de l'Université de Paris au Ministre de l'Instruction publique.

Signé: Le Président du Conseil général: O. Gréard; Le Rapporteur: G. Darboux.

2 à 15. Rapports au Conseil académique de Paris sur la situation de l'Enseignement supérieur,

Rédigés par M. G. Darboux, en qualité de Doyen de la Faculté des Sciences de Paris.

16 à 18. Rapports au Conseil supérieur de l'Instruction publique,

Présentés par M. G. Darboux, en qualité de Membre de ce Conseil:

Sur les projets de Décret relatif à la Licence ès sciences. Séance du 17 janvier 1896.

Sur le projet de Décret relatif aux Droits à percevoir au profit des Universités. Séance du 9 juillet 1897.

Sur un projet de Décret relatif au Doctorat ès sciences. Séance du 13 janvier 1898.

19. Rapport sur le calculateur Jacques Inaudi.

71 COMPTES RENDUS.

1. Sur la Conférence tenue à Copenhague par l'Association géodésique internationale en 1903.

2. Sur le IVe Congrès des Mathématiciens, à Rome, en 1908.

ARTICLES.

1. La réforme de la Licence ès sciences.

2. Sur les trois Cuirassés Français «Justice, Liberté, Vérité».

Lettre adressée à M. A. Hébrard, directeur du journal Le Temps, par M. G. Darboux, Représentant du Gouvernement Français aux Fêtes organisées par la Ville et l'État de New York en l'honneur de Hudson et de Fulton.

PRÉFACES. ANALYSES.

1. Préface de l'Ouvrage de M. E. Fabry,

Intitulé Traité de Mathématiques générales.

2. Avertissement du «Bulletin des Sciences mathématiques et astronomiques».

Ce Bulletin est publié sous la Direction de la Commission des Hautes Études, depuis le mois de janvier 1870.

72 3 à 6. Avant-Propos du Tome I, Avertissement du Tome II, et Notes dans les Tomes I et II des «Œuvres de Fourier».

Publiées par M. G. Darboux.

7. 8. Avertissement et Notes de la quatrième édition de la «Mécanique analytique de J.-L. Lagrange»,

Publiée par Gaston Darboux.

9 à 11. Analyses succinctes d'Ouvrages.

12. Analyses succinctes de Mémoires.

(Le nombre des Écrits de M. Gaston Darboux est de 419).


44297

Paris.—Imp. Gauthier-Villars, 55, quai des Grands-Augustins.

 

Expressions mathématiques:

Expression 1: ψ' (√u2 + k2 ) u/√u2 + k2

Expression 2: ρ2 dθ/dt = mρ2 + n

Expression 3: ρ dρ/dt = k √ –F(ρ2)