The Project Gutenberg eBook of A Population Study of the Prairie Vole (Microtus ochrogaster) in Northeastern Kansas

This eBook is for the use of anyone anywhere in the United States and most other parts of the world at no cost and with almost no restrictions whatsoever. You may copy it, give it away or re-use it under the terms of the Project Gutenberg License included with this eBook or online at www.gutenberg.org. If you are not located in the United States, you will have to check the laws of the country where you are located before using this eBook.

Title: A Population Study of the Prairie Vole (Microtus ochrogaster) in Northeastern Kansas

Author: Edwin Perry Martin


Release date: April 7, 2012 [eBook #39396]

Language: English

Other information and formats: www.gutenberg.org/ebooks/39396

Credits: Produced by Chris Curnow, Paula Franzini, Joseph Cooper
and the Online Distributed Proofreading Team at
http://www.pgdp.net

*** START OF THE PROJECT GUTENBERG EBOOK A POPULATION STUDY OF THE PRAIRIE VOLE (MICROTUS OCHROGASTER) IN NORTHEASTERN KANSAS ***



University of Kansas Publications

Museum of Natural History


Volume 8, No. 6, pp. 361-416, 19 figures in text

April 2, 1956


 

A Population Study of the Prairie Vole (Microtus ochrogaster) in Northeastern Kansas

BY

EDWIN P. MARTIN

 

University of Kansas
Lawrence

1956

 


University of Kansas Publications, Museum of Natural History
Editors: E. Raymond Hall, Chairman, A. Byron Leonard, Robert W. Wilson

Volume 8, No. 6, pp. 361-416, 19 figures in text
Published April 2, 1956

 

University of Kansas
Lawrence, Kansas

 

PRINTED BY
FERD VOILAND, JR., STATE PRINTER
TOPEKA, KANSAS
1956

25-9225


Contents

    PAGE
INTRODUCTION 363
GENERAL METHODS 364
HABITAT 366
POPULATION STRUCTURE 373
POPULATION DENSITY 376
HOME RANGE 380
LIFE HISTORY 383
  Reproduction 383
  Litter Size and Weight 386
  Size, Growth Rates and Life Spans 388
  Food Habits 397
  Runways and Nests 398
  Activity 400
PREDATION 401
MAMMALIAN ASSOCIATES 403
SUMMARY AND CONCLUSIONS 408
LITERATURE CITED 411

[363]

A POPULATION STUDY
OF THE PRAIRIE VOLE (MICROTUS OCHROGASTER)
IN NORTHEASTERN KANSAS

By
Edwin P. Martin

INTRODUCTION

Perhaps the most important species of mammal in the grasslands of Kansas and neighboring states is the prairie vole, Microtus ochrogaster (Wagner). Because of its abundance this vole exerts a profound influence on the quantity and composition of the vegetation by feeding, trampling and burrowing; also it is important in food chains which sustain many other mammals, reptiles and birds. Although the closely related meadow vole, M. pennsylvanicus, of the eastern United States, has been studied both extensively and intensively, relatively little information concerning M. ochrogaster has been accumulated heretofore.

I acknowledge my indebtedness to Dr. Henry S. Fitch, resident investigator on the University of Kansas Natural History Reservation. In addition to supplying guidance and encouragement in both the planning and execution of the investigation, Dr. Fitch made available for study the data from his extensive field work. Interest in and understanding of ecology were stimulated by his teaching and his example. Special debts are also acknowledged to Mr. John Poole for the use of his field notes and to Professor E. Raymond Hall, Chairman of the Department of Zoology, for several courtesies. Dr. R. L. McGregor of the Department of Botany at the University of Kansas assisted with the identification of some of the plants. Drawings of skulls were made by Victor Hogg.

Of the numerous publications concerning Microtus pennsylvanicus, those of Bailey (1924), Blair (1940; 1948) and Hamilton (1937a; 1937c; 1940; 1941) were especially useful in supplying background and suggesting methods for the present study. Publications not concerned primarily with voles, that were especially valuable to me in providing methods and interpretations applicable to my study, were those of Blair (1941), Hayne (1949a; 1949b), Mohr (1943; 1947), Stickel (1946; 1948) and Summerhayes (1941). Faunal and ecological reports dealing with M. ochrogaster and containing useful information on habits and habitat included those of Black (1937:200-202), Brumwell (1951:193-200; 213), Dice (1922:46) and Johnson (1926). Lantz (1907) discussed the economic relationships of M. ochrogaster; the section of his report concerning the effects of voles on vegetation was especially useful to me.

Fisher (1945) studied the voles of central Missouri and obtained information concerning food habits and nesting behavior. Jameson (1947) studied M. ochrogaster on and near the campus of the University of Kansas. His report is especially valuable in its treatment of the ectoparasites of voles. In my investigation I have concentrated on those aspects of the ecology of voles not treated at [364]all by Fisher and Jameson, or mentioned but not adequately explored by them. Also I have attempted to obtain larger samples.

The University of Kansas Natural History Reservation, where almost all of the field work was done, is an area of 590 acres, comprising the northeastern-most part of Douglas County, Kansas. Situated in the broad ecotone between the deciduous forest and grassland, the reservation provides a variety of habitat types (Fitch, 1952). Before 1948, much of the area had been severely overgrazed and the original grassland vegetation had been largely replaced by weeds. Since 1948 there has been no grazing or cultivation. The grasses have partially recovered and, in the summer of 1952, some grasses of the prairie climax were present even on the parts of the Reservation which had been most heavily overgrazed. Illustrative of the changes on the Reservation were those observed in House Field by Henry S. Fitch (1953: in litt.). He recalled that in July, 1948, the field supported a closely grazed, grassy vegetation providing insufficient cover for Microtus, with such coarse weeds as Vernonia, Verbena and Solanum constituting a large part of the plant cover. By 1950, the same area supported a lush stand of grass, principally Bromus inermis, and supported many woody plants. Similar changes occurred in the other study areas on the Reservation. Although insufficient time has elapsed to permit analyses of successional changes, it seems that trees and shrubs are gradually encroaching on the grassland throughout the Reservation.

The vole population has changed radically since the Reservation was established. In September and October of 1948, when Fitch began his field work, he maintained lines of traps totaling more than 1000 trap nights near the future vole study plots without capturing a single vole. In November and December, 1948, he caught several voles near a small pond on the Reservation and found abundant sign in the same area. Late in 1949 he began to capture voles over the rest of the Reservation, but not until 1950 were voles present in sufficient numbers for convenient study.

I first visited the Reservation and searched there for sign of voles in the summer of 1949. I found hardly any sign. In the area around the pond mentioned above, however, several systems of runways were discovered. This area had been protected from grazing for several years prior to the reservation of the larger area. In House Field, where my main study plot was to be established, there was no sign of voles. Slightly more than a year later, in October, 1950, I began trapping and found Microtus to be abundant on House Field and present in smaller numbers throughout grassland areas of the Reservation.


GENERAL METHODS

The present study was based chiefly on live-trapping as a means of sampling a population of voles and tracing individual histories without eliminating the animals. Live-trapping disturbs the biota less than snap-trapping and gives a more reliable picture of the mammalian community (Blair, 1948:396; Cockrum, 1947; Stickel, 1946:158; 1948:161). The live-traps used were modeled after the trap described by Fitch (1950). Other types of traps were tested from time to time but this model proved superior in being easy to set, in not springing without a catch, in protecting the captured animal and in permitting easy removal of the animal from the trap. A wooden box was placed inside the metal shelter attached to each trap and, in winter, cotton batting or woolen scraps were placed inside the boxes for nesting material. With this insulation against the cold, voles could survive [365]the night unharmed and could even deliver their litters successfully. In summer the nesting material was removed but the wooden box was retained as insulation against heat.

Bait used in live-traps was a mixture of cracked corn, milo and wheat, purchased at a local feed store. The importance of proper baiting, especially in winter, has been emphasized by Howard (1951) and Llewellyn (1950) who found an adequate supply of energy-laden food, such as corn, necessary in winter to enable small rodents to maintain body temperature during the hours of captivity. The rare instances of death of voles in traps in winter were associated with wet nesting material, as these animals can survive much lower temperatures when they are dry. Their susceptibility to wet and cold was especially evident in rainy weather in February and March.

Preventing mortality in traps was more difficult in summer than in winter. The traps were set in any available shade of tall grass or weeds; or when such shade was inadequate, vegetation was pulled and piled over the nest boxes. The traps usually were faced north so that the attached number-ten cans, which served as shelters, cast shadows over the hardware cloth runways during midday. Even these measures were inadequate when the temperature reached 90°F. or above. Such high temperatures rarely occurred early in the day, however, so that removal of the animals from traps between eight and ten a. m. almost eliminated mortality. Those individuals captured in the night were not yet harmed, but it was already hot enough to reduce the activity of the voles and prevent further captures until late afternoon. When it was necessary to run trap lines earlier, the traps were closed in the morning and reset in late afternoon.

Reactions of small mammals to live-traps and the effects of prebaiting were described by Chitty and Kempson (1949). In general, the results of my trapping program fit their conclusions. Each of my trapping periods, consisting of seven to ten consecutive days, showed a gradual increase in the number of captures per day for the first three days, with a tendency for the number of captures to level off during the remainder of the period. Leaving the traps baited and locked open for a day or two before a trapping period tended to increase the catch during the first few days of the period without any corresponding increase during the latter part of the period. Initial reluctance of the voles to enter the traps decreased as the traps became familiar parts of their environment.

At the beginning of the study the traps were set in a grid with intervals of 20 feet. The interval was increased to 30 feet after three months because a larger area could thus be covered and no loss in trapping efficiency was apparent. The traps were set within a three foot radius of the numbered stations, and were locked and left in position between trapping periods.

Each individual that was captured was weighed and sexed. The resulting data were recorded in a field notebook together with the location of the capture and other pertinent information. Newly captured voles were marked by toe-clipping as described by Fitch (1952:32). Information was transferred from the field notebook to a file which contained a separate card for each individual trapped.

In the course of the program of live-trapping, many marked voles were recaptured one or more times. Most frequently captured among the females were number 8 (33 captures in seven months) and number 73 (30 [366]captures in eight months). Among the males, number 37 (21 captures in six months) and number 62 (21 captures in eight months) were most frequently taken. The mean number of captures per individual was 3.6. For females, the mean number of captures per individual was 3.8 and for males it was 3.4. Females seemingly acquired the habit of entering traps more readily than did males. No correlation between any seasonally variable factor and the number of captures per individual was apparent. To a large degree, the formation of trap habits by voles was an individual peculiarity.

In order to study the extent of utilization of various habitats by Microtus, a number of areas were sampled with Museum Special snap-traps. These traps were set in linear series approximately 25 feet apart. The number of traps used varied with the size of the area sampled and ranged from 20 to 75. The lines were maintained for three nights. The catch was assumed to indicate the relative abundance of Microtus and certain other small mammals but no attempt to estimate actual population densities from snap-trapping data was made. In August, 1952, when the live-trapping program was concluded, the study areas were trapped out. The efficiency of the live-trapping procedure was emphasized by the absence of unmarked individuals among the 45 voles caught at that time.

Further details of the methods and procedures used are described in the appropriate sections which follow.


HABITAT

Although other species of the genus Microtus, especially M. pennsylvanicus, have been studied intensively in regard to habitat preference (Blair, 1940:149; 1948:404-405; Bole, 1939:69; Eadie, 1953; Gunderson, 1950:32-37; Hamilton, 1940:425-426; Hatt, 1930:521-526; Townsend, 1935:96-101) little has been reported concerning the habitat preferences of M. ochrogaster. Black (1937:200) reported that, in Kansas, Microtus (mostly M. ochrogaster) preferred damp situations. M. ochrogaster was studied in western Kansas by Brown (1946:453) and Wooster (1935:352; 1936:396) and found to be almost restricted to the little-bluestem association of the mixed prairie (Albertson, 1937:522). Brumwell (1951:213), in a survey of the Fort Leavenworth Military Reservation, found that M. ochrogaster preferred sedge and bluegrass meadows but occurred also in a sedge-willow association. Dice (1922:46) concluded that the presence of green herbage, roots or tubers for use as a water source throughout the year was a necessity for M. ochrogaster. Goodpastor and Hoffmeister (1952:370) found M. ochrogaster to be abundant in a damp meadow of a lake margin in Tennessee. In a study made on and near the campus of the University of Kansas, within a few miles of the area concerned in the present report, Jameson (1947:132) found that voles used grassy areas in spring and summer, but that in the autumn, when the grass began to dry, they moved to clumps of Japanese honeysuckle (Lonicera japonica) and stayed among the shrubbery throughout the winter. Johnson (1926:267, 270) found M. ochrogaster only in uncultivated areas where long grass furnished adequate cover. He stated that the entire biotic association, rather than any single factor, was the key to the distribution of the voles. None of these reports described an intensive study of the habitat of voles, but the data presented indicate that voles are characteristic of grassland and that M. ochrogaster can occupy drier areas than those used by M. pennsylvanicus. [367] Otherwise, the preferred habitats of the two species seem to be much the same.

In the investigation described here I attempted to evaluate various types of habitats on the basis of their carrying capacity at different stages of the annual cycle and in different years. The habitats were studied and described in terms of yield, cover and species composition. The areas upon which live-trapping was done were studied most intensively.

These two areas, herein designated as House Field and Quarry Field, were both occupied by voles throughout the period of study. Population density varied considerably, however (Fig. 5). Both of these areas were dominated by Bromus inermis, and, in clipped samples taken in June, 1951, this grass constituted 67 per cent of the vegetation on House Field and 54 per cent of the vegetation on Quarry Field. Estimates made at other times in 1950, 1951 and 1952 always confirmed the dominance of smooth brome and approximated the above percentages. Parts of House Field had nearly pure stands of this grass. Those traps set in spots where there was little vegetation other than the dominant grass caught fewer voles than traps set in spots with a more varied cover. Poa pratensis formed an understory over most of the area studied, especially on House Field, and attained local dominance in shaded spots on both fields. The higher basal cover provided by the Poa understory seemed to support a vole population larger than those that occurred in areas lacking the bluegrass. Disturbed situations, such as roadsides, were characterized by the dominance of Bromus japonicus. This grass occurred also in low densities over much of the study area among B. inermis. Other grasses present included Triodia flava, common in House Field, but with only spotty distribution in Quarry Field; Elymus canadensis, distributed over both areas in spotty fashion and almost always showing evidence of use by voles and other small mammals; Aristida oligantha and Bouteloua curtipendula, both more common on the higher and drier Quarry Field; Panicum virgatum, Setaria spp., especially on disturbed areas; and three bluestems, Andropogon gerardi, A. virginicus and A. scoparius. The bluestems increased noticeably during the study period (even though grasses in general were being replaced by woody plants) and they furnished a preferred habitat for voles because of their high yield of edible foliage and relatively heavy debris which provided shelter.

On House Field the most common forbs were Vernonia baldwini, Verbena stricta and Solanum carolinense. On Quarry Field, Solidago spp. and Asclepias spp. were also abundant. All of them seemed to be used by the voles for food during the early stages of growth, when they were tender and succulent. The fruits of the horse nettle (Solanum carolinense) were also eaten. The forbs themselves did not provide cover dense enough to constitute good vole habitat. Mixed in a grass dominated association they nevertheless raised the carrying capacity above that of a pure stand of grass. Other forbs noted often enough to be considered common on both House Field and Quarry Field included Carex gravida, observed frequently in House Field and less often in Quarry Field; Amorpha canescens, more common in Quarry Field; Tradescantia bracteata, Capsella bursapastoris, Oxalis violacea, Euphorbia marginata, Convolvulus arvensis, Lithospermum arvense, Teucrium canadense, Physalis longifolia, Phytolacca americana, Plantago major, Ambrosia trifida, A. artemisiifolia, Helianthus annuus, Cirsium altissimum and Taraxacum erythrospermum. Both areas were being invaded from one side by forest-edge vegetation; the woody plants noted included [368] Prunus americana, Rubus argutus, Rosa setigera, Cornus drummondi, Symphoricarpus orbiculatus, Populus deltoides and Gleditsia triacanthos.

In House Field the herbaceous vegetation was much more lush than in Quarry Field and woody plants and weeds were more abundant. A graveled and heavily used road along one edge of House Field, leading to the Reservation Headquarters, was a barrier which voles rarely crossed. A little-used dirt road crossing the trapping plot in Quarry Field constituted a less effective barrier. The disturbed areas bordering the roads were likewise little used and tended to reinforce the effects of the roads as barriers. There were almost pure stands of Bromus japonicus along both roads. No mammal of any kind was taken in traps set where this grass was dominant.

Because seasonal changes in vole density followed the curve for rate of growth of the complex of grasses on the Reservation, and because years in which there was a sparse growth of plants due to dry weather showed a decrease in the density of voles, the relationships between productivity of plants and vole population levels on the two study areas were investigated. In both fields the composition of the plant cover was similar, and the differences were chiefly quantitative. In June, 1951, ten square-meter quadrats were clipped on each of the areas to be studied. The clippings from each were dried in the sun and weighed. From Quarry Field the mean yield amounted to 1513 ± 302 lbs. per acre; while from House Field the yield was 2351 ± 190 lbs. per acre (Table 1). Using experience gained in making these samples, I periodically estimated the relative productivity of the two areas. House Field was from 1.5 to 3 times as productive as Quarry Field during the growing seasons of 1951 and 1952. Although House Field, being more productive, usually supported a larger population of voles than Quarry Field the reverse was true at the time of the clipping (Fig. 5).


Table 1. Relationship Between Yield and Various Population Data

House Field Quarry Field
Yield in June, 1951, lbs./acre 2351 ± 190 1513 ± 302
Microtus, June, 1951, gms./acre 3867 5275
Per cent immature Microtus, June, 1951 29.85 38.02
Ratio Microtus, June/March 0.73 2.63
Sigmodon, June, 1951, gms./acre 1376 746
Per cent immature Sigmodon, June, 1951 35.72 44.44
Ratio Sigmodon, June/March 1.40 2.25
Microtus-Sigmodon, June, 1951, gms./acre 5243 6021
Microtus mean, gms./acre/month 2922 1831
Sigmodon mean, gms./acre/month 802 335
Sigmodon-Microtus, gms./acre/month 3728 2166

Although no explanation was discovered which accounted fully for the seeming aberration, two sets of observations were made that may bear on the problem. In June, 1951, the population of voles and cotton rats on Quarry Field was increasing rapidly whereas in House Field that trend was reversed. The trends were reflected by the percentages of immature individuals in the two populations and by the ratios of the June, 1951, densities to the March, 1951, densities (Table 1). Perhaps the density curve was determined in part by factors inherent in the population and, to that extent, was fluctuating independently of the environment (Errington, 1946:153).

The flood in 1951 reduced the population of voles and obscured the normal seasonal trends. Although House Field produced a heavier crop of vegetation, Quarry Field produced a larger crop of rodents, chiefly Microtus and Sigmodon. In House Field, however, the ratio of Sigmodon to Microtus was notably higher. Presumably the cotton rats competed with the voles and exerted a depressing effect on their numbers. The intensity of the effect seemed to depend on the abundance of both species. That this depressing effect involved more than direct competition for plant food was suggested by the fact that in House Field, with a heavy crop of vegetation and a seemingly high carrying capacity for both herbivorous rodents, the biomass of voles, and of all rodents combined, were lower than in Quarry Field which had less vegetation and fewer cotton rats. The relationships between voles and cotton rats are discussed further later in this report.

When the centers of activity (Hayne, 1949b) of individual voles were [369] plotted it was seen that there was a shift in the places of high density of voles on the trapping areas. This shift seemed to be related to the advance of the forest edge with such woody plants as Rhus and Symphoricarpos and young trees invading the area. These shifts were clearly shown when the distribution of activity centers on both areas in June, 1951, was compared with the distribution in June, 1952 (Fig. 1). The shift was gradual and the more or less steady progress could be observed by comparing the monthly trapping records. It was perhaps significant that during the summers the centers of activity were less concentrated than during the winter. The shift of voles away from the woods was more nearly evident in winter when the voles were driven into areas of denser ground cover, which provided better shelter.

Progressive encroachment of woody vegetation

Fig. 1. Progressive encroachment of woody vegetation onto study areas, and the accompanying shift of the centers of populations of voles. Activity centers of individuals were calculated as described by Hayne (1949b) and are indicated by dots. The cross-hatched areas show places where the vegetation was influenced by the shade of woody plants.


From 1948 to 1950 and again in 1952 and 1953 I trapped in various habitat types in a mixed prairie near Hays, Kansas. Before the great drought of the thirties, Microtus ochrogaster was the most common species of small mammal in that area. Since 1948, at least, it has been taken only rarely and from a few habitats. No voles have been taken from grazed sites. In a relict area, voles were trapped in a lowland association dominated by big bluestem. Since 1948 only one vole has been trapped in the more extensive hillside association characterized by a mixture of big bluestem, little bluestem and side-oats grama. None was taken in the upland parts of the relict area where buffalo grass and blue grama dominated the association.

In the pastured areas there are nine livestock exclosures established by the Department of Botany of Ft. Hays Kansas State College. These exclosures included many types of habitat found in the mixed prairie. All of these exclosures were trapped and voles were taken in only two of them. An exclosure situated near a pond, on low ground producing a luxuriant growth of big bluestem and western wheat grass, has supported voles in 1948, 1949, 1952 and 1953. An upland exclosure containing only short grasses also supported a few voles in 1953.

An examination of the nature of the various plant associations of the mixed prairie indicates that yield of grasses, amount of debris and basal cover may be critical factors in the distribution of voles. The association to which the voles seemed to belong was the lowland association. Hopkins et al (1952:401; 409) reported the yield of grasses from the lowland to be approximately twice as great as from the hillside and upland in most years. Probably equally important to the voles was the fact that debris accumulation in the lowland was [371]approximately five times as great as in the upland and approximately 2.5 times as great as on the hillside (Hopkins, unpublished data). The unexpected presence of voles in the short grass exclosure was probably due to two factors. In ungrazed short grass, basal cover may reach 90 per cent (Albertson, 1937:545), thus providing excellent cover for voles. Also, the ungrazed exclosure had greater yield and a thicker mat of debris than the grazed short grass surrounding it and was thus a relatively good habitat, although it did not compare favorably with the lowland type.

Samples of the populations of various areas, obtained by snap-trapping, gave further information regarding the types of vegetation preferred by voles. Voles were taken in all ungrazed and unmown grasslands trapped in eastern Kansas, although some of the areas were not used at all seasons of the year nor in years having a low population of Microtus. Reithro Field, similar to Quarry Field in its general aspect, had a heavy population of voles in the spring and summer of 1951, a time when voles were generally abundant. On the same area the population of small mammals was sampled in the summer of 1949 and, though occasional sign of voles was seen, not one vole was trapped. Later trapping, in the spring and summer of 1952, also failed to catch any voles and Fitch (1953, in litt.) caught none in several trapping attempts in 1953. These later times were characterized by a general scarcity of voles. Reithro Field was drier, with less dense vegetation, than the two main study areas and had larger percentages of little bluestem (Andropogon scoparius) and side-oats grama (Bouteloua curtipendula) and smaller percentages of Vernonia, Verbena, Solanum and Solidago.

Various species of foxtail (Setaria) dominated most roadsides in the vicinity of the Reservation. Voles almost always used these strips of grass but never were abundant in them. Voles were taken near the margin of a weedy field, fallow since 1948, but there was none in the middle of the field. Most individuals were confined to the grassy areas around the field and made only occasional forays away from the edge. The dam of a small pond on the Reservation and low ground near the water were used by Microtus at all times. In the summer of 1949 no voles were taken anywhere on the Reservation but their runways were more abundant around the pond than in the other places examined. Of all the areas studied in the summer of 1949, only the pond area had been protected from grazing in previous years. Polygonum coccineum was the most prominent plant in the pond edge association. A few voles were trapped in large openings in the woods, where a prairie vegetation remained and where voles seemingly lived in nearly isolated groups.

Voles were rarely taken in grazed or mown grassland or in fields of alfalfa, stubble or row crops. The critical factor in these cases seemed to be the absence of debris or other ground cover under which runways and nests could be concealed satisfactorily. Woods, rocky outcroppings and bare ground were not used regularly by voles. Fitch (1953, in litt.) has taken several Microtus in reptile traps set along a rocky ledge in woods but most of these voles were subadult males and seemed to be transients. Fields in the early stages of succession also failed to support a population of voles. Such areas on the Reservation were characterized by giant ragweed, horse weed, thistles and other coarse weeds. Basal cover was low and debris scanty. Not until an understory of grasses was established did a population of voles appear on such areas. The coarse weeds seemed to [372] provide neither food nor cover adequate for the needs of the voles.

An analysis of trapping success at each station in House Field further clarified habitat preferences. The tendency of voles to avoid woody vegetation was again demonstrated. Not only was the population concentrated on that part of the study plot farthest from the forest edge but, as a general rule, voles tended to avoid single trees or clumps of shrubby plants wherever these occurred on the area. As an example, trap number 18 never caught more than one per cent of the monthly catch and in many trapping periods caught nothing. This trap was under a wild plum tree. Adjacent traps often were entered; the general area was the most heavily populated part of the study plot. Only under the plum tree was there a relatively unused portion.

Traps number 29 and 30, in the shade of a large honey locust tree, also caught but few voles. Trap number 30 was only six feet from the base of the tree and caught but one vole throughout the study period. These two traps caught more Peromyscus leucopus than any other pair, however, and both of them also caught pine voles (M. pinetorum). The area shaded by this tree permitted an extension of parts of the forest edge fauna into the grassland.

In spite of the marked general tendency to avoid woody plants, some voles made their runways around the roots of blackberry bushes, sumac and wild plum trees. Some nests were found under larger roots, as if placed there for protection. More vegetation was found under the woody plants which the voles chose to use for shelter than under those which they avoided. It seemed probable that the actual condition avoided by voles was the bareness of the ground (a result of the shade cast by the woody plants) rather than the woody plants themselves.

Running diagonally across the eastern half of the trapping plot in House Field there was a terracelike ridge of soil. On each side of this ridge there was a slight depression. Observations of the study plot in the growing season showed this strip to produce the most luxuriant vegetation of any part of the plot. Clip-quadrat studies confirmed this observation and showed the bluegrass understory to be especially heavy. This strip included the areas trapped by traps numbered 4, 5, 17, 18, 22, 23 and 37. With the exception of trap number 18, discussed above, these traps consistently made more captures than traps set in other parts of the plot. In winter, these traps also caught more harvest mice (Reithrodontomys megalotis) than any other comparable group of traps.

Although the amount of growing tissue of plants probably is at least as important to voles as the total amount of vegetation, some correlation seemed to exist between the density of grassy vegetation and the density of populations of voles. A mixed stand of grasses, with an obvious weedy component, can support a larger population of voles than can either a nearly pure stand of grass or the typical early seral stages dominated by weeds. Probably the more or less continual supply of young plants provided preferred food easily available to voles. A more homogeneous vegetation would tend to pass through the young and tender stage as a unit, thus causing a feast to be followed by a relative famine.


POPULATION STRUCTURE

[373] During the period of study the percentage of males in most of my samples was less than 50 per cent (Fig. 2). Only once, in June, 1952, did the mean percentage of males in samples from three areas (House Field, Quarry Field, Fitch traps) exceed that level and then it was only 50.1 per cent. On several occasions, however, the percentage of males in a sample from a single area was slightly above 50 per cent. The highest percentage of males recorded was 56.69 per cent, in a sample taken from the Quarry Field population in June, 1952. In the samples taken in April, 1952, the mean percentage of males was 39.67 per cent, the lowest mean recorded. The low point for one sample was 28.02 per cent in August, 1952, from Quarry Field. The mean percentage of males in all samples taken was 45.02 ± 2.72 per cent. Percentages observed would occur in random samples taken from a population with 50 per cent males less than one per cent of the time. Exactly 50 per cent of the young in the 65 litters examined were classified as males but the sample was small and the sexing of newborn individuals was difficult.

Graphs of population structure

Fig. 2. Graphs of population structure showing the monthly changes in the mean percentages of juveniles, subadults, adults and males in samples from the three study areas.


The extent to which sex ratios in samples were affected by trapping procedure was not determined. A possibility considered was that the greater wandering tendency of males (Blair, 1940:154; Hamilton, 1937c:261; Townsend, 1935:98) impaired the formation of trap habits (Chitty and Kempson, 1949:536) on their part and thus unbalanced the sex ratios of the samples. If this were the explanation, the apparent sex ratio on larger areas would more nearly approximate the true ratio, and the frequency of capture of females would exceed that of males. The evidence is somewhat equivocal. In the populations described here the mean number of captures per individual per month was 2.31 for females, which was significantly greater (at the one per cent level) than the 2.20 captures per individual per month which was the mean number for males. This difference supports the idea that differences in habits between the sexes result in distorted sex ratios in samples obtained by live-trapping. Mean percentages of males did not, however, differ significantly between the House Field-Quarry Field samples and the samples from the Fitch trapping area, nearly five times as large.

Three age classes, juvenal, subadult and adult, were separated on the basis of condition of pelage. The percentage of adults in populations varied seasonally (Fig. 2). January, February and March were the months when the adult fraction of the population was highest and October and November were low points, with May and June showing percentages almost as low. The only marked variation in this seasonal pattern occurred in July and August, 1952, when the percentage of adults rose sharply. This was due to a depression in the reproductive rate during the dry summer of 1952, which is discussed later in this report. Juveniles made up only a small fraction of the population from December through March and a relatively large fraction in the October-November and May-June periods (Fig. 2). Again, July and August of 1952 were exceptions to the pattern as the percentages of juveniles in these months fell to midwinter levels. As expected, the curve of the percentages of subadults in the population followed that of the juveniles and preceded that of the adults. The mean percentages for the thirty month period for which data were available were: adults, 77.72 ± 4.48 per cent; subadults, 14.06 ± 3.14 per cent; and juveniles, 8.22 ± 2.62 per cent. Seasonal and yearly changes in the population structure occurred, with notable variation in the ratio of [374] breeding females to the entire population, as discussed in this report under the heading of reproduction.

Since some of the juveniles did not move enough to be readily trapped, the real percentage of juveniles in the population was probably far greater than that shown by trapping data. I tried, [375] therefore, to estimate the number of juveniles on the study plot each month by multiplying the number of lactating females by the mean litter size. As expected, the results were consistently higher than the estimate based on trapping data. The discrepancy was largest in April, May, June and October. During the winter there was no important difference between the two estimates. Even when the discrepancy was greatest, the estimated weight of the juveniles missed by trapping was not large enough to modify the picture of habitat utilization in any important way. I chose, therefore, to count only those juveniles actually trapped. Although probably consistently too low, such a figure seemed more reliable than an estimate made on any other basis.

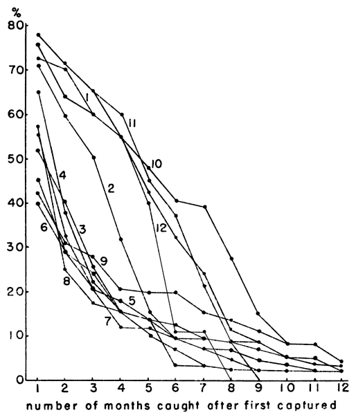
Percentages of individuals surviving

Fig. 3. Percentages of individuals captured each month surviving in subsequent months. The graph shows differential survival according to time of birth. Individuals born in autumn seem to have a longer life expectancy. The numbers on the lines refer to months of first capture.


A study of the age groups in each month's population revealed a [376] differential survival based on the season of birth. Blair (1948:405) found that chances of survival in Microtus pennsylvanicus were approximately equal throughout the year. In the present populations of M. ochrogaster, however, voles born in October, November, December and January tended to live longer than those born in other months (Fig. 3). Presumably these animals, born in autumn and early winter, were more vigorous than their older competitors and were therefore better able to survive the shrinking habitat of winter. Their continued survival after large numbers of younger voles had been added to the population probably was permitted by the expanding habitat of spring and summer. The percentage of the population surviving the winter of 1951-1952 was approximately double the percentage surviving the winter of 1950-1951. This difference seemed to be due to the smaller population entering the winter of 1951-1952 rather than any major difference in the environmental resistance.

As a consequence of the differential survival, most of the breeding population in the spring was made up of animals born the previous October and November. Fig. 4 shows that in February, when the percentage of breeding females ordinarily began to rise, 51.6 per cent of the population was born in the previous October and November. Voles born in these two months continued to form a large part of the population through March (45.1 per cent), April (38.5 per cent), May (23.9 per cent), June (18.7 per cent) and July (16.2 per cent) (Fig. 4). These percentages suggest that the habitat conditions in October and November were probably important in determining the population level for at least the first half of the next year.

Differential survival of voles

Fig. 4. Differential survival of voles according to month when first caught. Each column represents the percentage of the monthly sample first caught in each of the preceding months. Those voles caught first in October and November survived longer than those first caught in other months. Relatively few individuals remained in the population as long as one year.



POPULATION DENSITY

Population densities were ascertained on the study areas by means of the live-trapping program. Blair (1948:396) stated that almost all small mammals old enough to leave the nest (except shrews and moles) are captured by live-trapping. My experience, and that of other workers on the Reservation, requires modification of such a statement. The distance between traps is an important factor in determining the efficiency of live-trapping. As mentioned earlier, when House Field and Quarry Field were trapped out at the conclusion of the live-trapping program no unmarked voles were taken. This showed that the 30 foot interval between traps was short enough to cover the area as far as Microtus was concerned. The fact that unmarked adults were caught almost entirely in marginal traps is additional evidence. On the other hand, the Fitch traps were 50 feet apart and voles seemed to have lived within the grid for several months before being captured. Fitch (1954:39) has shown that some kinds of small mammals are missed in a live-trapping program because of variation in bait acceptance, both seasonal and specific.

A few individuals, missed in a trapping period, were captured again in subsequent months. These voles were assumed to have been present during the month in which they were not caught. The area actually trapped each month was estimated by a modification of the method proposed by Stickel (1946:153). The average maximum move was calculated each month and a strip one half the average maximum move in width was added to each side of the study area actually covered by traps. The study plots were bounded in part by gravel roads and forest edge acting as barriers, and for these parts no marginal strip was [377] added. Trap lines on the opposite sides of these roads rarely caught marked voles that had crossed in either direction. It is perhaps advisable to say here that the size of House Field and Quarry Field [378]study plots (0.56 acres) was too small for best results in estimating population levels (Blair, 1941:149). In the computations of population levels the data for males and females were combined, because no significant difference between the average maximum move of the sexes was apparent.

Fluctuations of the populations were graphed in terms of individuals per acre (Fig. 5). The variation was great in the 30 month period for which data were available, and was both chronological and topographical. The lowest density recorded was 25.2 individuals per acre and the highest density was 145.8 individuals per acre. The weight varied from a low of 847 grams per acre to a high of 5275 grams per acre.

Variations in density of voles

Fig. 5. Variations in density of voles from three populations, as shown by live-trapping, and the mean density of these populations. Juveniles are not represented in their true numbers since many voles were caught first as subadults. The samples from the Fitch trap line were incomplete due to the wide spacing of the traps.


There are few records of density of M. ochrogaster in the literature. Brumwell (1951:213) found nine individuals per acre in a prairie on the Fort Leavenworth Military Reservation and Wooster (1939:515) reported 38.5 individuals per acre for M. o. haydeni in a mixed prairie in west-central Kansas. High densities for M. pennsylvanicus reported in the literature include 29.8 individuals per acre (Blair, 1948:404), 118 individuals per acre (Bole, 1939:69), 160-230 individuals per acre (Hamilton, 1937b:781) and 67 individuals per acre (Townsend, 1935:97).

Because the study period included one period of unusually high rainfall and one year of unusually low rainfall, the normal pattern of seasonal variation of population density was obscured. An examination of the data suggested, however, that the greatest densities were reached in October and November with a second high point in the April-May-June period. These high points generally followed the periods of high levels of breeding activity (Fig. 8). The autumn rise in population may have been due, in part, to the addition of spring and early summer litters to the breeding population, but the rise occurred too late in the year to be explained by that alone. Another factor may have been the spurt in growth of grasses occurring in Kansas in early autumn, in September and October. There was a seeming correlation between high rainfall with rapid growth of grasses and reproductive activity, and, secondarily with high population densities of voles. These relationships are discussed in connection with reproduction. Lowest annual densities were found to occur in January when there is but little breeding activity and when rainfall is low and plant growth has ceased.

Marked deviation from the usual seasonal trends accompanied flood and drought. In the flood of July, 1951, although the study areas were not inundated, the ground was saturated to the extent that every footprint at once became a puddle. Immediately after the floods, on all three areas studied, populations were found to have been drastically reduced. The effect was most severe on the population of House Field, the lowest area studied, and the recovery of the population there was much slower than that of those on the other study areas (Fig. 5). Newborn voles were killed by the saturated condition of the ground in which they lay. The more precocious young of Sigmodon hispidus survived wetting better. They thus acquired an advantage in the competitive relationship between cotton rats and voles. These relationships are discussed more fully in the section on mammalian associates of Microtus.

Adverse effects of heavy rainfall on populations of small mammals have been reported by Blair (1939) and others. Goodpastor and Hoffmeister (1952:370) reported that inundation sharply reduced [380] populations of M. ochrogaster for a year after flooding but that the area was then reoccupied by a large population of voles. Such a reoccupation may have begun on the areas of this study in the spring of 1952 when the upward trend of the population was abruptly reversed by drought. While cotton rats were abundant their competition may have been an important factor in depressing population levels of voles. The population of voles began to rise only after the population of cotton rats had decreased (Fig. 19).

In the unusually dry summer of 1952, there was a marked decline of population levels beginning in June and continuing to August when my field work was terminated. Dr. Fitch (1953, in litt.) informed me that the decline continued through the winter of 1952-53 and into the summer of 1953, until daily catches of Microtus on the Reservation were reduced to 2-10 per cent of the number caught on the same trap lines in the summer of 1951. The drought seemed to affect population levels by inhibiting reproduction, as described elsewhere in this report. A similar sensitivity to drought was reported by Wooster (1935:352) who found M. o. haydeni decreased more than any other species of small mammal after the great drought of the thirties.

No evidence of cycles in M. ochrogaster was observed in this investigation. All of the fluctuations noted were adequately explained as resulting from the direct effects of weather or from its indirect effect in determining the kinds and amounts of vegetation available as food and shelter.

The differences in densities supported by the various habitats were discussed earlier in connection with the analysis of habitats.


HOME RANGE

Home ranges were calculated for individual voles according to the method described by Blair (1940:149-150). The term, home range, is used as defined by Burt (1943:350-351). Only those voles captured at least four times were used for the home range studies. Individuals which included the edge of the trap grid in their range were excluded unless a barrier existed (see description of habitat) confining the seeming range to the study area.

The validity of home range calculations has been challenged (Hayne, 1950:39) and special methods of determining home range have been advocated by a number of authors. The ranges calculated in this study are assumed to approximate the actual areas used by individuals and are considered useful for comparison with other ranges calculated by similar methods, but no claim to exactness is intended. It is obvious, for instance, that many plotted ranges contain so-called blank areas which, at times, are not actually used by any vole (Elton, 1949:8; Mohr, 1943:553). Studies of the movements of mammals on a more detailed scale, perhaps by live-traps set at shorter intervals and moved frequently, are needed to increase our understanding of home range.

In order to test the reliability of the range calculated, an examination of the relationship between the size of the seeming range and the number of captures was made. For the first three months, trapping on House Field was done with a 20 foot grid and throughout the remainder of the study a 30 foot grid was used. The effect of these different spacings on the size of the seeming home range was also investigated. Hayne (1950:38) found that an increase in the distance between traps caused an increase in the size of the seeming [381]home range, but in my study the increased interval between traps was not accompanied by any change in the sizes of the calculated ranges.

The number of captures, above the minimum of four, did not seem to be a factor in determining the size of the calculated monthly range. A seeming relationship was observed between the number of times an individual was trapped and the total area used during the entire time the vole was trapped. Closer examination revealed that the most important factor was the length of time over which the vole's captures extended. Table 2 shows the progressive increase in sizes of the mean range of animals taken over periods of time from one month to ten months.


Table 2. Relationship Between Home Range Size and Length of Time on the Study Area

No. months on area 1 2 3 4 5 6 7 8 9 10
Mean range in acres .09 .09 .10 .14 .13 .17 .22 .22 .26 .24

Nothing concerning the home range of Microtus ochrogaster was found in the literature. Several workers, including Blair (1940) and Hamilton (1937c), have studied the home range of M. pennsylvanicus. Blair (1940:153) reported a larger range for males than for females in all habitats and in all seasons represented in his sample. In M. ochrogaster, however, I found that the mean monthly range for both sexes was 0.09 of an acre. Blair (loc. cit.) reported no individuals with a range so small as that mean, but Hamilton (op. cit.:261) mentioned two voles with ranges of less than 1200 square feet. The mean total range used by an individual during the entire time it was being trapped showed a slight difference between the sexes. Males used an average of 0.14 of an acre whereas females used an average of but 0.12 of an acre. This suggested that, as in M. pennsylvanicus (Hamilton, loc. cit.), males tended to wander more than females and to shift their home range more often.

The largest monthly range recorded was 0.28 of an acre used by a female in March, 1951, and calculated on the basis of four captures. The largest monthly range of a male was 0.25 of an acre for a vole caught eight times in November, 1950. The smallest monthly range was 0.02 of an acre; several individuals of both sexes were restricted to areas of this size. Juveniles, not included in the home range study, were usually restricted to 0.01 or, at most, 0.02 of an acre. Seasonal differences in the sizes of home ranges were not significant. However, the voles caught in the winter often enough to be used for home range studies were too few for a thorough study of seasonal variation in the size of home ranges.

One female was captured 22 times in the seven-month period of October, 1950, to April, 1951. She used an area of 0.83 of an acre, but this actually comprised two separate ranges. From October, 1950, through December, 1950, she was taken 17 times within an area of 0.12 of an acre; and from January, 1951, to April, 1951, she was taken five times within an area of 0.15 of an acre. The largest area assumed to represent one range of a female was 0.38 of an acre, recorded on the basis of six captures in three months. The largest area encompassed by the record of an individual male was 0.41 of an acre. He, too, shifted his range, being taken five times on an area of 0.07 of an acre and twice, two months later, on an area of 0.09 of an acre. Presumably, [382]the remainder of his calculated total range was used but little, or not at all. The largest single range of a male was 0.36 of an acre, calculated on the basis of 18 captures in seven months. The smallest total range for both sexes was 0.02 of an acre.

Many voles shifted their home range and a few did so abruptly. The large range of a female vole, described above and plotted in Fig. 6, indicated an abrupt shift from one home range to another. More common is a gradual shift as indicated by the range of the male shown in Fig. 7. Large parts of each monthly range of this vole overlapped the area used in other months but his center of activity shifted from month to month.

Map with cross-hatched areas showing the range of vole #20

Fig. 6. Map with cross-hatched areas showing the range of vole #20 (female). Dots show actual points of capture at permanent trap stations 30 feet apart. Vertical lines mark area in which vole was taken 17 times in October and November, 1950. Horizontal lines mark area in which vole was taken five times in March and April, 1951. This vole was not captured in December and January.

Map showing range of vole #52

Fig. 7. Map showing range of vole #52 (male) with seeming shifts in its center of activity. Dots show actual points of capture at permanent trap stations 30 feet apart. Solid line encloses points of six captures in October and November, 1950. Broken line encloses points of five captures in February and March, 1951. Dotted line encloses points of nine captures in April, May and June, 1951.


That home ranges overlapped was demonstrated by frequent capture of two or more individuals together in the same trap. No territoriality has been reported in any species of Microtus, to my knowledge, and my voles showed no objection to sharing their range. Voles taken from the field into the laboratory lived together in pairs or larger groups without much friction.

[383]

Definable systems of runways and home ranges were not coextensive. Runway systems tended to merge, as described later in this report, and relationships between them and home range were not apparent. Home ranges had no characteristic shape.


LIFE HISTORY

Reproduction

Reproductive activity might have been measured in a number of ways. Three indicators were tested: the percentage of females gravid or lactating, the percentage of juveniles in the month following the sampling period, and the percentage of females with a vaginal orifice in the sampling period. The condition of vagina proved to be most useful. Whether or not there is a vaginal cycle in Microtus is uncertain. Bodenheimer and Sulman (1946:255-256) found no evidence of such a cycle, nor did I in my work with laboratory animals at Lawrence. How much the artificial environment of the laboratory affected these findings is unknown. The presence of an orifice seemed to indicate sexual activity (Hamilton, 1941:9). The percentage of gravid females in the population could not be determined accurately by a live-trapping study and was not useful in this investigation. The percentage of juveniles trapped in the month following the sampling period tended to follow the curve of the percentage of adult females with a vaginal orifice. The ratio of trapped juveniles to adults trapped was a poor indicator of reproductive activity. Juveniles were caught in relatively small numbers because of their restricted movements, and no way to determine prenatal and juvenal mortality was available.

Reproductive activity continues throughout the year. Within the thirty-month period for which data were obtained, December and January showed the lowest percentages of females with vaginal orifices (Fig. 8). The other months all showed higher levels of reproductive activity with a slight peak in the August-September-October period in both 1950 and 1951. In the species of Microtus that are found in the United States, such summer peaks of breeding seem to be the rule (Blair, 1940:151; Gunderson, 1950:17; Hamilton, 1937b:785). Jameson (1947:147) worked in the same county where my field study was made and found that the high point of reproduction was in March, although his samples were too small to be reliable. The peak of reproductive activity slightly preceded the highest level of population density in each year (Fig. 8).

Variations in density and reproductive rate of voles

Fig. 8. Variations in density and reproductive rate of voles, with variation in monthly precipitation. Abnormally low rainfall in 1952 caused a decrease in breeding activity and eventually in the numbers of voles. The solid line indicates the number of voles per acre, the broken line the percentage of females with a vaginal orifice and the dotted line the inches of rainfall.


A marked reduction in the percentage of females having vaginal orifices was observed in the unusually dry summer of 1952. The rate of reproduction was found to be positively correlated with rainfall (Fig. 9). Correlation coefficients were higher in each case when the amount of rainfall in the month preceding each sampling period was used instead of that in the month of the sample. This suggested that the rainfall exerted its influence indirectly through its effect on plant growth. Bailey (1924:530) reported that a reduction in either the quantity or quality of food had a depressing effect on reproduction. Drought, such as occurred in 1952, would certainly have a depressing effect on both. The critical factor seems to be the supply of new, actively growing shoots available to the voles for food rather than the total amount of vegetation. As far as could be determined from the small sample of males examined, their fecundity was not affected by rainfall. Some decrease in the percentage of males that were fecund [384] was noted in the winter and was reported also by Jameson (1947:145) but most of the males in any sample were fecund. Thus any depression in the reproductive rate was due to loss of fecundity by females. This was in agreement with reports in the literature on the subject (Baker and Ransom, 1932a:320; 1932b:43).

The correlation coefficient between rainfall and the percentage of adult females with a vaginal orifice was 0.53. This was considered to be surprisingly high in view of the expected effects on the breeding rate of temperature, seasonal diet variations and whatever rhythms were inherent in the voles. When only the summer months were considered the correlation coefficient between rainfall and the percentage of adult females with a vaginal orifice was 0.84. This indicated that, during the season when breeding was at its height, rainfall was a factor in determining the rate of reproduction and when rainfall was scarce, as in the summer of 1952, it seemed to be a limiting factor (Fig. 9).

 Comparison between monthly rainfall and reproductive rate of voles in summer

Fig. 9. Comparison between monthly rainfall and reproductive rate of voles in summer. The dry summer of 1952 caused a notable decrease in reproductive activity. The correlation coefficient between rainfall and the percentage of females with a vaginal orifice was 0.84.


Of the total captures 20.6 per cent involved more than one individual. When the distribution of these multiple captures was [385] graphed for the period of study, a high correlation between the percentage of captures that were multiple and the percentage of females with a vaginal orifice (r = 0.70) was found. An even higher correlation (r = 0.76) was observed between the percentage of captures that were multiple and the population density. The higher percentage of multiple captures may have been largely a result of fewer available traps per individual on the area and thus only indirectly related to the rate of reproduction.

Of the multiple captures, 66 per cent involved both sexes. The correlation coefficient between the percentage of captures involving both sexes and the level of reproductive activity was 0.58. Among those pairs of individuals caught together more than once, 61 per cent were composed of both sexes. Among those pairs taken together three or more times 76 per cent were male and female and among those pairs taken together four or more times 80 per cent were male and female. When adult voles stayed together any length of time their relationship usually appeared to be connected with sex. Family groups were also noted, as pairs were often trapped which seemed to be mother and offspring. A lactating female would sometimes enter a trap even after it had been sprung by a juvenile, presumably her offspring, or a juvenal vole would enter a trap after its mother had been captured. Such family groups persisted only until the young voles had been weaned.

[386]

The youngest female known to be gravid was 26 days old and weighed 28 grams. During summer most of the females were gravid before they were six weeks old, although females born in October and after were often more than 15 weeks old before they became gravid. The youngest male known to be fecund was approximately six weeks old. Male fecundity was determined as described by Jameson (1950). Difference in the age of attainment of sexual maturity serves to reduce the mating of litter mates (Hamilton, 1941:7) and has been noticed in various species of the genus Microtus by several authors (Bailey, 1924:529; Hatfield, 1935:264; Hamilton, loc. cit.; Leslie and Ransom, 1940:32).

For 35 females, each of which was caught at least once each month for ten consecutive months or longer, the mean number of litters per year was 4.07. Certain of the more productive members of the group produced 11 litters in 16 months. M. ochrogaster seems to be less prolific than M. pennsylvanicus. Bailey (1924:528) reported that one female meadow vole delivered 17 litters in 12 months. Hamilton (1941:14) considered 17 litters per year to be the maximum and stated that in years when the vole population was low the females produced an average of five to six litters per year. In "mouse years" the average rose to eight to ten litters per year. During this study several females delivered two or more litters in rapid succession. This was noted more frequently in spring and early summer than in other parts of the year. Those females which produced two or three litters in rapid succession in spring and early summer often did not litter again until fall. Post-parous copulation has been observed in M. pennsylvanicus by Bailey (1924:528) and Hamilton (1940:429; 1949:259) and probably occurs also in M. ochrogaster.

The gestation period was approximately 21 days, the same as reported for M. pennsylvanicus (Bailey, loc. cit.; Hamilton, 1941:13) and M. californicus (Hatfield, 1935:264). A more precise study of the breeding habits of M. ochrogaster failed to materialize when the voles refused to breed in captivity. Fisher (1945:437) also reported that M. ochrogaster failed to breed in captivity although M. pennsylvanicus (Bailey, 1924) and M. californicus (Hatfield, 1935) reproduced readily in the laboratory.

Litter Size and Weight

In the course of this study 65 litters were observed. The mean number of young per litter was 3.18 ± 0.24 and the median was three (Fig. 10). Three litters contained but one individual and the largest litter contained six individuals. Other investigators have reported the number of young per litter in M. ochrogaster as three or four (Lantz, 1907:18) and 3.4 (1-7) (Jameson, 1947:146). M. pennsylvanicus seems to have larger litters. Although Poiley (1949:317) found the mean size of 416 litters to be only 3.72 ± 0.18, both Bailey (1924:528) and Hamilton (1941:15) found five to be the commonest number of young per litter in that species. Leslie and Ransom (1940:29) reported the average number of live births per litter to be 3.61 in the British vole, M. agrestis. Selle (1928:96) reported the average size of five litters of M. californicus to be 4.8. Hatfield (1935:265), working with the same species, found that litter size varied directly with the age of the female producing the litter. He reported litters of young females as two to four young per litter and of older females as five to seven young per litter. In the [387]litters of M. ochrogaster that I examined, young females did not have more than three young and usually had but two. However, older females had litters of one, two and three often enough so that no relationship, as described above, was indicated clearly.

 Distribution of litter size among 65 litters of voles

Fig. 10. Distribution of litter size among 65 litters of voles.


No seasonal variation in litter size was noted. The mean size of the litters in 1950, 2.68 ± 0.30, was significantly lower than that found in 1951 (3.76 ± 0.20) but neither differed significantly from the mean size of litters in 1952 (3.35 ± 0.66). The lower mean size of litters was in part coincidental with a high population level and the higher mean of the two later years was in part coincidental with a low population level. Since a sharp break in the curve for population density occurred after the flood in July, 1951, the litters were arranged in pre-flood and post-flood categories for study. Pre-flood litters averaged 3.07 ± 0.28 young per litter whereas post-flood litters averaged 3.34 ± 0.48. This difference was not significant. Increase in litter size, if it had actually occurred, might have been a response to the increasing food supply and lower population density after the flood.

A difference in the mean number of young per litter was noted for those litters delivered in traps as compared with those delivered in captivity and the numbers of embryos examined in the uterus. The mean number of embryos per female was higher than the mean number of young per litter delivered in captivity and the mean number of young per litter delivered in traps was lower than in those delivered in captivity. The differences were not statistically significant. In some instances females that delivered young voles in traps may have delivered others prior to entering the trap or the mother or her trapmates may have eaten some of the newborn voles before they were discovered.

[388]

The mean weight of 16 newborn (less than one day old) individuals was 2.8 ± 0.36 grams. No other data on the weight of newborn M. ochrogaster were found in the literature but this mean was close to the 3.0 grams (Bailey, 1924:530) and 2.07 grams (Hamilton, 1937a:504; 1941:10) reported for M. pennsylvanicus and to the 2.7 grams (Selle, 1928:97) and 2.8 grams (Hatfield, 1935:268) reported for M. californicus. No correlation between the weight of the individual newborn vole and the number of voles per litter was observed.

Although the ratio of the average weight of newborn voles to the average weight of an adult female was approximately equal for M. pennsylvanicus and M. ochrogaster, the ratio of the weight of a litter to the average weight of an adult female was larger in the eastern meadow vole because the mean litter size was larger. Perhaps this is related to the more productive habitat in which the eastern meadow vole is ordinarily found.

Size, Growth Rates and Life Spans

The mean weight of adult voles during the period of study was 43.78 grams. The females averaged slightly heavier than the males but the overlapping of weights was so extensive that sexual difference in weight could not be affirmed. The difference observed was less in December and January when gravid females were rare, suggesting that the difference was due, at least in part, to pregnancy. Jameson (1947:128) found, for a sample of 50 voles, a mean weight of 44 grams and a range of 38 to 58 grams. The range in the adult voles I studied was much greater, from 25 to 73 grams. In part, this increase in the range of adult weights was due to a much larger sample.

 Relationship between rainfall and the mean weight

Fig. 11. Relationship between rainfall and the mean weight of adult males in summer. The abnormally low rainfall in the summer of 1952 was accompanied by a decrease in mean weight. The solid line represents mean weight and the broken line rainfall. The correlation coefficient between the two was 0.68.


During the unusually dry summer of 1952, a notable reduction in the mean weight of adults was recorded (Fig. 11). The correlation coefficient between the mean weight of adults and the amount of rainfall for the summer months was 0.68. It seems reasonable to [389]attribute the drop in mean weight to an alteration of plant growth due to decreased rainfall. Some of the reduction in mean weight was due to the loss of weight in older individuals but most of it was due to the failure of voles born in the spring to continue growing.

No data on the growth rate of M. ochrogaster were found in the literature. According to the somewhat scanty data from my study, secured from observations of individuals born in the laboratory, young voles gained approximately 0.6 of a gram per day for the first ten days, approximately one gram per day up to an age of one month, and approximately 0.5 of a gram per day from an age of one month until growth ceases. This growth rate was especially variable after the voles reached an age of thirty days. The growth rate approximates those described for M. pennsylvanicus (Hamilton, 1941:12) and for M. californicus (Hatfield, 1935:269; Selle, 1928:97). Although the data were inadequate for a definite statement, I gained the impression that there was no difference between the sexes in growth rate. In general, young voles grow most rapidly in the April-May-June period and least rapidly in mid-winter. Several voles, born in late autumn, stopped growing while still far short of adult size and lived through the winter without gaining weight, then gained as much as 30 per cent after spring arrived (Fig. 12).

Growth rates of two voles

Fig. 12. Growth rates of two voles selected to show typical growth pattern of voles born late in the year. Growth nearly stops in winter and is resumed in spring.


The recorded life spans of most voles studied were less than one year. No accurate mean life span could be determined. Leslie and Ransom (1940:46), Hamilton (1937a:506) and Fisher (1945:436) also found that most voles lived less than one year. Leslie and Ransom (op. cit.: 47) reported a mean life span of 237.59 ± 10.884 days in voles of a laboratory population. In the present study one female was trapped 624 days after first being captured; another female was trapped 617 days after first being captured; and a male was trapped 611 days after first being captured. The two females were subadults [390]when first captured. The male was already an adult when first captured; consequently its life span must have exceeded 650 days. No evidence of any decrease in vigor or fertility was observed to accompany old age.

Of the 45 marked voles snap-trapped in August of 1952, 21 had been captured first as juveniles. The ages of these voles could be estimated within a few days, and the series presented a unique opportunity for studying individual and age variation. Only individuals weighing less than 18 grams when first captured were used, and their ages were estimated according to the growth rate described above. Howell (1924) reported an analysis of individual and age variation in a series of specimens of Microtus montanus, and Hall (1926) studied the changes due to growth in skulls of Otospermophilus grammarus beecheyi. The series of specimens described here differs from those of Hall and Howell, and from any other collection known to me, in the fact that the specimens are of approximately known age and drawn from a wild population.

Unfortunately, this sample was small, and the distribution of the specimens among age groups left much to be desired. No specimens less than one and one-half months old were taken and only a few individuals older than four and one-half months. Table 3 shows the age distribution. The small size of the sample and the absence of juveniles were due, partly, to the unusually dry weather in the summer of 1952. The reduction in the rate of reproduction, caused by drought (as described elsewhere in this paper), reduced the populations and the percentage of juveniles to low levels.


Table 3. Distribution Among Age Groups of 21 Voles Used in the Study of Variation Due to Age

Age in months 112 2 212 3 312 4 412 6 12
No. of individuals 1 4 5 1 3 2 3 1 1

In the series of voles studied, ten individuals were in the process of molting from subadult to adult pelage. Jameson (1947:131) reported the molt to occur between eight and 12 weeks of age and selected 38 grams as the lower limit of weight of adults. I also found all voles molting to be between eight and 12 weeks old but found none so large as 38 grams without full adult pelage. This may have been, in part, due to the dry weather delaying or inhibiting growth. Because of the small size of the sample and the influence of the unusual weather conditions, no conclusions concerning normal molting were drawn from the data described below. They are presented only as a description of a small sample drawn from a single population at one time. Table 4 summarizes these data.


Table 4. Mean Sizes and Ages of Voles Molting from Subadult to Adult Pelage

Weight Body length minus tail Condylo-basilar length Age
Six males 32.67 gms. 106.16 mm. 23.78 mm. 9.67 wks.
(30-36) (96-116) (23.2-24.4) (8-12)
Four females 29.0 gms. 100.25 mm. 23.45 mm. 10.5 wks.
(28-30) (98-102) (23.5-23.8) (8-12)
Ten voles 31.2 gms. 103.8 mm. 23.73 mm. 10.0 wks.
(28-36) (96-116) (23.2-24.4) (8-12)

The mean age of the ten voles molting was ten weeks (8-12). Six males [396] averaged 9.67 weeks, almost a week younger than four females, who averaged 10.5 weeks. The difference in age at time of molting between the sexes was not significant. Differences between the sexes in other characteristics to be described also lacked significance. Mean weights at the time of molting were: males, 32.67 gms. (30-36); females, 29.0 gms. (28-30); and all individuals, 31.2 gms. (28-36). Because a piece of the tail of each vole had been removed in marking, the total length of the voles could not be determined. Body length, excluding tail, was used. Howell (1924:986) found this measurement subject to less individual variation than total length and thought body length was probably a better indicator of age. Mean body length at the time of molting was 103.8 mm. (96-116). Males averaged longer than females and were also more variable. The mean body length of males was 106.16 mm. (96-116) and that of females was 100.25 mm. (98-102).

Of the subadults showing no signs of molting, none was above the mean age of molting. Twenty-five per cent of them were longer and heavier than the mean length and weight of those that were molting. Of the 20 adults in the series, one was below the mean weight of molting and one was shorter than the mean length of molting.

When Howell (op. cit.:1014) studied skulls of Microtus montanus he found that the condylobasilar length was the most satisfactory means for arranging his series of specimens according to their age. When the skulls of my series were arranged according to their age (as determined from trapping records) the graph of the condylobasilar lengths showed a clear, though not perfect, relationship to age (Fig. 13). No separation of sexes was made because the sample did not permit it. In Fig. 13 graphs of weight, as determined in the field, and of length (excluding tail) also were included because they are the most easily measured characters of live voles. The graphs indicate individual variation in these characters which limits their usefulness in determining age.

 Graphs of the condylobasilar lengths...

Fig. 13. Graphs of the condylobasilar lengths, body lengths and weights of a series of voles of known age. Within each age group, the youngest vole is on the left in the graphs.


When other cranial measurements, and ratios of pairs of measurements, were plotted in the same order, individual variation obscured some of the variation due to age and the curves resembled those of weight and length of body rather than that of condylobasilar length. When the cranial measurements were averaged for the age groups the curves showed a relationship to age but the relationship of mean measurements is of little use in determining the age of individual specimens. The data described above indicated that a study of the relationship of the condylobasilar length and age in a large sample might provide useful information.

Anyone who has examined mammalian skulls knows of many other characters which vary with age but which are difficult to measure and describe with precision. Figs 14 and 15 are drawings of skulls of voles of known age. The most obvious change, related to aging, evident in the dorsal view of the skulls (Fig. 14) is the increasing prominence and closer approximation of the temporal ridges in older specimens. The lambdoidal ridge is also more prominent in older voles, and their skulls have a generally rougher and more angular appearance. The individual variation evident in these ridges is probably due to variations in the development of the muscles operating the jaws (Howell, 1924:1003). There is an increased flattening of the roof of the skull of older voles.

Dorsal views of skulls of voles of known age

Fig. 14. Dorsal views of skulls of voles of known age. (Ages 112, 212, 3, 312, 4, 412, 6 and 12 months). All × 3.

Palatal views of skulls of voles of known age

Fig. 15. Palatal views of skulls of voles of known age. (Ages 112, 212, 3, 312, 4, 412, 6 and 12 months). All × 3.


From a palatal view (Fig. 15) the skulls of voles also showed age [397] variation which was apparent but not easily correlated with precise age. The median ridge on the basioccipital bone increases in prominence in older voles. The shape of the posterior margin of the palatine bones changes from a V-shape to a U-shape. On the skull of the oldest (12 months) vole the pterygoid processes are firmly fused to the bullae, a condition not found in any of the other specimens. The anterior spine of the palatine approaches the posterior projection of the premaxillae more closely as age increases and, in the oldest vole is firmly attached and forms a complete partition separating the incisive foramina.

Tooth wear during the life of a vole causes a considerable variation in the enamel patterns, especially of the third upper molar. Howell (1924:1012) considered such variation to be independent of age, but Hinton (1926:103) related the changes to age and interpreted them as a recapitulation of the evolution of microtine molars. In my series, an indentation on the medial margin of the posterior loop of the third upper molar seemed to be related to age. This indentation was absent in the youngest vole (one and one-half months), absent or indefinite in those voles less than 312 months of age, and progressively more marked in the older voles.

Food Habits

The prairie vole, like other members of the genus Microtus, feeds mostly on growing grass in spring and summer. Piles of cuttings in the runways are characteristic sign of the presence of voles. The voles cut successive sections from the bases of grasses until the young and tender growing tips are within reach. The quantity of grass destroyed is greater than that actually eaten, a fact which will have to be considered in any attempt to evaluate the effects of voles upon a range.

In all piles of cut plants that were examined, Bromus inermis was the most common grass, and Poa pratensis was the grass second in abundance. These were, by far, the most common grasses present on the areas studied; in most places, B. inermis was dominant. Other grasses present on the areas were occasionally found in the piles of cuttings. Jameson (1947:133-136) found no utilization of B. inermis by voles but that grass was present in a relative abundance of only one per cent in the areas studied by him. The voles that he studied ate alfalfa in large amounts and alfalfa was, perhaps, the most common plant on the particular areas where his voles were caught. Seemingly, the diet of voles is determined mostly by the species composition of the habitat.

Other summer foods included pokeberries, blackberries and a few forbs and insects. Forbs most commonly found in the piles of cuttings were the leaves of the giant ragweed (younger plants only) and dandelion. Insect remains were found in the stomachs of voles killed in summer and occurred most frequently in those killed in August and September. At no time did insects seem to be a major part of the diet but they were present in most vole stomachs examined in late summer. Laboratory experiments with summer foods gave inconclusive results but suggested that the voles chose grasses on the basis of their growth stage rather than according to their species. Young and tender grasses were chosen, regardless of species, when various combinations of Triodia flava, Bromus inermis and Poa pratensis were offered to the voles. At [398] times the voles showed a marked preference for dandelion greens, perhaps because of their high moisture content; the voles' water needs were satisfied mostly by eating such succulent vegetation.

Winter foods consisted of stored hay and fruits and of underground plant parts. Bromus inermis made up nearly all of the hay and was stored in lengths of up to ten inches in underground chambers specially constructed for storage. Underground parts of plants were reached by tunnelling and were an especially important part of the voles' diet in January and February. The fruit of Solanum carolinense was eaten throughout the winter and one underground chamber, opened in February, 1952, was packed full of these seemingly unsavory fruits. Fisher (1945:436), in Missouri, found this fruit to be an important part of the winter diet of voles. An occasional pod of the honey locust tree was found partly eaten in a runway. Fitch (1953, in litt.) often observed girdling of honey locust and crab apple (Pyrus ioensis) root crowns on the Reservation but I saw no evidence of bark eating, perhaps because my study plots were mostly grassland. On two occasions when two voles were in the same trap one of them was eaten. In both traps, all of the bait had been eaten and the captured voles probably were approaching starvation. Because the trapping procedure offered abundant opportunity for cannibalism, the low frequency of its occurrence suggested that it was not an important factor in satisfying food requirements under normal conditions.

Runways and Nests

Perhaps the most characteristic sign of the presence of Microtus ochrogaster were their surface runways and underground tunnels. Only rarely was a vole observed to expose itself to full view. When a trapped vole was released it immediately dove out of sight into a runway. Once in a runway, the vole showed no further evidence of alarm and was usually in no hurry to get away. The runways seemed to provide a sense of security and the voles were familiar with their range only through runway travel. The urge to seek a runway immediately when exposed has obvious survival value.

Surface runways were usually under a mat of debris. In areas where debris was scanty or lacking, runways were usually absent. Jameson (1947:136) reported that in alfalfa and clover fields the voles did not make runways as they did in grassland, even in fields where trapping records showed voles to be abundant. Typical surface runways are approximately 50 mm. wide, only slightly cut into the ground and bare of vegetation while in use. Usually they could be distinguished from the runways of the pine vole, which were cut more deeply into the ground, and those of the cotton rat which were wider and not so well cleared of vegetation. Some runways ended in surface chambers and some of these were lined with grass. Their size varied from a diameter of 90 mm. to 250 mm. and they seemed to be used primarily for resting places.

A runway system usually consisted of a long, crooked runway and several branches. Two typical systems are illustrated in Fig. 16. The runway systems often were not clearly limited; they merged with other systems more or less completely. One map showed a runway system extending across 140 square meters and including 12 underground burrows. All of these runways seemed to be part of a single runway system but the system probably was used by more than one vole or family group of voles. Sixteen of the 22 maps that were made extended [399]across areas between 50 and 90 square meters. One map, mentioned above, was larger and the remaining five smaller. The smallest extended across only 20 square meters. Of course, the area encompassed by a set of runways changed almost daily, as the voles extended some runways, added some and abandoned others in the course of their daily travels.

Maps of runway systems

Fig. 16. Maps of runway systems of the prairie vole. The runways follow an irregular course and are frequently changed. The solid lines represent surface runways and the dotted lines underground passages.


[400]

Each runway system contained underground nests. These were in chambers from 70 mm. to 200 mm. below the surface and were up to 200 mm. in diameter. Most systems that were mapped had from two to six of these burrows. Most of these were lined with dried grass and seemed to be used for delivering and nursing litters. Each burrow was connected to a surface runway by a tunnel. Often the tunnel was short and the hole opened almost directly into the burrow from the surface runway. Others had tunnels several meters long. Jameson (1947:137) reported every burrow to have two connections with the surface. In the present study, however, I found three arrangements in approximately equal frequency of occurrence: (1) one hole to one tunnel leading to a burrow; (2) two holes to two short tunnels which joined a long tunnel leading to a burrow; and (3) two separate tunnels from the surface to a burrow. The size, depth and number of underground burrows in the systems that I studied varied and so did those reported in the literature. Jameson (loc. cit.) found burrows in eastern Kansas as deep as 18 inches, far deeper than any found in my study. Fisher (1945:435) reported none deeper than five inches in central Missouri. The soil data in my study, as well as in the two reports cited immediately above, were not adequate to permit conclusions, but the type and condition of the soil probably determine the extent of burrowing by the voles of any given locality.

The number of voles using a runway system at one time was difficult to ascertain. In one system, however, four adult individuals were trapped in a ten day period. In August, 1952, at the conclusion of the live-trapping program, a runway system was mapped which had included two trapping stations. In the preceding ten days, four adult voles (three males and one female) had been taken in both traps. During that time, therefore, the runway system was shared by at least four voles. The voles used an area that was considerably larger than that encompassed by any one runway system, a fact obvious when the sizes of home ranges as computed from trapping data were compared with the sizes of the runway systems mapped. A runway system seemed not to be a complete unit, but was only a part of the network of runways used by a single individual.

Activity

Although no special investigation of activity was made, some conclusions concerning it were apparent in the data gathered. There have been a few laboratory studies of the activity pattern of Microtus by various methods. Calhoun (1945:256) reported M. ochrogaster to be mainly nocturnal with activity reaching a peak between dark and midnight and again just before dawn. Davis (1933:235), working with M. agrestis, and Hatfield (1935:263), working with M. californicus, both found voles to be more nocturnal than diurnal. In a field study of M. pennsylvanicus, Hatt (1930:534) found the species to be chiefly nocturnal, although some activity was reported throughout the day. Hamilton (1937c:256-259), however, reported the same species to be more active in the daytime. Agreement on the activity patterns of these species of Microtus has not yet been attained.

From occasional changes in the time of tending a trap line, and from running lines of traps at night a few times in the summer of 1951, I gained the impression that these voles were primarily diurnal. Relatively few of them were caught in the hours of darkness. In summer, however, their activity [401] was mostly limited to the periods between dawn and approximately eight o'clock and between sunset and dark. In colder weather, there was increased activity on sunny days.


PREDATION

Although voles were a common item of prey for many species of predators on the Reservation, no marked effect on the density of the population of this vole could be attributed to predation pressure. Only when densities reached a point that caused many voles to expose themselves abnormally could they be heavily preyed upon. Their normally secretive habits, keeping them more or less out of sight, suggest that they are an especially obvious illustration of the concept that predation is an expression of population vulnerability, rising to high levels only when a population is ecologically insecure, rather than a major factor regulating population levels (Errington, 1935; 1936; 1943; Errington et al, 1940).

Scats from predatory mammals and reptiles and pellets from raptorial birds were examined. Most of these materials were collected by Dr. Henry S. Fitch, who kindly granted permission to use them. The results of the study of the scats and pellets are summarized in Table 5. Remains of voles were identified in 28 per cent of the scats of the copperhead snake (Ancistrodon contortix) examined. Copperheads were moderately common on the Reservation (Fitch, 1952:24) and were probably important as predators on voles in some habitats. Uhler et al (1939:611), in Virginia, reported voles to be the most important prey item for copperheads. A vole was taken from the stomach of a rattlesnake (Crotalus horridus) found dead on a county road adjoining the Reservation. Rattlesnakes were present in small numbers on the Reservation but were usually found along rocky ledges rather than in areas where voles were common (Fitch, loc. cit.). The rattlesnakes probably were less important as predators on voles than on other small mammals more common in the usual habitat of these snakes. The blue racer (Coluber constrictor) was common in grassland situations on the Reservation (Fitch, 1952:24) and twice was observed in the role of a predator on voles; one small blue racer entered a live-trap in pursuit of a vole and another blue racer was observed holding a captured vole in its mouth. The blue racer seems well adapted to hunt voles and probably preys on them extensively. The pilot black snake (Elaphe obsoleta) has been reported as a predator on M. ochrogaster in the neighboring state of Missouri (Korschgen, 1952:60) and was moderately common on the Reservation (Fitch, loc. cit.). M. pennsylvanicus, with habits similar to those of M. ochrogaster, has been reported as a prey for all of the above snakes (Uhler, et al, 1939).


Table 5. Frequency of Remains of Voles in Scats and Pellets

Predator No. of scats or pellets examined No. containing remains of voles Percentage
Copperhead 25 7 28
Red-tailed hawk 25 3 12
Long-eared owl 25 18 72
Great horned owl 32 6 19
Crow 25 4 16
Coyote 25 3 12

The red-tailed hawk (Buteo jamaicensis), the long-eared owl (Asio otus), [402] the great horned owl (Bubo virginianus) and the crow (Corvus brachyrhynchos) fed on Microtus. All four birds were fairly common permanent residents on the Reservation (Fitch, 1952:25). The low density and the strict territoriality of the red-tailed hawk (Fitch, et al, 1946:207) prevented it from exerting any important influence on the population of voles, even though individual red-tailed hawks ate many voles. Predation by the long-eared owl was especially heavy; remains of voles were identified in 72 per cent of its pellets examined. Korschgen (1952:39) found remains of voles in 70 per cent of 704 pellets of the long-eared owl. The reason for the heavy diet of Microtus seems to be that both the owl and the vole are especially active at dusk. A group of long-eared owls, living near the edge of Quarry Field, probably exerted an influence on the density of the local population of voles because of the high ratio of predator to prey animals. The crows ate some, and perhaps most, of their voles after the animals had died from other causes. Other birds, mostly raptors, occurring in northeastern Kansas and reported to prey on voles include the sharp-shinned hawk (Accipiter striatus), Cooper's hawk (A. cooperi), red-shouldered hawk (Buteo lineatus), broad-winged hawk (B. platypterus), American rough-legged hawk (B. lagopus), ferruginous rough-legged hawk (B. regalis), marsh hawk (Circus cyaneus), barn owl (Tyto alba), screech owl (Otus asio), barred owl (Strix varia) and shrike (Lanius excubitor) (Korschgen, 1952:26; 28; 34; 35; 37; McAtee, 1935:9-27; Wooster, 1936:396).

Coyotes, house cats and raccoons were identified as predators on voles in the study areas. Remains of voles were present in 12 per cent of the scats of the coyote (Canis latrans) examined. In Missouri, Korschgen (1952:40-43) reported remains of voles in slightly more than 20 per cent of the coyote stomachs that he examined. Fitch (1948:74), Hatt (1930:559) and others have reported other species of Microtus as eaten by the coyote. Although coyotes were rarely seen on the Reservation, coyote sign was abundant (Fitch, 1952:29) and coyotes probably ate large numbers of voles. House cats (Felis domesticus), seemingly feral, were observed to tour the trap lines on several occasions and were noted by Fitch (loc. cit.) as important predators on small vertebrates. Four cats were killed in the course of the study and remains of voles were found in the stomachs of all of them. On several occasions, raccoon tracks were noted following the trap line when the traps had been overturned and broken open, suggesting that raccoons are not averse to eating voles although no further evidence of predation on voles by raccoons was obtained. Fitch (loc. cit.) reported raccoons (Procyon lotor) to be moderately common on the Reservation. Reports of predation by raccoons on voles are numerous (Hatt, 1930:554; Lantz, 1907:41). The opossum (Didelphis marsupialis), common on the Reservation, occasionally eats voles (Sandidge, 1953:99-101). Other mammals which are probably important predators on voles on the Reservation, though no specific information is available, are the striped skunk (Mephitis mephitis), spotted skunk (Spilogale putorius), weasel (Mustela frenata) and the red fox (Vulpes fulva). Eadie (1944; 1948; 1952), Shapiro (1950:360) and others have reported that the short-tailed shrew (Blarina brevicauda) was an important predator on Microtus. Shrews were present on the Reservation but were not trapped often enough to permit study.

The variety of vertebrates preying on voles suggests that they occupy a position of importance in many food chains. Errington (1935:199) and McAtee (1935:4) refer to voles as staple items of prey for all classes [403]of predatory vertebrates. An attempt to evaluate prey species was made by Wooster (1939). He proposed a formula which involved multiplying the density of a species, its mean individual weight, the fraction of the day it was active and the fraction of the year it was active to give a numerical index of prey value. Although his methods of determining population densities would now be considered questionable, the purpose of his investigation merits further consideration. He reported M. ochrogaster to be second only to the jack-rabbit (Lepus californicus) as a prey species in west-central Kansas.


MAMMALIAN ASSOCIATES

In the course of live-trapping operations several species of small mammals other than Microtus ochrogaster were taken in the traps. Also, from time to time, direct observations of certain mammals were made and various types of sign of larger mammals were noted. These records gave a picture of the mammalian community of which the voles were a part. The three associated species which were most commonly trapped were Sigmodon hispidus, Reithrodontomys megalotis and Peromyscus leucopus. These three species have been commonly found associated with Microtus in this part of the country (Fisher, 1945:435; Jameson, 1947:137).

The Texas cotton rat, Sigmodon hispidus, was the most commonly trapped associate of the voles between November, 1950, and February, 1952. Although a greater number of individuals of the harvest mouse were taken in a few months, the cotton rat had a greater ecological importance because of its larger size (Figs 17, 18, 19). The cotton rat was an especially noteworthy member of the community for two reasons. It has arrived in northern Kansas only recently and its progressive range extension northward and westward has attracted the attention of many mammalogists (Bailey, 1902:107; Cockrum, 1948; 1952:183-187; Rinker, 1942b). Secondly, Sigmodon has long been considered to be almost the ecological equivalent of Microtus and to replace the vole in the southern United States (Calhoun, 1945:251; Svihla, 1929:353). Since the two species are now found together over large parts of Kansas their relationships in the state need careful study.

 Variations in density and mass of three common rodents on House Field

Fig. 17. Variations in density and mass of three common rodents on House Field. The upper graph shows the sum of the biomass of the three rodents. In the two lower graphs the solid line represents Microtus, the broken line Sigmodon, and the dotted line Reithrodontomys.

 Variations in density and biomass of three common rodents on House Field

Fig. 18. Variations in density and biomass of three common rodents on Quarry Field. For key, see legend of Fig. 17.

 Variations in density and biomass of three common rodents on House Field

Fig. 19. Changing biomass ratios of three common rodents on House Field and Quarry Field. In late 1951 and early 1952 the cotton rats attained relatively high levels and seemingly caused compensatory decreases in the numbers of voles. The solid line represents Microtus, the broken line Sigmodon, and the dotted line Reithrodontomys.


Both this study and the literature (Black, 1937:197; Calhoun, loc. cit.; Meyer and Meyer, 1944:108; Phillips, 1936:678; Rinker, 1942a:377; Strecker, 1929:216-218; Svihla, 1929:352-353) showed that, in general, the habitat needs of Microtus and Sigmodon were similar. Studies on the Natural History Reservation, both in connection with my problem and otherwise, suggested, however, that Sigmodon occurred in only the more productive habitat types used by voles, where the vegetation was relatively high and rank. On the Reservation the cotton rat was found mostly in the lower meadows; they were more moist and had a more luxuriant vegetation than the higher fields. Although a few cotton rats were taken in Quarry Field and still fewer in Reithro Field, the population of those hilltop areas did not approach, at any time, the levels reached on House Field, which produced a more luxuriant cover. Only when the levels of population were exceptionally high did the cotton rats spread into less productive habitats. At all times, there were areas on the Reservation used by Microtus which could not support a population of Sigmodon.

The cotton rats reacted differently to the floods of July, 1951, than did the voles. Although the population of the cotton rat decreased slightly immediately after the wet period, this decrease was [404] insignificant when compared with the drop in population level of other species of small mammals on the same area. During the autumn of 1951 and until March, 1952, the cotton rat became the most important mammal on the House Field study area in terms of grams per acre (Fig. 17), although the number of cotton rats per acre never matched the density of the voles. A similar, though less pronounced, trend was observed on the Quarry Field study area (Fig. 18). One factor in the success of the cotton rat at this time seemed to be the greater resistance to wetting shown by very young individuals. Few adults (of any species) marked before the heavy rains of July, 1951, were trapped in September, 1951, when trapping was resumed after a lapse of one month. Several subadults and some juvenal cotton rats did survive, however, [405] and provided a breeding population from which the area was repopulated. Cotton rats are born fully furred and able to move well, and are often weaned at ten days (Meyer and Meyer, 1944:123-124). Voles, on the other hand, are born naked and helpless and are often not weaned for three weeks. It seems, therefore, that extremely wet soil would harm the voles more than it would the cotton rats.

Several instances of cotton rats eating voles, caught in the same live-trap, were noted. There is reason to believe that young voles, unable to leave the nest, are subject to predation by cotton rats. This would accentuate any competitive advantage gained otherwise by the cotton rats.

The population of Sigmodon retained its high level, relative to Microtus, until February, 1952. In March only one individual was captured and after that none was trapped until August, 1952, when a single subadult male was captured. Early in March, 1952, before the [407]trapping period for the month had begun, the area suffered three successive days of unusually low temperature, with snow, which lay more than six inches deep in places. As suggested by Cockrum (1952:185), such conditions proved detrimental to the cotton rats and, at least to the end of the study period in August, 1952, the population of cotton rats had failed to recover. Perhaps the extremely dry weather which followed the heavy winter mortality delayed the recovery of the population.

These limited data seem to indicate competition between Sigmodon and Microtus in Kansas. Extremely wet conditions seem to give Sigmodon a competitive advantage whereas Microtus is better able to survive dry summers and severe winters. However, these relationships need further clarification by an intensive study of the life history of Sigmodon in Kansas (especially the more arid western part), including its coactions with the communities it has invaded successfully recently.

The harvest mouse (Reithrodontomys megalotis) also was a common inhabitant of the study plots, but this small rodent seemed not to be a serious competitor of the voles, as its food consists almost entirely of seeds (Cockrum, op. cit.:165) not usually used by voles. In this study, at least, no conflict over space was apparent. Harvest mice frequently were taken in the runways of voles and even in the same trap with voles. Reithro Field, the part of the Reservation having the heaviest population of the harvest mouse, differed from the habitats that were better for voles in being higher, drier and less densely covered with vegetation. However, during the summer of 1951 when the voles were most abundant, Reithro Field supported a large population of voles. Estimates of population of the harvest mouse were of doubtful validity in summer because it was readily trapped only in winter and early spring. Many individuals marked in late spring were not trapped again until late autumn although presumably they remained on the area. This seasonal variation in trapping success seemed to be a matter of acceptance and refusal of bait (Fitch, 1954:45).

The presence of the wood mouse (Peromyscus leucopus) on the study plots indicated an overlapping of habitats. Both House and Quarry Fields were on the ecotone between forest and meadow and a mixture of mammals from both types of habitat occurred. No sign of the homes of the wood mouse was found on the study plots, and on the larger trap line, operated by Fitch, wood mice were captured only near the edge of the woods.

Only six deer mice (Peromyscus maniculatus) were taken on the study plots. This small number probably provided an inaccurate index of the association of the deer mouse and the prairie vole, because samples from snap-traps and the data of other workers on the Reservation showed a more common occurrence of the two species together. The deer mice seemed to prefer a sparser vegetation and did not approach so closely to the forest edge as did the voles. It may have been, in part, the presence of P. leucopus in the ecotonal region which made it unsuitable for P. maniculatus.

Other mammals noted on the study areas were the following: Didelphis marsupialis, Blarina brevicauda, Scalopus aquaticus, Canis familiaris, Canis latrans, Procyon lotor, Felis domesticus, Sylvilagus floridanus, Microtus pinetorum, Mus musculus and Zapus hudsonius.


[408]

SUMMARY AND CONCLUSIONS

In the 23-month period from October, 1950, to August, 1952, the ecology of the prairie vole, Microtus ochrogaster, was investigated on the Natural History Reservation of the University of Kansas. In all, 817 voles were captured 2941 times in 13,880 "live-trap days." For some aspects of this study, Dr. Henry S. Fitch, resident investigator on the Reservation, permitted the use of his trapping records. He had captured 1416 voles 5098 times. The total number of live voles used in the study was thus 2233, and they were captured 8039 times. In addition to the voles, I caught 96 cotton rats, 108 harvest mice, 29 wood mice, 2 pine voles and 6 deer mice in live traps. When Fitch's records were used, the live-trapping data covered a thirty-month period and general field data were available from July, 1949, to August, 1952.

Hall and Cockrum (1953:406) stated that probably all microtine rodents fluctuate markedly in numbers. Certainly the populations I studied did so, but the fluctuations were not regularly recurring for M. ochrogaster as they seem to be for some species of the genus in more northern life zones. The changes in the density of populations described in this paper can be explained without recourse to cycles of long time-span and literature dealing specifically with M. ochrogaster makes no references to such cycles. There is, however, an annual cycle of abundance: greatest density of population occurs in autumn, and the least density in January.

This annual pattern is often, perhaps usually, obscured because of the extreme sensitivity of voles to a variety of changes in their environment. These changes are reflected as variations in reproductive success. In this study, some of these changes were accentuated by the great range in annual precipitation. Annual rainfall was approximately average in 1950 (36.32 inches, 0.92 inches above normal), notably high in 1951 (50.68 inches, 15.28 inches above normal) and notably low in 1952 (23.80 inches, 11.60 inches below normal).

Among the types of environmental modification to which the populations of voles reacted were plant succession, an increase in competition with Sigmodon, abnormal rainfall and concentration of predators. In the overgrazed disclimax existing in 1948 when the study areas were reserved, no voles were found because cover was insufficient. After the area was protected a succession of good growing years hastened the recovery of the grasses and the populations of voles reached high levels. In areas where the vegetation approached [409]the climax community, the densities of voles decreased from the levels supported by the immediately preceding seral stages. The higher carrying capacity of these earlier seral stages was probably due to the greater variety of herbaceous vegetation which tended to maintain a more constant supply of young and growing parts of plants which were the preferred food of voles. Later in the period of study the succession from grasses to woody plants on parts of the study areas also affected the population of voles. Not only did the voles withdraw from the advancing edge of the forest, but their density decreased in the meadows as the number of shrubs and other woody plants increased. These influences of the succession of plants on the population density of voles were exerted through changes in cover and in the quality, as well as the quantity, of the food supply.

Whenever voles were in competition with cotton rats, there was a depression in the population levels of voles. Primarily, the competition between the two species is the result of an extensive coincidence of food habits, but competition for space, cover and nesting material is also present. There was one direct coaction between these two species observed. Cotton rats, at least occasionally, ate voles, especially young individuals. In extremely wet weather, as in the summer of 1951, the high survival rate of newborn cotton rats resulted in an increase in their detrimental effect on the population of voles. However, cotton rats proved to be less well adapted to severe cold or drought than were voles.

Heavy rainfall reduced the densities of populations of voles by killing a large percentage of juveniles. During the summer of 1951 the competition of cotton rats further depressed the population level of the voles, but the relative importance of competition with cotton rats and superabundant moisture in effecting the observed reduction in population density is difficult to judge. Perhaps most of the decrease in population which followed the heavy rains was due to competition rather than to weather. Subnormal rainfall, as in 1952, reduced the population of voles by inhibiting reproduction. Presumably because of an altered food supply, reproduction almost ceased during the drought. Utilization of the habitat was further reduced in the summer of 1952 because the voles did not grow so large as they otherwise did.

Predation, as a general rule, does not significantly affect densities of populations, but large numbers of predators concentrating on small areas may rapidly reduce the numbers of prey animals. In the course of [410]my study, such a situation occurred but once, when a group of long-eared owls roosted in the woods adjacent to Quarry Field. The population of voles in that area was probably reduced somewhat as a result of predation by owls.

Population trends in either direction may be reversed suddenly by changes in the factors discussed above. In the fall of 1951, a downward trend in the density of the voles was evident. At this time, populations of cotton rats were increasing rapidly and competition between cotton rats and voles was intensified. In February, 1952, the population of cotton rats was decimated suddenly by a short period of unusually cold weather. The voles were suddenly freed from the stress of competition and the population immediately began to rise. The upward trend began prior to the annual spring increase and was subsequently reinforced by it. In the last part of May, 1952, the upward trend of the population was reversed, as the drought became severe, and the density of the population decreased rapidly. This drop was too sudden and too extreme to be only the normal summer slump. The relatively rapid response of voles to a heavy rain after a dry period, first by increased breeding and later by increases in density, is one more example of abrupt changes in population trends caused by altered environmental conditions.

In the population changes that I observed, no evident "die-off" of adults accompanied even the most drastic reductions in population density. The causative factor directly influences the population either by inhibiting reproduction or by increasing infant and prenatal mortality. The net reduction is due to an inadequate replacement of those voles lost by normal attrition.

Most voles, under natural conditions, live less than one year. Those individuals born in the autumn live longer, as a group, than those born at any other time. Since the heaviest mortality is in young voles, adults which become established in an area may live more than 18 months and, if they are females, may produce more than a dozen litters. No decrease in vigor and fertility was found to accompany aging. A relationship between the condylobasilar length of the skull and the age of a vole was discovered and, with further study, may yield a method of aging voles more accurately than has been possible heretofore. Other characteristics, varying with age, were described. The most reliable indicator of age seemed to be the prominence of the temporal ridges.

Runway systems and burrows are used by groups of voles rather than by individuals. Most of the activity of voles is confined to these [411]runways and an exposed individual is seldom seen. A home range may include several runway systems, and the ranges of individuals overlap extensively. Both home ranges and patterns of runway systems change constantly. Runways seem to be primarily feeding trails, and are extended or abandoned as the voles change their feeding habits. Groups of adult voles using a system of runways seem to have no special relationship. Juveniles tend to stay near their mothers, but as they mature, they shift their ranges and are replaced by other individuals. Males wander more than females, and shift their ranges more often. No intolerance of other voles exists and, in laboratory cages, groups of voles lived together peaceably from the time they are placed together. Crowding does not seem to be harmful directly, therefore, and high densities will develop if food and cover resources permit.

As a prey item, the prairie vole proved to be an important part of the biota of the Reservation. It was eaten frequently by almost all of the larger vertebrate predators on the Reservation and was, seemingly, the most important food item of the long-eared owl. The ability of the prairie vole to maintain high levels of population over relatively broad areas enhances its value as a prey species.


LITERATURE CITED

Albertson, F. W.

1937. Ecology of a mixed prairie in west-central Kansas. Ecol. Monog., 7:481-547.

Bailey, V.

1902. Synopsis of the North American species of Sigmodon. Proc. Biol. Soc. Washington, 15:101-116.

1924. Breeding, feeding and other life habits of meadow mice. Jour. Agric. Res., 27:523-536.

Baker, J. R., and R. M. Ransom.

1932a. Factors affecting the breeding of the field mouse (Microtus agrestis). Part I. Light. Proc. Roy. Soc. London, Series B, 110:313-322.

1932b. Factors affecting the breeding of the field mouse (Microtus agrestis). Part II. Temperature. Proc. Roy. Soc. London, Series B, 112:39-46.

Black, T. D.

1937. Mammals of Kansas. Kansas State Board Agric., 13th Biennial Rep., 1935-36:116-217.

Blair, W. F.

1939. Some observed effects of stream valley flooding on small mammal populations in eastern Oklahoma. Jour. Mamm., 20:304-306.

1940. Home ranges and populations of the meadow vole in southern Michigan. Jour. Wildlife Mgmt., 4:149-161.

[412]

1941. Techniques for the study of small mammal populations. Jour. Mamm., 22:148-157.

1948. Population density, life span and mortality rates of small mammals in the bluegrass meadow and bluegrass field associations of southern Michigan. Amer. Midland Nat., 40:395-419.

Bodenheimer, F. S., and F. Sulman.

1946. The estrous cycle of Microtus guentheri D. and A. and its ecological implications. Ecol., 27:255-256.

Bole, B. P., Jr.

1939. The quadrat method of studying small mammal populations. Cleveland Mus. Nat. Hist. Sci. Publ., 5:1-77.

Brown, H. L.

1946. Rodent activity in a mixed prairie near Hays, Kansas. Trans. Kansas Acad. Sci., 48:448-458.

Brumwell, M.

1951. An ecological survey of the Fort Leavenworth Military Reservation. Amer. Midland Nat., 45:187-231.

Burt, W. H.

1943. Territoriality and home range concepts as applied to mammals. Jour. Mamm., 24:346-352.

Calhoun, J. B.

1945. Diel activity rhythms of the rodents Microtus ochrogaster and Sigmodon hispidus hispidus. Ecol., 26:251-273.

Chitty, D., and D. A. Kempson.

1949. Prebaiting of small mammals and a new design of a live trap. Ecol., 30:536-542.

Cockrum, E. L.

1947. Effectiveness of live traps vs. snap traps. Jour. Mamm., 28:186.

1948. Distribution of the hispid cotton rat in Kansas. Trans. Kansas Acad. Sci., 51:306-312.

1952. Mammals of Kansas. Univ. Kansas Mus. Nat. Hist. Publ., 7:1-303.

Davis, D. H. S.

1933. Rhythmic activity in the short-tailed vole, Microtus. Jour. Animal Ecol., 2:232-238.

Dice, L. R.

1922. Some factors affecting the distribution of the prairie vole, forest deer mouse and prairie deer mouse. Ecol., 3:29-47.

Eadie, W. R.

1944. The short-tailed shrew and field mouse predation. Jour. Mamm., 25:359-362.

1948. Shrew-mouse predation during low mouse abundance. Jour. Mamm., 29:35-37.

1952. Shrew predation and vole populations on a limited area. Jour. Mamm., 33:185-189.

1953. Response of Microtus to vegetative cover. Jour. Mamm., 34:262-264.

Elton, C.

1949. Population interspersion. An essay in animal community patterns. Jour. Ecol., 37:1-23.

[413]

Errington, P. R.

1935. Food habits of midwestern foxes. Jour. Mamm., 16:192-200.

1936. What is the meaning of predation? Smithsonian Inst. Rep., 1936:243-252.

1943. An analysis of mink predation upon muskrat in north central United States. Agric. Exp. Sta., Iowa State Coll. Agric. Mech. Arts, Res. Bull., 320:799-924.

1946. Predation and vertebrate populations. Quart. Rev. Biol., 21:144-177.

Errington, P. L., F. Hamerstrom, and F. N. Hamerstrom, Jr.

1940. The great horned owl and its prey in north central United States. Agric. Exp. Sta., Iowa State Coll. Agric. Mech. Arts, Res. Bull., 277:759-831.

Fisher, H. J.

1945. Notes on the voles in central Missouri. Jour. Mamm., 26:435-437.

Fitch, H. S.

1948. A study of coyote relationships on cattle range. Jour. Wildlife Mgmt., 12:73-78.

1950. A new style live trap for small mammals. Jour. Mamm., 31:364-365.

1952. The University of Kansas Natural History Reservation. Univ. Kansas, Mus. Nat. Hist. Misc. Publ., 4:1-38.

1954. Seasonal acceptance of bait by small mammals. Jour. Mamm., 35:39-47.

Fitch, H. S., F. Swenson, and D. F. Tillotson.

1946. Behavior and food habits of the red-tailed hawk. Condor, 48:205-237.

Goodpastor, W. W., and D. F. Hoffmeister.

1952. Notes on the mammals of eastern Tennessee. Jour. Mamm., 33:362-371.

Gunderson, H. L.

1950. A study of some small mammal populations at Cedar Creek Forest, Asoka County, Minnesota. Univ. Minnesota Mus. Nat. Hist., 4:1-49.

Hall, E. R.

1926. Changes during growth in the skull of the rodent Otospermophilus grammarus beecheyi. Univ. California Publ. Zool., 21:355-404.

Hall, E. R., and E. L. Cockrum.

1953. A synopsis of North American microtine rodents. Univ. Kansas, Mus. Nat. Hist. Publ., 5:373-498.

Hamilton, W. J., Jr.

1937a. Growth and life span of the field mouse. Amer. Nat., 71:500-507.

1937b. The biology of microtine cycles. Jour. Agric. Res., 54:779-790.

1937c. Activity and home range of the field mouse. Ecol., 18:255-263.

1940. Life and habits of the field mouse. Sci. Monthly, 50:425-434.

1941. The reproduction of the field mouse, Microtus pennsylvanicus. Cornell Univ. Agric. Exp. Sta. Mem., 237:1-23.

1949. The reproductive rates of some small mammals. Jour. Mamm., 30:257-260.

Hatfield, D. M.

1935. A natural history of Microtus californicus. Jour. Mamm., 16:261-271.

[414]

Hatt, R. T.

1930. The biology of the voles of New York. Roosevelt Wildlife Bull., 5:513-623.

Hayne, D. M.

1949a. Two methods of estimating populations from trapping records. Jour. Mamm., 30:399-411.

1949b. Calculation of the size of home range. Jour. Mamm., 30:1-18.

1950. Apparent home range of Microtus in relation to distance between traps. Jour. Mamm., 31:26-39.

Hinton, M. A. C.

1926. Monograph of the voles and lemmings (Microtinae) living and extinct. British Museum of Nat. Hist., London, xvi + 488 pp. 15 pls.

Hopkins, H. H., F. W. Albertson, and D. A. Riegel.

1952. Ecology of grassland utilization in a mixed prairie. Trans. Kansas Acad. Sci., 55:395-418.

Howard, W. E.

1951. Relation between low temperature and available food to survival of small rodents. Jour. Mamm., 32:300-312.

Howell, A. B.

1924. Individual and age variation in Microtus montanus yosemite. Jour. Agric. Res., 28:977-1015.

Jameson, E. W.

1947. Natural history of the prairie vole. Univ. Kansas, Mus. Nat. Hist. Publ., 1:125-151.

1950. Determining fecundity in male small mammals. Jour. Mamm., 31:433-436.

Johnson, M. S.

1926. Activity and distribution of certain wild mice in relation to the biotic community. Jour. Mamm., 7:245-277.

Korschgen, L. J.

1952. A general summary of the food of Missouri predatory and game animals. Conserv. Comm., Div. Fish and Game, State of Missouri. July, 1952. 61 pp.

Lantz, D. E.

1907. An economic survey of the field mice (genus Microtus). USDA Biol. Surv. Bull, 31:1-64.

Leslie, P. H., and R. M. Ransom.

1940. The mortality, fertility and rate of natural increase of the vole (Microtus agrestis) as observed in the laboratory. Jour. Animal Ecol., 9:27-52.

Llewellyn, L. M.

1950. Reduction of mortality in live-trapping mice. Jour. Wildlife Mgmt., 14:84-85.

McAtee, W. L.

1935. Food habits of common hawks. USDA Circ., 370:1-36.

Meyer, B. J., and R. K. Meyer.

1944. Growth and reproduction of the cotton rat, Sigmodon hispidus hispidus, under laboratory conditions. Jour. Mamm., 25:107-129.

[415]

Mohr, C. O.

1943. A comparison of North American small mammal censuses. Amer. Midland Nat., 29:545-587.

1947. Table of equivalent populations of North American small mammals. Amer. Midland Nat., 37:223-249.

Phillips, P.

1936. The distribution of rodents in overgrazed and normal grassland in central Oklahoma. Ecol., 17:673-679.

Poiley, S. M.

1949. Raising captive meadow voles (Microtus p. pennsylvanicus). Jour. Mamm., 30:317.

Rinker, G. C.

1942a. Litter records of some mammals of Meade County, Kansas. Trans. Kansas Acad. Sci., 45:376-378.

1942b. An extension of the range of the Texas cotton rat in Kansas. Jour. Mamm., 23:439.

Sandidge, L. L.

1953. Food and dens of the opossum (Didelphis virginiana) in northeastern Kansas. Trans. Kansas Acad. Sci., 56:97-106.

Selle, R. M.

1928. Microtus californicus in captivity. Jour. Mamm., 9:93-98.

Shapiro, J.

1950. Notes on the population dynamics of Microtus and Blarina with a record of albinism in Blarina. Jour. Wildlife Mgmt, 14:359-360.

Stickel, L. F.

1946. Experimental analysis of methods of measuring small mammal populations. Jour. Wildlife Mgmt., 10:150-159.

1948. The trap line as a measure of small mammal populations. Jour. Wildlife Mgmt., 12:153-161.

Strecker, J. K.

1929. Notes on the Texas cotton and Atwater wood rats. Jour. Mamm., 10:216-220.

Summerhayes, V. S.

1941. The effects of voles (Microtus agrestis) on vegetation. Jour. Ecol., 29:14-48.

Svihla, A.

1929. Life history notes on Sigmodon hispidus hispidus. Jour. Mamm., 10:352-353.

Townsend, M. T.

1935. Studies on some small mammals of central New York. Roosevelt Wildlife Annals, 4:1-120.

Uhler, F. M., C. Cottam, and T. E. Clarke.

1939. Food of the snakes of George Washington National Forest, Virginia. Trans. 4th N. A. Wildlife Conf., 605-622.

Wooster, L. D.

1935. Notes on the effects of drought on animal populations in western Kansas. Trans. Kansas Acad. Sci., 38:351-352.

[416]

1936. The contents of owl pellets as indicators of habitat preferences of small mammals. Trans. Kansas Acad. Sci., 39:395-397.

1939. An ecological evaluation of predatees on a mixed prairie area in western Kansas. Trans. Kansas Acad. Sci., 42:515-517.

Transmitted May 19, 1955.


UNIVERSITY OF KANSAS PUBLICATIONS, MUSEUM OF NATURAL HISTORY

Institutional libraries interested in publications exchange may obtain this series by addressing the Exchange Librarian, University of Kansas Library, Lawrence, Kansas. Copies for individuals, persons working in a particular field of study, may be obtained by addressing instead the Museum of Natural History, University of Kansas, Lawrence, Kansas. There is no provision for sale of this series by the University Library which meets institutional requests, or by the Museum of Natural History which meets the requests of individuals. However, when individuals request copies from the Museum, 25 cents should be included, for each separate number that is 100 pages or more in length, for the purpose of defraying the costs of wrapping and mailing.

* An asterisk designates those numbers of which the Museum's supply (not the Library's supply) is exhausted. Numbers published to date, in this series, are as follows:

Vol. 1.

Nos. 1-26 and index. Pp. 1-638, 1946-1950.

Index. Pp. 605-638.

*Vol. 2.

(Complete) Mammals of Washington. By Walter W. Dalquest. Pp. 1-444, 140 figures in text. April 9, 1948.

Vol. 3.

*1. The avifauna of Micronesia, its origin, evolution, and distribution. By Rollin H. Baker. Pp. 1-359, 16 figures in text. June 12, 1951.

*2. A quantitative study of the nocturnal migration of birds. By George H. Lowery, Jr. Pp. 361-472, 47 figures in text. June 29, 1951.

3. Phylogeny of the waxwings and allied birds. By M. Dale Arvey. Pp. 473-530, 49 figures in text, 13 tables. October 10, 1951.

4. Birds from the state of Veracruz, Mexico. By George H. Lowery, Jr., and Walter W. Dalquest. Pp. 531-649, 7 figures in text, 2 tables. October 10, 1951.

Index. Pp. 651-681.

*Vol. 4.

(Complete) American weasels. By E. Raymond Hall. Pp. 1-466, 41 plates, 31 figures in text. December 27, 1951.

Vol. 5.

1. Preliminary survey of a Paleocene faunule from the Angels Peak area, New Mexico. By Robert W. Wilson. Pp. 1-11, 1 figure in text. February 24, 1951.

2. Two new moles (Genus Scalopus) from Mexico and Texas. By Rollin H. Baker. Pp. 17-24. February 28, 1951.

3. Two new pocket gophers from Wyoming and Colorado. By E. Raymond Hall and H. Gordon Montague. Pp. 25-32. February 28, 1951.

4. Mammals obtained by Dr. Curt von Wedel from the barrier beach of Tamaulipas, Mexico. By E. Raymond Hall. Pp. 33-47, 1 figure in text. October 1, 1951.

5. Comments on the taxonomy and geographic distribution of some North American rabbits. By E. Raymond Hall and Keith R. Kelson. Pp. 49-58. October 1, 1951.

6. Two new subspecies of Thomomys bottae from New Mexico and Colorado. By Keith R. Kelson. Pp. 59-71, 1 figure in text. October 1, 1951.

7. A new subspecies of Microtus montanus from Montana and comments on Microtus canicaudus Miller. By E. Raymond Hall and Keith R. Kelson. Pp. 73-79. October 1, 1951.

8. A new pocket gopher (Genus Thomomys) from eastern Colorado. By E. Raymond Hall. Pp. 81-85. October 1, 1951.

9. Mammals taken along the Alaskan Highway. By Rollin H. Baker. Pp. 87-117, 1 figure in text. November 28, 1951.

*10. A synopsis of the North American Lagomorpha. By E. Raymond Hall. Pp. 119-202, 68 figures in text. December 15, 1951.

11. A new pocket mouse (Genus Perognathus) from Kansas. By E. Lendell Cockrum. Pp. 203-206. December 15, 1951.

12. Mammals from Tamaulipas, Mexico. By Rollin H. Baker. Pp. 207-218. December 15, 1951.

13. A new pocket gopher (Genus Thomomys) from Wyoming and Colorado. By E. Raymond Hall. Pp. 219-222. December 15, 1951.

14. A new name for the Mexican red bat. By E. Raymond Hall. Pp. 223-226. December 15, 1951.

15. Taxonomic notes on Mexican bats of the Genus Rhogeëssa. By E. Raymond Hall. Pp. 227-232. April 10, 1952.

16. Comments on the taxonomy and geographic distribution of some North American woodrats (Genus Neotoma). By Keith R. Kelson. Pp. 233-242. April 10, 1952.

17. The subspecies of the Mexican red-bellied squirrel, Sciurus aureogaster. By Keith R. Kelson. Pp. 243-250, 1 figure in text. April 10, 1952.

18. Geographic range of Peromyscus melanophrys, with description of new subspecies. By Rollin H. Baker. Pp. 251-258, 1 figure in text. May 10, 1952.

19. A new chipmunk (Genus Eutamias) from the Black Hills. By John A. White. Pp. 259-262. April 10, 1952.

20. A new piñon mouse (Peromyscus truei) from Durango, Mexico. By Robert B. Finley, Jr. Pp. 263-267. May 23, 1952.

21. An annotated checklist of Nebraskan bats. By Olin L. Webb and J. Knox Jones, Jr. Pp. 269-279. May 31, 1952.

22. Geographic variation in red-backed mice (Genus Clethrionomys) of the southern Rocky Mountain region. By E. Lendell Cockrum and Kenneth L. Fitch. Pp. 281-292, 1 figure in text. November 15, 1952.

23. Comments on the taxonomy and geographic distribution of North American microtines. By E. Raymond Hall and E. Lendell Cockrum. Pp. 293-312. November 17, 1952.

24. The subspecific status of two Central American sloths. By E. Raymond Hall and Keith R. Kelson. Pp. 313-317. November 21, 1952.

25. Comments on the taxonomy and geographic distribution of some North American marsupials, insectivores, and carnivores. By E. Raymond Hall and Keith R. Kelson. Pp. 319-341. December 5, 1952.

26. Comments on the taxonomy and geographic distribution of some North American rodents. By E. Raymond Hall and Keith R. Kelson. Pp. 343-371. December 15, 1952.

27. A synopsis of the North American microtine rodents. By E. Raymond Hall and E. Lendell Cockrum. Pp. 373-498, 149 figures in text. January 15, 1953.

28. The pocket gophers (Genus Thomomys) of Coahuila, Mexico. By Rollin H. Baker. Pp. 499-514, 1 figure in text. June 1, 1953.

29. Geographic distribution of the pocket mouse, Perognathus fasciatus. By J. Knox Jones, Jr. Pp. 515-526, 7 figures in text. August 1, 1953.

30. A new subspecies of wood rat (Neotoma mexicana) from Colorado. By Robert B. Finley, Jr. Pp. 527-534, 2 figures in text. August 15, 1953.

31. Four new pocket gophers of the genus Cratogeomys from Jalisco, Mexico. By Robert J. Russell. Pp. 535-542. October 15, 1953.

32. Genera and subgenera of chipmunks. By John A. White. Pp. 543-561, 12 figures in text. December 1, 1953.

33. Taxonomy of the chipmunks, Eutamias quadrivittatus and Eutamias umbrinus. By John A. White. Pp. 563-582, 6 figures in text. December 1, 1953.

34. Geographic distribution and taxonomy of the chipmunks of Wyoming. By John A. White. Pp. 584-610, 3 figures in text. December 1, 1953.

35. The baculum of the chipmunks of western North America. By John A. White. Pp. 611-631, 19 figures in text. December 1, 1953.

36. Pleistocene Soricidae from San Josecito Cave, Nuevo Leon, Mexico. By James S. Findley. Pp. 633-639. December 1, 1953.

37. Seventeen species of bats recorded from Barro Colorado Island, Panama Canal Zone. By E. Raymond Hall and William B. Jackson. Pp. 641-646. December 1, 1953.

Index. Pp. 647-676.

*Vol. 6.

(Complete) Mammals of Utah, taxonomy and distribution. By Stephen D. Durrant. Pp. 1-549, 91 figures in text, 30 tables. August 10, 1952.

Vol. 7.

*1. Mammals of Kansas. By E. Lendell Cockrum. Pp. 1-303, 73 figures in text, 37 tables. August 25, 1952.

2. Ecology of the opossum on a natural area in northeastern Kansas. By Henry S. Fitch and Lewis L. Sandidge. Pp. 305-338, 5 figures in text. August 24, 1953.

3. The silky pocket mice (Perognathus flavus) of Mexico. By Rollin H. Baker. Pp. 339-347, 1 figure in text. February 15, 1954.

4. North American jumping mice (Genus Zapus). By Philip H. Krutzsch. Pp. 349-472, 47 figures in text, 4 tables. April 21, 1954.

5. Mammals from Southeastern Alaska. By Rollin H. Baker and James S. Findley. Pp. 473-477. April 21, 1954.

6. Distribution of some Nebraskan Mammals. By J. Knox Jones, Jr. Pp. 479-487. April 21, 1954.

7. Subspeciation in the montane meadow mouse, Microtus montanus, in Wyoming and Colorado. By Sydney Anderson. Pp. 489-506, 2 figures in text. July 23, 1954.

8. A new subspecies of bat (Myotis velifer) from southeastern California and Arizona. By Terry A. Vaughn. Pp. 507-512. July 23, 1954.

9. Mammals of the San Gabriel mountains of California. By Terry A. Vaughn. Pp. 513-582, 1 figure in text, 12 tables. November 15, 1954.

10. A new bat (Genus Pipistrellus) from northeastern Mexico. By Rollin H. Baker. Pp. 583-586. November 15, 1954.

11. A new subspecies of pocket mouse from Kansas. By E. Raymond Hall. Pp. 587-590. November 15, 1954.

12. Geographic variation in the pocket gopher, Cratogeomys castanops, in Coahuila, Mexico. By Robert J. Russell and Rollin H. Baker. Pp. 591-608. March 15, 1955.

13. A new cottontail (Sylvilagus floridanus) from northeastern Mexico. By Rollin H. Baker. Pp. 609-612. April 8, 1955.

14. Taxonomy and distribution of some American shrews. By James S. Findley. Pp. 613-618. June 10, 1955.

15. Distribution and systematic position of the pigmy woodrat, Neotoma goldmani. By Dennis G. Rainey and Rollin H. Baker. Pp. 619-624, 2 figs. in text. June 10, 1955.

Index. Pp. 625-651.

Vol. 8.

1. Life history and ecology of the five-lined skink, Eumeces fasciatus. By Henry S. Fitch. Pp. 1-156, 2 pls., 26 figs. in text, 17 tables. September 1, 1954.

2. Myology and serology of the Avian Family Fringillidae, a taxonomic study. By William B. Stallcup. Pp. 157-211, 23 figures in text, 4 tables. November 15, 1954.

3. An ecological study of the collared lizard (Crotaphytus collaris). By Henry S. Fitch. Pp. 213-274, 10 figures in text. February 10, 1956.

4. A field study of the Kansas ant-eating frog, Gastrophryne olivacea. By Henry S. Fitch. Pp. 275-306, 9 figures in text. February 10, 1956.

5. Check-list of the birds of Kansas. By Harrison B. Tordoff. Pp. 307-359, 1 figure in text. March 10, 1956.

6. A population study of the prairie vole (Microtus ochrogaster) in Northeastern Kansas. By Edwin P. Martin. Pp. 361-416, 19 figures in text. April 2, 1956.

More numbers will appear in volume 8.

Vol. 9.

1. Speciation of the wandering shrew. By James S. Findley. Pp. 1-68, 18 figures in text. December 10, 1955.

2. Additional records and extensions of ranges of mammals from Utah. By Stephen D. Durrant, M. Raymond Lee, and Richard M. Hansen. Pp. 69-80. December 10, 1955.

3. A new long-eared myotis (Myotis evotis) from northeastern Mexico. By Rollin H. Baker and Howard J. Stains. Pp. 81-84. December 10, 1955.

More numbers will appear in volume 9.


Transcriber's note:

A Table of Contents has been added to this ebook for the reader's convenience.

Some words in this text are found in both hyphenated and non-hyphenated form (for instance: Condylo-basilar/condylobasilar, mid-winter/midwinter). These variations match the text of the original document. A few obvious punctuation errors have been repaired. Spelling has been retained as it appears in the original publication, except as follows:

p. 372, in "A more homogeneous vegetation would tend to pass" homogenous has been changed to homogeneous.

p. 415, "1953. Foods, and dens of the opossum ..." has been changed to "1953. Food and dens of the opossum ..."

In Fig. 11 the bottommost y-axis label in the scale of gms. is probably an error: 45 should be 35.

Some illustrations have been moved from their original locations to paragraph breaks, so as to be nearer to their corresponding text, and for ease of document navigation. Missing page numbers correspond to moved full-page illustrations. References to scale in illustration captions are those of the original publication, and therefore do not correspond to the scale of the images in the HTML version of this ebook.

The list of University of Kansas Publications from the front of the original document has been joined to its mate at the end of this text.

Because the cover of the original document contained text exactly duplicated on the title page, this cover information has been omitted.